Sign in to use this feature.

Years

Between: -

Subjects

remove_circle_outline
remove_circle_outline
remove_circle_outline
remove_circle_outline
remove_circle_outline
remove_circle_outline
remove_circle_outline
remove_circle_outline
remove_circle_outline

Journals

Article Types

Countries / Regions

Search Results (137)

Search Parameters:
Keywords = N-fertigation

Order results
Result details
Results per page
Select all
Export citation of selected articles as:
23 pages, 3267 KB  
Article
Micro-Sprinkling Fertigation Enhances Wheat Grain Yield and Nitrogen Use Efficiency by Reducing N Redundancy and Increasing Root–Water–Nitrogen Spatiotemporal Coordination
by Mengjing Zheng, Yingjia Zhao, Lihua Zhang, Liyan Hao, Zhongyi Zhang, Lihua Lv and Jingting Zhang
Plants 2025, 14(17), 2713; https://doi.org/10.3390/plants14172713 - 1 Sep 2025
Viewed by 462
Abstract
Micro-sprinkling fertigation, a novel irrigation and fertilization way, can improve the grain yield (GY) and nitrogen use efficiency (NUE) of winter wheat to meet sustainable agriculture requirements. In order to clarify the physiological basis behind the improvements, a field experiment with a split-plot [...] Read more.
Micro-sprinkling fertigation, a novel irrigation and fertilization way, can improve the grain yield (GY) and nitrogen use efficiency (NUE) of winter wheat to meet sustainable agriculture requirements. In order to clarify the physiological basis behind the improvements, a field experiment with a split-plot design was conducted during the 2020–2021 and 2021–2022 growing seasons. The main plot encompassed two irrigation and fertilization modes, namely, conventional irrigation and fertilization (CIF) and micro-sprinkling fertigation (MSF), and the subplots included four nitrogen application rates (0, 120, 180, and 240 kg ha−1, denoted as N0, N120, N180, and N240, respectively). Moreover, a 15N isotopic tracer experiment was performed to determine the distributions of nitrogen in the soil. Compared with those under CIF, the GY under MSF at N180 and N240 significantly increased by 9.09% and 9.72%, which was driven mainly by increases in the grain number (GN) and thousand-grain weight (TGW). The increase in the TGW under MSF was the result of the significantly increased net photosynthesis rate at the grain-filling stage. Notably, the number and dry weight of inefficient tillers and the number of ears with fewer than 10 grains were significantly lower under MSF than those under CIF. In addition, the 15N isotopic tracer experiment revealed that nitrogen was primarily concentrated in the 0–30 cm soil layers under MSF, which conforms well with the spatial distributions of the roots and water, and subsequently improved the NUE under N180 and N240. In conclusion, MSF enhanced both the GY and NUE at the N180 level by optimizing root–water–nitrogen spatiotemporal coordination and reducing redundant tillering. Full article
(This article belongs to the Section Crop Physiology and Crop Production)
Show Figures

Figure 1

23 pages, 1926 KB  
Article
Photosynthetic Parameters of Melons in Response to NO3 and NH4+ as N Sources and Irrigation with Brackish Water High in Na+, Ca2+, and Cl
by Guilherme Ferreira de Brito, Edivan Rodrigues de Souza, Ceres Duarte Guedes Cabral de Almeida, Geovani Soares de Lima, Thieres George Freire da Silva, Marcos Vinícius da Silva, Maria Beatriz Ferreira, Ênio Farias de França e Silva, Daniel da Costa Dantas and José Amilton Santos Júnior
Appl. Sci. 2025, 15(17), 9601; https://doi.org/10.3390/app15179601 - 31 Aug 2025
Viewed by 625
Abstract
High levels of dissolved salts in irrigation water sources limit melon cultivation in northeastern Brazil. In this context, nitrogen fertilization has been employed as one strategy to alleviate the effects of salt stress on plants. This study aimed to evaluate the effect of [...] Read more.
High levels of dissolved salts in irrigation water sources limit melon cultivation in northeastern Brazil. In this context, nitrogen fertilization has been employed as one strategy to alleviate the effects of salt stress on plants. This study aimed to evaluate the effect of different nitrogen sources on cantaloupe melon cultivation under fertigation and irrigation with water of the same salinity and different cationic concentrations (Na+ and Ca+). The research consisted of two experiments, each following a randomized complete block design in a 4 × 2 factorial arrangement with four replicates. The treatments included four levels of electrical conductivity of the nutrient solution (2.0; 3.0; 4.0; and 5.0 dS m−1) and two nitrogen sources of different origins: NO3 [Ca(NO3) and KNO3] and NH4+ [CH4N2O and NH4H2PO4]. The following factors were chlorophyll pigments, chlorophyll a fluorescence, and fruit weight. Nitrogen fertilization with NH4+ mitigated salt stress by increasing the synthesis of chlorophyll a and carotenoids in plants irrigated with NaCl-based saline water. Furthermore, there was no influence of nitrogen sources on chlorophyll a fluorescence. Finally, NO3 fertilization reduced the effects of salt stress on the leaf mass ratio, specific leaf area under Ca2+ fertigation, and relative growth rate of leaf area in melons under cationic prevalences of Na+ or Ca2+ (associated with Cl). Full article
(This article belongs to the Special Issue Advanced Plant Biotechnology in Sustainable Agriculture—2nd Edition)
Show Figures

