Sign in to use this feature.

Years

Between: -

Subjects

remove_circle_outline
remove_circle_outline
remove_circle_outline
remove_circle_outline
remove_circle_outline
remove_circle_outline
remove_circle_outline
remove_circle_outline
remove_circle_outline

Journals

remove_circle_outline
remove_circle_outline
remove_circle_outline
remove_circle_outline
remove_circle_outline
remove_circle_outline
remove_circle_outline
remove_circle_outline
remove_circle_outline
remove_circle_outline
remove_circle_outline
remove_circle_outline
remove_circle_outline
remove_circle_outline
remove_circle_outline
remove_circle_outline
remove_circle_outline
remove_circle_outline

Article Types

Countries / Regions

remove_circle_outline
remove_circle_outline
remove_circle_outline
remove_circle_outline
remove_circle_outline
remove_circle_outline
remove_circle_outline

Search Results (2,362)

Search Parameters:
Keywords = P doping

Order results
Result details
Results per page
Select all
Export citation of selected articles as:
10 pages, 1023 KB  
Article
Electronic Particle-Density Asymmetry in Doped Bilayer Graphene with Effective Fractional Dimensionality
by Juan A. Lazzús and L. Palma-Chilla
Symmetry 2026, 18(2), 388; https://doi.org/10.3390/sym18020388 - 23 Feb 2026
Abstract
This work investigates how effective fractional dimensionality and substitutional doping jointly affect particle-density symmetry in AA-stacked bilayer graphene (BLG). The system consists of one pristine graphene layer and one doped layer, where 50% of the atomic sites are substituted. Doping is described within [...] Read more.
This work investigates how effective fractional dimensionality and substitutional doping jointly affect particle-density symmetry in AA-stacked bilayer graphene (BLG). The system consists of one pristine graphene layer and one doped layer, where 50% of the atomic sites are substituted. Doping is described within a tight-binding framework through a dimensionless parameter α (with 0 < α < 1), which uniformly reduces the intralayer hopping energy in the doped layer, while an effective fractional dimension D > 2 phenomenologically accounts for structural inhomogeneities such as ripples or corrugations. Analytical expressions for the energy spectrum and number of states are obtained, and the electronic asymmetry between layers is characterized by a symmetry parameter P. We find that substitutional doping breaks the particle-density symmetry of pristine BLG and strongly enhances the number of states near the Fermi level as α decreases, due to the accumulation of low-energy states in the doped layer. Departures from the ideal dimensionality D = 2 further amplify this enhancement. The combined effects of reduced α and increased D lead to a pronounced layer asymmetry, reflected in a nonzero P, while stronger interlayer coupling partially counteracts this imbalance. Results show that doping, effective fractional dimensionality, and interlayer coupling offer tunable control over the low-energy electronic properties of BLG. Full article
(This article belongs to the Special Issue Advances in 2D Materials and Symmetry Breaking in Graphene)
17 pages, 2413 KB  
Article
ZnFe2O4-N-BC Bifunctional Catalyst in Visible Light−Peroxydisulfate Coupled System in Norfloxacin Degradation
by Xiaoxian Hu, Di Zhang, Xinyu Li and Junfeng Wu
Catalysts 2026, 16(2), 196; https://doi.org/10.3390/catal16020196 - 20 Feb 2026
Viewed by 106
Abstract
Using norfloxacin (NOR) as the target pollutant, the synergism and degradation mechanism of ZnFe2O4-N-BC (MNBC), a nitrogen (N) and zinc ferrite (ZnFe2O4) co-doped biochar bifunctional catalyst (BC), in visible light (VIS)−peroxydisulfate (PDS) coupled system, were [...] Read more.
Using norfloxacin (NOR) as the target pollutant, the synergism and degradation mechanism of ZnFe2O4-N-BC (MNBC), a nitrogen (N) and zinc ferrite (ZnFe2O4) co-doped biochar bifunctional catalyst (BC), in visible light (VIS)−peroxydisulfate (PDS) coupled system, were elucidated, and the synergistic mechanism was further supported by optical absorption and photo-induced charge transfer analyses. The results indicate that the degradation rate constant of the ZnFe2O4-N-BC/Vis-PDS system is 22.7 and 17.4 times higher than that of the ZnFe2O4-N-BC/Vis and ZnFe2O4-N-BC/PDS systems, respectively. More importantly, an apparent enhancement factor of 26.3% was obtained relative to the internal control systems. In addition, the coupled system showed a wider pH adaptation range. Furthermore, the radical quenching experiment and EPR analysis further revealed that multiple reactive species (including SO4, O2·, ·OH, h+, and 1O2) were involved in the degradation of NOR, and their relative contributions followed the order: 1O2 > SO4 > O2·> ·OH > h+. Finally, HPLC-MS analysis was performed to identify the key degradation intermediates of NOR, and thus to propose its possible transformation pathways. Full article
Show Figures

