Phase Transition and Transport Properties in p-Type β-FeSi2 Semiconductor †
Abstract
1. Introduction
2. Experiments
3. Results and Discussion
3.1. Structural and Phase Transition
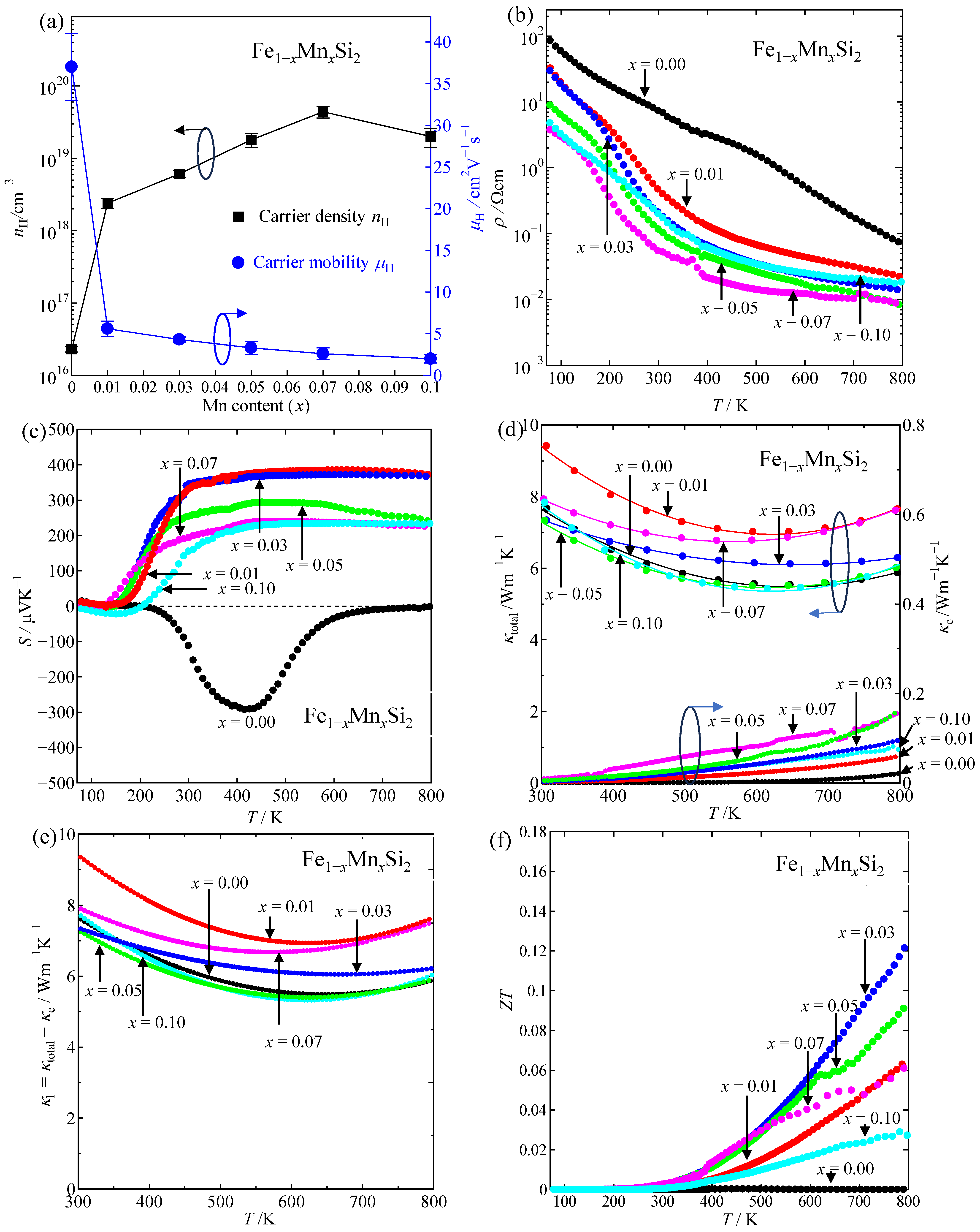
3.2. Transport Properties
3.3. Thermoelectric Properties in Relation to Structural Properties
4. Conclusions
Author Contributions
Funding
Institutional Review Board Statement
Informed Consent Statement
Data Availability Statement
Acknowledgments
Conflicts of Interest
Appendix A
| x | Area | Element | Atomic % | Composition Ratio | Chemical Formula |
|---|---|---|---|---|---|
| 0.01 | β | Fe | 37.5(5) | 1.12(1) | β-Fe1.12(1)Mn0.006(1)Si1.87(1) |
| Mn | 0.19(4) | 0.006(1) | |||
| Si | 62.4(5) | 1.87(1) | |||
| ε | Fe | 50.9(6) | 1.01(1) | ε-Fe1.01(1)Mn0.019(3)Si0.96(1) | |
| Mn | 0.9(1) | 0.019(3) | |||
| Si | 48.2(6) | 0.96(1) | |||
| 0.03 | β | Fe | 35.6(7) | 1.07(2) | β-Fe1.07(2)Mn0.032(1)Si1.90(2) |
| Mn | 1.1(1) | 0.032(1) | |||
| Si | 63.4(4) | 1.90(2) | |||
| ε | Fe | 50.6(9) | 1.01(1) | ε-Fe1.01(1)Mn0.036(8)Si0.95(2) | |
| Mn | 1.8(4) | 0.036(8) | |||
| Si | 47.6(9) | 0.95(2) | |||
| 0.05 | β | Fe | 35.7(4) | 1.07(1) | β-Fe1.07(1)Mn0.051(2)Si1.88(1) |
| Mn | 1.7(1) | 0.051(2) | |||
| Si | 62.6(5) | 1.88(1) | |||
| ε | Fe | 49.4(60 | 0.98(1) | ε-Fe0.98(1)Mn0.077(2)Si0.94(1) | |
| Mn | 3.8(1) | 0.077(2) | |||
| Si | 46.8(5) | 0.94(1) | |||
| 0.07 | β | Fe | 33.7(3) | 1.01(1) | β-Fe1.01(1)Mn0.058(4)Si1.93(1) |
| Mn | 1.8(1) | 0.058(4) | |||
| Si | 64.5(5) | 1.93(1) | |||
| ε | Fe | 47.1(6) | 0.94(1) | ε-Fe0.94(1)Mn0.090(4)Si0.97(1) | |
| Mn | 4.5(2) | 0.090(4) | |||
| Si | 48.4(6) | 0.97(1) | |||
| 0.09 | β | Fe | 34.2(3) | 1.02(1) | β-Fe1.02(1)Mn0.063(1)Si1.91(1) |
| Mn | 2.1(1) | 0.063(1) | |||
| Si | 63.8(3) | 1.91(1) | |||
| ε | Fe | 46.4(6) | 0.93(1) | ε-Fe0.93(1)Mn0.099(2)Si0.97(1) | |
| Mn | 4.9(3) | 0.099(2) | |||
| Si | 48.6(3) | 0.97(1) | |||
| 0.10 | β | Fe | 33.9(7) | 1.02(2) | β-Fe1.02(2)Mn0.049(8)Si1.93(2) |
| Mn | 1.6(3) | 0.049(8) | |||
| Si | 64.4(6) | 1.93(2) | |||
| ε | Fe | 48.5(4) | 0.96(1) | ε-Fe0.96(1)Mn0.074(9)Si0.97(1) | |
| Mn | 3.7(4) | 0.74(9) | |||
| Si | 47.3(3) | 0.97(1) |
References
- Cheng, J.; Chen, X.; Zhou, J.; Zhang, J.; Qiu, P.; Shi, X.; Chen, L. Crystal Structure and Chemical Bonding of β-FeSi2 and ε-FeSi. J. Phys. Chem. C 2024, 128, 13998–14006. [Google Scholar] [CrossRef]
- Iida, T.; Inoue, R.; Shiojiri, D.; Hirayama, N.; Hamada, N.; Kogo, Y. Silicide materials: Thermoelectric, mechanical properties, and durability for Mg-Si and Mn-Si. In Thermoelectric Energy Conversion; Funahashi, R., Ed.; Woodhead Publishing Series in Electronic and Optical Materials; Elsevier: Amsterdam, The Netherlands, 2021; pp. 389–427. ISBN 978-0-12-818535-3. [Google Scholar]