Figure 1

18 pages, 3950 KB  
Article
Optimization of Irrigation Amount and Nitrogen Rate of Drip-Fertigated Sugar Beet Based on Sugar Yield, Nitrogen Use Efficiency, and Critical Nitrogen Dilution Curve in the Arid Southern Xinjiang of China
by Ying Wang, Fulai Yan, Junliang Fan and Fucang Zhang
Plants 2025, 14(13), 2055; https://doi.org/10.3390/plants14132055 - 4 Jul 2025
Cited by 1 | Viewed by 571
Abstract
The critical nitrogen (N) dilution curve is widely used to diagnose crop N status, but no such model has been developed for sugar beet. This study evaluated the effects of irrigation amount and N rate on sugar yield, N use efficiency, and soil [...] Read more.
The critical nitrogen (N) dilution curve is widely used to diagnose crop N status, but no such model has been developed for sugar beet. This study evaluated the effects of irrigation amount and N rate on sugar yield, N use efficiency, and soil nitrate-N (NO3-N) residue of drip-fertigated sugar beet in the arid southern Xinjiang of China. A reliable N nutrition index (NNI) for sugar yield was also established based on a critical N dilution curve derived from the dry matter of sugar beet. A three-year field experiment was established with six N rates (25–480 kg N ha−1) and three irrigation levels based on crop evapotranspiration (ETc) (0.6, 0.8, and 1.0 ETc in 2019 and 2020, and 0.4, 0.6, and 0.8 ETc in 2021). Results showed that sugar yield and N uptake increased and then generally stabilized with increasing N rate, while N use efficiency decreased. Most soil NO3-N was mainly distributed in the 0–60 cm soil layer, but increasing irrigation amount reduced residual NO3-N in the 0–80 cm soil layer. Additionally, the established critical N dilution curve of sugar beet was considered stable (Normalized RMSE = 16.6%), and can be used to calculate plant N requirements and further N rates during sugar beet growth. The results indicated that the optimal NNI was 0.97 under 0.6 ETc for sugar yield production of sugar beet in this study. This study provides a basis for efficient water and N management in sugar beet production in arid and semi-arid regions globally. Full article
Show Figures

Figure 1

17 pages, 7728 KB  
Article
Comparative Effects of Nitrogen Fertigation and Granular Fertilizer Application on Pepper Yield and Soil GHGs Emissions
by Antonio Manco, Matteo Giaccone, Luca Vitale, Giuseppe Maglione, Maria Riccardi, Bruno Di Matteo, Andrea Esposito, Vincenzo Magliulo and Anna Tedeschi
Horticulturae 2025, 11(6), 708; https://doi.org/10.3390/horticulturae11060708 - 19 Jun 2025
Viewed by 1447
Abstract
Quantitative greenhouse gas (GHG) budgets for Mediterranean pepper cultivation are still missing, limiting evidence-based nitrogen management. Furthermore, mitigation value of fertigation respect to granular fertilization in vegetable systems remains uncertain. This study therefore compared the GHG footprint and productivity of ‘papaccella’ pepper under [...] Read more.
Quantitative greenhouse gas (GHG) budgets for Mediterranean pepper cultivation are still missing, limiting evidence-based nitrogen management. Furthermore, mitigation value of fertigation respect to granular fertilization in vegetable systems remains uncertain. This study therefore compared the GHG footprint and productivity of ‘papaccella’ pepper under two nitrogen fertilization methods: granular fertilization versus low-frequency fertigation with urea, each supplying about 63 kg N ha−1. Eight automated static chambers coupled to a cavity ring-down spectrometer monitored soil CO2 and N2O fluxes throughout the season. Cumulative emissions did not differ between treatments (CO2: 811 ± 6 g m−2 vs. 881 ± 4 g m−2; N2O: 0.038 ± 0.008 g m−2 vs. 0.041 ± 0.015 g m−2, fertigation vs. granular), and marketable yield remained at ~11 t ha−1, leaving product-scaled global warming potential (GWP) unchanged. Although representing less than 2% of measured fluxes, “hot moments,” burst emissions exceeding four standard deviations (SD) from the mean, accounted for up to 4% of seasonal CO2 and 19% of N2O. Fertigation doubled the frequency of these events but reduced their peak magnitude, whereas granular application produced fewer but more extreme bursts (>11 SD). Results showed that fertigation did not mitigate GHGs emission nor improve productivity for Mediterranean pepper, mainly due to the low application frequency and the use of a urea fertilizer. Moreover, we can highlight that in horticultural systems, omitting ‘hot moments’ leads to systematic underestimation of emissions. Full article
(This article belongs to the Section Plant Nutrition)
Show Figures

