Sign in to use this feature.

Years

Between: -

Subjects

remove_circle_outline
remove_circle_outline
remove_circle_outline
remove_circle_outline

Journals

Article Types

Countries / Regions

remove_circle_outline
remove_circle_outline
remove_circle_outline
remove_circle_outline
remove_circle_outline
remove_circle_outline

Search Results (298)

Search Parameters:
Keywords = NRAS mutations

Order results
Result details
Results per page
Select all
Export citation of selected articles as:
17 pages, 1627 KB  
Article
Co-Occurrence of Nuclear-Catenin and H3K27me3 Expression in Advanced Colorectal Cancer: A Retrospective Observational Study
by Ramona Abrudan, Luca Abrudan, Andreea Cămărășan, Ovidiu Camarasan, Corina Florica Ioniță, Luca Vilceanu and Ovidiu Laurean Pop
Curr. Oncol. 2026, 33(4), 210; https://doi.org/10.3390/curroncol33040210 - 8 Apr 2026
Viewed by 87
Abstract
Colorectal cancer is a heterogeneous malignancy characterized by alterations in oncogenic signaling pathways and epigenetic mechanisms involved in gene regulation. Aberrant activation of the Wnt/β-catenin pathway represents a central molecular event in colorectal tumorigenesis, while histone-associated epigenetic modifications may contribute to tumor progression [...] Read more.
Colorectal cancer is a heterogeneous malignancy characterized by alterations in oncogenic signaling pathways and epigenetic mechanisms involved in gene regulation. Aberrant activation of the Wnt/β-catenin pathway represents a central molecular event in colorectal tumorigenesis, while histone-associated epigenetic modifications may contribute to tumor progression and variability. This study aimed to investigate the relationship between Wnt pathway activation and histone H3 lysine 27 trimethylation in colorectal cancer and to examine their associations with clinicopathological and molecular characteristics. A retrospective observational study was performed on 83 colorectal adenocarcinoma cases using immunohistochemical evaluation of nuclear β-catenin and H3K27me3 expression in formalin-fixed, paraffin-embedded tumor samples, together with molecular analysis of KRAS, NRAS, and BRAF mutations and microsatellite instability status. Nuclear β-catenin expression was observed in 39.8% of cases, while H3K27me3 exhibited negative, mosaic, or diffuse nuclear staining patterns. Nuclear β-catenin expression was significantly associated with patient sex and age, whereas H3K27me3 expression patterns were significantly associated with tumor location, histological grade, disease stage, and metastatic status. These results indicate that Wnt pathway activation and H3K27me3-associated epigenetic alterations frequently coexist in colorectal cancer and support the value of integrated molecular and epigenetic assessment. Full article
Show Figures

Figure 1

19 pages, 2458 KB  
Article
FcγRIIIA Genotype in Plasma Cell Dyscrasias Is Associated with Clinical Progression, Bone Disease Extension and Immune Dysfunction
by Daniela Cambria, Maria Teresa Cannizzaro, Nunziatina Laura Parrinello, Sara Marino, Ilaria Dulcamare, Noemi Puccio, Federica Torricelli, Marta Lionetti, Deborah Calvo, Mohammadreza Khosropoor, Concetta Conticello, Francesco Di Raimondo, Lavinia Raimondi, Gianluca Giavaresi, Cirino Botta, Antonino Neri and Alessandra Romano
Cancers 2026, 18(7), 1084; https://doi.org/10.3390/cancers18071084 - 26 Mar 2026
Viewed by 363
Abstract
Background/Objectives: FcγRIIIA presents a single nucleotide polymorphism at position 158 (V/F), which affects its binding affinity to the fragment crystallizable (Fc) of antibodies (Abs). In the presence of immune complexes, FcγRIIIA can mediate the inflammatory signaling, severity of bone disease, and osteoclastogenic [...] Read more.
Background/Objectives: FcγRIIIA presents a single nucleotide polymorphism at position 158 (V/F), which affects its binding affinity to the fragment crystallizable (Fc) of antibodies (Abs). In the presence of immune complexes, FcγRIIIA can mediate the inflammatory signaling, severity of bone disease, and osteoclastogenic activity. Based on this functional relevance, we hypothesized that the FcγRIIIA F158V polymorphism may influence the clinical presentation of multiple myeloma (MM). Methods: FcγRIIIA F158V genotyping was performed on genomic DNA extracted from peripheral blood samples of patients affected by MM or asymptomatic conditions named MGUS and SMM. We compared the allele frequency of FcγRIIIA-F158V polymorphism in 72 MM, 42 MGUS and 31 SMM and evaluated the association with clinical features and occurrence of high-risk chromosome abnormalities. Targeted NGS mutation analysis was performed on genomic DNA isolated from purified CD138+ bone marrow plasma cells (BMPCs) of 41 patients, to evaluate the association between somatic mutations and the FcγRIIIA F158V genotype. Results: the FcγRIIIA-158 V/V homozygous genotype was associated with high-risk cytogenetics, anemia, high beta-2 microglobulin levels, and more than 10 osteolytic lesions. V/V homozygous genotype was significantly associated with at least one mutation in RAS pathway genes (N-RAS, K-RAS or B-RAF). In the immune microenvironment, patients carrying the V/V homozygous genotype had a higher percentage of CD14+CD16++ non-conventional inflammatory monocytes than the V/F or FF genotype. Conclusions: Our study contributes to a better understanding of the interactions between genetic variants, tumor microenvironment, and therapeutic response in plasma cell dyscrasias, to identify molecular biomarkers for precision medicine in MM, MGUS and SMM. Full article
(This article belongs to the Section Molecular Cancer Biology)
Show Figures