Figure 1

19 pages, 23281 KB  
Article
A Multiscale Evaluation of Erbium-Doped Yttrium-Aluminum-Garnet Laser Osteotomy: Integrating Macroscopic and Cellular Analyses
by Anjie Shen, Boxuan Huang, Hang Bao, Teng Zhang, Kaijun Zhang, Bin Zhao, Haoyuan Du, Junqiang Wang and Wei Han
Bioengineering 2026, 13(2), 237; https://doi.org/10.3390/bioengineering13020237 - 18 Feb 2026
Viewed by 219
Abstract
Background: Traditional high-speed mechanical osteotomes cause substantial thermal and mechanical trauma, impairing bone healing. Erbium-doped yttrium-aluminum-garnet (Er:YAG) lasers, with water-mediated non-contact ablation, offer precise osteotomy potential with minimal collateral damage. This study demonstrated the feasibility of Er:YAG laser use for complex osteotomies and [...] Read more.
Background: Traditional high-speed mechanical osteotomes cause substantial thermal and mechanical trauma, impairing bone healing. Erbium-doped yttrium-aluminum-garnet (Er:YAG) lasers, with water-mediated non-contact ablation, offer precise osteotomy potential with minimal collateral damage. This study demonstrated the feasibility of Er:YAG laser use for complex osteotomies and elucidated its multi-scale biological impacts on bone. Methods: A custom Er:YAG laser performed Z/arc-shaped osteotomies on fresh ovine bone (oscillating saw as control); paired rat tibial osteotomies; and compared laser vs. saw resection. Osteotomy surfaces were characterized by SEM/micro-CT; histological staining quantified thermal/mechanical damage. Bone marrow-derived mesenchymal stem cell (BMSC) adhesion, viability, and infiltration on cut surfaces were evaluated via LSCM. Result: In the ex vivo ovine model, the Er:YAG laser enabled precise execution of complex osteotomies (Z-shaped and arc-shaped), producing significantly narrower gaps than the oscillating saw (1.14 mm vs. 2.70 mm, p < 0.001) with high geometric fidelity and smooth surfaces free of burrs, micro-cracks, or debris. In the in vivo rat model, laser ablation simultaneously minimized both thermal and mechanical damage at the osteotomy interface: it reduced the thermal damage depth (154 vs. 592 µm, p < 0.001) and empty lacunae rate (16.8% vs. 41.8%, p < 0.001) while completely avoiding the mechanical damage zone (297 µm) induced by sawing. Furthermore, the laser-ablated surface established a highly bioactive interface, which significantly enhanced the adhesion (606 vs. 389 cells), viability (86.9% vs. 46.6%), and infiltration depth (196 vs. 75 µm) of bone marrow-derived mesenchymal stem cells (all p < 0.001). Conclusions: In conclusion, this proof-of-concept study demonstrates that the Er:YAG laser has the potential to enable precise bone resection while preserving microstructure. By establishing a pro-regenerative microenvironment, this technology shows promise as a biologically favorable alternative to conventional sawing, although further technical refinement and long-term validation are essential for its clinical translation. Full article
(This article belongs to the Special Issue Application of Bioengineering to Orthopedics)
Show Figures

