Sign in to use this feature.

Years

Between: -

Subjects

remove_circle_outline
remove_circle_outline
remove_circle_outline
remove_circle_outline
remove_circle_outline
remove_circle_outline
remove_circle_outline
remove_circle_outline
remove_circle_outline

Journals

remove_circle_outline
remove_circle_outline
remove_circle_outline
remove_circle_outline
remove_circle_outline
remove_circle_outline
remove_circle_outline
remove_circle_outline
remove_circle_outline
remove_circle_outline
remove_circle_outline
remove_circle_outline
remove_circle_outline
remove_circle_outline

Article Types

Countries / Regions

remove_circle_outline
remove_circle_outline
remove_circle_outline
remove_circle_outline
remove_circle_outline
remove_circle_outline
remove_circle_outline

Search Results (1,208)

Search Parameters:
Keywords = Mg0.1Zn0.9O

Order results
Result details
Results per page
Select all
Export citation of selected articles as:
22 pages, 4176 KB  
Article
Green Synthesis and Characterization of Different Metal Oxide Microparticles by Means of Probiotic Microorganisms
by Claudia Cruz-Rodríguez, Ricardo Moisés González-Reza and Humberto Hernández-Sánchez
Processes 2026, 14(1), 101; https://doi.org/10.3390/pr14010101 (registering DOI) - 27 Dec 2025
Abstract
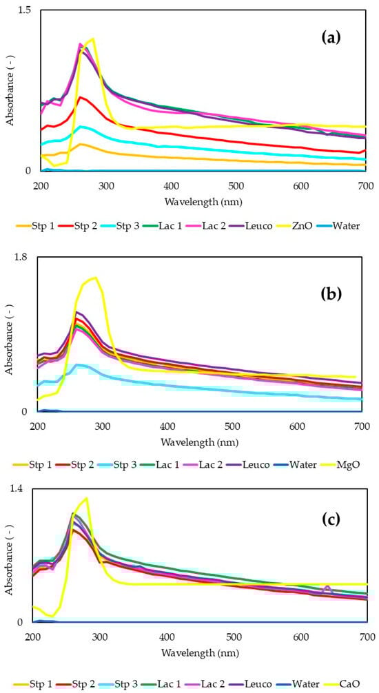
Microparticles (MPs) are delivery systems for bioactive compounds with particle sizes in the micrometer range (1–1000 μm). This study reports a green protocol for the biosynthesis of ZnO-, MgO-, and CaO-MPs using the probiotic strains Lactobacillus delbrueckii subsp. bulgaricus, Streptococcus thermophilus, [...] Read more.
Microparticles (MPs) are delivery systems for bioactive compounds with particle sizes in the micrometer range (1–1000 μm). This study reports a green protocol for the biosynthesis of ZnO-, MgO-, and CaO-MPs using the probiotic strains Lactobacillus delbrueckii subsp. bulgaricus, Streptococcus thermophilus, and Leuconostoc mesenteroides. Ultraviolet–visible (UV-Vis) spectroscopy, scanning electron microscopy (SEM), and dynamic light scattering (DLS) were used for the preliminary characterization of the metal oxide MPs. Antimicrobial activity was evaluated against pathogenic and phytopathogenic microorganisms, including Salmonella typhimurium, Staphylococcus aureus, Escherichia coli, and Ralstonia solanacearum. UV-Vis analysis revealed previously reported blue shifts in the ZnO- and CaO-MPs. DLS measurements showed particle sizes larger than 1000 nm in 95% of the cases, while smaller sizes were observed by SEM. The stability of the MPs, based on their zeta potential values, ranged from relatively to moderately stable. This study demonstrates that the six probiotic lactic acid bacteria strains are capable of synthesizing ZnO-MPs, CaO-MPs, and MgO-MPs. All MPs exhibited antimicrobial activity against pathogens and phytopathogens at different concentrations. Although similar antimicrobial effects have been reported for metal oxide nanoparticles produced by probiotic bacteria, considering the potential environmental and human health impacts of nanoparticles, the use of safer materials obtained through green synthesis—such as metal oxide MPs—may represent a more suitable alternative. Full article
Show Figures

