Sign in to use this feature.

Years

Between: -

Subjects

remove_circle_outline
remove_circle_outline
remove_circle_outline
remove_circle_outline
remove_circle_outline
remove_circle_outline
remove_circle_outline
remove_circle_outline
remove_circle_outline

Journals

remove_circle_outline
remove_circle_outline
remove_circle_outline
remove_circle_outline
remove_circle_outline
remove_circle_outline
remove_circle_outline
remove_circle_outline
remove_circle_outline
remove_circle_outline

Article Types

Countries / Regions

remove_circle_outline
remove_circle_outline
remove_circle_outline
remove_circle_outline

Search Results (1,944)

Search Parameters:
Keywords = Nantong

Order results
Result details
Results per page
Select all
Export citation of selected articles as:
30 pages, 5367 KB  
Article
A Physics-Informed Neural Network with Hybrid Architecture for Magnetic Core Loss Prediction Under Complex Conditions
by Xiaoyan Shen, Hongkui Zhong and Ruiqing Han
Magnetochemistry 2026, 12(1), 7; https://doi.org/10.3390/magnetochemistry12010007 (registering DOI) - 10 Jan 2026
Abstract
Magnetic core loss is an important indicator for describing the performance of magnetic elements. The traditional physical model has an insufficient performance for predicting the magnetic core loss of magnetic elements under complex conditions such as high temperature, non-sinusoidal waveform, and high frequency. [...] Read more.
Magnetic core loss is an important indicator for describing the performance of magnetic elements. The traditional physical model has an insufficient performance for predicting the magnetic core loss of magnetic elements under complex conditions such as high temperature, non-sinusoidal waveform, and high frequency. To address this issue, this study proposes a physics-informed neural network (PINN)-based model for magnetic core loss prediction. In particular, this PINN-based model is constructed with a hybrid network architecture as a baseline algorithm, which combines a convolutional long short-term memory network (Conv-LSTM), power spectral density (PSD), and an ensemble learning method (including extreme gradient boosting (XGB), gradient boosting regression (GBR), and random forest (RF)). This design aims to address the complexity of magnetic core loss prediction. Moreover, the Steinmetz equation (SE) is improved to enhance the adaptability under complex conditions, and this improved Steinmetz equation (ISE) is integrated as physical constraints embedded in the neural network for magnetic core loss prediction. Based on the traditional data-driven loss term, the physical residual term is introduced as a regularization constraint to enable the prediction to satisfy both the observed data distribution and physical law. The experimental results show that the PINN-based model has a good prediction performance of magnetic core loss under complex conditions. Full article
(This article belongs to the Section Magnetic Materials)
20 pages, 2416 KB  
Article
Design and Experimental Study of a Whole-Stalk Harvesting Header Based on Reed (Phragmites australis) Characteristic Parameters
by Binbin Ji, Yaoming Li, Kuizhou Ji, Jie Zhou and Bohan Fan
Appl. Sci. 2026, 16(2), 707; https://doi.org/10.3390/app16020707 - 9 Jan 2026
Abstract
The whole-stalk harvesting and baling of reeds (Phragmites australis (Cav.) Trin. ex Steud) require a header with high efficiency and low loss rate. Based on an analysis of reed characteristic parameters, this paper proposes a T-shaped layout header design for whole-stalk reed [...] Read more.