- Takeuchi, T. New Thermoelectric Materials with Precisely Determined Electronic Structure and Phonon Dispersion. In Thermoelectrics and Its Energy Harvesting; Rowe, D.M., Ed.; Taylor & Francis Group: Abingdon, UK, 2017; pp. 7-1–7-27. ISBN 9781315216904. [Google Scholar]
- Saito, T.; Asakawa, R. Production of (Fe,Co)Si2 and (Fe.Mn)Si2 Thermoelectric Materials by Spark Plasma Sintering. Crystals 2023, 14, 56. [Google Scholar] [CrossRef]
- Sam, S.; Odagawa, S.; Nakatsugawa, H.; Okamoto, Y. Effect of Ni Substitution on Thermoelectric Properties of Bulk β-Fe1−xNixSi2 (0 ≤ x ≤ 0.03). Materials 2023, 16, 927. [Google Scholar] [CrossRef] [PubMed]
- Kim, S.W.; Cho, M.K.; Mishima, Y.; Choi, D.C. High temperature thermoelectric properties of p- and n-type β-FeSi2 with some dopants. Intermetallics 2003, 11, 399–405. [Google Scholar] [CrossRef]
- Yamashita, O.; Tomiyoshi, S.; Sadatomi, N. Thermoelectric properties of p- and n-type FeSi2 prepared by spray drying, compaction and sintering technique. J. Mater. Sci. 2003, 38, 1623–1629. [Google Scholar] [CrossRef]
- Qiu, P.; Cheng, J.; Chai, J.; Du, X.; Xia, X.; Ming, C.; Zhu, C.; Yang, J.; Sun, Y.; Xu, F.; et al. Exceptionally Heavy Doping Boosts the Performance of Iron Silicide for Refractory Thermoelectrics. Adv. Energy Mater. 2022, 12, 2200247. [Google Scholar] [CrossRef]
- Du, X.; Qiu, P.; Chai, J.; Mao, T.; Hu, P.; Yang, J.; Sun, Y.-Y.; Shi, X.; Chen, L. Doubled Thermoelectric Figure of Merit in p-Type β-FeSi2 via Synergistically Optimizing Electrical and Thermal Transports. ACS Appl. Mater. Interfaces 2020, 12, 12901–12909. [Google Scholar] [CrossRef] [PubMed]
- Cheng, J.; Gan, L.; Zhang, J.; Xi, J.; Xi, L.; Yang, J.; Deng, T.; Qiu, P.; Shi, X.; Chen, L. Thermoelectric properties of heavily Co-doped β-FeSi2. J. Mater. Sci. Technol. 2024, 187, 248–257. [Google Scholar] [CrossRef]
- Dąbrowski, F.; Ciupiński, Ł.; Zdunek, J.; Kruszewski, J.; Zybała, R.; Michalski, A.; Jan Kurzydłowski, K. Microstructure and thermoelectric properties of p and n type doped β-FeSi2 fabricated by mechanical alloying and pulse plasma sintering. Mater. Today Proc. 2019, 8, 531–539. [Google Scholar] [CrossRef]
- Dusausoy, Y.; Protas, J.; Wandji, R.; Roques, B. Structure cristalline du disiliciure de fer, FeSi2β. Acta Crystallogr. Sect. B Struct. Crystallogr. Cryst. Chem. 1971, 27, 1209–1218. [Google Scholar] [CrossRef]