Figure 1

22 pages, 5851 KB  
Article
Mineralogical and Geochemical Characteristics of the Vent Dusts from the Underground Coal Mines in Ningwu Coalfield, Shanxi Province
by Xueming Zhou, Yunfei Shangguan, Xinguo Zhuang, Jing Li, Jihua Tan, Peihua Bian, Anping Jia and Bin Wu
Minerals 2026, 16(1), 32; https://doi.org/10.3390/min16010032 (registering DOI) - 27 Dec 2025
Abstract
This study focused on the dust in the ventilation of the underground coal mine of Ningwu Coalfield, Shanxi Province; the particle-size distribution and the mineralogical and geochemical characteristics of the vent dust were studied. The particle-size distribution of the vent dusts in the [...] Read more.
This study focused on the dust in the ventilation of the underground coal mine of Ningwu Coalfield, Shanxi Province; the particle-size distribution and the mineralogical and geochemical characteristics of the vent dust were studied. The particle-size distribution of the vent dusts in the exhaust outlets of the four coal mines studied is similar and characterized by a single peak, which occurred at 3.5–4.0 μm. The minerals in the vent dusts are dominantly composed of kaolinite, followed by illite, quartz, calcite, dolomite, bassanite, and anhydrite. Except for the high content of bassanite, the vent dust discharged from the YS coal mine presents a similar mineral composition to the parent coal. Compared with the parent coal (and the Upper Continental Crust), the vent dust is enriched to varying degrees in the major element oxides Fe2O3, CaO, K2O, Na2O, and MgO, as well as trace elements Sb, Zn, Bi, Cd, Cu, As, W, and Pb, especially the contents of Sb, Zn, W, and As increased by 1177, 84, 15, and 12 times, respectively. The vent dusts emitted from these coal mines mainly come from the mining of coal seams; a small amount comes from the shotcrete and weathering products of the tunnel gallery, dust flame retardant, and the wear of coal cutters and coal transmission belts. Therefore, it is necessary to strengthen the management of coal mine vent dust emission to ensure that the mine vent emissions are pollution-free. Full article
20 pages, 4456 KB  
Article
Enhanced Adsorption of Metformin Using Cu and ZnO Nanoparticles Anchored on Carboxylated Graphene Oxide
by Abeer H. Aljadaani, Amr A. Yakout and Hany Abdel-Aal
Polymers 2026, 18(1), 71; https://doi.org/10.3390/polym18010071 (registering DOI) - 26 Dec 2025
Abstract
Pharmaceutical residues are increasingly emerging in global drinking water sources, posing serious ecological and public health challenges by altering the physicochemical balance of aquatic systems. Among available purification approaches, adsorption remains one of the most promising techniques due to its simplicity, cost-effectiveness, and [...] Read more.
Pharmaceutical residues are increasingly emerging in global drinking water sources, posing serious ecological and public health challenges by altering the physicochemical balance of aquatic systems. Among available purification approaches, adsorption remains one of the most promising techniques due to its simplicity, cost-effectiveness, and efficiency. In this work, a ternary nanocomposite of Cu- and ZnO-decorated carboxylated graphene oxide (Cu/ZnO@CGO) was synthesized and utilized for highly efficient and ultrafast removal of the antidiabetic drug metformin from aqueous environments. The adsorption mechanism arises from a synergistic combination of surface complexation on Cu nanoparticles, cation–π and π–π electron donor–acceptor interactions with the CGO aromatic structure, and hydrogen bonding through the amino groups of metformin and the oxygen-rich functional moieties of ZnO and CGO. The nanocomposite was thoroughly characterized using FTIR, XPS, XRD, SEM, HRTEM, and TGA analyses, confirming its well-defined hybrid structure. Unlike conventional single-phase or binary systems, the Cu/ZnO@CGO nanocomposite demonstrated remarkable cooperative effects that enhanced its performance through the integration of metal–ligand coordination, π–π stacking, cation–π forces, and hydrogen bonding. These interactions contributed to an outstanding adsorption capacity of 232.56 mg·g−1 and an exceptionally fast equilibrium time of only 25 min. Moreover, the material maintained excellent reusability, with merely a 4.1% decline in efficiency after five regeneration cycles, and achieved almost complete removal of metformin (99.7 ± 3.4%) from several real water samples, namely river, tap, and bottled water. The unique structural design of Cu/ZnO@CGO prevents CGO aggregation and facilitates efficient contaminant capture even at trace concentrations, establishing it as a highly competitive and sustainable adsorbent for pharmaceutical wastewater treatment. Overall, this study highlights a novel and rationally engineered nanocomposite whose synergistic surface chemistry bridges adsorption and detoxification, providing valuable insight into the next generation of multifunctional graphene-based materials for environmental remediation. Full article
(This article belongs to the Special Issue Polymeric Materials Based on Graphene Derivatives and Composites)
Show Figures