Figure 1

44 pages, 15458 KB  
Review
Bismuth-Based Materials as Solar-Driven Photo(Electro)Catalysts for Environmental Remediation
by Muhammad Ashraf, Jiang Guo, Kai Yan and Jingdong Zhang
Materials 2026, 19(4), 728; https://doi.org/10.3390/ma19040728 - 13 Feb 2026
Viewed by 167
Abstract
Bismuth-based semiconductors have emerged as a promising class of visible-light-responsive photo(electro)catalysts for environmental remediation owing to their tunable electronic structures, moderate band gaps, and relatively low toxicity. The stereochemically active Bi3+ 6s2 lone pair and strong Bi–O orbital hybridization tailor valence-band [...] Read more.
Bismuth-based semiconductors have emerged as a promising class of visible-light-responsive photo(electro)catalysts for environmental remediation owing to their tunable electronic structures, moderate band gaps, and relatively low toxicity. The stereochemically active Bi3+ 6s2 lone pair and strong Bi–O orbital hybridization tailor valence-band states, enabling enhanced utilization of the solar spectrum and favorable charge-carrier dynamics. In addition, layered, perovskite-like, and aurivillius-type crystal frameworks generate internal electric fields that are advantageous for photoelectrochemical (PEC) operation. This review critically examines advances from 2015 to 2025 in the design, synthesis, modification, and environmental applications of bismuth-based photo(electro)catalysts, with particular emphasis on PEC systems for pollutant degradation. Major material families, including bismuth oxides, oxyhalides, oxychalcogenides, chalcogenides, perovskite-like oxides, and complex metal oxides, are discussed in relation to their structure–property–performance relationships. Key synthesis strategies, such as solid-state, sol–gel, hydro/solvothermal, microwave-assisted, spray pyrolysis, and electrodeposition methods, are compared with respect to morphology control, defect chemistry, and electrode integration. Performance-enhancing approaches, including elemental doping, oxygen-vacancy engineering, and the rational design of type-II, p–n, Z-scheme, and S-scheme heterojunctions, are critically assessed. Practical considerations related to stability, scalability, and techno-economic constraints are highlighted. Finally, current challenges and future directions toward durable and application-ready bismuth-based PEC technologies are outlined. Full article
(This article belongs to the Section Catalytic Materials)
Show Figures

Graphical abstract

16 pages, 2601 KB  
Article
High-Voltage 4H-SiC PiN Diodes: Ion Implantation vs. Epitaxial Growth for Wide-Temperature Operation
by Alfio Samuele Mancuso, Saverio De Luca, Enrico Sangregorio, Annamaria Muoio, Erik Gallo, Silvia Vanellone, Eleonora Quadrivi, Antonio Trotta, Lucia Calcagno, Salvo Tudisco and Francesco La Via
Materials 2026, 19(4), 699; https://doi.org/10.3390/ma19040699 - 12 Feb 2026
Viewed by 221
Abstract
This study investigates the electrical performance of two 4H-SiC p+-i-n diodes, based on lightly doped epitaxial layers, representative of high-voltage and neutron-detector structures. Each design was implemented in multiple nominally identical devices and characterized over the temperature range 298–623 K, [...] Read more.
This study investigates the electrical performance of two 4H-SiC p+-i-n diodes, based on lightly doped epitaxial layers, representative of high-voltage and neutron-detector structures. Each design was implemented in multiple nominally identical devices and characterized over the temperature range 298–623 K, with particular attention to the influence of p+ layer fabrication, n-type epitaxial layer thickness, and doping concentration. One diode features an ion-implanted p+ layer on a 250 µm thick n-type epitaxial layer, while the other employs an epitaxially grown p+ layer on a 100 µm thick n-type epitaxial layer. A comparison of reverse-bias Current–Voltage (I–V) and Capacitance–Voltage (C–V) characteristics indicates that, although both designs exhibit high-quality epitaxial 4H-SiC material, devices with an implanted p+ anode tend to show a more pronounced temperature-dependence and degradation of selected electrical parameters in reverse bias than those with an epitaxial p+ anode, while forward I–V in the range 298–623 K remains broadly similar for both designs. These observations suggest that anode fabrication and epitaxial design may jointly influence thermal stability, recombination mechanisms, and overall electrical performance, offering guidance for the optimization of 4H-SiC-based power and neutron-detector devices for high-temperature and harsh environments. Full article
Show Figures