Figure 1

15 pages, 2867 KB  
Article
Associations of Tumor Somatic Mutations and Genetic Alterations with Survival Outcomes in Melanoma Patients Treated with Ipilimumab
by Mohammad Ali Khaksar, Islam Eljilany, Ibrahim Yassine, Xiaoqing Yu, Jamie K. Teer, Jose R. Conejo-Garcia, Maureen Lyons, William LaFramboise and Ahmad A. Tarhini
J. Clin. Med. 2026, 15(6), 2355; https://doi.org/10.3390/jcm15062355 - 19 Mar 2026
Viewed by 505
Abstract
Background: Identifying patients most likely to benefit from immune checkpoint inhibitors (ICIs) remains a significant challenge in advanced melanoma. We evaluated the association between tumor somatic mutations and clinical outcomes, focusing on relapse-free survival (RFS) and overall survival (OS) in locoregionally advanced melanoma [...] Read more.
Background: Identifying patients most likely to benefit from immune checkpoint inhibitors (ICIs) remains a significant challenge in advanced melanoma. We evaluated the association between tumor somatic mutations and clinical outcomes, focusing on relapse-free survival (RFS) and overall survival (OS) in locoregionally advanced melanoma patients treated with neoadjuvant ipilimumab. Methods: Tumor specimens and matched peripheral blood samples from 22 patients underwent whole-exome sequencing (WES) to identify non-synonymous somatic mutations. Tumor mutational burden (TMB) was quantified, and specific mutations were analyzed for associations with survival outcomes. Results: The analysis revealed a mutational landscape dominated by single-nucleotide missense mutations with a median TMB of 11.4 mutations/MB. BRAF and NRAS mutations were detected in 73% of patients and exhibited mutual exclusivity and concurrence patterns (p < 0.05). Positional clustering identified NRAS and SLC35B4 as key contributors to melanoma (FDR p-value < 0.05). Log-rank analysis indicated that mutations in ODZ1, USP34, CEP192, EML5, KIAA1797, ATAD5, and ANKHD1–EIF4EBP were associated with shorter survival outcomes (RFS or OS). The associations remained significant in both univariate and multivariable Cox regression models adjusted for TMB. These genes can be broadly grouped into functional categories relevant to tumor progression and immune modulation. In applying multiple testing correction, none maintained statistical significance, indicating that these findings should be interpreted as exploratory and require validation in independent cohorts. Conclusions: This study identified tumor genomic alterations associated with clinical outcomes in melanoma patients treated with neoadjuvant ipilimumab, suggesting their potential role in anti-tumor immunity. These findings warrant further investigation in larger cohorts and across other ICIs in melanoma and other malignancies. Full article
(This article belongs to the Section Oncology)
Show Figures