Graphical abstract

19 pages, 2076 KB  
Article
Optimization of Irrigation and Nitrogen Fertilization Improves Biomass, Yield, and Quality of Fertigation Tomatoes
by Linsong Liu, Dongliang Qi, Chunmei Ding, Si Chen, Lihua Gao and Wenjun Yue
Horticulturae 2025, 11(5), 521; https://doi.org/10.3390/horticulturae11050521 - 12 May 2025
Viewed by 1745
Abstract
Enhancing water and fertilizer use efficiencies is pivotal for sustainable tomato production. Adequate nitrogen and water management strategies have shown promise in improving the soil environment and crop productivity. However, the effects of fertigation modes on plant growth, yield, and quality remain largely [...] Read more.
Enhancing water and fertilizer use efficiencies is pivotal for sustainable tomato production. Adequate nitrogen and water management strategies have shown promise in improving the soil environment and crop productivity. However, the effects of fertigation modes on plant growth, yield, and quality remain largely unknown. To bridge this knowledge gap, an experiment was conducted in a greenhouse to investigate the effects of varied levels of water and nitrogen on the net photosynthetic rate, biomass, yield, and quality of tomatoes. The irrigation treatments included 0.75, 1.0, and 1.25 times the crop water requirement (ETc), designated as W1, W2, and W3, respectively. The nitrogen rates included 120, 220, 320, and 420 kg N·hm−2, designated as N1, N2, N3, and N4, applied in each irrigation treatment. The results showed that the W2N3 treatment achieved the most significant net photosynthetic rate and biomass of leaves. The tomato yield increased with the increase in nitrogen rate and irrigation amount, and the increment peaked at the threshold (1.0 ETc, 320 kg·hm−2), then declined with the further increase in water and nitrogen inputs. Principal component analysis revealed that the W2N3 exhibited superior quality characteristics compared to other treatments. Therefore, the combination of 100% ETc and 320 kg N·hm−2 achieved a triple goal of high quality, yield, and water–nitrogen-use efficiency in greenhouse tomato production. These results provide scientific insights for guiding fertigation for tomato production under greenhouse conditions. Full article
(This article belongs to the Special Issue Irrigation and Water Management Strategies for Horticultural Systems)
Show Figures

Figure 1

15 pages, 1755 KB  
Article
Alternative Growing Media Under the Same Fertigation Scheme Affected Mineral Accumulation and Physiological Parameters in Grapevine Cultivars
by Nikolaos Tzortzakis and Antonios Chrysargyris
Horticulturae 2025, 11(5), 479; https://doi.org/10.3390/horticulturae11050479 - 29 Apr 2025
Viewed by 628
Abstract
Under nursery conditions, various organic and inorganic growing media can be used for plant propagation. However, a common fertigation program may have varying effects on plant performance. This study evaluated alternative growing media under the same fertigation scheme in three indigenous Cypriot grapevine [...] Read more.
Under nursery conditions, various organic and inorganic growing media can be used for plant propagation. However, a common fertigation program may have varying effects on plant performance. This study evaluated alternative growing media under the same fertigation scheme in three indigenous Cypriot grapevine cultivars (Xynisteri, Maratheftiko, Giannoudi). Rooted cuttings were grown in pots containing soil, perlite, river sand, peat, and cocosoil. The plants were fertigated with a hydroponic nutrient solution with an electrical conductivity of 2.4 dS/m and a pH of 5.8. Xynisteri grown in peat and cocosoil accumulated minerals such as N and P while showing reduced levels of Na, total phenols, antioxidant capacity, and total flavonoids in the leaves. Additionally, plants exhibited low hydrogen peroxide and malondialdehyde (MDA) content, indicating a non-stressful growing environment. Maratheftiko cultivar accumulated N in perlite, K in cocosoil, and P in peat and cocosoil media. When grown in soil, Maratheftiko showed higher phenol content and increased antioxidant capacity, which is correlated with elevated oxidative stress (higher MDA). Giannoudi appeared to be more adapted to soil and/or cocosoil media, as evidenced by its lower MDA content, total phenols, total flavonoids, and antioxidant activity, compared to plants grown in perlite, sand, and peat. Chlorophyll and total carotenoid levels were increased in Giannoudi grown in soil. In conclusion, both growing media and fertigation practices should be tailored to optimize plant performance under nursery conditions. Full article
Show Figures

