Fast Fault Identification Scheme for MMC-HVDC Grids Based on a Novel Current-Limiting DC Circuit Breaker
Abstract
1. Introduction
2. Principle of Novel Current-Limiting DCCB
2.1. Topology of the Current-Limiting DCCB
2.2. Operating Principle of the Current-Limiting DCCB
2.3. Parameter Constraints and Stability Analysis of Sequential Discharge
- (1)
- Energy Constraint for Zero-Crossing Creation
- (2)
- Time Constraint for Arc Extinction
3. Impact of DCCBs on the Fault Detection Scheme
3.1. Impact of Conventional Series Type DCCBs
3.2. Impact of the Proposed Current-Limiting Types DCCB
4. The Proposed Fast Fault Identification Scheme
4.1. Primary Protection
4.2. Backup Protection
5. Simulation Results
5.1. Introduction to the Simulation System
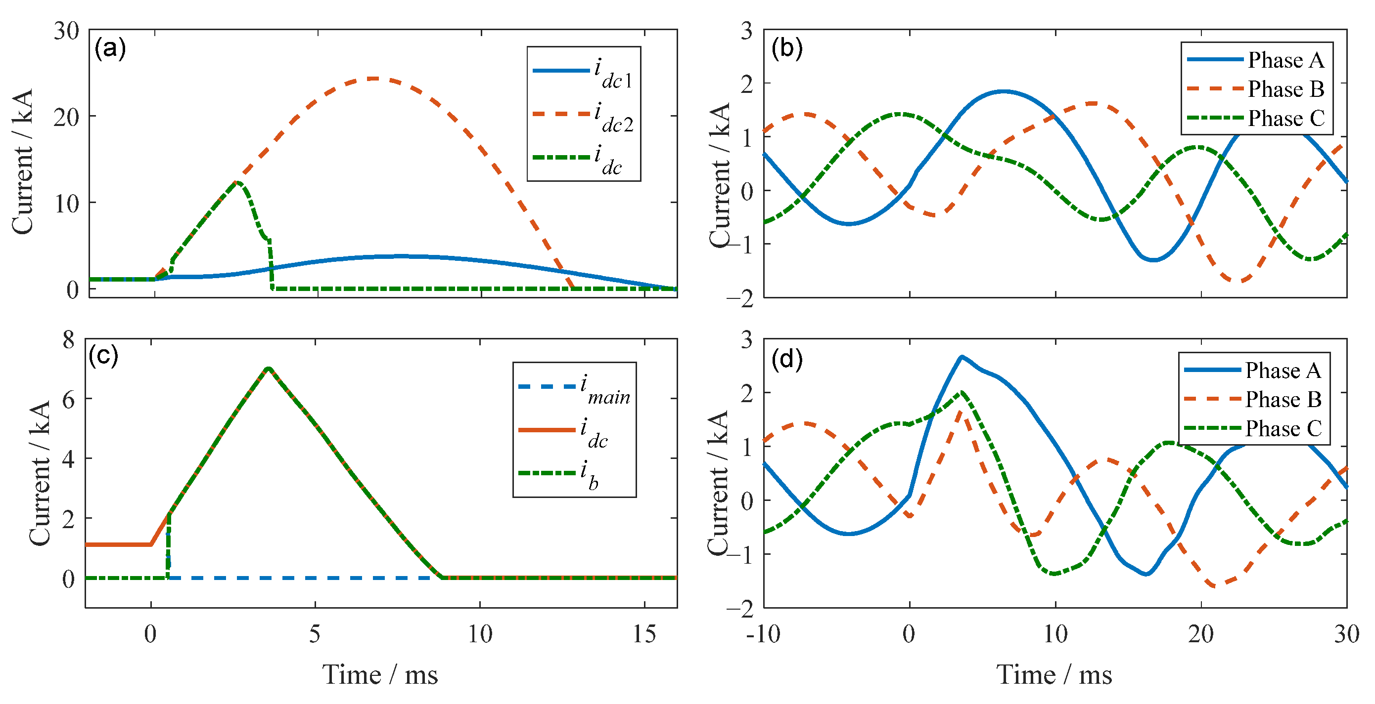
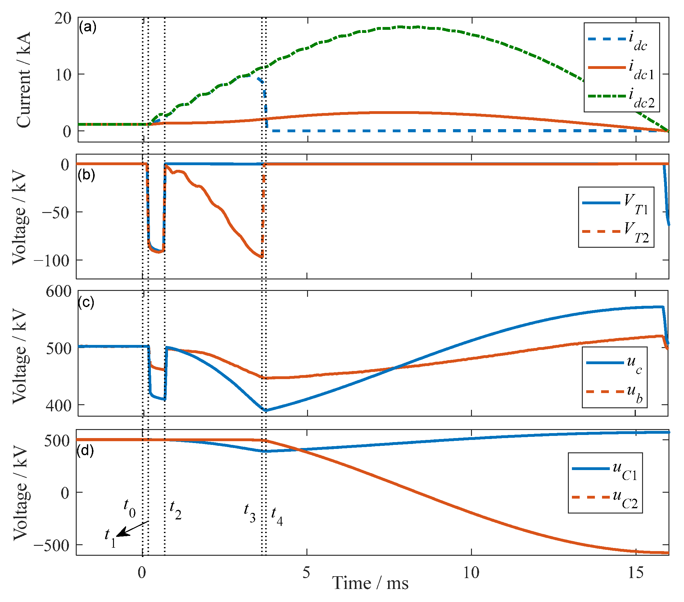
5.2. Operating Characteristics of the Novel DCCB
5.2.1. Voltage and Current Behavior During the Interruption Process
5.2.2. Comparison with Hybrid DCCBs
5.3. Fault Identification Results
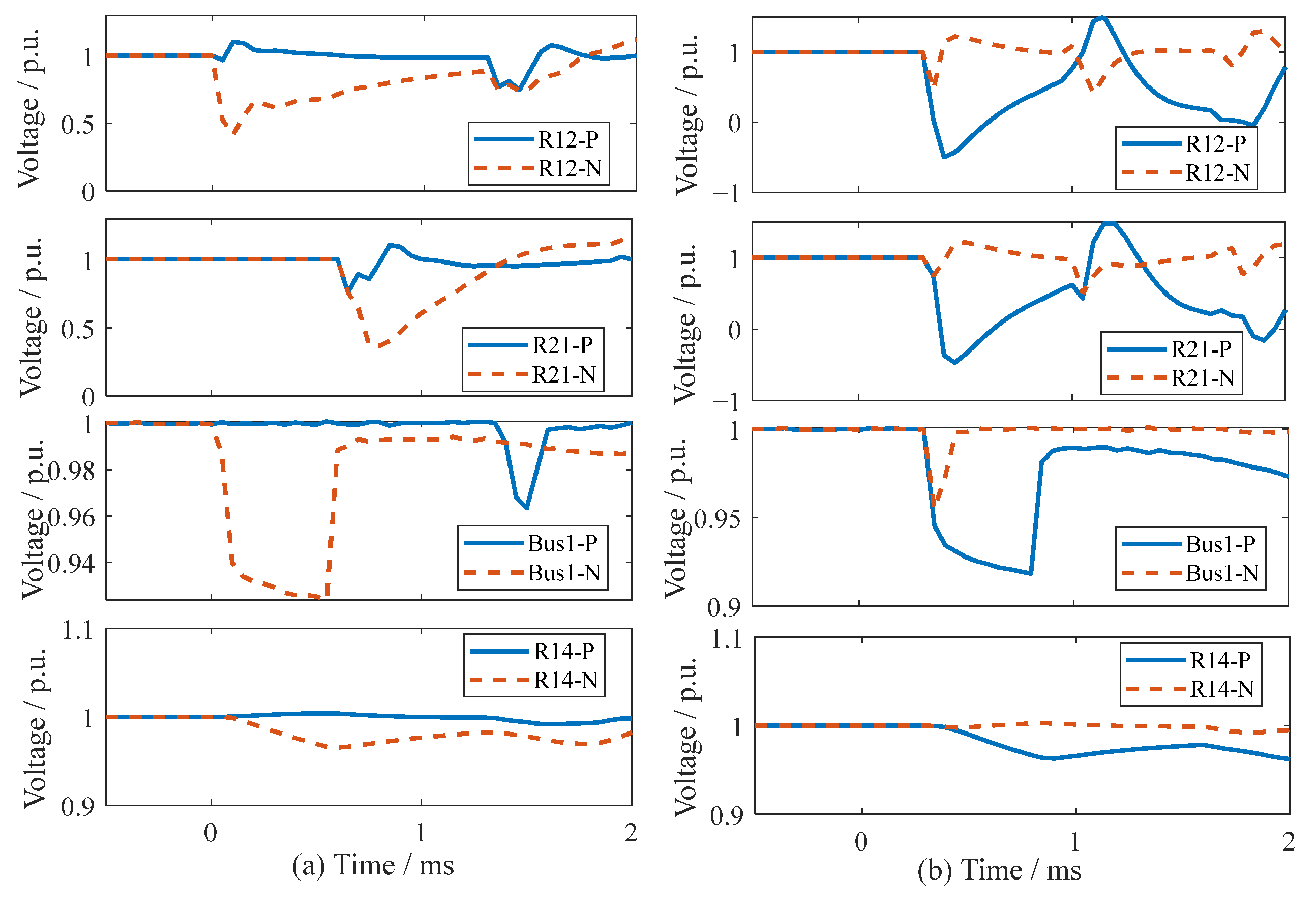
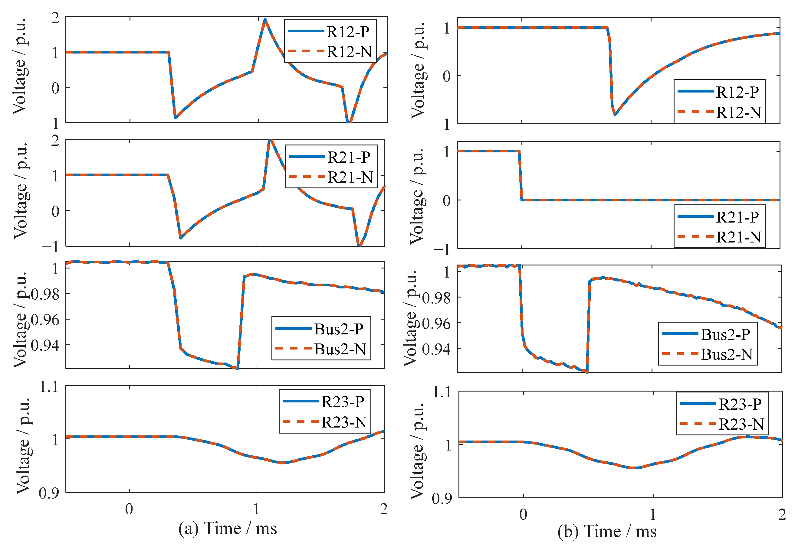
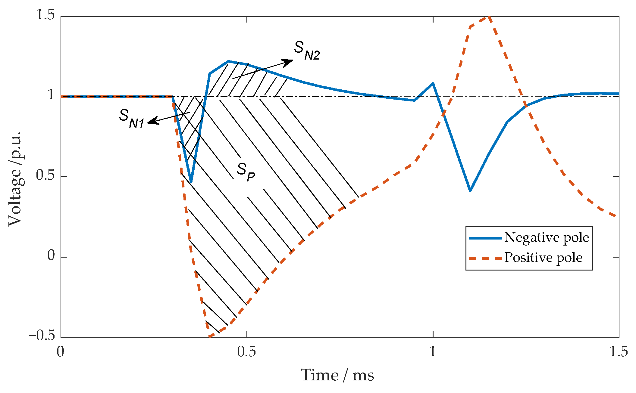
5.3.1. Single-Pole-to-Ground Faults
5.3.2. Bipolar Pole-to-Pole Faults
5.3.3. Fault Identification Results Under Various Faults
5.3.4. Influence of Fault Resistances and Noise Environment
5.3.5. Verification of the Backup Protection Scheme
5.3.6. Comparison with Other Methods
6. Conclusions
Author Contributions
Funding
Data Availability Statement
Acknowledgments
Conflicts of Interest
References
- Zhang, W.M.; Li, T.C.; Wang, X.Z.; Liu, Q.Q.; Liu, S.Y.; Luo, M.Y.; Dai, Z.H. Protection Principle of DC Line Based on Fault Component of Line Mode Voltage with Current-Limiting Reactor. Energies 2025, 18, 4271. [Google Scholar] [CrossRef]