Figure 1

13 pages, 246 KB  
Review
Biomarkers in Colorectal Cancer: Clinically Relevant Diagnostic and Prognostic Molecular Features, and the Future of Precision Medicine
by Rebecca Whitmer, Julia Sepulveda, Jason Gandhi, Isha Puri and Rohan Gupta
J. Pers. Med. 2026, 16(3), 132; https://doi.org/10.3390/jpm16030132 - 28 Feb 2026
Viewed by 658
Abstract
Colorectal cancer (CRC) is a major public health concern in the United States. It is currently the fourth most diagnosed cancer and, despite advancements in screening and treatment, the second leading cause of cancer-related deaths. Approximately 153,000 new cases are diagnosed annually, with [...] Read more.
Colorectal cancer (CRC) is a major public health concern in the United States. It is currently the fourth most diagnosed cancer and, despite advancements in screening and treatment, the second leading cause of cancer-related deaths. Approximately 153,000 new cases are diagnosed annually, with over 53,000 deaths reported. Understanding the molecular and genetic underpinnings of CRC biomarkers plays a crucial role in diagnosis, prognosis, and treatment planning. Specific gene mutations, including MMR deficiency leading to high microsatellite instability (MSI), as well as several other common mutations in CRC, including APC, TP53, KRAS, NRAS, SMAD4, PIK3CA and BRAF, provide valuable insights into tumor biology, therapeutic resistance, and response to targeted therapies. This review explores the mutations and co-mutations most relevant to CRC, their prevalence, prognostic significance, and implications for precision oncology. By focusing on these genetic and epigenetic alterations, we aim to contextualize how biomarker-driven strategies are reshaping the management of CRC in both early and advanced disease settings. Full article
(This article belongs to the Special Issue Cancer Biomarker and Molecular Oncology)
21 pages, 2309 KB  
Article
Multistep ctDNA Monitoring of Minimal Residual Disease in Colorectal Cancer Liver Metastases: From Tissue NGS to Highly Sensitive Digital PCR Platforms
by Izabela Górzyńska, Agata Konieczka, Paweł Gaj, Michał Świerniak, Tomasz Stokłosa, Michał Grąt and Oskar Kornasiewicz
Diagnostics 2026, 16(5), 645; https://doi.org/10.3390/diagnostics16050645 - 24 Feb 2026
Viewed by 602
Abstract
Background/Objectives: Colorectal cancer (CRC) liver metastases present a significant clinical challenge due to high recurrence risks post-resection. Traditional diagnostics often fail to detect early-stage minimal residual disease (MRD). This preliminary pilot study evaluated ctDNA dynamics in 10 patients with liver metastases using [...] Read more.
Background/Objectives: Colorectal cancer (CRC) liver metastases present a significant clinical challenge due to high recurrence risks post-resection. Traditional diagnostics often fail to detect early-stage minimal residual disease (MRD). This preliminary pilot study evaluated ctDNA dynamics in 10 patients with liver metastases using a personalized multistep approach. Methods: Following primary tumor Next-Generation Sequencing (NGS) to identify somatic mutations in KRAS, NRAS, TP53, RET, APC, and WRN, custom TaqMan assays were designed for longitudinal plasma analysis. Four methodologies were compared: HRM-PCR, PNA-enhanced qPCR, and two digital platforms (dPCR and ddPCR). Results: While HRM-PCR sensitivity was limited in plasma, digital platforms demonstrated 100% qualitative concordance. MRD-negative status (VAF 0.00%) was identified in 70% of cases (P01, P03, P06, P07, P08, P09, P10), while detectable ctDNA in patients P02, P04, and P05 strongly correlated with aggressive progression. Digital PCR enabled the ultra-low detection of Variant Allele Frequencies (VAFs), identifying high molecular burdens (e.g., P05, VAF 49%) correlating with rapid decline, and capturing early molecular residue in P04 (VAF 0.62%). Conclusions: Our preliminary findings confirm that personalized longitudinal VAF tracking via digital PCR provides superior prognostic value, serving as a robust tool for recurrence monitoring in personalized CRC therapy. Full article
(This article belongs to the Special Issue Utilization of Liquid Biopsy in Cancer Diagnosis and Management 2025)
Show Figures

Figure 1

24 pages, 6258 KB  
Article
Ras-Related Mutants Identified in Young-Onset Colorectal Cancer Display Divergent Phenotypes and Retain Their Pro-Angiogenic Effects
by Andrei Phillip L. David, Mariko Isabelle P. Galvez, Sidney Allen A. Chua, Dominique Mickai G. Leaño, Dennis L. Sacdalan and Reynaldo L. Garcia
Cells 2026, 15(4), 349; https://doi.org/10.3390/cells15040349 - 14 Feb 2026
Viewed by 761
Abstract
The Ras-related (RRAS) gene is a member of the Ras superfamily and remains largely uncharacterized compared to KRAS, NRAS, and HRAS. Its role in tumorigenesis remains poorly documented, as evidenced by its lack of canonical mutations in any [...] Read more.
The Ras-related (RRAS) gene is a member of the Ras superfamily and remains largely uncharacterized compared to KRAS, NRAS, and HRAS. Its role in tumorigenesis remains poorly documented, as evidenced by its lack of canonical mutations in any cancer type. This study investigated the effects of the novel RRAS R78W and E63D mutants—identified in Filipino young-onset colorectal cancer (YO-CRC) patients—on cancer hallmarks. In silico analysis was performed to predict the effect of the mutations on RRAS structure. F-actin staining of transfected NIH3T3 cells displayed massive cytoskeletal remodeling and formation of migratory and invasive structures. RRAS R78W enhanced migration when compared to wild-type RRAS in NIH3T3 and HCT116 cells, whereas neither mutant affected invasive capacity. Both mutants did not abolish the pro-angiogenic ability of wild-type RRAS in endothelial tube formation assays. RRAS E63D conferred resistance to apoptosis in both cell lines. Both mutants had no effect on cellular proliferation in either cell line. Overexpression of both mutants did not increase Akt and Erk1/2 phosphorylation. In silico analysis further suggests that the mutations confer increased GEF-binding ability versus wild-type. Results of the study highlight the need to characterize Ras isoform- and mutation-specific phenotypic effects, which may have repercussions in CRC management. Full article
(This article belongs to the Section Cell Signaling)
Show Figures