Figure 1

11 pages, 2082 KB  
Article
Highly Efficient and Stable Quantum Dot Light-Emitting Diodes Employing Sputtered SnO2 Layer as Electron Transport Layers
by Jaehwi Choi and Jiwan Kim
Nanomaterials 2026, 16(1), 31; https://doi.org/10.3390/nano16010031 - 25 Dec 2025
Abstract
We report a novel approach to fabricating high-performance and robust quantum dot light-emitting diodes (QLEDs) utilizing sputtered SnO2 thin films as the electron transport layer (ETL). While conventional solution-processed ZnMgO NP ETLs face limitations in mass production, the sputtering process offers advantages [...] Read more.
We report a novel approach to fabricating high-performance and robust quantum dot light-emitting diodes (QLEDs) utilizing sputtered SnO2 thin films as the electron transport layer (ETL). While conventional solution-processed ZnMgO NP ETLs face limitations in mass production, the sputtering process offers advantages for uniform and reproducible thin film deposition. Herein, the structural, optical, and electrical properties of SnO2 thin films were optimized by controlling the Ar/O2 ratio and substrate heating temperature during sputtering. SnO2 thin films with O2 gas improve charge balancing in QLEDs by lowering the conduction band minimum. Furthermore, it was observed that oxygen vacancies in SnO2 function as exciton quenching sites, which directly impacts the long-term stability of the device. QLEDs fabricated under optimal conditions (Ar/O2 = 35:5, 200 °C heating) achieved a peak luminance of 99,212 cd/m2 and a current efficiency of 21.17 cd/A with excellent device stability. The findings suggest that sputtered SnO2 ETLs are a highly promising technology for the commercial production of QLEDs. Full article
(This article belongs to the Special Issue Light-Emitting-Diodes Based on Quantum Dots)
Show Figures

Figure 1

36 pages, 42073 KB  
Article
FEM Numerical Calculations and Experimental Verification of Extrusion Welding Process of 7075 Aluminium Alloy Tubes
by Dariusz Leśniak, Konrad Błażej Laber and Jacek Madura
Materials 2026, 19(1), 75; https://doi.org/10.3390/ma19010075 - 24 Dec 2025
Viewed by 94
Abstract
Extrusion of AlZnMgCu alloys is associated with a very high plastic resistance of the materials at forming temperatures and significant friction resistance, particularly at the contact surface between the ingots and the container. In technological practice, this translates into high maximum extrusion forces, [...] Read more.
Extrusion of AlZnMgCu alloys is associated with a very high plastic resistance of the materials at forming temperatures and significant friction resistance, particularly at the contact surface between the ingots and the container. In technological practice, this translates into high maximum extrusion forces, often close to the capacity of hydraulic presses, and the occurrence of surface cracking of extruded profiles, resulting in a reduction in metal exit speed (production process efficiency). The accuracy of mathematical material models describing changes in the plastic stress of a material as a function of deformation, depending on the forming temperature and deformation speed, plays a very important role in the numerical modelling of extrusion processes using the finite element method (FEM). Therefore, three mathematical material models of the tested aluminium alloy were analysed in this study. In order to use the results of plastometric tests determined on the Gleeble device, they were approximated with varying degrees of accuracy using the Hnsel–Spittel equation and then implemented into the material database of the QForm-Extrusion® programme. A series of numerical FEM calculations were performed for the extrusion of Ø50 × 3 mm tubes made of 7075 aluminium alloy using chamber dies for two different billet heating temperatures, 480 °C and 510 °C, and for three different material models. The metal flow was analysed in terms of geometric stability and dimensional deviations in the wall thickness of the extruded tube and its surface quality, as well as the maximum force in the extrusion process. Experimental studies of the industrial extrusion process of the tubes, using a press with a maximum force of 28 MN and a container diameter of 7 inches, confirmed the significant impact of the accuracy of the material model used on the results of the FEM numerical calculations. It was found that the developed material model of aluminium alloy 7075 number 1 allows for the most accurate representation of the actual conditions of deformation and quality of extruded tubes. Moreover, the material data obtained on the Gleeble simulator made it possible to determine the limit temperature of the extruded alloy, above which the material loses its cohesion and cracks appear on the surface of the extruded profiles. Full article
(This article belongs to the Special Issue Advances in Materials Processing (4th Edition))
Show Figures