Figure 1

16 pages, 3606 KB  
Article
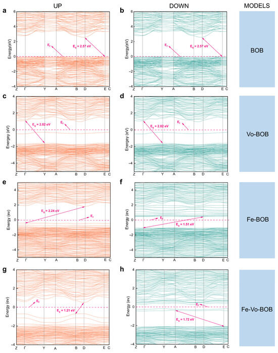
Synergistic Effect of Fe Doping and Oxygen Vacancies on the Optical Properties and CO2 Reduction Mechanism of Bi4O5Br2
by Gaihui Liu, Xie Huang, Shuaishuai Liu, Xiangzhou Yan, Nan Dong, Huihui Shi, Fuchun Zhang and Suqin Xue
Magnetochemistry 2026, 12(2), 26; https://doi.org/10.3390/magnetochemistry12020026 - 11 Feb 2026
Viewed by 138
Abstract
In this study, the synergistic effects of Fe doping and oxygen vacancies on the structural, electronic, and optical properties of Bi4O5Br2, as well as their influence on the photocatalytic CO2 reduction mechanism, were systematically explored through [...] Read more.
In this study, the synergistic effects of Fe doping and oxygen vacancies on the structural, electronic, and optical properties of Bi4O5Br2, as well as their influence on the photocatalytic CO2 reduction mechanism, were systematically explored through first-principles calculations. The results reveal that Fe-doped, oxygen-defective, and Fe–Vo co-modified Bi4O5Br2 systems exhibit excellent thermodynamic and dynamic stability. Oxygen vacancies introduce defect states near the Fermi level, narrowing the band gap and enhancing charge localization and CO2 adsorption, while Fe doping induces strong spin polarization and introduces Fe 3d impurity levels that effectively couple with O 2p orbitals, promoting charge transfer and visible-light absorption. The coexistence of Fe dopants and oxygen vacancies produces a significant synergistic effect, forming a continuous energy-level bridge that enhances charge separation and broadens the light absorption range. Gibbs free energy analyses further demonstrate that the Fe–Vo–BOB system exhibits the lowest energy barriers and the most favorable thermodynamics for CO2-to-CO conversion. This study provides deep insight into the defect–dopant synergy in Bi4O5Br2 and offers valuable theoretical guidance for engineering highly efficient visible-light-driven photocatalysts in solar energy conversion and environmental remediation. Full article
Show Figures

Figure 1

20 pages, 3874 KB  
Article
Influence of Pr Content on Structural Evolution of Doped Ceria-Based High-Entropy Oxides
by Dalibor Tatar, Jakov Babić, Stjepan Šarić, Jelena Kojčinović, Petra Šušak, Anamarija Stanković, Laura Milišić, Andraž Mavrič, Cora Deák, Gergő Ballai, Imre Szenti, Ákos Kukovecz and Igor Djerdj
Molecules 2026, 31(4), 598; https://doi.org/10.3390/molecules31040598 - 9 Feb 2026
Viewed by 227
Abstract
High-entropy fluorite oxides offer exceptional tunability of structure and functionality through controlled multi-cation substitution. In this work, Ce-Zr-Pr-Sm-Eu-based high-entropy oxides, with systematically varied Pr content, were synthesized using a modified sol–gel citrate method to investigate the influence of Pr incorporation on lattice structure, [...] Read more.
High-entropy fluorite oxides offer exceptional tunability of structure and functionality through controlled multi-cation substitution. In this work, Ce-Zr-Pr-Sm-Eu-based high-entropy oxides, with systematically varied Pr content, were synthesized using a modified sol–gel citrate method to investigate the influence of Pr incorporation on lattice structure, defect formation, and photocatalytic performance. All compositions crystallized in a single-phase cubic fluorite structure, where increasing Pr concentration induced gradual lattice expansion and microstrain due to the substitution of larger Pr3+ ions. Morphological and surface analyses revealed porous nanostructures at moderate Pr levels, while excessive Pr promoted densification and reduced surface accessibility. Spectroscopic studies confirmed the coexistence of Pr3+/Pr4+ and Ce3+/Ce4+ redox couples, strong 4f–2p orbital hybridization, and enhanced defect-related electronic states that narrowed the optical bandgap. The optimized Pr-doped composition exhibited almost 100% degradation of methylene blue under UV light over 30 min, untypical for semiconductors with a narrower bandgap, and is enabled by efficient charge separation and redox cycling between Ce and Pr centers. Full article
Show Figures