Graphical abstract

13 pages, 832 KB  
Article
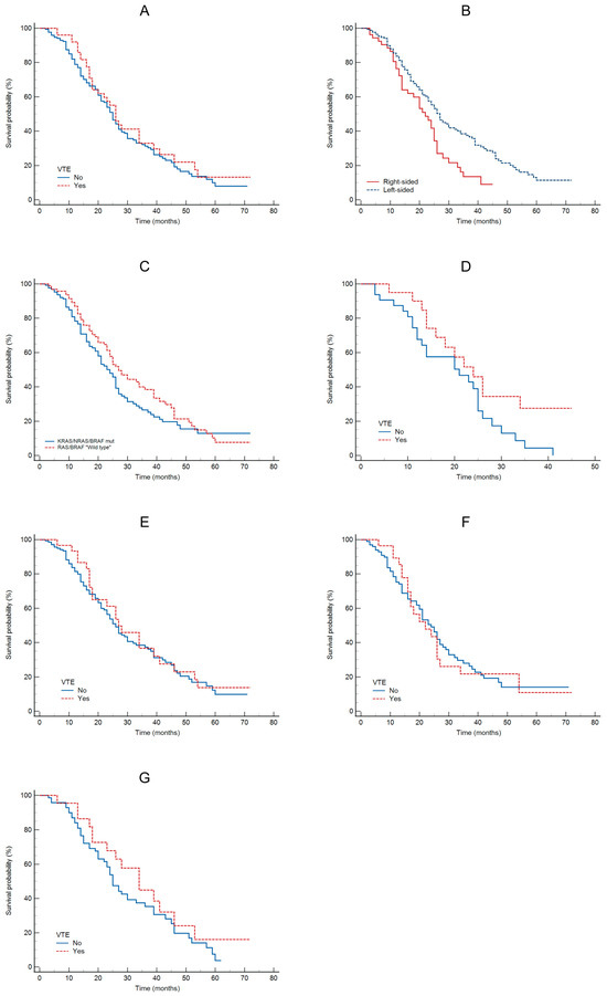
Association of Cancer—Associated Venous Thromboembolism with the Primary Site of Colorectal Cancer, with Respect to KRAS/NRAS/BRAF Mutations
by Josipa Jović Zlatović, Milenko Bevanda, Vesna Telesmanić Dobrić, Zvonimir Curić, Inga Marijanović, Marija Karaga, Marko Skelin, Snježana Tomić, Ivo Dilber and Tomislav Omrčen
Biomedicines 2026, 14(2), 312; https://doi.org/10.3390/biomedicines14020312 - 30 Jan 2026
Viewed by 508
Abstract
Background/Objectives: Venous thromboembolism (VTE) is a common and clinically significant complication in patients with metastatic colorectal cancer (mCRC). Tumor sidedness and molecular alterations such as RAS and BRAF mutations are established prognostic factors in mCRC; however, their role in VTE risk stratification remains [...] Read more.
Background/Objectives: Venous thromboembolism (VTE) is a common and clinically significant complication in patients with metastatic colorectal cancer (mCRC). Tumor sidedness and molecular alterations such as RAS and BRAF mutations are established prognostic factors in mCRC; however, their role in VTE risk stratification remains unclear. This study aimed to evaluate the association between primary tumor sidedness, KRAS/NRAS/BRAF mutational status, and VTE occurrence in patients with mCRC treated in the outpatient setting. Methods: This multicenter ambispective observational study included 224 patients with mCRC treated with first-line chemotherapy with or without targeted therapy. All patients had known KRAS/NRAS/BRAF statuses. The primary endpoint was the association between tumor sidedness and VTE risk. Secondary endpoints included associations between oncogenic mutations and VTE, subgroup analyses according to tumor localization and mutational status, and overall survival (OS). Multivariate logistic regression was used to identify independent predictors of VTE. Results: After a median follow-up of 21 months, VTE occurred in 23.3% of patients. The incidence of VTE was significantly higher in right-sided colorectal cancer (RCRC) compared with left-sided colorectal cancer (LCRC) (41.0% vs. 17.6%, p < 0.001). Although KRAS/NRAS and BRAF mutations were more frequent in RCRC, mutational status was not independently associated with VTE. In multivariate analysis, right-sided tumor location remained a strong predictor of VTE (OR 5.2; 95% CI 1.9–14.1; p = 0.001), along with anti-EGFR therapy. The Khorana score classified most patients as low risk and did not reliably identify those who developed VTE. VTE occurrence was not significantly associated with OS, whereas right-sided tumor location was associated with inferior survival. Conclusions: Right-sided tumor location is an independent predictor of VTE in patients with mCRC and confers a high absolute thrombotic risk not captured by the Khorana score. Incorporating tumor sidedness into VTE risk assessment may improve identification of patients who could benefit from primary thromboprophylaxis. Full article
Show Figures