The whole-stalk harvesting and baling of reeds (Phragmites australis (Cav.) Trin. ex Steud) require a header with high efficiency and low loss rate. Based on an analysis of reed characteristic parameters, this paper proposes a T-shaped layout header design for whole-stalk reed harvesting. The design employs bilateral transverse conveying chains and a longitudinal clamping conveying chain, coordinated with a baler at its end, to achieve integrated harvesting and baling of whole reed stalks, thereby improving efficiency. By analyzing the relationship between key header parameters, such as the height of the lifting lugs on the transverse conveying device, the speeds of the transverse and longitudinal conveying chains, and the forward speed of the header, and the posture of the reeds, the causes of header loss during reed harvesting with the T-shaped header are identified. On this basis, a set of design criteria for the key parameters of the T-shaped whole-stalk reed header is established. A T-shaped reed whole-stalk harvesting header was designed according to these criteria and tested in harvesting experiments with varying preset values for forward speed and lower transverse conveying chain speed. Experimental data show that under optimally matched parameters, the header achieves a low average loss rate (Lh ≤ 2.0%) and a high average harvesting efficiency at the rated forward speed (up to 1.0 hm2/h, including baling), verifying the correctness of the theoretical analysis and the design criteria. The research results provide theoretical and experimental support for the design of conveying systems in headers for tall-stalk crops such as reeds. Full article
(This article belongs to the Special Issue State-of-the-Art Agricultural Science and Technology in China)
24 pages, 2570 KB  
Article
SCT-Diff: Seamless Contextual Tracking via Diffusion Trajectory
by Guohao Nie, Xingmei Wang, Debin Zhang and He Wang
J. Imaging 2026, 12(1), 38; https://doi.org/10.3390/jimaging12010038 - 9 Jan 2026
Abstract
Existing detection-based trackers exploit temporal contexts by updating appearance models or modeling target motion. However, the sequential one-shot integration of temporal priors risks amplifying error accumulation, as frame-level template matching restricts comprehensive spatiotemporal analysis. To address this, we propose SCT-Diff, a video-level framework [...] Read more.
Existing detection-based trackers exploit temporal contexts by updating appearance models or modeling target motion. However, the sequential one-shot integration of temporal priors risks amplifying error accumulation, as frame-level template matching restricts comprehensive spatiotemporal analysis. To address this, we propose SCT-Diff, a video-level framework that holistically estimates target trajectories. Specifically, SCT-Diff processes video clips globally via a diffusion model to incorporate bidirectional spatiotemporal awareness, where reverse diffusion steps progressively refine noisy trajectory proposals into optimal predictions. Crucially, SCT-Diff enables iterative correction of historical trajectory hypotheses by observing future contexts within a sliding time window. This closed-loop feedback from future frames preserves temporal consistency and breaks the error propagation chain under complex appearance variations. For joint modeling of appearance and motion dynamics, we formulate trajectories as unified discrete token sequences. The designed Mamba-based expert decoder bridges visual features with language-formulated trajectories, enabling lightweight yet coherent sequence modeling. Extensive experiments demonstrate SCT-Diff’s superior efficiency and performance, achieving 75.4% AO on GOT-10k while maintaining real-time computational efficiency. Full article
(This article belongs to the Special Issue Object Detection in Video Surveillance Systems)
Show Figures