Graphical abstract

12 pages, 2931 KB  
Article
Constructing Cu3P Quantum Dots/Cu-Doped ZnIn2S4 p-n Heterojunctions for Efficient Methanol Oxidation Coupled with Synchronous Hydrogen Generation
by Maobin Xiao, Ke Wang, Jinghang Xu, Jie Hu, Weikang Wang, Lele Wang and Qinqin Liu
Nanomaterials 2026, 16(3), 210; https://doi.org/10.3390/nano16030210 - 6 Feb 2026
Viewed by 215
Abstract
The solar-driven direct conversion of methanol to ethylene glycol, formaldehyde and simultaneous H2 generation is an appealing strategy for converting sunlight to chemical energy. However, the low efficiency and stability of the photocatalyst remain critical bottlenecks hindering the practical implementation of this [...] Read more.
The solar-driven direct conversion of methanol to ethylene glycol, formaldehyde and simultaneous H2 generation is an appealing strategy for converting sunlight to chemical energy. However, the low efficiency and stability of the photocatalyst remain critical bottlenecks hindering the practical implementation of this reaction. Herein, we synthesized the Cu3P quantum dots/Cu-doped ZnIn2S4 p-n junction for efficient methanol oxidation and synchronous H2 generation. The highly dispersed Cu3P quantum dots promote electron–hole separation and furnish abundant catalytic sites. Moreover, the constructed p-n junction with a tight interface boosts the electron transfer, avoiding the serious photocorrosion of ZnIn2S4. Benefiting from these synergistic effects, the 2Cu3P/Cu0.5ZIS composite exhibits the highest photocatalytic conversion efficiency of methanol, yielding H2, formaldehyde, and ethylene glycol with 10.34 mmol·g−1·h−1, 10.35 mmol·g−1·h−1 and 8.84 mmol·g−1·h−1 yields, which are 3.01, 3.05 and 3.10 times those of pure ZnIn2S4, respectively. A series of characterizations including X-ray diffraction, X-ray photoelectron spectroscopy, transmission electron microscopy and UV-Vis diffuse reflectance spectroscopy are employed to analyze the structure, composition, and photoelectrochemical properties of the materials. This work demonstrates a novel catalyst design paradigm for the high-efficiency solar light-driven photocatalytic activation of methanol enabling the co-production of value-added C1/C2 oxygenates and clean H2 fuel simultaneously. Full article
(This article belongs to the Special Issue Nanostructured Catalysts for Solar Energy Conversion)
Show Figures

Graphical abstract

12 pages, 6121 KB  
Article
Upconversion Nanoparticle-Based Luminescence DNA Sensor on Porous Silicon Substrate
by Yangzhi Zhang, Xingyu Wang, Yajun Liu, Zhenhong Jia, Ziyi Yang, Xiaohui Huang and Jiajia Wang
Biosensors 2026, 16(2), 105; https://doi.org/10.3390/bios16020105 - 6 Feb 2026
Viewed by 213
Abstract
Rare-earth-doped upconversion nanoparticles (UCNPs) exhibit upconversion luminescence upon excitation with infrared light and have been extensively utilized in the field of biosensing. In this study, a UCNPs-based biosensor with porous silicon (PSi) as the substrate was developed for the first time, enabling the [...] Read more.
Rare-earth-doped upconversion nanoparticles (UCNPs) exhibit upconversion luminescence upon excitation with infrared light and have been extensively utilized in the field of biosensing. In this study, a UCNPs-based biosensor with porous silicon (PSi) as the substrate was developed for the first time, enabling the detection of target DNA molecule concentration. First, a PSi substrate was prepared via electrochemical etching and subsequently functionalized to enable target DNA molecules to immobilize onto the inner walls of the PSi substrate’s pores. Then, UCNPs-labeled probe DNA molecules hybridized with the target DNA molecules, enabling indirect attachment of UCNPs to the inner walls of the PSi substrate. Subsequently, the sample surface is irradiated with a 980 nm laser. Upconversion fluorescence images of the sample, both before and after the biological reaction, are captured using an image acquisition device. Image processing software is employed to calculate the average change in grayscale values, enabling the determination of the molecular concentration of target DNA. The limit of detection (LOD) of this method for target DNA molecular concentration is 86 pM, demonstrating that it enables low-cost, highly sensitive, rapid, and convenient biological detection of target DNA molecules. Full article
(This article belongs to the Special Issue Photonics for Bioapplications: Sensors and Technology—2nd Edition)
Show Figures

