Fixed-Time Robust Path-Following Control for Underwater Snake Robots with Extended State Observer and Event-Triggering Mechanism
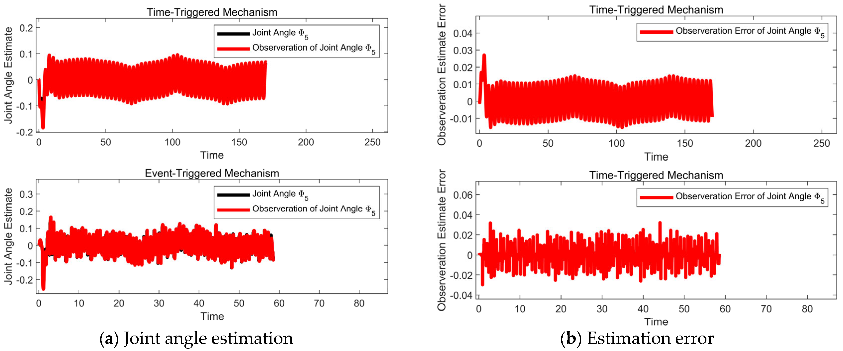
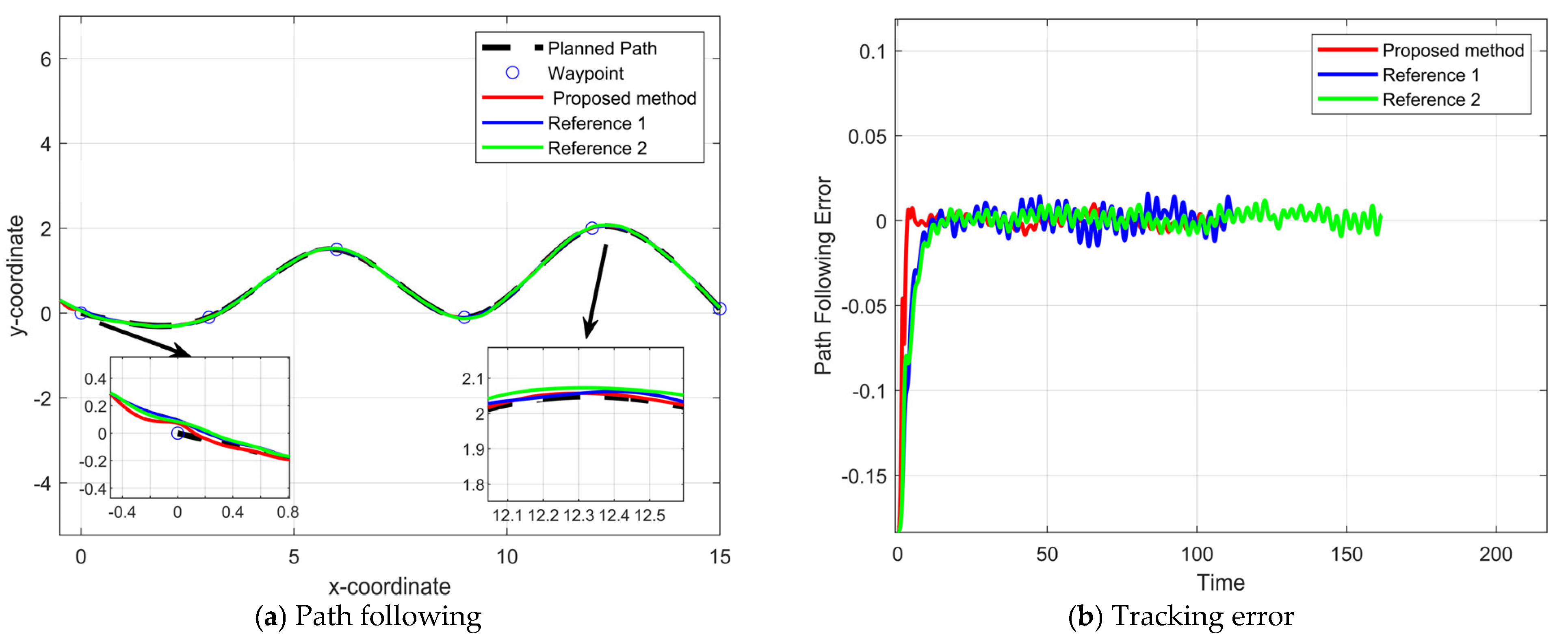
Abstract
Share and Cite
Shi, Q.; Liu, J.; Han, X. Fixed-Time Robust Path-Following Control for Underwater Snake Robots with Extended State Observer and Event-Triggering Mechanism. J. Mar. Sci. Eng. 2026, 14, 102. https://doi.org/10.3390/jmse14010102
Shi Q, Liu J, Han X. Fixed-Time Robust Path-Following Control for Underwater Snake Robots with Extended State Observer and Event-Triggering Mechanism. Journal of Marine Science and Engineering. 2026; 14(1):102. https://doi.org/10.3390/jmse14010102
Chicago/Turabian StyleShi, Qingqing, Jing Liu, and Xiao Han. 2026. "Fixed-Time Robust Path-Following Control for Underwater Snake Robots with Extended State Observer and Event-Triggering Mechanism" Journal of Marine Science and Engineering 14, no. 1: 102. https://doi.org/10.3390/jmse14010102
APA StyleShi, Q., Liu, J., & Han, X. (2026). Fixed-Time Robust Path-Following Control for Underwater Snake Robots with Extended State Observer and Event-Triggering Mechanism. Journal of Marine Science and Engineering, 14(1), 102. https://doi.org/10.3390/jmse14010102