Figure 1

24 pages, 2974 KB  
Article
Evaluation of Oxidative Stress and Antioxidant Effects of Methylxanthines in Adult Zebrafish Exposed to Zinc Oxide Nanoparticles (ZnO-NPs)
by Cristian Dan Pavel, Carmen Lidia Chiţescu, Oana-Maria Dragostin, Lorena Dediu, Iuliana Aprodu, Ancuţa Dinu Iacob, Rodica Vatcu, Alexandra-Simona Zamfir and Carmen Lăcrămioara Zamfir
Medicina 2026, 62(1), 21; https://doi.org/10.3390/medicina62010021 - 22 Dec 2025
Viewed by 115
Abstract
Background and Objectives: Oxidative stress plays a central role in numerous pathological and toxicological processes, and in vivo investigations are essential for understanding integrated systemic responses. Methylxanthines have been reported to modulate redox homeostasis through multiple mechanisms, but their effects in aquatic vertebrate [...] Read more.
Background and Objectives: Oxidative stress plays a central role in numerous pathological and toxicological processes, and in vivo investigations are essential for understanding integrated systemic responses. Methylxanthines have been reported to modulate redox homeostasis through multiple mechanisms, but their effects in aquatic vertebrate models under metal nanoparticle-induced oxidative stress remain poorly characterized. Materials and Methods: In the present study, adult zebrafish were exposed for 15 days to ZnO nanoparticles (0.69 mg/L) as a pro-oxidant model, and to methylxanthines (caffeine, theobromine, theophylline; 50 mg/L). Oxidative stress biomarkers were assessed by measuring the levels of glutathione peroxidase 1 (GPx1), catalase (CAT), superoxide dismutase (SOD), and reduced glutathione (GSH) in whole-body homogenates using ELISA. Complementary molecular docking was performed to investigate methylxanthine–enzyme interactions. Results: The most substantial change was observed for SOD level, which significant increased compared to the control group (from 0.122 to 1.090 ng/g; p = 0.001), followed by CAT, which rose from 38.3 pg/g to 100.8 pg/g; p = 0.001), and GPX1 which increased from 84.3 pg/g to 142.2 pg/g; p = 0.011). In parallel, GSH levels decreased by 58.7% (p = 0.001). Co-exposure to methylxanthines significantly modulated the ZnO-NPs exposure response, by mitigating the increase in antioxidant enzyme levels and restoring glutathione. Among the tested compounds, theobromine exerted the strongest protective effect on GPx1 and GSH and caffeine primarily influenced CAT and SOD, whereas theophylline showed overall weaker responses. The molecular docking investigation indicated that all tested methylxanthines can attach to different cavities of the antioxidant enzymes. Theophylline and theobromine established hydrogen bonds and π-stacking interactions with the interfacing amino acids, potentially contributing to the modulation of enzymes stabilization and function under physiological conditions. Conclusions: ZnO-NPs trigger a robust systemic response in zebrafish, whereas methylxanthines display distinct compound-specific modulating effects. Full article
Show Figures

Figure 1

17 pages, 2827 KB  
Article
Electromagnetic Disintegration of Water Treatment Sludge: Physicochemical Changes and Leachability Assessment
by Izabela Płonka, Barbara Pieczykolan and Maciej Thomas
Appl. Sci. 2026, 16(1), 110; https://doi.org/10.3390/app16010110 - 22 Dec 2025
Viewed by 107
Abstract
This paper presents the results of the study of electromagnetic disintegration of sludge in a microwave oven at power levels 180 W, 360 W, 540 W, 720 W and 900 W applied at 30 s intervals from 30 to 300 s, originating from [...] Read more.
This paper presents the results of the study of electromagnetic disintegration of sludge in a microwave oven at power levels 180 W, 360 W, 540 W, 720 W and 900 W applied at 30 s intervals from 30 to 300 s, originating from a water treatment process where polyaluminum chloride ([Al2(OH)nCl6-n]m) as a coagulant was applied. The selected physicochemical parameters of water treatment sludge, including the total solids content (TS), volatile solids content (VS), capillary suction time (CST), settleability, chemical oxygen demand (COD), heavy metals (Cu, Zn, Ni, Pb, Cd, Cr) and macro elements (K, Na, Ca) in the water extract and in the sludge liquid were measured. The results indicated that after 24 h of sedimentation, the sediment volume was within the range of 50–60 mL for almost all the samples, CST decreased to 23.06 and 25.72 s (for 720 and 900 W, respectively) and the COD increased to approximately 140 mg O2/L when the microwave exposure time was extended at least to 120 s. The degree of disintegration of the water treatment sludge increased to 13.4–14.3% for 540–720 W and 270–300 s irradiation time. Heavy metals are not leached from the sludge after microwave disintegration in concentrations that could pose a threat to the environment. The use of electromagnetic disintegration is the viable option for the treatment of sludge from water treatment process. Full article
(This article belongs to the Special Issue Water Pollution and Wastewater Treatment Chemistry)
Show Figures

Figure 1

20 pages, 3421 KB  
Article
Design and Characterization of Ceramic Bricks with Industrial Waste and Silica–Carbon-Based Additives
by Aidar Kengesbekov, Alfira Sabitova, Moldir Bayandinova, Zhanna Sharipkhan, Diana Bexoltanova and Nurlan Mukhamediarov
Buildings 2026, 16(1), 20; https://doi.org/10.3390/buildings16010020 - 19 Dec 2025
Viewed by 234
Abstract
This study investigates ceramic bricks produced by partially replacing clay with Pb–Zn metallurgical residues (lead furnace dust and cyclone dust), fly ash, and carbonaceous additives. The novelty lies in the integrated multi-waste formulation and the combined FTIR–TGA–XRD analytical approach used to elucidate phase-formation [...] Read more.
This study investigates ceramic bricks produced by partially replacing clay with Pb–Zn metallurgical residues (lead furnace dust and cyclone dust), fly ash, and carbonaceous additives. The novelty lies in the integrated multi-waste formulation and the combined FTIR–TGA–XRD analytical approach used to elucidate phase-formation mechanisms. The results show that firing promotes the development of quartz, mullite, iron oxides, and an extensive Fe–Pb–Zn–Si–O amorphous network, while higher residue contents enhance amorphization and suppress mullite crystallization. These microstructural changes correlate with reduced compressive strength (1.6–3.1 MPa) and high water absorption (32–36%), although all samples completed 15 freeze–thaw cycles. Heavy-metal leaching assessed by atomic absorption spectroscopy (AAS) revealed very low Pb (0.08–0.20 mg/L) and Zn (0.25–0.45 mg/L) release, well below international safety limits, demonstrating effective immobilization of hazardous ions within the glassy matrix. Overall, the study provides new insight into multi-waste interactions during sintering and confirms that controlled residue incorporation enables environmentally safe, non-load-bearing ceramic materials with reduced clay consumption. Full article
(This article belongs to the Section Building Materials, and Repair & Renovation)
Show Figures

