Retrospective Analysis of Regorafenib Efficiency in Treatment of Metastatic Colorectal Cancer—Experience of Two Polish Comprehensive Cancer Centers
Abstract
1. Introduction
2. Materials and Methods
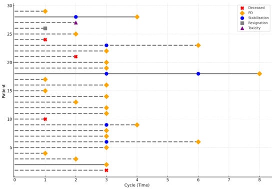
3. Results
4. Discussion
5. Limitations of Our Study
6. Conclusions
Author Contributions
Funding
Institutional Review Board Statement
Informed Consent Statement
Data Availability Statement
Conflicts of Interest
Abbreviations
| anti-EGFR | anti-Epidermal Growth Factor Receptor |
| anti-VEGF | anti-Vascular Endothelial Growth Factor |
| BSC | Best Supportive Care |
| DCR | Disease Control Rate |
| ECOG | Eastern Cooperative Oncology Group |
| EMA | European Medicines Agency |
| ESMO | European Society for Medical Oncology |
| FDA | Food and Drug Administration |
| HER2 | Human Epidermal Growth Factor Receptor 2 |
| HR | Hazard Ratio |
| mDoSD | median Duration of Stable Disease |
| mDoT | median Duration of Treatment |
| mOS | median Overall Survival |
| mPFS | median Progression-Free Survival |
| MSI | Microsatellite Instability |
| MSI-H | Microsatellite Instability-High |
| MSI-L | Microsatellite Instability-Low |
| OS | Overall Survival |
| PFS | Progression-Free Survival |
| RAS | Rat sarcoma |
| VEGFR | Vascular Endothelial Growth Factor Receptor |
References
- Global Burden of Disease 2019 Cancer Collaboration. Cancer Incidence, Mortality, Years of Life Lost, Years Lived With Disability, and Disability-Adjusted Life Years for 29 Cancer Groups From 2010 to 2019: A Systematic Analysis for the Global Burden of Disease Study 2019. JAMA Oncol. 2022, 8, 420–444. [Google Scholar] [CrossRef]
- Didkowska, J.; Barańska, K.; Miklewska, M.J.; Wojciechowska, U. Cancer Incidence and Mortality in Poland in 2023. Nowotwory. J. Oncol. 2024, 74, 75–93. [Google Scholar] [CrossRef]
- Cervantes, A.; Adam, R.; Roselló, S.; Arnold, D.; Normanno, N.; Taïeb, J.; Seligmann, J.; Baere, T.D.; Osterlund, P.; Yoshino, T.; et al. Metastatic Colorectal Cancer: ESMO Clinical Practice Guideline for Diagnosis, Treatment and Follow-Up. Ann. Oncol. 2023, 34, 10–32. [Google Scholar] [CrossRef]
- Bashraheel, S.S.; Domling, A.; Goda, S.K. Update on Targeted Cancer Therapies, Single or in Combination, and Their Fine Tuning for Precision Medicine. Biomed. Pharmacother. 2020, 125, 110009. [Google Scholar] [CrossRef] [PubMed]
- Kopetz, S.; Grothey, A.; Yaeger, R.; Cutsem, E.V.; Desai, J.; Yoshino, T.; Wasan, H.; Ciardiello, F.; Loupakis, F.; Hong, Y.S.; et al. Encorafenib, Binimetinib, and Cetuximab in BRAF V600E–Mutated Colorectal Cancer. N. Engl. J. Med. 2019, 381, 1632–1643. [Google Scholar] [CrossRef] [PubMed]
- Ahcene Djaballah, S.; Daniel, F.; Milani, A.; Ricagno, G.; Lonardi, S. HER2 in Colorectal Cancer: The Long and Winding Road From Negative Predictive Factor to Positive Actionable Target. Am. Soc. Clin. Oncol. Educ. Book 2022, 42, 219–232. [Google Scholar] [CrossRef]
- Fakih, M.G.; Salvatore, L.; Esaki, T.; Modest, D.P.; Lopez-Bravo, D.P.; Taieb, J.; Karamouzis, M.V.; Ruiz-Garcia, E.; Kim, T.-W.; Kuboki, Y.; et al. Sotorasib plus Panitumumab in Refractory Colorectal Cancer with Mutated KRAS G12C. N. Engl. J. Med. 2023, 389, 2125–2139. [Google Scholar] [CrossRef]
- Yaeger, R.; Weiss, J.; Pelster, M.S.; Spira, A.I.; Barve, M.; Ou, S.-H.I.; Leal, T.A.; Bekaii-Saab, T.S.; Paweletz, C.P.; Heavey, G.A.; et al. Adagrasib with or without Cetuximab in Colorectal Cancer with Mutated KRAS G12C. N. Engl. J. Med. 2023, 388, 44–54. [Google Scholar] [CrossRef]