- Zhang, W.; Wang, D. S-Transform Based Traveling Wave Directional Pilot Protection for Hybrid LCC-MMC-HVDC Transmission Line. Energies 2022, 15, 4802. [Google Scholar] [CrossRef]
- Yang, R.; Fang, K.; Chen, J.; Chen, Y.; Liu, M.; Meng, Q. A novel protection strategy for single pole-to-ground fault in multi-terminal DC distribution network. Energies 2023, 16, 2921. [Google Scholar] [CrossRef]
- Wang, T.; Chen, K.; Zhang, L.E.; Hu, X.Y.; Li, H.X.; Ye, P.Q. Research on Fault Identification of Hybrid Multi-Feed High-Voltage Direct Current System Based on Line Commutated Converter and Voltage Source Converter. Energies 2024, 17, 2215. [Google Scholar] [CrossRef]
- Yu, X.; Ma, G.; Yao, Y.; Xiao, L. A pilot protection scheme for MMC-HVDC grids independent of line boundaries based on fault component integration. Int. J. Electr. Power Energy Syst. 2025, 172, 111182. [Google Scholar] [CrossRef]
- Ren, C.L.; Hu, Y.G.; Lu, X.; Chen, Y.; Xia, K.P.; Li, H.L. Advanced Non-Unit Protection Strategy for MMC-HVDC Grids Leveraging Two-Dimensional High-Frequency Characteristics via HHT and SVM. Energies 2025, 18, 3096. [Google Scholar] [CrossRef]
- Heidary, A.; Niasar, M.G.; Marvasti, F.D.; Popov, M. Superconducting Magnetic Energy Storage-Based DC Circuit Breaker for HVDC Applications. IEEE Trans. Power Electron. 2024, 39, 13890–13899. [Google Scholar] [CrossRef]
- Mokhberdoran, A.; Gomis-Bellmunt, O.; Silva, N.; Carvalho, A. Current Flow Controlling Hybrid DC Circuit Breaker. IEEE Trans. Power Electron. 2018, 33, 1323–1334. (In English) [Google Scholar] [CrossRef]
- Häfner, J.; Jacobson, B. Proactive Hybrid HVDC Breakers—A key innovation for reliable HVDC grids. In Proceedings of the Electric Power System of the Future—Integrating Supergrids and Microgrids International Symposium in Bologna, Bologna, Italy, 13–15 September 2011. [Google Scholar]