Figure 1

26 pages, 4110 KB  
Article
Effects of Aperture Ratio and Aspect Ratio on High-Speed Water-Entry Stability of Hollow Projectiles
by Jianqiu Tu, Yu Hou, Haixin Chen, Changjian Zhao, Hairui Zhang and Xiaodong Na
J. Mar. Sci. Eng. 2026, 14(2), 137; https://doi.org/10.3390/jmse14020137 - 8 Jan 2026
Abstract
The oblique water-entry stability of hollow projectiles with different aperture ratios (d/D) and aspect ratios (L/D) is investigated numerically in this study. The effects of aperture and aspect ratios on cavity evolution, hydrodynamic forces, and [...] Read more.
The oblique water-entry stability of hollow projectiles with different aperture ratios (d/D) and aspect ratios (L/D) is investigated numerically in this study. The effects of aperture and aspect ratios on cavity evolution, hydrodynamic forces, and projectile motion are disclosed and discussed. When aperture ratios vary from 0.2 to 0.7, a larger aperture ratio results in a longer through-hole jet, earlier cavity closure, and a smaller cavity with less vapor. The best water-entry stability with minimal projectile deflection occurs at d/D = 0.3. For d/D > 0.4, the projectile tends to rotate clockwise and touch the surrounding cavity with a rapid increase in the lift, drag, and moment coefficients, accelerating the velocity decay. When aspect ratios vary from 2 to 7, the transition from stability to instability in the projectile motion is predicted at L/D = 2.75~3. A lower aspect ratio (L/D = 2) promotes stable motion with a steady drag coefficient (Cd ≈ 0.9) and negligible lift and moment. In contrast, the instability occurs at L/D = 3. However, when L/D > 3, the water-entry stability is enhanced with the increasing aspect ratio due to greater projectile mass. The inflection points in the hydrodynamic forces are also delayed and the hollow projectiles penetrate further. Full article
(This article belongs to the Section Ocean Engineering)
19 pages, 5679 KB  
Article
SDDNet: Two-Stage Network for Forgings Surface Defect Detection
by Shentao Wang, Depeng Gao, Byung-Won Min, Yue Hong, Tingting Xu and Zhongyue Xiong
Symmetry 2026, 18(1), 104; https://doi.org/10.3390/sym18010104 - 6 Jan 2026
Viewed by 83
Abstract
Detecting surface defects in forgings is crucial for ensuring the reliability of automotive components such as steering knuckles. In fluorescent magnetic particle inspection (FDMPI) images, normal forging surfaces generally exhibit locally symmetric texture patterns, whereas cracks and other flaws appear as locally asymmetric [...] Read more.
Detecting surface defects in forgings is crucial for ensuring the reliability of automotive components such as steering knuckles. In fluorescent magnetic particle inspection (FDMPI) images, normal forging surfaces generally exhibit locally symmetric texture patterns, whereas cracks and other flaws appear as locally asymmetric regions. Traditional FDMPI inspection relies on manual visual judgement, which is inefficient and error-prone. This paper introduces SDDNet, a symmetry-aware deep learning model for surface defect detection in FDMPI images. A dedicated FDMPI dataset is constructed and further expanded using a denoising diffusion probabilistic model (DDPM) to improve training robustness. To better separate symmetric background textures from asymmetric defect cues, SDDNet integrates a UPerNet-based segmentation layer for background suppression and a Scale-Variant Inception Module (SVIM) within an RTMDet framework for multi-scale feature extraction. Experiments show that SDDNet effectively suppresses background noise and significantly improves detection accuracy, achieving a mean average precision (mAP) of 45.5% on the FDMPI dataset, 19% higher than the baseline, and 71.5% mAP on the NEU-DET dataset, outperforming existing methods by up to 8.1%. Full article
(This article belongs to the Special Issue Symmetry/Asymmetry in Image Processing and Computer Vision)
Show Figures

Figure 1

31 pages, 2157 KB  
Article
DynMultiDep: A Dynamic Multimodal Fusion and Multi-Scale Time Series Modeling Approach for Depression Detection
by Jincheng Li, Menglin Zheng, Jiongyi Yang, Yihui Zhan and Xing Xie
J. Imaging 2026, 12(1), 29; https://doi.org/10.3390/jimaging12010029 - 6 Jan 2026
Viewed by 75
Abstract
Depression is a prevalent mental disorder that imposes a significant public health burden worldwide. Although multimodal detection methods have shown potential, existing techniques still face two critical bottlenecks: (i) insufficient integration of global patterns and local fluctuations in long-sequence modeling and (ii) static [...] Read more.
Depression is a prevalent mental disorder that imposes a significant public health burden worldwide. Although multimodal detection methods have shown potential, existing techniques still face two critical bottlenecks: (i) insufficient integration of global patterns and local fluctuations in long-sequence modeling and (ii) static fusion strategies that fail to dynamically adapt to the complementarity and redundancy among modalities. To address these challenges, this paper proposes a dynamic multimodal depression detection framework, DynMultiDep, which combines multi-scale temporal modeling with an adaptive fusion mechanism. The core innovations of DynMultiDep lie in its Multi-scale Temporal Experts Module (MTEM) and Dynamic Multimodal Fusion module (DynMM). On one hand, MTEM employs Mamba experts to extract long-term trend features and utilizes local-window Transformers to capture short-term dynamic fluctuations, achieving adaptive fusion through a long-short routing mechanism. On the other hand, DynMM introduces modality-level and fusion-level dynamic decision-making, selecting critical modality paths and optimizing cross-modal interaction strategies based on input characteristics. The experimental results demonstrate that DynMultiDep outperforms existing state-of-the-art methods in detection performance on two widely used large-scale depression datasets. Full article
Show Figures