Figure 1

20 pages, 1870 KB  
Article
Irrigation System, Rather than Nitrogen Fertilizer Application, Affects the Quantities of Functional Genes Related to N2O Production in Potato Cropping
by Laura Charlotte Storch, Katharina Schulz, Jana Marie Kraft, Annette Prochnow, Liliane Ruess, Benjamin Trost and Susanne Theuerl
Microorganisms 2025, 13(4), 741; https://doi.org/10.3390/microorganisms13040741 - 25 Mar 2025
Cited by 1 | Viewed by 539
Abstract
The spatial and temporal distribution of water and nitrogen supply affects soil-borne nitrous oxide (N2O) emissions. In this study, the effects of different irrigation technologies (no irrigation, sprinkler irrigation and drip irrigation) and nitrogen (N) application types (no fertilizer, broadcasted and [...] Read more.
The spatial and temporal distribution of water and nitrogen supply affects soil-borne nitrous oxide (N2O) emissions. In this study, the effects of different irrigation technologies (no irrigation, sprinkler irrigation and drip irrigation) and nitrogen (N) application types (no fertilizer, broadcasted and within irrigation water) on N2O flux rates and the quantities of functional genes involved in the N cycle in potato cropping were investigated over an entire season. The volume of irrigation water affected microbial N2O production, with the highest N2O flux rates found under sprinkler irrigation conditions, followed by drip and no irrigation. Nitrifier denitrification was identified as the potential pre-dominant pathway stimulated by fluctuations in aerobic-anaerobic soil conditions, especially under sprinkler irrigation. Regarding the different N application types, increased N use efficiency under fertigation was expected. However, N2O flux rates were not significantly reduced compared to broadcasted N application under drip irrigation. On average, the N2O fluxes were higher during the first half of the season, which was accompanied by a low N use efficiency of the potato crops. Potato crops mainly require N at later growth stages. Due to the different water and nutrient demand of potatoes, an adjusted application of fertilizer and water based on crop demand could reduce N2O emissions. Full article
(This article belongs to the Special Issue Advances in Soil Microbial Ecology, 2nd Edition)
Show Figures

Figure 1

19 pages, 5060 KB  
Article
Subsurface Drip Irrigation Combined with Ammonium Enhances Root Growth in Rice (Oryza sativa L.), Leading to Improved N Uptake and Higher Yield Formation
by Yuman Cui, Weidong Ma, Changnan Yang, Ruxiao Bai, Tianze Xia, Changzhou Wei, Xinjiang Zhang and Guangwei Zhou
Plants 2025, 14(6), 891; https://doi.org/10.3390/plants14060891 - 12 Mar 2025
Viewed by 1124
Abstract
Coordinating the spatial distribution of crop roots with soil nutrients, along with selecting appropriate types of fertilizers, is an effective strategy to enhance root nutrient absorption and increase crop yield. In Xinjiang’s current surface drip irrigation practices for rice (Oryza sativa L.), [...] Read more.
Coordinating the spatial distribution of crop roots with soil nutrients, along with selecting appropriate types of fertilizers, is an effective strategy to enhance root nutrient absorption and increase crop yield. In Xinjiang’s current surface drip irrigation practices for rice (Oryza sativa L.), premature leaf senescence and N deficiency are common issues, resulting in decreased yields. This study investigated whether different N forms under subsurface drip irrigation can modulate rice root morphological strategies to delay senescence in later growth stages, enhancing rice N uptake and yield formation. A field experiment compared the effects of different drip irrigation positions (surface drip irrigation at the surface, DI0; subsurface drip irrigation at 10 cm depth, DI10) and N forms (urea N, UN; ammonium N, AN) in four combination treatments (DI0-UN, DI0-AN, DI10-UN, DI10-AN) on rice root morphology, aboveground growth, and yield formation. During the grain-filling stage, the total root length (RL) and root number (RN) in the DI10-AN treatment were higher than in other treatments. Root vitality increased by 23.24–133.72% during the later filling stages, while the root decline rate decreased by 1.16–32.80%. The root configuration parameters β in the DI10-AN treatment were superior to those in other treatments, indicating that roots tend to distribute deeper in the soil. The DI10-AN treatment reduced Malondialdehyde (MDA) levels and increased Superoxide Dismutase (SOD) activity, thereby alleviating water and N stress on the leaves in later growth stages and maintaining higher photosynthetic parameter values. The DI10-AN treatment significantly increased N absorption (14.37–52.88%) and yield (13.32–46.31%). Correlation analysis showed that RL, RN, and root activity (Ra) were significantly positively correlated with transpiration rate (Tr), intercellular CO2 concentration (Ci), N uptake (NUP), one thousand-kernel weight (TKW), seed setting rate (SR), Efficient panicle (EP), and yield (r > 0.90). This study presents a new rice drip fertigation technique that combines subsurface irrigation with ammonium to enhance root growth and increase crop productivity. Full article
(This article belongs to the Section Crop Physiology and Crop Production)
Show Figures