Graphical abstract

19 pages, 12818 KB  
Article
Mechanical Stability of Amorphous Silicon Thin-Film Devices on Polyimide for Flexible Sensor Platforms
by Giulia Petrucci, Fabio Cappelli, Martina Baldini, Francesca Costantini, Augusto Nascetti, Giampiero de Cesare, Domenico Caputo and Nicola Lovecchio
Sensors 2026, 26(3), 1026; https://doi.org/10.3390/s26031026 - 4 Feb 2026
Viewed by 255
Abstract
Hydrogenated amorphous silicon (a-Si:H) is a mature thin-film technology for large-area devices and thin-film sensors, and its low-temperature growth via Plasma-Enhanced Chemical Vapor Deposition (PECVD) makes it particularly suitable for biomedical flexible and wearable platforms. However, the reliable integration of a-Si:H sensors on [...] Read more.
Hydrogenated amorphous silicon (a-Si:H) is a mature thin-film technology for large-area devices and thin-film sensors, and its low-temperature growth via Plasma-Enhanced Chemical Vapor Deposition (PECVD) makes it particularly suitable for biomedical flexible and wearable platforms. However, the reliable integration of a-Si:H sensors on polymer substrates requires a quantitative assessment of their electrical stability under mechanical stress, since bending-induced variations may affect sensor accuracy. In this work, we provide a quantitative, direction-dependent evaluation of the static-bending robustness of both single-doped a-Si:H layers and complete p-i-n junction stacks on polyimide (Kapton®), thereby linking material-level strain sensitivity to device-level functionality. First, n- and p-doped a-Si:H layers were deposited on 50 µm thick Kapton® and then structured as two-terminal thin-film resistors to enable resistivity extraction under bending conditions. Electrical measurements were performed on multiple samples, with the current path oriented either parallel (longitudinal) or perpendicular (transverse) to the bending axis, and resistance profiles were determined as a function of bending radius. While n-type layers exhibited limited and mostly gradual variations, p-type layers showed a stronger sensitivity to mechanical stress, with a critical-radius behavior under transverse bending and a more progressive evolution in the longitudinal one. This directional response identifies a practical bending condition under which doped layers, particularly p-type films, are more susceptible to strain-induced degradation. Subsequently, a linear array of a-Si:H p-i-n sensors was fabricated on Kapton® substrates with two different thicknesses (25 and 50 µm thick) and characterized under identical bending conditions. Despite the increased strain sensitivity observed in the single-layers, the p-i-n diodes preserved their rectifying behavior down to the smallest radius tested. Indeed, across the investigated radii, the reverse current at −0.5 V remained consistent, confirming stable junction operation under bending. Only minor differences, related to substrate thickness, were observed in the reverse current and in the high-injection regime. Overall, these results demonstrate the mechanical robustness of stacked a-Si:H junctions on polyimide and support their use as sensors for wearable biosensing architectures. By establishing a quantitative, orientation-aware stability benchmark under static bending, this study supports the design of reliable a-Si:H flexible sensor platforms for curved and wearable surfaces. Full article
(This article belongs to the Special Issue Recent Innovations in Wearable Sensors for Biomedical Approaches)
Show Figures

Figure 1

18 pages, 3878 KB  
Article
A Comparative Study of Microstructure and Tribological Properties of Electroless Ni-P, Ni-W-P, and Ni-Ce-P Coatings on 6061 Aluminum Alloy: The Role of Heat Treatment
by Kailin Xue, Jiangping Nan and Tao Liu
Coatings 2026, 16(2), 197; https://doi.org/10.3390/coatings16020197 - 4 Feb 2026
Viewed by 241
Abstract
This study conducts a systematic comparison of binary Ni-P, ternary Ni-W-P, and ternary Ni-Ce-P electroless coatings on 6061-T6 aluminum alloy, focusing on the effects of post-plating heat treatment at 300, 350, and 400 °C. The originality of this work lies in its direct [...] Read more.
This study conducts a systematic comparison of binary Ni-P, ternary Ni-W-P, and ternary Ni-Ce-P electroless coatings on 6061-T6 aluminum alloy, focusing on the effects of post-plating heat treatment at 300, 350, and 400 °C. The originality of this work lies in its direct comparison of W and Ce doping under identical conditions and its identification of a critical brittle transition that decouples hardness from wear resistance. All coatings achieved peak hardness at 350 °C, with Ni-W-P reaching approximately 1691 ± 45 HV0.1 due to Ni3P precipitation and solid-solution strengthening. However, a key finding is the severe embrittlement of the Ni-P coating at 300 °C, where its wear rate increased by over 50 times despite a hardness increase. Treatment at 400 °C degraded wear performance across all systems, likely due to precipitate coarsening and substrate over-aging. The best overall performance within the tested window was achieved with the Ni-Ce-P coating heat-treated at 350 °C for 1 h, which exhibited a fine nodular structure and reduced the wear rate by 98.9% compared to the bare substrate. These results highlight the importance of balancing hardness and toughness, identifying an optimized processing window for enhancing the tribological performance of lightweight aluminum components. Full article
(This article belongs to the Special Issue Advanced Corrosion- and Wear-Resistant Coatings)
Show Figures