- Wang, H.; Li, Z.; Ou, Q.; Wu, X.; Nagasaka, M.; Shao, Y.; Ou, S.I.; Yang, Y. NTRK Fusion Positive Colorectal Cancer Is a Unique Subset of CRC with High TMB and Microsatellite Instability. Cancer Med. 2022, 11, 2541–2549. [Google Scholar] [CrossRef] [PubMed]
- Subbiah, V.; Wolf, J.; Konda, B.; Kang, H.; Spira, A.; Weiss, J.; Takeda, M.; Ohe, Y.; Khan, S.; Ohashi, K.; et al. Tumour-Agnostic Efficacy and Safety of Selpercatinib in Patients with RET Fusion-Positive Solid Tumours Other than Lung or Thyroid Tumours (LIBRETTO-001): A Phase 1/2, Open-Label, Basket Trial. Lancet Oncol. 2022, 23, 1261–1273. [Google Scholar] [CrossRef]
- Grothey, A.; Cutsem, E.V.; Sobrero, A.; Siena, S.; Falcone, A.; Ychou, M.; Humblet, Y.; Bouché, O.; Mineur, L.; Barone, C.; et al. Regorafenib Monotherapy for Previously Treated Metastatic Colorectal Cancer (CORRECT): An International, Multicentre, Randomised, Placebo-Controlled, Phase 3 Trial. Lancet 2013, 381, 303–312. [Google Scholar] [CrossRef] [PubMed]
- Li, J.; Qin, S.; Xu, R.; Yau, T.C.C.; Ma, B.; Pan, H.; Xu, J.; Bai, Y.; Chi, Y.; Wang, L.; et al. Regorafenib plus Best Supportive Care versus Placebo plus Best Supportive Care in Asian Patients with Previously Treated Metastatic Colorectal Cancer (CONCUR): A Randomised, Double-Blind, Placebo-Controlled, Phase 3 Trial. Lancet Oncol. 2015, 16, 619–629. [Google Scholar] [CrossRef]
- Yoshino, T.; Komatsu, Y.; Yamada, Y.; Yamazaki, K.; Tsuji, A.; Ura, T.; Grothey, A.; Van Cutsem, E.; Wagner, A.; Cihon, F.; et al. Randomized Phase III Trial of Regorafenib in Metastatic Colorectal Cancer: Analysis of the CORRECT Japanese and Non-Japanese Subpopulations. Investig. New Drugs 2015, 33, 740–750. [Google Scholar] [CrossRef]
- Moriwaki, T.; Fukuoka, S.; Taniguchi, H.; Takashima, A.; Kumekawa, Y.; Kajiwara, T.; Yamazaki, K.; Esaki, T.; Makiyama, C.; Denda, T.; et al. Propensity Score Analysis of Regorafenib Versus Trifluridine/Tipiracil in Patients with Metastatic Colorectal Cancer Refractory to Standard Chemotherapy (REGOTAS): A Japanese Society for Cancer of the Colon and Rectum Multicenter Observational Study. Oncologist 2018, 23, 7–15. [Google Scholar] [CrossRef]
- Xue, W.-S.; Men, S.-Y.; Liu, W.; Liu, R.-H. A Meta-Analysis of Safety and Efficacy of Regorafenib for Refractory Metastatic Colorectal Cancer. Medicine 2018, 97, e12635. [Google Scholar] [CrossRef]
- Adenis, A.; de la Fouchardiere, C.; Paule, B.; Burtin, P.; Tougeron, D.; Wallet, J.; Dourthe, L.-M.; Etienne, P.-L.; Mineur, L.; Clisant, S.; et al. Survival, Safety, and Prognostic Factors for Outcome with Regorafenib in Patients with Metastatic Colorectal Cancer Refractory to Standard Therapies: Results from a Multicenter Study (REBECCA) Nested within a Compassionate Use Program. BMC Cancer 2016, 16, 412. [Google Scholar] [CrossRef]
- Novakova-Jiresova, A.; Kopeckova, K.; Boublikova, L.; Chloupkova, R.; Melichar, B.; Petruzelka, L.; Finek, J.; Fiala, O.; Grell, P.; Batko, S.; et al. Regorafenib for Metastatic Colorectal Cancer: An Analysis of a Registry-Based Cohort of 555 Patients. Cancer Manag. Res. 2020, 12, 5365–5372. [Google Scholar] [CrossRef]