Figure 1

20 pages, 4405 KB  
Article
Wheat Nitrogen Use and Grain Protein Characteristics Under No-Tillage: A Greater Response to Drip Fertigation Compared to Intensive Tillage
by Yuyan Fan, Wen Li, Limin Zhang, Jinxiao Song, Depeng Wang, Jianfu Xue, Yuechao Wang and Zhiqiang Gao
Agronomy 2025, 15(3), 588; https://doi.org/10.3390/agronomy15030588 - 27 Feb 2025
Cited by 1 | Viewed by 967
Abstract
No-tillage (NT) has been widely recognized for significantly enhancing crop yield and nitrogen (N) use efficiency in dryland agricultural systems globally. However, in irrigated fields, NT has demonstrated adverse effects on wheat yield, and limited information is available regarding its impact on N [...] Read more.
No-tillage (NT) has been widely recognized for significantly enhancing crop yield and nitrogen (N) use efficiency in dryland agricultural systems globally. However, in irrigated fields, NT has demonstrated adverse effects on wheat yield, and limited information is available regarding its impact on N uptake and use efficiencies, and grain protein characteristics. Previous studies concluded that drip fertigation (DF) achieved superior yield gain over the conventional N fertilizer broadcasting with flood irrigation (BF) under NT compared to rotary tillage (RT) and intensive tillage (PRT; first plowing followed by rotary tillage). This study measured tissue N concentration, grain protein content and composition, dough processing quality traits, and the activities of N metabolism enzymes in flag leaves and developing grains. The objectives were to (1) evaluate the response of N use traits and grain quality to DF, and (2) elucidate the relationship between gains in yield and N uptake across varying tillage methods. Results revealed that DF significantly increased N uptake by 35.4–38.0%, 22.1–22.2%, and 16.0–16.6% over BF under NT, RT, and PRT, respectively. This boosted N uptake predominantly contributed to enhanced N use efficiency (grain production per unit of total soil mineral and fertilizer N input). Regression analysis indicated that increased N pre-anthesis uptake was the primary driver of yield improvement by DF (r2 > 0.99, P < 0.01). Furthermore, NT demonstrated superior improvements by DF in N nutrition index, grain protein content, gliadin content, wet gluten content, and water absorption rate compared to RT and PRT. In conclusion, wheat N use and grain protein under NT responded greater to DF than intensive tillage. Therefore, our findings emphasize that transitioning from conventional water and N management to DF is an effective and practical strategy for enhancing N uptake, achieving high yield, improving N use efficiency, and enriching grain protein content, particularly under NT conditions. Full article
Show Figures

Figure 1

21 pages, 6918 KB  
Article
Sustainable and Traditional Irrigation and Fertigation Practices for Potato and Zucchini in Dry Mediterranean Regions
by Talal Darwish, Amin Shaban, Ghaleb Faour, Ihab Jomaa, Peter Moubarak and Roula Khadra
Sustainability 2025, 17(5), 1860; https://doi.org/10.3390/su17051860 - 21 Feb 2025
Viewed by 1528
Abstract
Transforming irrigation practices is essential to address aquifer depletion and food security in Mediterranean regions facing climate change and water scarcity. Developing local and national resilience to climate change requires capacity building to boost soil health and adaptation to drought. Recent attempts undertaken [...] Read more.
Transforming irrigation practices is essential to address aquifer depletion and food security in Mediterranean regions facing climate change and water scarcity. Developing local and national resilience to climate change requires capacity building to boost soil health and adaptation to drought. Recent attempts undertaken by the SEALACOM Project reduced irrigation rates in protected agriculture. The purpose of this work is to enhance traditional farmer’s practices and promote the potential of advanced fertigation of field crops (i.e., potato and zucchini) cultivated under two different pedo-climatic conditions to improve water and nutrient use efficiency. Results showed the yield of zucchini and potato on SEALACOM plots with continuous fertigation was 22% and 17.8%, respectively, which was higher than the yield with traditional irrigation and fertilization practices. Elite potato tuber size was 40% higher in SEALACOM plots (p < 0.05). The farmer applied 359 L of water to produce 1 kg of fresh zucchini compared to 225 L by the SEALACOM Project, indicating a significant, 60% water saving in the SEALACOM practice. Compared to farmer’s practices of potato production, the SEALACOM Project achieved more than 50% higher water productivity. In zucchini production, farmers applied 19.5% more nitrogen and 19.6% more phosphorus fertilizers. Compared to 58 kg of N applied by the farmers, the SEALACOM Project applied 38 kg of N to produce 1 ton of Zucchini, showing a 34% saving in major nutrient application. To cultivate 1 kg of fresh potato tubers, SEALACOM utilized 4.06 g of nitrogen and 1.34 g of phosphorus, compared to the traditional practice, which required 13.2 g of nitrogen and 2.25 g of phosphorus. Water and nutrient saving and higher productivity and commerciality of the final product have a high positive impact on the farmer’s income and positive attitude towards the adoption of modern, sustainable practices. Full article
Show Figures

