Sign in to use this feature.

Years

Between: -

Subjects

remove_circle_outline
remove_circle_outline
remove_circle_outline
remove_circle_outline
remove_circle_outline
remove_circle_outline
remove_circle_outline
remove_circle_outline
remove_circle_outline

Journals

remove_circle_outline
remove_circle_outline
remove_circle_outline
remove_circle_outline
remove_circle_outline
remove_circle_outline

Article Types

Countries / Regions

remove_circle_outline
remove_circle_outline
remove_circle_outline

Search Results (258)

Search Parameters:
Keywords = LPR1

Order results
Result details
Results per page
Select all
Export citation of selected articles as:
18 pages, 16946 KB  
Article
Layer-Stripping Velocity Analysis Method for GPR/LPR Data
by Nan Huai, Tao Lei, Xintong Liu and Ning Liu
Appl. Sci. 2026, 16(3), 1228; https://doi.org/10.3390/app16031228 (registering DOI) - 25 Jan 2026
Abstract
Diffraction-based velocity analysis is a key data interpretation technique in geophysical exploration, typically relying on the geometric characteristics, energy distribution, or propagation paths of diffraction waves. The hyperbola-based method is a classical strategy in this category, which extracts depth-dependent velocity (or dielectric properties) [...] Read more.
Diffraction-based velocity analysis is a key data interpretation technique in geophysical exploration, typically relying on the geometric characteristics, energy distribution, or propagation paths of diffraction waves. The hyperbola-based method is a classical strategy in this category, which extracts depth-dependent velocity (or dielectric properties) by correlating the hyperbolic shape of diffraction events with subsurface parameters for characterizing subsurface structures and material compositions. In this study, we propose a layer-stripping velocity analysis method applicable to ground-penetrating radar (GPR) and lunar-penetrating radar (LPR) data, with two main innovations: (1) replacing traditional local optimization algorithms with an intuitive parallelism check scheme, eliminating the need for complex nonlinear iterations; (2) performing depth-progressive velocity scanning of radargram diffraction signals, where shallow-layer velocity analysis constrains deeper-layer calculations. This strategy avoids misinterpretations of deep geological objects’ burial depth, morphology, and physical properties caused by a single average velocity or independent deep-layer velocity assumptions. The workflow of the proposed method is first demonstrated using a synthetic rock-fragment layered model, then applied to derive the near-surface dielectric constant distribution (down to 27 m) at the Chang’e-4 landing site. The estimated values range from 2.55 to 6, with the depth-dependent profile revealing lunar regolith stratification and interlayer material property variations. Consistent with previously reported results for the Chang’e-4 region, our findings confirm the method’s applicability to LPR data, providing a new technical framework for high-resolution subsurface structure reconstruction. Full article
Show Figures

Figure 1

32 pages, 2757 KB  
Review
Factors Influencing Soil Corrosivity and Its Impact on Solar Photovoltaic Projects
by Iván Jares Salguero, Juan José del Campo Gorostidi, Guillermo Laine Cuervo and Efrén García Ordiales
Appl. Sci. 2026, 16(2), 1095; https://doi.org/10.3390/app16021095 - 21 Jan 2026
Viewed by 73
Abstract
Soil corrosion is a critical durability and cost factor for metallic foundations in photovoltaic (PV) power plants, yet it is still addressed with fragmented criteria compared with atmospheric corrosion. This paper reviews the main soil corrosivity drivers relevant to PV installations—moisture and aeration [...] Read more.
Soil corrosion is a critical durability and cost factor for metallic foundations in photovoltaic (PV) power plants, yet it is still addressed with fragmented criteria compared with atmospheric corrosion. This paper reviews the main soil corrosivity drivers relevant to PV installations—moisture and aeration dynamics, electrical resistivity, pH and buffer capacity, dissolved ions (notably chlorides and sulfates), microbiological activity, hydro-climatic variability and geological heterogeneity—highlighting their coupled and non-linear effects, such as differential aeration, macrocell formation and corrosion localization. Building on this mechanistic basis, an engineering-oriented methodological roadmap is proposed to translate soil characterization into durability decisions. The approach combines soil corrosivity classification according to DIN 50929-3 and DVGW GW 9, tiered estimation of hot-dip galvanized coating consumption using AASHTO screening, resistivity–pH correlations and ionic penalty factors, and verification against conservative NBS envelopes. When coating life is insufficient, a traceable steel thickness allowance based on DIN bare-steel corrosion rates is introduced to meet the target service life. The framework provides a practical and auditable basis for durability design and risk control of PV foundations in heterogeneous soils. The proposed framework shows that, for soils exceeding AASHTO mild criteria, zinc corrosion rates may increase by a factor of 1.3–1.7 when chloride and sulfate penalties are considered, potentially reducing coating service life by more than 40%. The methodology proposed enables designers to estimate the penalty factors for sulfates (fpSO42) and chlorides (fpCl) in each specific project, calculating the appropriate values of KSO42 and KCl using electrochemical techniques—ER/LPR and EIS—to estimate the effect of the soluble salts content in the ZnCorr Rate, not properly catch by the proxy indicator VcorrER, pH when sulfate and chloride content are over AAHSTO limits for mildly corrosive soils. Full article
(This article belongs to the Special Issue Application for Solar Energy Conversion and Photovoltaic Technology)
Show Figures