- Chen, W.J.; Zeng, R.; He, J.J.; Wu, Y.; Wei, X.G.; Fang, T.X.; Yu, Z.Q.; Yuan, Z.; Wu, Y.F.; Zhou, W.D.; et al. Development and prospect of direct-current circuit breaker in China. High Volt. 2021, 6, 1–15. [Google Scholar] [CrossRef]
- Davidson, C.; Grieshaber, W.; Modéer, T.; Smith, D.; Yang, B.; Yu, Z.; Zhang, R. DC Circuit Breakers for High-Voltage dc Grids: Present and Future. IEEE Power Energy Mag. 2024, 22, 87–99. [Google Scholar] [CrossRef]
- Xu, J.Z.; Song, B.Q.; Lu, Y.; Zhao, C.Y.; Li, G.; Liang, J. A Multi-Port Current-Limiting Hybrid DC Circuit Breaker. IEEE Trans. Power Del. 2021, 36, 1672–1682. [Google Scholar] [CrossRef]
- Zhang, S.; Zou, G.B.; Gao, F.; Wei, X.Y.; Zhou, C.H. A Comprehensive Review of Multiport DC Circuit Breakers for MTdc Grid Protection. IEEE Trans. Power Electron. 2023, 38, 9100–9115. [Google Scholar] [CrossRef]
- Zhao, X.B.; Xu, J.Z.; Li, G.; Yuan, J.S.; Liang, J. Coordinated Control of DC Circuit Breakers in Multilink HVDC Grids. CSEE J. Power Energy Syst. 2023, 9, 2224–2235. [Google Scholar] [CrossRef]
- Pourfaraj, A.; Iman-Eini, H.; Hamzeh, M.; Langwasser, M.; Liserre, M. A Thyristor-Based Multiline Hybrid DCCB in Protection Coordination with MMC in Multiterminal DC Grids. IEEE J. Emerg. Sel. Top. Power Electron. 2024, 12, 5055–5064. [Google Scholar] [CrossRef]
- Ding, S.; Yang, M.; Feng, M.K.; Sima, W. A Multiport DC Breaker with Integrated Energy Dissipation Capability for Offshore MTDC Systems. IEEE Trans. Ind. Electron. 2025, in press. [Google Scholar] [CrossRef]
- Lee, J.I.; Dao, V.; Dinh, M.C.; Lee, S.J.; Kim, C.S.; Park, M. Combined Operation Analysis of a Saturated Iron-Core Superconducting Fault Current Limiter and Circuit Breaker for an HVDC System Protection. Energies 2021, 14, 7993. [Google Scholar] [CrossRef]