Graphical abstract

26 pages, 1633 KB  
Article
Sown Diversity Effects on the C and N Cycle and Interactions with Fertilization
by Salvador Aljazairi, Angela Ribas, Rosa Llurba, Juan Pedro Ferrio, Jordi Voltas, Salvador Nogués and Maria Teresa Sebastiá
Agronomy 2025, 15(2), 287; https://doi.org/10.3390/agronomy15020287 - 23 Jan 2025
Cited by 3 | Viewed by 3485
Abstract
A better understanding of the role of plant composition and N cycle on agroecosystems is necessary, as these will be affected by future developments in agriculture intensification. To explore the effect of plant diversity on yield and carbon (C) and nitrogen (N) balances [...] Read more.
A better understanding of the role of plant composition and N cycle on agroecosystems is necessary, as these will be affected by future developments in agriculture intensification. To explore the effect of plant diversity on yield and carbon (C) and nitrogen (N) balances in forage mixtures, identifying potential co-benefits between functions. We analyzed results from a field experiment where plants of three forage species (a grass, a legume, and a non-legume forb) were cultivated in monocultures and mixtures. Three years after sward establishment, dry matter yield, together with δ15N, δ13C, and C and N content in plant and soil material were measured. In addition, we analyzed a second scenario to investigate the effect of fertigation with pig slurry (δ15N = +8.4‰) on the C and N balances of forage species. Results support the hypothesis that C and N allocation is affected by plant diversity. Plant composition affected N source (% N derived from air, % N derived from soil, and % N transferred in mixtures). In addition, sown diversity increased yield and modulated C and N balances. The δ15N of samples was affected by both plant composition and fertigation. These results are consistent with previous work showing strong plant composition effects on N-balances, and the potential role that legumes play in enhancing nitrogen sources (derived from the atmosphere) into forage mixture systems. This study contributes to the prediction of suitable sown plant community composition and N management for the optimum agriculture with increased productivity and at the same time reduced environmental impact. Full article
Show Figures