Figure 1

21 pages, 1410 KB  
Article
Do Large Language Models Know When They Lack Knowledge?
by Shuai Qin, Lianke Zhou, Liu Sun and Nianbin Wang
Electronics 2026, 15(2), 253; https://doi.org/10.3390/electronics15020253 - 6 Jan 2026
Viewed by 141
Abstract
Although Large Language Models (LLMs) excel in language tasks, producing fluent and seemingly high-quality text, their outputs are essentially probabilistic predictions rather than verified facts, rendering reliability unguaranteed. This issue is particularly pronounced when models lack the required knowledge, which significantly increases the [...] Read more.
Although Large Language Models (LLMs) excel in language tasks, producing fluent and seemingly high-quality text, their outputs are essentially probabilistic predictions rather than verified facts, rendering reliability unguaranteed. This issue is particularly pronounced when models lack the required knowledge, which significantly increases the risk of fabrications and misleading content. Therefore, understanding whether LLMs know when they lack knowledge is of critical importance. This work systematically evaluates leading LLMs on their ability to recognize knowledge insufficiency and examines several training-free techniques to foster this metacognitive capability, referred to as “integrity” throughout this research. For rigorous evaluation, this study firstly develops a new Question-Answering (Q&A) dataset called Honesty. Specifically, events emerging after the model’s deployment are utilized to generate “unknown questions,” ensuring they fall outside LLMs’ knowledge boundaries, while “known questions” are drawn from existing Q&A datasets, together constituting the Honesty dataset. Subsequently, based on this dataset, systematic experiments are conducted using multiple representative LLMs (e.g., GPT-4o and DeepSeek-V3). The results reveal that semantic understanding and reasoning capabilities are the core factors influencing “integrity.” Furthermore, we find that well-crafted prompts markedly improve models’ integrity, and integrating them with probability- or consistency-based uncertainty evaluation methods yields even stronger performance. These findings highlight the considerable potential of LLMs to express uncertainty when they lack knowledge, and we hope these observations can lay the groundwork for developing more reliable models. Full article
(This article belongs to the Special Issue Trustworthy LLM: AIGC Detection, Alignment and Evaluation)
Show Figures

Figure 1

15 pages, 2917 KB  
Article
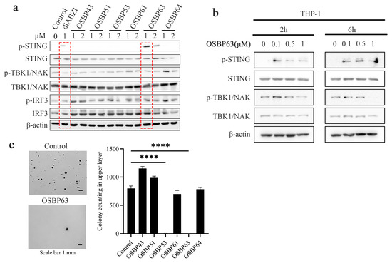
Marine Bromophenol Derivatives as a Novel Class of Potent Small-Molecule STING Agonists
by Manqing Tang, Qiuhui Guo, Ping Wang, Yunfei Li and Bo Jiang
Curr. Issues Mol. Biol. 2026, 48(1), 61; https://doi.org/10.3390/cimb48010061 - 5 Jan 2026
Viewed by 125
Abstract
Activation of the stimulator of interferon genes (STING) pathway has emerged as a promising strategy for cancer immunotherapy. However, the initial cyclic dinucleotide (CDN) analogs developed as STING agonists have shown limited efficacy in clinical trials, prompting interest in non-CDN small-molecule alternatives. In [...] Read more.
Activation of the stimulator of interferon genes (STING) pathway has emerged as a promising strategy for cancer immunotherapy. However, the initial cyclic dinucleotide (CDN) analogs developed as STING agonists have shown limited efficacy in clinical trials, prompting interest in non-CDN small-molecule alternatives. In this study, we identified a novel series of bromophenol derivatives as effective STING agonists. Among these derivatives, OSBP63 robustly activated the STING signaling pathway, resulting in enhanced phosphorylation of interferon regulatory factor 3 (p-IRF3) and increased secretion of interferon-β (IFN-β). Co-administration of Marine Bromophenol Derivative (OSBP63) with paclitaxel (PTX), a conventional anticancer drug, significantly suppressed B-cell lymphoma-2 (BCL-2) expression and protein kinase B (AKT) phosphorylation, thereby demonstrating pronounced anti-tumor activity in a mouse model of breast cancer. These findings suggest that OSBP63 represents a promising non-CDN small-molecule STING agonist candidate, offering a valuable lead for future anticancer therapeutic development. Full article
(This article belongs to the Special Issue Innovations in Marine Biotechnology and Molecular Biology)
Show Figures