Figure 1

20 pages, 8035 KB  
Article
A Combined Glutaraldehyde and Denitrifying Bacteria Strategy for Enhanced Control of SRB-Induced Corrosion in Shale Gas Infrastructure
by Yu Guo, Chongrong Wen, Ming Duan and Guihong Lan
Processes 2026, 14(2), 334; https://doi.org/10.3390/pr14020334 - 17 Jan 2026
Viewed by 141
Abstract
Microbiologically influenced corrosion induced by sulfate-reducing bacteria (SRB) poses a significant threat to shale gas pipeline integrity. This study investigates an integrated control strategy combining the biocide glutaraldehyde with denitrifying bacteria (DNB) to synergistically inhibit SRB activity and corrosion. The efficacy and mechanisms [...] Read more.
Microbiologically influenced corrosion induced by sulfate-reducing bacteria (SRB) poses a significant threat to shale gas pipeline integrity. This study investigates an integrated control strategy combining the biocide glutaraldehyde with denitrifying bacteria (DNB) to synergistically inhibit SRB activity and corrosion. The efficacy and mechanisms were systematically evaluated using electrochemical measurements (EIS, LPR), weight-loss analysis, surface characterization (SEM, maximum pit depth), and microbial community profiling (16S rDNA sequencing). Compared to the SRB-inoculated system, the combined treatment reduced the average corrosion rate of L245 steel by 44.2% (to 0.01608 mm/a) and the maximum pit depth by 84.3% (to 1.53 μm). EIS results further confirmed the superior inhibition effect, showing the largest capacitive arc diameter and the highest polarization resistance in the combined system. Microbial community analysis indicated a substantial decline in SRB abundance from 62.7% (day 1) to 11.9% (day 14). This synergistic strategy presents an effective and more sustainable approach by reducing chemical dosage and leveraging the bio-competitive exclusion by DNB. Full article
(This article belongs to the Section Process Control and Monitoring)
Show Figures

Graphical abstract

16 pages, 13794 KB  
Article
BTK-Inhibitor Loaded Polymeric Nanoparticles Alleviate Systemic Lupus Erythematosus by Targeting Elimination of Autoreactive BAFFRhigh B Cells
by Yamin Zhang, Jingjing Wen, Biling Jiang, Hao Jiang, Jian Xu and Juan Tao
Int. J. Mol. Sci. 2026, 27(2), 729; https://doi.org/10.3390/ijms27020729 - 11 Jan 2026
Viewed by 217
Abstract
Systemic lupus erythematosus (SLE) is a chronic and refractory autoimmune disease characterized by multi-organ damage, for which reliably safe and effective treatment remains an unmet need. Autoantibodies, secreted by autoreactive B cells, deposition is the central pathogenesis of organ damage in SLE. Current [...] Read more.
Systemic lupus erythematosus (SLE) is a chronic and refractory autoimmune disease characterized by multi-organ damage, for which reliably safe and effective treatment remains an unmet need. Autoantibodies, secreted by autoreactive B cells, deposition is the central pathogenesis of organ damage in SLE. Current studies reported B cell receptor and B cell activating factor (BAFF)-mediated signals regulate the activation and survival of B cells and production of autoantibodies. We showed that marginal zone B cells and CD11c+T-bet+ autoreactive B cells expressed higher levels of BAFF receptor and BTK in MRL/lpr mice. Here, a liposome-delivery system capable of targeting BAFFRhigh autoreactive B cells by conjugating anti-BAFFR antibody on the surface of the PEG-liposomes and loading BTK-inhibitor ibrutinib (BTEL) was rationally designed. Notably, the BTEL nanoparticles could inhibit the survival and activation of B cells, and systemic administration of BTEL could alleviate the development of the lupus mouse model by decreasing the production of anti-dsDNA autoantibodies, along with reduced secretion of inflammatory cytokines and kidney damage, and without apparent side effects. These findings suggest the potential of BTEL in targeting autoreactive B cells, blocking signaling pathways, and improving the efficacy of BTK inhibitors, providing a promising therapeutic approach for SLE, while also reducing toxicity. Full article
(This article belongs to the Section Molecular Immunology)
Show Figures