Figure 1

16 pages, 2265 KB  
Article
Concentration-Dependent Effects of Foliar ZnO Nanoparticles on Growth and Nutrient Use in Young Crabapple Plants
by Qi Zhao, Meimei Qin, Suixia Lang, Mengyao Qin, Lizhi Liu, Qian Li, Dehui Zhang and Lei Li
Horticulturae 2025, 11(12), 1535; https://doi.org/10.3390/horticulturae11121535 - 18 Dec 2025
Viewed by 145
Abstract
Zinc oxide nanoparticles (ZnO NPs) have garnered increasing attention in agriculture due to their potential to enhance plant growth and nutrient use. This research investigates the concentration-dependent effects of ZnO NPs on young crabapple (Malus robusta) plants, addressing gaps in understanding [...] Read more.
Zinc oxide nanoparticles (ZnO NPs) have garnered increasing attention in agriculture due to their potential to enhance plant growth and nutrient use. This research investigates the concentration-dependent effects of ZnO NPs on young crabapple (Malus robusta) plants, addressing gaps in understanding how different concentrations influence plant development. A hydroponic experiment was conducted, applying foliar treatments of 200 mg L−1 ZnSO4 (S200) and 200, 500, and 1000 mg L−1 ZnO NPs (N200, N500, N100). The control group (CK) was treated with deionized water (dH2O). Growth parameters, antioxidant enzyme activity, and nutrient contents were measured to evaluate the impact of ZnO NPs on plant development and nutrient uptake. The results showed that N200 enhanced growth, increasing plant height by 22.64%, total dry weight by 49.36%, and root length by 116.07%. In contrast, N500 and N1000 induced oxidative stress, elevating H2O2 and MDA by 32.02~54.43% and inhibiting growth. N200 also improved nutrient uptake, increasing K, Ca, Fe, and Zn uptake fluxes by 84.92%, 112.12%, 185.15%, and 149.92%, respectively, whereas N1000 suppressed overall nutrient uptake but increased root Ca accumulation by 64.59%. These findings suggest that ZnO NPs can enhance plant growth and nutrient utilization at low concentrations, with potential implications for agricultural practices involving nanoparticle (NP)-based fertilizers. Full article
(This article belongs to the Special Issue Nutrient Absorption and Utilization in Horticultural Crops)
Show Figures

Figure 1

25 pages, 1343 KB  
Review
A Critical Review of Diffusion—Thermomechanical and Composite Reinforcement Approaches for Surface Hardening of Aluminum Alloys and Matrix Composites
by Narayana Swamy Rangaiah, Ananda Hegde, Sathyashankara Sharma, Gowrishankar Mandya Channegowda, Umanath R. Poojary and Niranjana Rai
J. Compos. Sci. 2025, 9(12), 689; https://doi.org/10.3390/jcs9120689 - 12 Dec 2025
Viewed by 498
Abstract
Aluminum alloys require improved surface performance to satisfy the demands of today’s aerospace, automotive, marine, and structural applications. This paper compares three key surface hardening methods: diffusion-assisted microalloying, thermomechanical deformation-based treatments, and composite/hybrid reinforcing procedures. Diffusion-assisted Zn/Mg enrichment allows for localized precipitation hardening [...] Read more.
Aluminum alloys require improved surface performance to satisfy the demands of today’s aerospace, automotive, marine, and structural applications. This paper compares three key surface hardening methods: diffusion-assisted microalloying, thermomechanical deformation-based treatments, and composite/hybrid reinforcing procedures. Diffusion-assisted Zn/Mg enrichment allows for localized precipitation hardening but is limited by the native Al2O3 barrier, slow solute mobility, alloy-dependent solubility, and shallow hardened depths. In contrast, thermomechanical techniques such as shot peening, surface mechanical attrition treatment (SMAT), and laser shock peening produce ultrafine/nanocrystalline layers, high dislocation densities, and deep compressive residual stresses, allowing for predictable increases in hardness, fatigue resistance, and corrosion performance. Composite and hybrid reinforcement systems, such as SiC, B4C, graphene, and graphite-based aluminum matrix composites (AMCs), use load transfer, Orowan looping, interfacial strengthening, and solid lubrication effects to enhance wear resistance and through-thickness strengthening. Comparative evaluations show that, while diffusion-assisted procedures are still labor-intensive and solute-sensitive, thermomechanical treatments are more industrially established and scalable. Composite and hybrid systems provide the best tribological and load-bearing performance but necessitate more sophisticated processing approaches. Recent corrosion studies show that interfacial chemistry, precipitate distribution, and galvanic coupling all have a significant impact on pitting and stress corrosion cracking (SCC). These findings highlight the importance of treating corrosion as a fundamental design variable in all surface hardening techniques. This work uses unified tables and drawings to provide a thorough examination of strengthening mechanisms, corrosion and fatigue behavior, hardening depth, alloy suitability, and industrial feasibility. Future research focuses on overcoming diffusion barriers, establishing next-generation gradient topologies and hybrid processing approaches, improving strength ductility corrosion trade-offs, and utilizing machine-learning-guided alloy design. This research presents the first comprehensive framework for selecting multifunctional aluminum surfaces in demanding aerospace, automotive, and marine applications by seeing composite reinforcements as supplements rather than strict alternatives to diffusion-assisted and thermomechanical approaches. Full article
(This article belongs to the Section Metal Composites)
Show Figures