- Ducreux, M.; Petersen, L.N.; Öhler, L.; Bergamo, F.; Metges, J.-P.; de Groot, J.W.; Wang, J.-Y.; García Paredes, B.; Dochy, E.; Fiala-Buskies, S.; et al. Safety and Effectiveness of Regorafenib in Patients with Metastatic Colorectal Cancer in Routine Clinical Practice in the Prospective, Observational CORRELATE Study. Eur. J. Cancer 2019, 123, 146–154. [Google Scholar] [CrossRef] [PubMed]
- Metges, J.-P.; Genet, D.; Tougeron, D.; Ligeza, C.; Ducreux, M.; Borg, C.; Guimbaud, R.; Phelip, J.-M.; Dourthe, L.-M.; Kim, S. Real-World Safety and Effectiveness of Regorafenib in Metastatic Colorectal Cancer: The French CORRELATE Cohort. Future Oncol. 2021, 17, 3343–3353. [Google Scholar] [CrossRef] [PubMed]
- Sanoff, H.K.; Goldberg, R.M.; Ivanova, A.; O’Reilly, S.; Kasbari, S.S.; Kim, R.D.; McDermott, R.; Moore, D.T.; Zamboni, W.; Grogan, W.; et al. Multicenter, Randomized, Double-Blind Phase 2 Trial of FOLFIRI with Regorafenib or Placebo as Second-Line Therapy for Metastatic Colorectal Cancer. Cancer 2018, 124, 3118–3126. [Google Scholar] [CrossRef]
- Lai, E.; Puzzoni, M.; Ziranu, P.; Cremolini, C.; Lonardi, S.; Banzi, M.; Mariani, S.; Liscia, N.; Cinieri, S.; Dettori, M.; et al. Long Term Survival With Regorafenib: REALITY (Real Life in Italy) Trial—A GISCAD Study. Clin Color. Cancer 2021, 20, e253–e262. [Google Scholar] [CrossRef] [PubMed]
- Center for Drug Evaluation and Research; Food and Drug Administration. D.I.S.C.O. Burst Edition: FDA Approval of Fruzaqla (Fruquintinib) for Adult Patients with Metastatic Colorectal Cancer; Food and Drug Administration: Silver Spring, MD, USA, 2024.
- Fruzaqla|European Medicines Agency (EMA). Available online: https://www.ema.europa.eu/en/medicines/human/EPAR/fruzaqla (accessed on 3 February 2025).
- Dasari, A.; Lonardi, S.; Garcia-Carbonero, R.; Elez, E.; Yoshino, T.; Sobrero, A.; Yao, J.; García-Alfonso, P.; Kocsis, J.; Gracian, A.C.; et al. Fruquintinib versus Placebo in Patients with Refractory Metastatic Colorectal Cancer (FRESCO-2): An International, Multicentre, Randomised, Double-Blind, Phase 3 Study. Lancet 2023, 402, 41–53. [Google Scholar] [CrossRef]
- Chambers, A.E.; Frick, J.; Tanner, N.; Gerkin, R.; Kundranda, M.; Dragovich, T. Chemotherapy Re-Challenge Response Rate in Metastatic Colorectal Cancer. J. Gastrointest. Oncol. 2018, 9, 679. [Google Scholar] [CrossRef] [PubMed]
- Choi, M.K.; Cha, Y.; Baek, J.Y. Retreatment of Irinotecan in Later Lines of Therapy for Metastatic Colorectal Cancer: A Retrospective Study. Oncology 2021, 99, 665–672. [Google Scholar] [CrossRef]
- Amatu, A.; Mauri, G.; Tosi, F.; Bencardino, K.; Bonazzina, E.; Gori, V.; Ruggieri, L.; Arena, S.; Bardelli, A.; Marsoni, S.; et al. Efficacy of Retreatment with Oxaliplatin-Based Regimens in Metastatic Colorectal Cancer Patients: The RETROX-CRC Retrospective Study. Cancers 2022, 14, 1197. [Google Scholar] [CrossRef] [PubMed]
- Liu, X.; George, G.C.; Tsimberidou, A.M.; Naing, A.; Wheler, J.J.; Kopetz, S.; Fu, S.; Piha-Paul, S.A.; Eng, C.; Falchook, G.S.; et al. Retreatment with Anti-EGFR Based Therapies in Metastatic Colorectal Cancer: Impact of Intervening Time Interval and Prior Anti-EGFR Response. BMC Cancer 2015, 15, 713. [Google Scholar] [CrossRef]



| n | [%] | ||
|---|---|---|---|
| Patients | |||
| Sex | Male | 22 | 75.9% |
| Female | 7 | 24.1% | |
| ECOG | 0 | 9 | 31.0% |
| 1 | 20 | 69.0% | |
| Weight loss | <10% | 10 | 34.5% |
| ≥10% | 5 | 17.2% | |
| No weight loss | 14 | 48.3% | |
| Disease characteristics | |||