Figure 1

21 pages, 2591 KB  
Article
Fast Fault Identification Scheme for MMC-HVDC Grids Based on a Novel Current-Limiting DC Circuit Breaker
by Qiuyu Cao, Zhiyan Li, Xinsong Zhang, Chenghong Gu and Xiuyong Yu
Energies 2026, 19(1), 272; https://doi.org/10.3390/en19010272 - 5 Jan 2026
Viewed by 221
Abstract
The development of high-performance DC circuit breakers (DCCBs) and rapid fault detection schemes is a crucial and challenging part of advancing Modular Multilevel Converter (MMC) HVDC grids. This paper introduces a new current-limiting DCCB that uses the differential discharge times of shunt capacitors [...] Read more.
The development of high-performance DC circuit breakers (DCCBs) and rapid fault detection schemes is a crucial and challenging part of advancing Modular Multilevel Converter (MMC) HVDC grids. This paper introduces a new current-limiting DCCB that uses the differential discharge times of shunt capacitors to generate artificial current zero-crossings, thus facilitating arc quenching. This mechanism significantly reduces the effect of fault currents on the MMC. The shunt capacitors and arresters in the proposed breaker also offer voltage support during faults, effectively stopping transient traveling waves from spreading to nearby non-fault lines. This feature creates an effective line protection boundary in multi-terminal HVDC systems. Additionally, a fast fault detection scheme with primary and backup protection is proposed. A four-terminal MMC-HVDC (±500 kV) simulation model is built in PSCAD/EMTDC to validate the scheme. The results demonstrate the excellent fault detection performance of the proposed method. The voltage and current behavior during the interruption process of the new DCCB is also analyzed and compared with that of a hybrid DCCB. Full article
(This article belongs to the Topic Power System Protection)
Show Figures