Figure 1

9 pages, 816 KB  
Proceeding Paper
Hierarchical Ag-Doped Hydroxyapatite Coatings on TiO2 Nanotubes Formed on Ti-407 Alloy: Antibacterial Evaluation Against Escherichia coli 
by Angie P. Tamayo-Jimenez, Frank E. Melendez-Anzures, Maria P. Barron-Gonzalez, Enrique M. Lopez-Cuellar, Yadira Quiñones-Gutierrez, Javier A. Garza-Guajardo and Azael Martinez-De la Cruz
Mater. Proc. 2025, 28(1), 4; https://doi.org/10.3390/materproc2025028004 - 11 Dec 2025
Viewed by 155
Abstract
Postoperative infections in orthopedic implants remain a major complication, particularly in open fractures, where early bacterial colonization and the limited bioactivity of titanium alloys hinder osseointegration. This study reports a hierarchical coating synthesized in situ on Ti-407 alloy, integrating bioactive and antibacterial functions. [...] Read more.
Postoperative infections in orthopedic implants remain a major complication, particularly in open fractures, where early bacterial colonization and the limited bioactivity of titanium alloys hinder osseointegration. This study reports a hierarchical coating synthesized in situ on Ti-407 alloy, integrating bioactive and antibacterial functions. TiO2 nanotube arrays were formed by anodization and subsequently functionalized by sequential electrodeposition of Ag nanoparticles and doped hydroxyapatite (HA) (Ca, P, Mg, Zn). SEM/EDS confirmed uniform coatings with a Ca/P ratio near stoichiometric HA (1.61). Agar diffusion assays against E. coli ATCC® 25922™ revealed well-defined inhibition zones, confirming the antibacterial efficacy of the coatings. These findings highlight the potential of hierarchical coatings to enhance bone integration while reducing infection risk in orthopedic implants. Full article
Show Figures

Figure 1

35 pages, 17416 KB  
Article
Sunlight-Driven Photocatalysis in Hydrothermally Coupled ZnO/Fe3O4 Heterostructures from Bioengineered Nanoparticles
by Nayane O. Chaves, Michael D. S. Monteiro, Thayna M. Lira, Daniela B. Santos, Victor M. Del Aguila, Ștefan Țălu, Nilson S. Ferreira, Henrique Duarte da Fonseca Filho, Eliana M. Sussuchi, Rosane M. P. B. Oliveira and Robert S. Matos
Nanomaterials 2025, 15(24), 1864; https://doi.org/10.3390/nano15241864 - 11 Dec 2025
Viewed by 354
Abstract
We report a fully biogenic route to ZnO, Fe3O4, and their hydrothermally coupled ZnO/Fe3O4 heterostructure and establish a synthesis–structure–function link. Phase-pure, quasi-spherical wurtzite ZnO and finer inverse-spinel Fe3O4 nanoparticles assemble into a biphasic [...] Read more.
We report a fully biogenic route to ZnO, Fe3O4, and their hydrothermally coupled ZnO/Fe3O4 heterostructure and establish a synthesis–structure–function link. Phase-pure, quasi-spherical wurtzite ZnO and finer inverse-spinel Fe3O4 nanoparticles assemble into a biphasic interface without forming a solid solution; optical analysis yields Eg = 2.36 eV (ZnO), 1.46 eV (Fe3O4), and 1.45 eV (ZnO/Fe3O4), while PL shows near-band-edge quenching and green–yellow defect reweighting at 490–560 nm, consistent with interfacial band bending. Magnetically, ZnO/Fe3O4 is soft-ferrimagnetic with MS/MR/HC = 226 emu g−1/17 emu g−1/0.010 T (at 300 K), enabling rapid magnetic recovery. Under natural sunlight (572.6 ± 32 W m−2), adsorption-corrected methylene blue removal (10 mg L−1; 10 mg in 50 mL) gives real degradation rates RDR = 90% (ZnO), 65% (ZnO/Fe3O4), and 30% (Fe3O4) at 180 min, with pseudo–first-order constants k = 1.9 × 10−2, 0.7 × 10−2, and 0.4 × 10−2 min−1, respectively; dark adsorption baselines are 10%, 14%, and 49%. Reusability over four cycles preserves pseudo-first-order kinetics (ZnO/Fe3O4: 65% → 50%). Scavenger tests implicate OH as the dominant oxidant in ZnO and ZnO/Fe3O4, and O2 in Fe3O4. Taken together, the band alignment, photoluminescence quenching, radical-scavenger profiles, and kinetic synergy are consistent with a defect-rich S/Z-scheme-like ZnO/Fe3O4 heterojunction, delivering a green, sunlight-operable, and recyclable platform for affordable wastewater remediation. Full article
Show Figures