Figure 1

138 pages, 31774 KB  
Review
Green Ammonia, Nitric Acid, Advanced Fertilizer and Electricity Production with In Situ CO2 Capture and Utilization by Integrated Intensified Nonthermal Plasma Catalytic Processes: A Technology Transfer Review for Distributed Biorefineries
by Galip Akay
Catalysts 2025, 15(2), 105; https://doi.org/10.3390/catal15020105 - 22 Jan 2025
Cited by 3 | Viewed by 4641
Abstract
An Integrated Process Intensification (IPI) technology-based roadmap is proposed for the utilization of renewables (water, air and biomass/unavoidable waste) in the small-scale distributed production of the following primary products: electricity, H2, NH3, HNO3 and symbiotic advanced (SX) fertilizers [...] Read more.
An Integrated Process Intensification (IPI) technology-based roadmap is proposed for the utilization of renewables (water, air and biomass/unavoidable waste) in the small-scale distributed production of the following primary products: electricity, H2, NH3, HNO3 and symbiotic advanced (SX) fertilizers with CO2 mineralization capacity to achieve negative CO2 emission. Such a production platform is an integrated intensified biorefinery (IIBR), used as an alternative to large-scale centralized production which relies on green electricity and CCUS. Hence, the capacity and availability of the renewable biomass and unavoidable waste were examined. The critical elements of the IIBR include gasification/syngas production; syngas cleaning; electricity generation; and the conversion of clean syngas (which contains H2, CO, CH4, CO2 and N2) to the primary products using nonthermal plasma catalytic reactors with in situ NH3 sequestration for SA fertilizers. The status of these critical elements is critically reviewed with regard to their techno-economics and suitability for industrial applications. Using novel gasifiers powered by a combination of CO2, H2O and O2-enhanced air as the oxidant, it is possible to obtain syngas with high H2 concentration suitable for NH3 synthesis. Gasifier performances for syngas generation and cleaning, electricity production and emissions are evaluated and compared with gasifiers at 50 kWe and 1–2 MWe scales. The catalyst and plasma catalytic reactor systems for NH3 production with or without in situ reactive sequestration are considered in detail. The performance of the catalysts in different plasma reactions is widely different. The high intensity power (HIP) processing of perovskite (barium titanate) and unary/binary spinel oxide catalysts (or their combination) performs best in several syntheses, including NH3 production, NOx from air and fertigation fertilizers from plasma-activated water. These catalysts can be represented as BaTi1−vO3−x{#}yNz (black, piezoelectric barium titanate, bp-{BTO}) and M(1)3−jM(2)kO4−m{#}nNr/SiO2 (unary (k = 0) or a binary (k > 0) silane-coated SiO2-supported spinel oxide catalyst, denoted as M/Si = X) where {#} infers oxygen vacancy. HIP processing in air causes oxygen vacancies, nitrogen substitution, the acquisition of piezoelectric state and porosity and chemical/morphological heterogeneity, all of which make the catalysts highly active. Their morphological evaluation indicates the generation of dust particles (leading to porogenesis), 2D-nano/micro plates and structured ribbons, leading to quantum effects under plasma catalytic synthesis, including the acquisition of high-energy particles from the plasma space to prevent product dissociation as a result of electron impact. M/Si = X (X > 1/2) and bp-{BTO} catalysts generate plasma under microwave irradiation (including pulsed microwave) and hence can be used in a packed bed mode in microwave plasma reactors with plasma on and within the pores of the catalyst. Such reactors are suitable for electric-powered small-scale industrial operations. When combined with the in situ reactive separation of NH3 in the so-called Multi-Reaction Zone Reactor using NH3 sequestration agents to create SA fertilizers, the techno-economics of the plasma catalytic synthesis of fertilizers become favorable due to the elimination of product separation costs and the quality of the SA fertilizers which act as an artificial root system. The SA fertilizers provide soil fertility, biodiversity, high yield, efficient water and nutrient use and carbon sequestration through mineralization. They can prevent environmental damage and help plants and crops to adapt to the emerging harsh environmental and climate conditions through the formation of artificial rhizosphere and rhizosheath. The functions of the SA fertilizers should be taken into account when comparing the techno-economics of SA fertilizers with current fertilizers. Full article
(This article belongs to the Special Issue Catalysis for CO2 Conversion, 2nd Edition)
Show Figures

Graphical abstract

20 pages, 4921 KB  
Article
Drip Fertigation with Moderate Nitrogen Topdressing Rate Achieves High Nitrogen and Water Use Efficiencies for Irrigated Wheat
by Jin Tong, Yulei Xiong, Yu Lu, Wen Li, Wen Lin, Jianfu Xue, Min Sun, Yuechao Wang and Zhiqiang Gao
Agronomy 2025, 15(2), 259; https://doi.org/10.3390/agronomy15020259 - 21 Jan 2025
Cited by 2 | Viewed by 1336
Abstract
Drip fertigation (DF) can improve yield, water use efficiency (WUE), and nitrogen use efficiency (NUE, grain production per unit of the sum of soil inherent mineral N and fertilizer N), as well as reduce the risk of environmental pollution compared with flood irrigation [...] Read more.
Drip fertigation (DF) can improve yield, water use efficiency (WUE), and nitrogen use efficiency (NUE, grain production per unit of the sum of soil inherent mineral N and fertilizer N), as well as reduce the risk of environmental pollution compared with flood irrigation and N fertilizer broadcast (FB). Previously, we showed that DF enhanced the response of the yield to the N topdressing rate (NTR), but the underlying mechanisms associated with the soil N supply, root architecture, and N uptake remain unclear. We conducted a field experiment by testing six N treatments (no N applied, and NTRs of 0, 40, 80, 120, and 160 kg ha−1, denoted as N0, T0, T40, T80, T120, and T160, respectively) under DF and FB from 2021 to 2023. Compared with FB, the NUE and WUE were 4.8–4.9% and 10.0–10.5% higher under DF. The higher NUE was due to an improvement in N uptake efficiency (6.1–7.7%) resulting from the enhanced aboveground N uptake (AGN). The greater AGN under DF was attributed to the higher soil N availability at the soil depth of 0–40 cm. DF decreased the residual soil NO3-N at a depth of 40–200 cm but increased the NO3-N at a depth of 0–40 cm. In addition, DF combined with T80 achieved high root length density, surface density, and dry weight density and improved NUE and WUE. DF combined with T80 achieved high yield and efficient utilization of water and N, and the NTR threshold was 61.75–119.50 kg ha−1, in which the production conditions were similar to those of the experimental site. Our results provide a reference for high-efficiency water and N fertilizer usage for irrigated winter wheat production in North China. Full article
Show Figures