Figure 1

35 pages, 1919 KB  
Review
Precision Oncology in Ocular Melanoma: Integrating Molecular and Liquid Biopsy Biomarkers
by Snježana Kaštelan, Fanka Gilevska, Zora Tomić, Josipa Živko and Tamara Nikuševa-Martić
Curr. Issues Mol. Biol. 2026, 48(2), 131; https://doi.org/10.3390/cimb48020131 - 25 Jan 2026
Viewed by 730
Abstract
Ocular melanomas, comprising uveal melanoma (UM) and conjunctival melanoma (CoM), represent the most common primary intraocular and ocular surface malignancies in adults. Although rare compared with cutaneous melanoma, they exhibit unique molecular landscapes that provide critical opportunities for biomarker-driven precision medicine. In UM, [...] Read more.
Ocular melanomas, comprising uveal melanoma (UM) and conjunctival melanoma (CoM), represent the most common primary intraocular and ocular surface malignancies in adults. Although rare compared with cutaneous melanoma, they exhibit unique molecular landscapes that provide critical opportunities for biomarker-driven precision medicine. In UM, recurrent mutations in GNAQ and GNA11, together with alterations in BAP1, SF3B1, and EIF1AX, have emerged as key prognostic biomarkers that stratify metastatic risk and guide surveillance strategies. Conversely, in CoM, the mutational spectrum overlaps with cutaneous melanoma, with frequent alterations in BRAF, NRAS, NF1, and KIT, offering actionable targets for personalised treatment. Beyond genomics, epigenetic signatures, microRNAs, and protein-based markers provide further insights into tumour progression, microenvironmental remodelling, and immune evasion. In parallel, liquid biopsy has emerged as a minimally invasive approach for real-time disease monitoring. Analyses of circulating tumour DNA (ctDNA), circulating tumour cells (CTCs), and exosome-derived microRNAs demonstrate increasing potential for early detection of minimal residual disease, prognostic assessment, and evaluation of treatment response. However, the clinical integration of these biomarkers remains limited by tumour heterogeneity, technical variability, and the lack of unified translational frameworks. This review synthesises current knowledge of molecular and liquid biopsy biomarkers in ocular melanoma, highlighting their relevance for diagnosis, prognosis, and treatment personalisation. The integration of established tissue-based molecular markers with novel liquid biopsy technologies will enable a unique framework for biomarker-guided precision oncology and risk-adapted surveillance in uveal and conjunctival melanoma, offering insight into strategies for early detection, therapeutic monitoring, and personalised clinical management. Full article
Show Figures

Figure 1

16 pages, 3317 KB  
Article
PrPC-Neutralizing Antibody Confers an Additive Benefit in Combination with 5-Fluorouracil in KRAS-Mutant Colorectal Cancer Models, Associated with Reduced RAS-GTP and AKT/ERK Phosphorylation
by Jeong Kun Lee, Jun Young Yoon, Jae Young Lee and Sang Hun Lee
Int. J. Mol. Sci. 2026, 27(3), 1159; https://doi.org/10.3390/ijms27031159 - 23 Jan 2026
Viewed by 394
Abstract
Colorectal cancer (CRC) remains a major cause of cancer-related deaths in advanced disease, and activating KRAS/NRAS mutations limit the use of anti-EGFR antibodies to RAS–wild-type tumors. The cellular prion protein (PrPC) has been linked to aggressive and chemoresistant CRC, but its [...] Read more.
Colorectal cancer (CRC) remains a major cause of cancer-related deaths in advanced disease, and activating KRAS/NRAS mutations limit the use of anti-EGFR antibodies to RAS–wild-type tumors. The cellular prion protein (PrPC) has been linked to aggressive and chemoresistant CRC, but its extracellular partners and functional relevance in KRAS-mutant disease are not fully defined. Here, we examined extracellular PrPC complexes and PrPC-associated signaling in CRC cell lines and xenografts using a neutralizing PrPC monoclonal antibody. Across a CRC panel that included SNU-C5/WT and its 5-fluorouracil- and oxaliplatin-resistant derivatives, HT-29 (KRAS–wild-type), and HCT-8 and LoVo (KRAS-mutant), co-immunoprecipitation showed that PrPC forms complexes with the 37/67 kDa laminin receptor (RPSA), with PrPC–RPSA association particularly increased in KRAS-mutant HCT-8 and LoVo cells. PrPC protein levels were higher in KRAS-mutant HCT-8, SW620, and SNU-407 cells than in HT-29, and PrPC neutralization reduced viability in all four lines. Accordingly, we assessed upstream RAS activity and found that active RAS (RAS-GTP) was higher in KRAS-mutant cells than in HT-29, and PrPC treatment was associated with reduced RAS-GTP levels. In the same KRAS-mutant setting, basal AKT phosphorylation exceeded that in HT-29, and PrPC treatment lowered AKT phosphorylation without changing total AKT. Moreover, PrPC treatment was associated with reduced ERK1/2 phosphorylation in KRAS-mutant cells, suggesting attenuation of downstream RAS pathway output. These signaling changes coincided with a decrease in the S-phase fraction and an increase in G1. In an HCT-8 (KRAS G13D) xenograft model, PrPC monotherapy inhibited tumor growth in a dose-dependent manner, and 5-fluorouracil (5-FU) monotherapy produced an intermediate effect. The combination of PrPC (10 mg/kg) and 5-FU (20 mg/kg) yielded the greatest tumor growth inhibition among the tested regimens. Consistent with this enhanced tumor control, immunofluorescence of xenograft tissues showed that PrPC, particularly with 5-FU, reduced intratumoral PrPC and PCNA and decreased CD31-positive microvessels and α-SMA–positive vessel structures. Taken together, these findings suggest that extracellular PrPC supports RAS–AKT signaling, proliferation, and tumor-associated angiogenesis in KRAS-mutant colorectal cancer, and that PrPC neutralization additively enhances 5-fluorouracil activity in KRAS-mutant models. The data provide a preclinical basis for evaluating PrPC antibodies in combination with fluoropyrimidine-based regimens in patients with KRAS-mutant CRC. Full article
(This article belongs to the Special Issue KRAS-Associated Cancer Signaling)
Show Figures