- Sales, B.C.; Jones, E.C.; Chakoumakos, B.C.; Fernandez-Baca, J.A.; Harmon, H.E.; Sharp, J.W.; Volckmann, E.H. Magnetic, transport, and structural properties of Fe1−xIrxSi. Phys. Rev. B 1994, 50, 8207–8213. [Google Scholar] [CrossRef] [PubMed]
- Li, G.; Bai, W.; Shi, N.; Fang, Q.; Xiong, M.; Yang, J.; Ma, Z.; Rong, H. Linzhiite, FeSi2, a redefined and revalidated new mineral species from Luobusha, Tibet, China. Eur. J. Miner. 2012, 24, 1047–1052. [Google Scholar] [CrossRef]
- Nogi, K.; Kita, T. Rapid production of β-FeSi2 by spark-plasma sintering. J. Mater. Sci. 2000, 35, 5845–5849. [Google Scholar] [CrossRef]
- Sam, S.; Nakatsugawa, H.; Okamoto, Y. Optimization of Co additive amount to improve thermoelectric properties of β-FeSi2. Jpn. J. Appl. Phys. 2022, 61, 111002. [Google Scholar] [CrossRef]
- Ail, U.; Gorsse, S.; Perumal, S.; Prakasam, M.; Umarji, A.; Vivès, S.; Bellanger, P.; Decourt, R. Thermal conductivity of β-FeSi2/Si endogenous composites formed by the eutectoid decomposition of α-Fe2Si5. J. Mater. Sci. 2015, 50, 6713–6718. [Google Scholar] [CrossRef]
- Hsin, C.-L.; Liu, Y.-T.; Tsai, Y.-Y. Suppressed Umklapp scattering of β -FeSi2 thin film and single crystalline nanowires. Nanotechnology 2017, 28, 485702. [Google Scholar] [CrossRef] [PubMed]





Disclaimer/Publisher’s Note: The statements, opinions and data contained in all publications are solely those of the individual author(s) and contributor(s) and not of MDPI and/or the editor(s). MDPI and/or the editor(s) disclaim responsibility for any injury to people or property resulting from any ideas, methods, instructions or products referred to in the content. |
© 2026 by the authors. Licensee MDPI, Basel, Switzerland. This article is an open access article distributed under the terms and conditions of the Creative Commons Attribution (CC BY) license (https://creativecommons.org/licenses/by/4.0/).
Share and Cite
Sam, S.; Yamazaki, K.; Nakatsugawa, H. Phase Transition and Transport Properties in p-Type β-FeSi2 Semiconductor. Mater. Proc. 2025, 26, 7. https://doi.org/10.3390/materproc2025026007
Sam S, Yamazaki K, Nakatsugawa H. Phase Transition and Transport Properties in p-Type β-FeSi2 Semiconductor. Materials Proceedings. 2025; 26(1):7. https://doi.org/10.3390/materproc2025026007
Chicago/Turabian StyleSam, Sopheap, Kosuke Yamazaki, and Hiroshi Nakatsugawa. 2025. "Phase Transition and Transport Properties in p-Type β-FeSi2 Semiconductor" Materials Proceedings 26, no. 1: 7. https://doi.org/10.3390/materproc2025026007
APA StyleSam, S., Yamazaki, K., & Nakatsugawa, H. (2025). Phase Transition and Transport Properties in p-Type β-FeSi2 Semiconductor. Materials Proceedings, 26(1), 7. https://doi.org/10.3390/materproc2025026007