Graphical abstract

26 pages, 18739 KB  
Article
ZnO Thin Films as Promising Corrosion Protection on Mg-Based Alloys
by Aneta Kania, Magdalena M. Szindler, Marek Szindler, Zbigniew Brytan, Monika Kciuk, Wojciech Pakieła, Łukasz Reimann and Paweł M. Nuckowski
Materials 2025, 18(24), 5568; https://doi.org/10.3390/ma18245568 - 11 Dec 2025
Viewed by 193
Abstract
The present study examined the microstructure and corrosion characteristics of MgCa4Zn1Gd1 and MgCa2Zn1Gd3 alloys that were coated with ZnO thin films, which were deposited by atomic layer deposition (ALD). Coatings of different thicknesses (42.5, 95.4 and 133.7 nm for 500, 1000, and 1500 [...] Read more.
The present study examined the microstructure and corrosion characteristics of MgCa4Zn1Gd1 and MgCa2Zn1Gd3 alloys that were coated with ZnO thin films, which were deposited by atomic layer deposition (ALD). Coatings of different thicknesses (42.5, 95.4 and 133.7 nm for 500, 1000, and 1500 cycles, respectively) were characterized using X-ray diffraction (XRD), Raman spectroscopy, SEM/EDS, AFM (atomic force microscope), and FTIR (Fourier transform infrared spectroscopy). XRD and Raman analyses were conducted to verify the formation of crystalline zinc oxide (ZnO) with a homogeneous granular morphology. Surface roughness decreased with increasing coating thickness, reaching the lowest values for the 1500-cycle ZnO layer on MgCa2Zn1Gd3 (Ra = 7.65 nm, Rs = 9.8 nm). Potentiodynamic and immersion tests in Ringer solution at 37 °C revealed improved corrosion resistance for thicker coatings, with the lowest hydrogen evolution (20.89 mL·cm−2) observed for MgCa2Zn1Gd3 coated after 1500 cycles. Analysis of corrosion products by FTIR identified Mg(OH)2 and MgCO3 as dominant and then MgO and ZnO. Phase analysis also indicated the presence of ZnO coating after 100 h of immersion. The ZnO film deposited after 1500 ALD cycles on MgCa2Zn1Gd3 provides the most effective corrosion protection and is a promising solution for biodegradable magnesium implants. Full article
(This article belongs to the Special Issue Corrosion and Corrosion Protection of Metals/Alloys)
Show Figures