Graphical abstract

18 pages, 5858 KB  
Article
Improved Wide-Temperature-Range Magnetocaloric Properties of (Mn,Fe)2(P,Si) Alloys by Mg-Co Co-Doping
by Jimei Niu, Zhigang Zheng and Hongyu Wang
Magnetochemistry 2026, 12(2), 17; https://doi.org/10.3390/magnetochemistry12020017 - 2 Feb 2026
Viewed by 176
Abstract
To enhance the wide-temperature-range magnetocaloric performance of (Mn,Fe)2(P,Si) alloys, the effects of Mg-Co co-doping on their structural and magnetocaloric properties were systematically investigated. Mn1.05−yCoyFe0.9P0.5Si0.48Mg0.02 alloys were prepared by the [...] Read more.
To enhance the wide-temperature-range magnetocaloric performance of (Mn,Fe)2(P,Si) alloys, the effects of Mg-Co co-doping on their structural and magnetocaloric properties were systematically investigated. Mn1.05−yCoyFe0.9P0.5Si0.48Mg0.02 alloys were prepared by the arc melting method. The results show that Mg-Co co-doping can tune the lattice parameters and ferromagnetic coupling between Mn and Fe atoms. The Mn1.03Co0.02Fe0.9P0.5Si0.48Mg0.02 alloy exhibited an effective refrigeration capacity of 425.4 J·kg−1 and an effective working temperature span of 52 K. During the temperature-induced ferromagnetic transition, coupling between the magnetic moment of Fe-Si layers and the crystal lattice drives a magnetoelastic transition, leading to a giant magnetocaloric effect. The Mg-Co co-doping strategy effectively tunes the crystal structure and local electron density distribution of the Fe-Si layer, thereby influencing the total magnetic moment and magnetothermal properties of the alloys. Full article
(This article belongs to the Special Issue Advance of Magnetocaloric Effect and Materials)
Show Figures

Figure 1

14 pages, 2500 KB  
Article
Mesoporous Structure and N-Doped Carbon Coating Skeleton Boosting High-Performance Nickel Phosphide Nanosheet-Based Electrocatalysts for Highly Efficient Electrocatalytic Hydrogen Evolution
by Yixuan Tang, Xiaowei Niu, Zhengjun Guan, Chengxin Wang, Xinyu Ma, Haonan Wang and Hongyuan Pan
Crystals 2026, 16(2), 100; https://doi.org/10.3390/cryst16020100 - 30 Jan 2026
Viewed by 171
Abstract
Earth-abundant nickel phosphide electrocatalysts show great potential for the hydrogen evolution reaction (HER), yet their efficiency requires further enhancement for practical applications. Herein, a novel in situ strategy is developed to synthesize a high-performance electrocatalyst on nickel foam (NF), composed of N-doped carbon-coated [...] Read more.
Earth-abundant nickel phosphide electrocatalysts show great potential for the hydrogen evolution reaction (HER), yet their efficiency requires further enhancement for practical applications. Herein, a novel in situ strategy is developed to synthesize a high-performance electrocatalyst on nickel foam (NF), composed of N-doped carbon-coated Ni5P4–Ni3P heterostructures. This is achieved through the phosphidation and subsequent carbon coating of hydrothermally grown Ni(OH)2 nanosheets. The resulting catalyst exhibits excellent HER activity in acidic media, requiring a low overpotential of only 63 mV to achieve a current density of 10 mA cm−2. The superior performance stems from the synergistic effects of multiple factors: the porous nanosheet architecture and multi-phase interfaces provide abundant active sites, while the conductive N-doped carbon network significantly enhances charge-transfer kinetics and catalyst stability. This work presents an effective approach for designing efficient non-precious metal HER electrocatalysts. Full article
(This article belongs to the Special Issue Polymeric Materials for Sustainable Catalysis and Energy Applications)
Show Figures