Figure 1

37 pages, 1127 KB  
Review
Lipidomics in Melanoma: Insights into Disease Progression and Therapeutical Targets
by Vittoria Maresca, Emanuela Bastonini, Giorgia Cardinali, Enrica Flori, Daniela Kovacs, Monica Ottaviani and Stefania Briganti
Int. J. Mol. Sci. 2026, 27(2), 1040; https://doi.org/10.3390/ijms27021040 - 20 Jan 2026
Viewed by 1095
Abstract
Melanoma is the deadliest form of skin cancer, characterized by high metastatic potential and intrinsic heterogeneity. In addition to genetic mutations such as BRAF^V600E^ and NRAS, lipid metabolic reprogramming has emerged as a critical factor in tumor progression and therapy resistance. Lipid metabolism [...] Read more.
Melanoma is the deadliest form of skin cancer, characterized by high metastatic potential and intrinsic heterogeneity. In addition to genetic mutations such as BRAF^V600E^ and NRAS, lipid metabolic reprogramming has emerged as a critical factor in tumor progression and therapy resistance. Lipid metabolism supports melanoma cell survival, phenotypic switching, immune evasion, and resistance to targeted therapies and immunotherapy, while also modulating susceptibility to ferroptosis. This review summarizes current knowledge on lipid dysregulation in melanoma, highlighting alterations in fatty acid synthesis, desaturation, uptake, storage, and oxidation, as well as changes in phospholipids, sphingolipids, cholesterol, and bioactive lipid mediators. These lipid pathways are tightly regulated by oncogenic signaling networks, including MAPK and PI3K–AKT–mTOR pathways, and are influenced by tumor microenvironmental stressors such as hypoxia and nutrient limitation. Advances in lipidomics technologies, particularly mass spectrometry-based approaches, have enabled comprehensive profiling of lipid alterations at bulk, spatial, and single-cell levels, offering new opportunities for biomarker discovery and therapeutic stratification. Targeting lipid metabolic vulnerabilities represents a promising strategy to improve melanoma diagnosis, prognosis, and treatment efficacy. Full article
(This article belongs to the Special Issue Advances in Pathogenesis and Treatment of Skin Cancer (2nd Edition))
Show Figures

Figure 1

33 pages, 4093 KB  
Article
Association of TIGIT and CD155 with KRAS, NRAS, BRAF, PIK3CA, and AKT Gene Mutations, MSI Status, and Cytokine Profiles in Colorectal Cancer
by Błażej Ochman, Piotr Limanówka, Sylwia Mielcarska, Agnieszka Kula, Miriam Dawidowicz, Dorota Hudy, Monika Szrot, Jerzy Piecuch, Zenon Czuba, Dariusz Waniczek and Elżbieta Świętochowska
Int. J. Mol. Sci. 2026, 27(2), 937; https://doi.org/10.3390/ijms27020937 - 17 Jan 2026
Viewed by 583
Abstract
TIGIT and its ligand CD155 (PVR) are emerging immune checkpoints in colorectal cancer (CRC), but their associations with mutational subtypes and the tumor immune milieu remain unclear. We quantified TIGIT and CD155 proteins by ELISA in paired CRC tumors and matched surgical margins [...] Read more.
TIGIT and its ligand CD155 (PVR) are emerging immune checkpoints in colorectal cancer (CRC), but their associations with mutational subtypes and the tumor immune milieu remain unclear. We quantified TIGIT and CD155 proteins by ELISA in paired CRC tumors and matched surgical margins (n = 131) and evaluated associations with clinicopathological features, MSI status, and KRAS/NRAS/BRAF/PIK3CA/AKT1 mutations (n = 104). Both TIGIT and CD155 were significantly elevated in tumor tissue versus margins (p < 0.0001) and showed no association with TNM stage, clinical stage, grade, or tumor location. TIGIT levels were higher in MSI than MSS tumors and in BRAF-mutant compared to BRAF wild-type tumors, while CD155 expression showed no consistent MSI- or mutation-dependent differences. Cytokine profiling identified IFN-g as the only shared positive associate of TIGIT and CD155; CD155 additionally associated with TRAIL, IL-1Ra, M-CSF, and PDGF-bb. In external transcriptomic validation (TCGA-CRC), GSEA indicated enrichment of interferon/inflammatory programs in TIGIT-high tumors, while CD155-high tumors preferentially showed proliferation-related MYC/E2F/G2M signatures. Together, these findings support tumor-wide upregulation of the TIGIT/CD155 axis in CRC and suggest that TIGIT, more than CD155, tracks with MSI/BRAF-associated immune activation, providing a rationale for patient stratification in checkpoint-directed immunotherapy. Full article
(This article belongs to the Special Issue Molecular Mechanisms and Therapeutic Strategies of Colorectal Cancer)
Show Figures