Figure 1

25 pages, 1829 KB  
Article
A Water Resources Scheduling Model for Complex Water Networks Considering Multi-Objective Coordination
by Hui Bu, Chun Pan, Chunyang Liu, Yu Zhu, Zhuowei Yin, Zhengya Liu and Yu Zhang
Water 2026, 18(1), 124; https://doi.org/10.3390/w18010124 - 5 Jan 2026
Viewed by 215
Abstract
Complex water networks face prominent contradictions among flood control, water supply, and ecological protection, and traditional scheduling models struggle to address multi-dimensional water security challenges. To solve this problem, this study proposes a multi-objective coordinated water resources scheduling model for complex water networks, [...] Read more.
Complex water networks face prominent contradictions among flood control, water supply, and ecological protection, and traditional scheduling models struggle to address multi-dimensional water security challenges. To solve this problem, this study proposes a multi-objective coordinated water resources scheduling model for complex water networks, taking the Taihu Lake Basin as a typical case. First, a multi-objective optimization indicator system covering flood control, water supply, and aquatic ecological environment was constructed, including 12 key indicators such as drainage efficiency of key outflow hubs and water supply guarantee rate. Second, a dynamic variable weighting strategy was adopted to convert the multi-objective optimization problem into a single-objective one by adjusting indicator weights according to different scheduling periods. Finally, a combined solving mode integrating a basin water quantity-quality model and a joint scheduling decision model was established, optimized using the particle swarm optimization (PSO) algorithm. Under the 1991-Type 100-Year Return Period Rainfall scenario, three scheduling schemes were designed: a basic scheduling scheme and two enhanced discharge schemes modified by lowering the drainage threshold of the Xinmeng River Project. Simulation and decision results show that the enhanced discharge scheme with the lowest drainage threshold achieves the optimal performance with an objective function value of 98.8. Compared with the basic scheme, it extends the flood season drainage days of the Jiepai Hub from 32 to 43 days, increases the average flood season discharge of the Xinmeng River to the Yangtze River by 9.5%, and reduces the maximum water levels of Wangmuguan, Fangqian, Jintan, and Changzhou (III) stations by 5 cm, 5 cm, 4 cm, and 4 cm, respectively. This model effectively overcomes technical bottlenecks such as conflicting multi-objectives and complex water system structures, providing theoretical and technical support for multi-objective coordinated scheduling of water resources in complex water networks. Full article
Show Figures

Figure 1

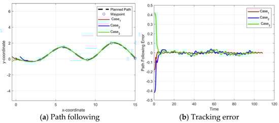
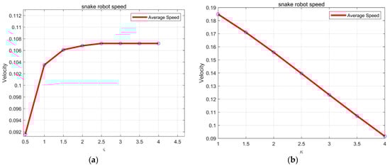
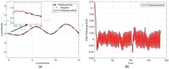
31 pages, 7259 KB  
Article
Fixed-Time Robust Path-Following Control for Underwater Snake Robots with Extended State Observer and Event-Triggering Mechanism
by Qingqing Shi, Jing Liu and Xiao Han
J. Mar. Sci. Eng. 2026, 14(1), 102; https://doi.org/10.3390/jmse14010102 - 4 Jan 2026
Viewed by 124
Abstract
Aiming at the robust path-following control problem of underwater snake robot (USR) systems subject to modeling uncertainties and time-varying external disturbances, this paper proposes a robust path-following control algorithm based on a fast fixed-time extended state observer (FTESO). First, a fixed-time stability framework [...] Read more.
Aiming at the robust path-following control problem of underwater snake robot (USR) systems subject to modeling uncertainties and time-varying external disturbances, this paper proposes a robust path-following control algorithm based on a fast fixed-time extended state observer (FTESO). First, a fixed-time stability framework with a shorter settling time than existing systems is introduced, and a novel extended state observation system based on the fixed-time stability framework is constructed. Subsequently, by combining the disturbance estimates from the proposed observer with a nonsingular fast fixed-time path-following controller, a robust fixed-time path-following controller is developed. This control strategy incorporates a dynamic event-triggering mechanism, which accomplishes the path-following task while conserving computational resources. The fixed-time convergence of the closed-loop control system is rigorously proved using Lyapunov stability theory. Furthermore, a novel head joint suppression function is designed to reduce the probability of losing the tracking target. Simulation results demonstrate that, compared with conventional control methods, the proposed approach exhibits superior tracking performance and enhanced disturbance rejection capability in complex underwater environments. Full article
(This article belongs to the Section Ocean Engineering)
Show Figures