Figure 1

17 pages, 2736 KB  
Article
The Restoration Effect of Degraded Grassland Depends on the Response of Species Root Distribution to Resource Availability
by Yiming Zhao, Hui Li, Fei Peng, Dabu Xilatu, Qing Chen and Shan Lin
Agronomy 2025, 15(1), 12; https://doi.org/10.3390/agronomy15010012 - 25 Dec 2024
Viewed by 755
Abstract
Nitrogen (N) fertilization is an effective practice for restoring degraded grasslands, which might strongly depend on the rooting system and resource competition of individual plant species. The purpose of this study is to explore a method to distinguish the response of various plant [...] Read more.
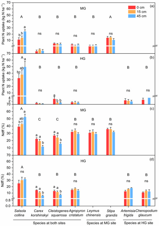
Nitrogen (N) fertilization is an effective practice for restoring degraded grasslands, which might strongly depend on the rooting system and resource competition of individual plant species. The purpose of this study is to explore a method to distinguish the response of various plant root architectures to the resource availability in a mixed ecosystem in situ. Field experiments were conducted using isotope techniques in conjunction with a specialized experimental design at a semiarid grassland location featuring heavily grazed (HG) and moderately grazed (MG) grassland sites with different dominant species. The same amounts of water and 15N-labelled fertilizer were uniformly supplied by a tube fertigation system at soil depths of 0, 15 and 45 cm. At both the HG and MG sites, there was a significant increase in aboveground net primary production (ANPP), water use efficiency (WUE) and 15N use efficiency (15NUE) at the community level with increasing depths of fertigation. The ANPP and plant N uptake exhibited higher values at the HG site compared to those at the MG site, while 15NUE and 15N abundance were significantly lower at the HG site. The annual species Salsola collina Pall. exhibited the highest aboveground biomass (AGB) and 15N abundance compared to all other species. Furthermore, the 15N enrichment of S. collina increased with greater depths of 15N-labelled fertilization, indicating that S. collina might develop a more extensive root system in response to water and N addition in the degraded grassland. Our study highlights that using isotope methods could indirectly distinguish root distribution and resource acquisition. In the recovery of degraded grassland by N fertilizer, we should not only consider the aboveground biomass but also pay special attention to the resource competition of individual plant species due to the possible discrepancy in rooting systems. Full article
(This article belongs to the Section Grassland and Pasture Science)
Show Figures

Figure 1

14 pages, 4572 KB  
Article
Influence of Animal Manure Extracts on Physico-Chemical and Nutritional Quality of Tomatoes Grown in Soilless Cultivation
by Ayanda Luthuli, Lembe Magwaza, Samson Tesfay, Shirly Magwaza and Asanda Mditshwa
Horticulturae 2024, 10(12), 1330; https://doi.org/10.3390/horticulturae10121330 - 12 Dec 2024
Cited by 1 | Viewed by 1862
Abstract
In response to environmental challenges facing the agricultural sector, growers are moving toward innovative and sustainable cultivation methods such as the hydroponic production system. This study evaluated the effect of different sources of manure on the physico-chemical and nutritional qualities of tomatoes (cv. [...] Read more.
In response to environmental challenges facing the agricultural sector, growers are moving toward innovative and sustainable cultivation methods such as the hydroponic production system. This study evaluated the effect of different sources of manure on the physico-chemical and nutritional qualities of tomatoes (cv. CLX 532) grown under a hydroponic system. The experiment was set up in a completely randomized design with four treatments, which included three types of animal manure-derived hydroponic nutrient extracts, namely, chicken (CHME), cow (CME) and goat (GME), and a commercial fertilizer as a control. Tomato fruit from each treatment were harvested and analysed for macro- and micronutrients, physicochemical attributes such as total soluble solids (TSS), titratable acidity (TA), total soluble solid to titratable acidity ratio (TSS/TA), BrimA, colour index and firmness. The total phenolics and ascorbic acid content were also assessed. The results showed significant differences in physico-chemical and nutritional quality among different treatments. TSS was higher in CHME (6.47 °Brix) compared to other treatments. The TA was higher in both commercial fertilizer and CHME (0.62% and 0.61%) than in GME and CME (0.44% and 0.39%). Both TSS/TA and BrimA were lower in commercial fertilizer and than in animal manure extracts (AME). CHME had a higher colour index (30.32) while GME had higher firmness (316.9 N) than other treatments. The phenolic content was notably higher in GME compared to the commercial fertilizer and AME. Fruit fertigated with commercial fertilizer had more macronutrient content while fruit fertigated with animal manure-based nutrient solutions had high micronutrients. Based on these findings, animal manure extracts, specifically CHME and GME, can be used as a nutrient source in the production of tomatoes as it produces good fruit quality which is comparable to commercial fertilizers. Full article
(This article belongs to the Section Vegetable Production Systems)
Show Figures

Figure 1

Back to TopTop