Figure 1

16 pages, 1307 KB  
Article
Malignant Melanoma: Landscape of Molecular Markers
by Melanie Winter, Silvana Ebner, Viola Baum, Kati Kiil, Marc-Alexander Rauschendorf and Peter J. Wild
Biomedicines 2026, 14(1), 157; https://doi.org/10.3390/biomedicines14010157 - 12 Jan 2026
Viewed by 756
Abstract
Background: In melanoma diagnostics key molecular markers, such as BRAF, NRAS, and KIT mutations also paved the way for targeted therapies. Immunotherapies, including immune checkpoint inhibitors like anti-CTLA-4 and anti-PD-1/PD-L1, have revolutionized treatment, improving survival outcomes for advanced-stage melanoma patients. Despite [...] Read more.
Background: In melanoma diagnostics key molecular markers, such as BRAF, NRAS, and KIT mutations also paved the way for targeted therapies. Immunotherapies, including immune checkpoint inhibitors like anti-CTLA-4 and anti-PD-1/PD-L1, have revolutionized treatment, improving survival outcomes for advanced-stage melanoma patients. Despite these advances, challenges such as resistance to targeted therapies and variability in patient responses to immunotherapy remain critical issues. The purpose of the project is to characterize the molecular landscape of a set of 28 malignant melanomas using next-generation sequencing, identify the prevalence and nature of class 3–5 variants (e.g., NRAS, BRAF, KIT, TP53), assess the genetic complexity and molecular patterns, and use these insights to inform personalized therapies and optimize patient stratification for potential combination strategies (targeted therapy followed by immunotherapy). Methods: We analyzed a set of malignant melanoma of the skin of 17 women (61%) and 11 men (39%) at the age of 23 to 85 years (median: 63 years) by tumor-only next generation sequencing. Results: 22/28 cases (79%) present a pathogenic or likely pathogenic variant with an allelic frequency of ≥5%. In total 42 distinct somatic pathogenic or likely pathogenic variants with an allelic frequency of ≥5% could be detected. The most frequent pathogenic molecular alteration in these melanomas were found in NRAS (25%) and BRAF (25%). The most frequent molecular alteration of unknown significance was found in FANDC2 (46%), NOTCH3 (39%), ARID1A (32%), PMS2 (32%), POLE (29%), NOTCH1 (29%), TSC2 (25%), SMARCA4 (25%), ATR (25%) and TERT (21%). Conclusions: While NRAS and BRAF were the most frequent actionable alterations (each 25%), a broad spectrum of variants of unknown significance (e.g., FANDC2, NOTCH3, ARID1A, PMS2, POLE, NOTCH1, TSC2, SMARCA4, ATR and TERT) also predominates, underscoring the genetic complexity of melanoma. These variants complicate clinical decision-making because their contribution to tumorigenesis, therapeutic response, and prognosis remains uncertain. Nevertheless, these variants also offer a valuable resource for future research, as they may uncover novel pathogenic mechanisms or therapeutic targets once their significance is elucidated. Integrating comprehensive genetic profiling with immunologic markers can enhance patient stratification and support rational, potentially synergistic strategies, such as combining targeted therapies with immunotherapy, to optimize clinical outcomes. This study is limited due to a small cohort and limited available clinical data. Larger cohort studies and prospective clinical trials are necessary to validate and explore the interplay between molecular and immune biomarkers as well as general biological mechanism in paving therapeutic way in melanoma. Full article
(This article belongs to the Section Cancer Biology and Oncology)
Show Figures

Figure 1

11 pages, 1276 KB  
Article
Genetic Evolution of Melanoma: Comparative Analysis of Candidate Gene Mutations in Healthy Skin, Nevi, and Tumors from the Same Patients
by Marta Gil-Barrachina, Barbara Hernando, Gemma Perez-Pastor, Victor Alegre-de-Miquel, Cristian Valenzuela-Oñate, Sandra Minguez-Lujan, Pablo Monfort-Lanzas, Elena Tomas-Bort, Maria Angeles Marques-Torrejon and Conrado Martinez-Cadenas
Int. J. Mol. Sci. 2026, 27(1), 532; https://doi.org/10.3390/ijms27010532 - 5 Jan 2026
Viewed by 671
Abstract
Melanocytic tumorigenesis is thought to occur through stepwise genomic evolution from normal skin to nevi and, ultimately, melanoma. To investigate this progression, we performed targeted deep sequencing of a 46-gene panel in matched healthy skin, nevus, and melanoma samples from 15 patients, including [...] Read more.
Melanocytic tumorigenesis is thought to occur through stepwise genomic evolution from normal skin to nevi and, ultimately, melanoma. To investigate this progression, we performed targeted deep sequencing of a 46-gene panel in matched healthy skin, nevus, and melanoma samples from 15 patients, including 14 complete tissue trios. Mutation burden increased progressively across tissues, with median mutation counts rising from benign skin to nevi and showing the highest levels in melanoma, consistent with cumulative somatic alterations. Canonical MAPK pathway mutations were common: BRAF V600E and NRAS Q61 variants were detected in many nevi and melanomas and were shared between lesions in 8 of 15 patients, providing direct evidence of clonal continuity. Variant allele frequencies for driver and nonsynonymous mutations were higher than those of passenger and synonymous mutations, reflecting selective expansion of functionally relevant clones. UV-signature substitutions were abundant, particularly among synonymous variants, suggesting background mutagenesis without clonal advantage. Melanoma-private mutations in genes such as ARID1A, ARID2, PIK3CA, and CDKN2A indicated additional late events contributing to malignant progression. Overall, this study supports a model in which many melanomas evolve from pre-existing nevi through sequential acquisition and clonal amplification of somatic mutations, while also revealing heterogeneous evolutionary trajectories. Full article
(This article belongs to the Section Biochemistry)
Show Figures