Figure 1

21 pages, 2365 KB  
Article
Exploring Organizational and Individual Determinants of Construction Workers’ Safety Behavior: An Interpretable Machine Learning Approach
by Tianpei Tang, Zhaopeng Liu, Meining Yuan, Yuntao Guo, Xinrong Lin and Jiajian Li
Buildings 2026, 16(1), 191; https://doi.org/10.3390/buildings16010191 - 1 Jan 2026
Viewed by 319
Abstract
Unsafe behaviors among construction workers remain a leading cause of accidents in the construction industry. Previous studies have primarily relied on structural equation modeling and causal inference approaches to investigate the determinants of workers’ safety behavior. However, these methods are often limited in [...] Read more.
Unsafe behaviors among construction workers remain a leading cause of accidents in the construction industry. Previous studies have primarily relied on structural equation modeling and causal inference approaches to investigate the determinants of workers’ safety behavior. However, these methods are often limited in their ability to address confounding bias inherent in observational data and tend to focus on isolated effects of individual variables, thereby overlooking the complex interactions between organizational and individual factors. To overcome these limitations, this study applies the Categorical Boosting (CatBoost) algorithm to examine the joint organizational and individual mechanisms underlying construction workers’ safety behavior. CatBoost is particularly suitable for small- to medium-sized datasets and is capable of automatically capturing complex, nonlinear relationships among variables. Leveraging the SHAP interpretability framework, both main-effect and interaction analyses are conducted to systematically identify the most influential determinants. The results demonstrate that CatBoost outperforms eXtreme Gradient Boosting (XGBoost) and Random Forest (RF) models in predicting safety-related outcomes. Prosociality (PSO) is identified as the most influential predictor, followed by personal proactivity (PAC). Interaction analyses further reveal that organizational attributes—such as prosociality, loyalty, and mutual assistance—play a critical role in cultivating a safety-oriented organizational climate, while an optimistic personal attitude further enhances safety performance on construction sites. Overall, these findings provide meaningful theoretical insights and practical implications for improving safety management in the construction sector. Full article
(This article belongs to the Section Construction Management, and Computers & Digitization)
Show Figures

Figure 1

28 pages, 4156 KB  
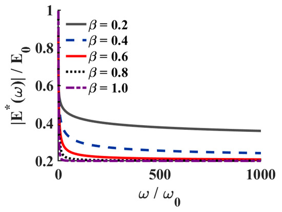
Article
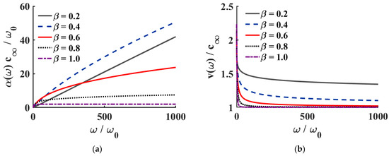
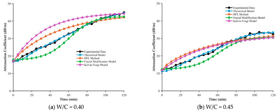
Fractional-Order Ultrasonic Sensing for Monitoring Microstructural Evolution in Cementitious Materials
by Haoran Zheng, Chao Lu, Xiaoxiong Zhou, Xuejun Jia, Xiang Lv, Zhihan Shi and Guangming Zhang
Sensors 2026, 26(1), 271; https://doi.org/10.3390/s26010271 - 1 Jan 2026
Viewed by 251
Abstract
Monitoring the early-age evolution of cementitious materials is essential for ensuring the quality and reliability of concrete structures. However, most ultrasonic approaches rely on empirical correlations and lack a physics-based mechanism to describe the continuous viscoelastic transition during hydration. This study proposes a [...] Read more.
Monitoring the early-age evolution of cementitious materials is essential for ensuring the quality and reliability of concrete structures. However, most ultrasonic approaches rely on empirical correlations and lack a physics-based mechanism to describe the continuous viscoelastic transition during hydration. This study proposes a fractional-order ultrasonic sensing framework that couples a fractional Zener viscoelastic model with ultrasonic attenuation theory to quantitatively link microstructural evolution and measured acoustic responses. A custom ultrasonic measurement system was developed to capture real-time attenuation during hydration under different water-cement ratios. Results show that the fractional-order model achieves higher accuracy and robustness than classical integer-order and empirical models. The fractional parameter β serves as a physically interpretable indicator that reflects the transition from viscous-dominated to elastic-dominated behavior and aligns with known hydration development. The proposed framework provides a compact, physics-informed sensing strategy for early-age characterization of cementitious materials and offers potential for intelligent construction and high-end structural monitoring. Full article
Show Figures