- Ahmad, M.; Wang, Z.X.; Shafique, M.; Nadeem, M.H. Significance of fault-current-limiters and parameters optimization in HVDC circuit breakers for increased capacity of VSC-HVDC transmission networks application. Energy Rep. 2022, 8, 878–892. [Google Scholar] [CrossRef]
- Zhang, X.; Zhuo, C.R.; Yang, X. A natural commutation current topology of hybrid HVDC circuit breaker integrated with limiting fault current. IET Gener. Transm. Distrib. 2023, 17, 1509–1524. [Google Scholar] [CrossRef]
- Hou, J.J.; Qin, X.H.; Fan, Y.F.; Song, G.B.; Wu, X.F.; Li, P.L.; Gao, C. A selective and staged active current limiting control strategy for fault identification in MMC HVDC power grids. Int. J. Electr. Power Energy Syst. 2024, 160, 110143. [Google Scholar] [CrossRef]
- Shu, H.C.; Shao, Z.X. A bi-directional current-limiting hybrid DC circuit breaker with fast-breaking capability. Electr. Power Syst. Res. 2024, 226, 109902. [Google Scholar] [CrossRef]
- Yu, X.; Gu, J.; Zhang, X.; Mao, J.; Xiao, L. A non-unit fault location scheme for MMC-HVDC grids based on the geometric features of the fault voltage. CSEE J. Power Energy Syst. 2024; in press/in Early Access. [Google Scholar]
- Ñancupil-Quirilao, I.; Torres-Ávila, R.; Palma-Behnke, R.; Álvarez-Malebrán, R.; Espín-Sarzosa, D.; Cortés, M.; Leanez, F.; Flores-Quiroz, A.; Reyes, J.; Esperguel, E.; et al. Identification and Design of Special Protection Schemes for the Energy Transition. IEEE Trans. Power Del. 2025, 40, 18–29. [Google Scholar] [CrossRef]
- Sun, Y.; Fan, Y.; Hou, J.; Song, G. A Unit Protection Scheme Based on the Transient Current Coordinate Mapping Interval. Prot. Control. Mod. Power Syst. 2025, 10, 103–120. [Google Scholar] [CrossRef]