| Primary site of disease | Colon | 12 | 41.4% |
| Rectum | 16 | 55.2% | |
| Both | 1 | 3.4% | |
| Grade | Grade 1 | 9 | 31.0% |
| Grade 2 | 17 | 58.6% | |
| Grade 3 | 0 | 0.0% | |
| Grade unknown | 3 | 10.3% | |
| Metastases | Liver | 25 | 86.2% |
| Other * | 4 | 13.8% | |
| Biomarkers | |||
| KRAS/NRAS mutation | Yes | 17 | 58.6% |
| No | 11 | 37.9% | |
| Unknown | 1 | 3.4% | |
| BRAF mutation | Yes | 1 | 3.4% |
| No | 27 | 93.2% | |
| Unknown | 1 | 3.4% | |
| MSI status | MSI-H | 0 | 0.0% |
| MSI-L | 28 | 96.6% | |
| Unknown | 1 | 3.4% | |
| Previous treatment of locally advanced disease | |||
| Resection | Yes | 21 | 72.4% |
| No | 7 | 27.6% | |
| Perioperative oxaliplatin-based chemotherapy | Yes | 12 | 41.4% |
| No | 17 | 58.6% | |
| Previous treatment of metastatic disease | |||
| Number of previous treatment cycles | ≤3 | 19 | 65.5% |
| >3 | 10 | 34.5% | |
| Irinotecan | Yes | 29 | 100.0% |
| No | 0 | 0.0% | |
| Oxaliplatin | Yes | 29 | 100.0% |
| No | 0 | 0.0% | |
| Trifluridine + Tipiracil | Yes | 28 | 96.6% |
| No | 1 | 3.4% | |
| Cetuximab | Yes | 9 | 31.0% |
| No | 20 | 69.0% | |
| Panitumumab | Yes | 2 | 6.9% |
| No | 27 | 93.1% | |
| Bevacizumab | Yes | 14 | 48.3% |
| No | 15 | 51.7% | |
| Aflibercept | Yes | 0 | 0.0% |
| No | 29 | 100.0% | |
| Current Study | CORRECT | |
|---|---|---|
| mPFS [months] | 2.5 | 1.9 |
| mOS [months] | 5.8 | 6.4 |
| 6-month OS rate [%] | 48.3 | 52.5 |
| 12-month OS rate [%] | 6.9 | 24.3 |
| mDoT [months] | 2.8 | 1.7 |
| mDoSD [months] | 5.6 | 2.0 |
Disclaimer/Publisher’s Note: The statements, opinions and data contained in all publications are solely those of the individual author(s) and contributor(s) and not of MDPI and/or the editor(s). MDPI and/or the editor(s) disclaim responsibility for any injury to people or property resulting from any ideas, methods, instructions or products referred to in the content. |
© 2026 by the authors. Licensee MDPI, Basel, Switzerland. This article is an open access article distributed under the terms and conditions of the Creative Commons Attribution (CC BY) license.
Share and Cite
Grabiec, M.; Raźniewska, D.; Kałużewski, T.; Krakowska, M.; Radecka, B.; Potemski, P. Retrospective Analysis of Regorafenib Efficiency in Treatment of Metastatic Colorectal Cancer—Experience of Two Polish Comprehensive Cancer Centers. J. Clin. Med. 2026, 15, 332. https://doi.org/10.3390/jcm15010332
Grabiec M, Raźniewska D, Kałużewski T, Krakowska M, Radecka B, Potemski P. Retrospective Analysis of Regorafenib Efficiency in Treatment of Metastatic Colorectal Cancer—Experience of Two Polish Comprehensive Cancer Centers. Journal of Clinical Medicine. 2026; 15(1):332. https://doi.org/10.3390/jcm15010332
Chicago/Turabian StyleGrabiec, Magdalena, Dominika Raźniewska, Tadeusz Kałużewski, Magdalena Krakowska, Barbara Radecka, and Piotr Potemski. 2026. "Retrospective Analysis of Regorafenib Efficiency in Treatment of Metastatic Colorectal Cancer—Experience of Two Polish Comprehensive Cancer Centers" Journal of Clinical Medicine 15, no. 1: 332. https://doi.org/10.3390/jcm15010332
APA StyleGrabiec, M., Raźniewska, D., Kałużewski, T., Krakowska, M., Radecka, B., & Potemski, P. (2026). Retrospective Analysis of Regorafenib Efficiency in Treatment of Metastatic Colorectal Cancer—Experience of Two Polish Comprehensive Cancer Centers. Journal of Clinical Medicine, 15(1), 332. https://doi.org/10.3390/jcm15010332