Graphical abstract

19 pages, 10931 KB  
Article
Computational Biocompatibility and Safety Evaluation of Metal-Doped PET-Carbon Quantum Dots via Multi-Target Molecular Docking and ADMET Analysis on Human Proteins
by Christian Ebere Enyoh, Tochukwu Oluwatosin Maduka, Qingyue Wang, Miho Suzuki and Ifunanya Scholastica Enyoh
Physchem 2025, 5(4), 55; https://doi.org/10.3390/physchem5040055 - 10 Dec 2025
Viewed by 420
Abstract
Polyethylene terephthalate-derived fluorescent carbon quantum dots (PET-CQDs) are promising nanomaterials for sensing and biomedical uses, yet their biological interactions after metal doping require careful evaluation. Here, we report an in silico assessment of pristine and dual-site (via graphitic [G] and carbonyl [O]) metal-doped [...] Read more.
Polyethylene terephthalate-derived fluorescent carbon quantum dots (PET-CQDs) are promising nanomaterials for sensing and biomedical uses, yet their biological interactions after metal doping require careful evaluation. Here, we report an in silico assessment of pristine and dual-site (via graphitic [G] and carbonyl [O]) metal-doped PET-CQDs (Ca, Mg, Fe, Zn) using molecular docking against eight human proteins: HSA (distribution), CYP3A4 (metabolism), hemoglobin (systemic biocompatibility), transferrin (uptake), GST (detoxification), ERα (endocrine regulation), IL-6 (inflammation), and caspase-3 (cytotoxic signaling) together with ADMET profiling and DFT–docking correlation analysis. Docking affinities were compared with controls and ranged from −7.8 to −10.4 kcal·mol−1 across systems, with binding stabilized by π–π stacking, hydrogen bonding and metal–ligand coordination involving residues such as arginine, tyrosine and serine. Importantly, top-performing CQD variants differed by target: PET-CQDs, MgG_PET-CQDs and FeG_PET-CQDs were best for GST; ERα interacted favorably with all doped variants; IL-6 bound best to CaO_PET-CQDs and FeO_PET-CQDs (≈−7.1 kcal·mol−1); HSA favored CaG_PET-CQDs (−10.0 kcal·mol−1) and FeO_PET-CQDs (−9.9 kcal·mol−1); CYP3A4 bound most strongly to pristine PET-CQDs; hemoglobin favored MgG_PET-CQDs (−9.6 kcal·mol−1) and FeO_PET-CQDs (−9.3 kcal·mol−1); transferrin favored FeG_PET-CQDs; caspase-3 showed favored binding overall (pristine −6.8 kcal·mol−1; doped −7.4 to −7.6 kcal·mol−1). ADMET predictions indicated high GI absorption, improved aqueous solubility for some dopants (~18.6 mg·mL−1 for Ca-O/Mg-O), low skin permeability and no mutagenic/carcinogenic flags. Regression analysis showed frontier orbital descriptors (HOMO/LUMO) partially explain selective affinities for ERα and IL-6. These results support a target-guided selection of PET-CQDs for biomedical applications, and they call for experimental validation of selected dopant–target pairs. Full article
(This article belongs to the Section Theoretical and Computational Chemistry)
Show Figures

Figure 1

19 pages, 3275 KB  
Article
Dose-Dependent Effect of Foliar ZnO Nanoparticles on the Physiology, Mineral Nutrition, and Redox Status of Coffea arabica Seedlings Under Soil Acidity
by Amilcar Valle-Lopez, Jegnes Benjamín Meléndez-Mori, Eyner Huaman and Manuel Oliva-Cruz
Stresses 2025, 5(4), 70; https://doi.org/10.3390/stresses5040070 - 10 Dec 2025
Viewed by 383
Abstract
Soil acidity severely constrains coffee production by reducing nutrient availability and promoting aluminum toxicity and oxidative stress. Foliar zinc oxide nanoparticles (ZnO NPs) have been proposed as redox modulators that can improve nutrient homeostasis under abiotic stress. However, the safe and effective range [...] Read more.
Soil acidity severely constrains coffee production by reducing nutrient availability and promoting aluminum toxicity and oxidative stress. Foliar zinc oxide nanoparticles (ZnO NPs) have been proposed as redox modulators that can improve nutrient homeostasis under abiotic stress. However, the safe and effective range of Coffea arabica L. remains unclear. In this study, seedlings were grown in acidic soil and sprayed twice with ZnO NPs at 10, 25, 50, and 100 mg L−1. Morphophysiological, biochemical, and ionomic parameters were evaluated fifty days after treatment. Moderate ZnO NPs doses led to intermediate stomatal conductance values, whereas net photosynthesis showed intermediate but non-significant responses only at 10–25 mg L−1, with higher doses (50–100 mg L−1) causing a marked decline. These doses did not significantly modify hydrogen peroxide (H2O2) or malondialdehyde (MDA) levels in leaves or roots. In contrast, the highest dose (100 mg L−1) induced a marked increase in H2O2 without affecting MDA, indicating a partial oxidative response rather than clear lipid peroxidation. Foliar analysis showed that 50 mg L−1 ZnO NPs significantly increased P compared with the optimal soil, while Ca and K remained statistically similar across treatments. Na in the optimal soil was comparable to the 10–25 mg L−1 ZnO NPs treatments, whereas Na at 50–100 mg L−1 ZnO NPs was significantly reduced and foliar Zn increased markedly with increasing nanoparticle dose. Proline accumulation reflected a dose-dependent osmotic adjustment, and chlorophyll ratios indicated adaptive photoprotection. Overall, foliar ZnO NPs mitigated acidity-induced stress through physiological and ionomic adjustment, with 10–25 mg L−1 identified as the physiologically safe range for C. arabica seedlings grown under acidic conditions. Full article
(This article belongs to the Section Plant and Photoautotrophic Stresses)
Show Figures

Graphical abstract

Back to TopTop