Figure 1

10 pages, 1992 KB  
Proceeding Paper
Phase Transition and Transport Properties in p-Type β-FeSi2 Semiconductor
by Sopheap Sam, Kosuke Yamazaki and Hiroshi Nakatsugawa
Mater. Proc. 2025, 26(1), 7; https://doi.org/10.3390/materproc2025026007 - 28 Jan 2026
Viewed by 218
Abstract
The thermoelectric (TE) performance of iron silicide (β-FeSi2) can be enhanced by introducing metal dopants. However, such doping often leads to the emergence of secondary phases, which negatively affect the Seebeck coefficient and overall TE efficiency. Consequently, it is crucial to [...] Read more.
The thermoelectric (TE) performance of iron silicide (β-FeSi2) can be enhanced by introducing metal dopants. However, such doping often leads to the emergence of secondary phases, which negatively affect the Seebeck coefficient and overall TE efficiency. Consequently, it is crucial to understand the phase transitions involved and how they influence the transport properties in order to optimize the material’s performance. This work investigates the influence of Mn-doping on the phase change and properties of p-type β-Fe1−xMnxSi2. The findings show that the semiconducting β-phase decreases sharply when x ≥ 0.09, indicating that the optimal doping concentration lies below this level. As a result, the maximum power factor of 970 μW m−1 K−2 and a dimensionless figure of merit (ZT) value of 0.12 are achieved at x = 0.03. This study clarifies how the phase composition relates to the thermoelectric properties of p-type β-FeSi2. Full article
(This article belongs to the Proceedings of The 4th International Online Conference on Materials)
Show Figures

Figure 1

19 pages, 2553 KB  
Article
A QCM-D Study of the Interaction of Early Endosomal Antigen 1 (EEA1) Protein with Supported Lipid Bilayers Mimicking the Early Endosomal Lipid Composition
by Fotini Papagavriil, Pablo Mateos-Gil, Janelle Lauer, Marino Zerial and Electra Gizeli
Membranes 2026, 16(2), 49; https://doi.org/10.3390/membranes16020049 - 26 Jan 2026
Viewed by 581
Abstract
The combination of supported lipid bilayers (SLBs) with the Quartz Crystal Microbalance with Dissipation monitoring (QCM-D) has been proven to be a powerful tool to simultaneously monitor mass and viscoelastic changes related to membrane binding-events. In this work, the above methodology is employed [...] Read more.
The combination of supported lipid bilayers (SLBs) with the Quartz Crystal Microbalance with Dissipation monitoring (QCM-D) has been proven to be a powerful tool to simultaneously monitor mass and viscoelastic changes related to membrane binding-events. In this work, the above methodology is employed for the study of the interaction of the Early Endosomal Antigen 1 (EEA1) to a model lipid bilayer that mimics the early endosome (EE) membrane, focusing on the membrane composition. Starting with the formation of a lipid bilayer through the vesicles fusion technique, we investigated the formation of SLBs that incorporate phosphatidylinositol 3-phosphate (PI(3)P), a key component for EEA1 binding, in combination with other lipids, e.g., (1,2-dioleoyl-sn-glycero-3)-phosphocholine (DOPC), -phosphoserine (DOPS), -phosphoethanolamine (DOPE), and cholesterol (Chol). The interaction of the full-length coiled-coil EEA1 to the formed SLBs was further studied in real time with the QCM-D and characterized with respect to the lipid composition and pH. Our findings confirm that PI(3)P is essential for the EEA1–membrane interaction, while it was shown that Chol and phosphatidylserine greatly influence the binding event. In fact, including 30% Chol in a PI(3)P (3%):PS (6%) SLB resulted in almost double EEA1 binding than in the absence of Chol. Moreover, we employed the QCM-viscoelastic model available to analyze the QCM-D data with emphasis on the study of the protein conformation. Our results showed that, in our in vitro system, EEA1 is not fully extended and/or highly packed, but is mainly in a bent, distorted conformation with an average size close to 100 nm. This study complements previous works employing in vitro assays, also demonstrating the ability to reconstitute more complex biomimetic EE membranes containing inositol phospholipids on a QCM surface for the study of EEA1 binding. Full article
(This article belongs to the Section Biological Membranes)
Show Figures

Figure 1

Back to TopTop