Figure 1

20 pages, 4134 KB  
Article
Robust Flux-Weakening Control Strategy Against Multiple Parameter Variations for Interior Permanent Magnet Synchronous Motors
by Jinqiu Gao, Huichao Li, Shicai Yin, Yao Ming, Gerui Zhang, Chao Gong, Ke Tang and Pengcheng Guo
Machines 2026, 14(1), 53; https://doi.org/10.3390/machines14010053 - 31 Dec 2025
Viewed by 242
Abstract
Interior permanent magnet synchronous motors (IPMSMs) are widely adopted in electric vehicles due to their high torque density and efficiency, and they require flux-weakening operation to achieve high-speed performance under certain driving conditions. However, the traditional current vector control (CVC)-based flux-weakening strategies suffer [...] Read more.
Interior permanent magnet synchronous motors (IPMSMs) are widely adopted in electric vehicles due to their high torque density and efficiency, and they require flux-weakening operation to achieve high-speed performance under certain driving conditions. However, the traditional current vector control (CVC)-based flux-weakening strategies suffer from performance degradation when motor parameters, such as inductances and flux linkage, vary with temperature and operating conditions. To address this issue, this paper proposes a robust flux-weakening control strategy against multiple parameter variations. First, three sequential sliding-mode observers (SMOs) that form a sliding-mode observer suite (SMOS), whose stability is analyzed using Lyapunov theory, are designed to estimate the flux linkage, q-axis inductance, and d-axis inductance, respectively. Second, an error-analysis extraction (EAE) is developed to refine the parameter estimation accuracy by analytically solving a set of linear equations derived from observer results. Third, the accurately estimated parameters are applied to the CVC framework to generate adaptive reference currents, achieving robust and stable flux-weakening control performance. Finally, simulation and experiment are conducted to demonstrate that the proposed strategy effectively enhances control performance under multiple parameter variations. Full article
(This article belongs to the Section Electrical Machines and Drives)
Show Figures

Figure 1

22 pages, 11007 KB  
Article
Microstructure and Mechanical Properties of 7072 Aluminum Alloy Joints Brazed Using (Ni, Y)–Modified Al–Si–Cu–Zn Filler Alloys
by Wei Guo, Ruihua Zhang, Zhen Xue, Hui Wang and Xinyu Zhang
Materials 2026, 19(1), 138; https://doi.org/10.3390/ma19010138 - 31 Dec 2025
Viewed by 285
Abstract
Aluminum–based brazing alloys have been developed for joining 7072 high–strength aluminum alloys. However, challenges related to their high melting points and joint softening still require further exploration. This study employs a combination of first–principles calculations and experimental techniques to examine the microstructure and [...] Read more.
Aluminum–based brazing alloys have been developed for joining 7072 high–strength aluminum alloys. However, challenges related to their high melting points and joint softening still require further exploration. This study employs a combination of first–principles calculations and experimental techniques to examine the microstructure and mechanical properties of 7072 aluminum alloy joints brazed with (Ni, Y)–modified Al–Si–Cu–Zn filler alloys. Through the virtual crystal approximation (VCA) method, it was observed that the Al–10Si–10Cu–5Zn–xNi–yY (x = 0, 1.0, 2.0, 3.0, y = 0.2, 0.4, 0.6) filler alloy exhibits excellent mechanical stability, combining both high strength and reasonable ductility. Seven brazed joint samples with varying Ni and Y contents were fabricated using melting brazing and analyzed. The findings showed that Ni reduces the liquidus temperature of the filler, narrowing the melting range. This facilitates the conversion of the brittle Al2Cu phase into a more ductile Al2(Cu,Ni) phase, thus enhancing joint strength. Y acts as a heterogeneous nucleation site, promoting local undercooling, increasing the nucleation rate, and refining the microstructure. When the Ni content was 2.0 wt.% and the Y content was 0.4 wt.%, the tensile strength of the brazed joint reached a peak value of 295.1 MPa. Computational predictions align with the experimental results, confirming that first–principles calculations are a reliable method for predicting the properties of aluminum alloy brazing materials. Full article
Show Figures

Figure 1

Back to TopTop