- Psaras, V.; Tzelepis, D.; Vozikis, D.; Adam, G.P.; Burt, G. Non-Unit Protection for HVDC Grids: An Analytical Approach for Wavelet Transform-Based Schemes. IEEE Trans. Power Del. 2021, 36, 2634–2645. [Google Scholar] [CrossRef]
- Yu, J.Q.; Zhang, Z.R.; Xu, Z. Adaptive sequential reclosing strategy for hybrid HVDC circuit breakers in MMC-based DC grids. High Volt. 2022, 7, 890–902. [Google Scholar] [CrossRef]
- Teng, S.F.; Zhang, Z.F.; Xiao, L.Y. Research on a Novel DC Circuit Breaker Based on Artificial Current Zero-Crossing. IEEE Access 2020, 8, 36070–36079. [Google Scholar] [CrossRef]
- Leterme, W.; Beerten, J.; Van Hertem, D. Nonunit Protection of HVDC Grids with Inductive DC Cable Termination. IEEE Trans. Power Del. 2016, 31, 820–828. [Google Scholar] [CrossRef]
- Haleem, N.M.; Rajapakse, A.D. Application of new directional logic to improve DC side fault discrimination for high resistance faults in HVDC grids. J. Mod. Power Syst. Clean Energy 2017, 5, 560–573. [Google Scholar] [CrossRef]
- Liu, J.; Tai, N.; Fan, C. Transient-Voltage Based Protection Scheme for DC Line Faults in Multi-terminal VSC-HVDC System. IEEE Trans. Power Del. 2016, 32, 1483–1494. [Google Scholar] [CrossRef]

















| Stations | I | II | III | IV | |
|---|---|---|---|---|---|
| Parameters | |||||
| SM/mF | 10 | 10 | 15 | 15 | |
| Number of SM | 228 | 228 | 312 | 312 | |
| Arm reactor/mH | 150 | 150 | 100 | 100 | |
| Lt/% | 15 | 15 | 15 | 15 | |
| Ratio (kV/kV) | 520/265 | 235/265 | 235/265 | 520/265 | |
| SCR/kA | 16.3 | 18.2 | 18.7 | 23.8 | |
| Capacity/MW | 3000 | 3000 | 1600 | 1600 | |
| Methods | Direction Protection | Detection Time | Signal Position | Fault Resistance Identification |