Figure 1

10 pages, 1058 KB  
Brief Report
Retrospective Analysis of Regorafenib Efficiency in Treatment of Metastatic Colorectal Cancer—Experience of Two Polish Comprehensive Cancer Centers
by Magdalena Grabiec, Dominika Raźniewska, Tadeusz Kałużewski, Magdalena Krakowska, Barbara Radecka and Piotr Potemski
J. Clin. Med. 2026, 15(1), 332; https://doi.org/10.3390/jcm15010332 - 1 Jan 2026
Viewed by 660
Abstract
Objectives: Colorectal cancer is a major public health concern, ranking third in incidence among all malignant tumors both in Poland and globally. We conducted a retrospective study to evaluate the effectiveness of regorafenib in patients with metastatic colorectal cancer ineligible for local therapy [...] Read more.
Objectives: Colorectal cancer is a major public health concern, ranking third in incidence among all malignant tumors both in Poland and globally. We conducted a retrospective study to evaluate the effectiveness of regorafenib in patients with metastatic colorectal cancer ineligible for local therapy treated at two Polish comprehensive cancer centers between 2021 and 2024. Methods: The analysis included 29 patients who had previously received all standard therapies: fluoropyrimidines, oxaliplatin, and irinotecan (in a multi-agent regimen or sequentially) and bevacizumab (anti-VEGF therapy). In patients with tumors negative for KRAS, NRAS and BRAF mutations, cetuximab or panitumumab (anti-EGFR therapy) were also used. Results: The median progression-free survival (PFS) was 2.5 months, and the median overall survival (OS) was 5.8 months. Disease stabilization was observed in five patients, with a median duration of 5.6 months, and no partial or complete remission were recorded. Conclusions: Our results were similar to those of the phase III CORRECT trial, which established the clinical utility of regorafenib. Only minor differences in survival outcomes were noted—likely due to real-world variability in patient characteristics and timing of treatment assessments. However, continued investigation of personalized and sequential treatment strategies that contain anti-angiogenic drugs is warranted to optimize outcomes. Full article
(This article belongs to the Special Issue Advances and Challenges in Colorectal Cancer)
Show Figures

Figure 1

13 pages, 1162 KB  
Article
Somatic Mutational Landscape in Follicular Thyroid Cancer: Insights from AACR GENIE Data
by Beau Hsia, Julia Kuzniar, Joey Luzarraga, Asritha Sure, Vinay Veluvolu, Eli Oved, Peter T. Silberstein, Joseph Thirumalareddy, Abubakar Tauseef, Vijay Patel and Aliasgher Khaku
J. Pers. Med. 2026, 16(1), 3; https://doi.org/10.3390/jpm16010003 - 21 Dec 2025
Viewed by 532
Abstract
Objective(s): To delineate the somatic mutational landscape of follicular thyroid carcinoma (FTC) from a large, real-world cohort to identify molecular subtypes and actionable targets for personalized therapeutic interventions. Methods: Genomic and clinical data for 168 FTC samples were retrieved from the AACR Project [...] Read more.
Objective(s): To delineate the somatic mutational landscape of follicular thyroid carcinoma (FTC) from a large, real-world cohort to identify molecular subtypes and actionable targets for personalized therapeutic interventions. Methods: Genomic and clinical data for 168 FTC samples were retrieved from the AACR Project GENIE® registry via cBioPortal. This study assessed mutation frequencies, copy number alterations, and subgroup differences (primary vs. metastatic; adult vs. pediatric) using statistical tests. Results: NRAS was the most common mutation (33.9%), followed by TERT (22.6%), DICER1 (15.5%), HRAS (11.9%), and PTEN (10.7%). DICER1 mutations were significantly enriched in pediatric cases (44.4% vs. 4.6% in adults, p < 0.001), while TERT mutations were exclusive to adults (42%). NRAS mutations were more frequent in metastatic tumors (42.4%) than primary tumors (29.2%). Conclusions: FTC tumorigenesis is driven by distinct molecular pathways, with significant heterogeneity between pediatric and adult patients as well as primary and metastatic disease. These findings underscore the necessity of molecular profiling for patient stratification and provide a strong rationale for developing personalized treatment strategies to improve clinical outcomes. Full article
Show Figures

Figure 1

Back to TopTop