|---|---|---|---|---|
| Proposed | None | <1 ms | 1 | >500 Ω |
| Change rate of line-side voltage [28] | None | <1 ms | 1 | >100 Ω |
| Ratio of voltage on both sides of CLR [29] | Yes | <1 ms | 2 | 200 Ω |
| High frequency signal ratio on both sides of CLR [30] | Yes | 1 ms | 2 | >200 Ω |
Disclaimer/Publisher’s Note: The statements, opinions and data contained in all publications are solely those of the individual author(s) and contributor(s) and not of MDPI and/or the editor(s). MDPI and/or the editor(s) disclaim responsibility for any injury to people or property resulting from any ideas, methods, instructions or products referred to in the content. |
© 2026 by the authors. Licensee MDPI, Basel, Switzerland. This article is an open access article distributed under the terms and conditions of the Creative Commons Attribution (CC BY) license.
Share and Cite
Cao, Q.; Li, Z.; Zhang, X.; Gu, C.; Yu, X. Fast Fault Identification Scheme for MMC-HVDC Grids Based on a Novel Current-Limiting DC Circuit Breaker. Energies 2026, 19, 272. https://doi.org/10.3390/en19010272
Cao Q, Li Z, Zhang X, Gu C, Yu X. Fast Fault Identification Scheme for MMC-HVDC Grids Based on a Novel Current-Limiting DC Circuit Breaker. Energies. 2026; 19(1):272. https://doi.org/10.3390/en19010272
Chicago/Turabian StyleCao, Qiuyu, Zhiyan Li, Xinsong Zhang, Chenghong Gu, and Xiuyong Yu. 2026. "Fast Fault Identification Scheme for MMC-HVDC Grids Based on a Novel Current-Limiting DC Circuit Breaker" Energies 19, no. 1: 272. https://doi.org/10.3390/en19010272
APA StyleCao, Q., Li, Z., Zhang, X., Gu, C., & Yu, X. (2026). Fast Fault Identification Scheme for MMC-HVDC Grids Based on a Novel Current-Limiting DC Circuit Breaker. Energies, 19(1), 272. https://doi.org/10.3390/en19010272