Graphical abstract

19 pages, 321 KB  
Article
Dietary Amylose/Amylopectin Ratio Modulated Growth Performance, Intestinal Health, and Lipid Metabolism in Goslings Fed Low-Protein Diets
by Xiyuan Xing, Xucheng Zheng, Xuan Li, Zhi Yang, Haiming Yang and Zhiyue Wang
Animals 2026, 16(2), 189; https://doi.org/10.3390/ani16020189 - 8 Jan 2026
Viewed by 185
Abstract
This study investigated the effects of amylose/amylopectin (AM/AP) ratios in low-protein (LP) diets on the growth performance, fat deposition, and nutrient utilization in goslings. A total of 288 healthy, 35-day-old male Jiangnan White Geese were randomly divided into four treatment groups: one group [...] Read more.
This study investigated the effects of amylose/amylopectin (AM/AP) ratios in low-protein (LP) diets on the growth performance, fat deposition, and nutrient utilization in goslings. A total of 288 healthy, 35-day-old male Jiangnan White Geese were randomly divided into four treatment groups: one group fed a normal protein diet (16%) with an AM/AP ratio of 0.34 (NPR0.34), and three groups fed low protein diets (14%) with different AM/AP ratios (LPR0.26, LPR0.34, LPR0.44). Each group consisted of six replicates, with 12 geese per replicate, and they were fed for 28 days. The results showed that the body weight at 63 days and average daily gain (ADG) of the LPR0.44 group geese were significantly higher than those of the other groups (p < 0.01), while the feed-to-gain ratio (F/G) was lower (p < 0.05). The abdominal and mesenteric fat contents were lower in the LPR0.44 group than in the LPR0.26 group (p < 0.05), whereas the breast and leg muscle yields were higher (p < 0.05). The breast muscle redness (a*) of the LPR0.34 and LPR0.44 groups was higher than in the NPR0.34 group at 45 min (p < 0.05). The levels of C6:0, C8:0, C11:0, C12:0, and C13:0 in breast muscle saturated fatty acids (SFAs) of the LPR0.44 group were higher, while that of C18:0 was lower compared with the LPR0.26 group (p < 0.05). The serum total cholesterol (TC) and triglycerides (TGs) in the LPR0.44 group were lower than in the LPR0.26 group (p < 0.05). Hepatic lipase (HL) activity was significantly lower in the LPR0.44 group (p < 0.01). Regarding hepatic fatty acids, the levels of butyric acid (C4:0), lauric acid (C12:0), and nervonic acid (C24:1) were lower in the LPR0.44 group than in the LPR0.26 group (p < 0.05). No significant differences were observed in intestinal morphology, digestive enzyme activities, or nutrient utilization among the groups. (p > 0.05). In conclusion, adjusting the AM/AP ratio to 0.44 in a low-protein diet improved growth performance, regulated lipid metabolism, and maintained intestinal function in goslings. Full article
22 pages, 5452 KB  
Article
Spinal Microglial TLR7 Activation Drives Hyperalgesia in a Lupus Mouse Model via Upregulation of IL-1β, IL-18, and Cav2.2 and Enhanced Glutamatergic Synaptic Activity
by Saumya Bipin, Viacheslav Viatchenko-Karpinski, Catherine Li, Sujin Lim and Han-Rong Weng
Cells 2026, 15(1), 20; https://doi.org/10.3390/cells15010020 - 22 Dec 2025
Viewed by 633
Abstract
Patients with systemic lupus erythematosus (SLE) often suffer from chronic pain due to a lack of effective and safe analgesics. In this study, we investigated the role of spinal TLR7 in the pathogenesis of chronic pain using female MRL lupus prone (MRL/lpr [...] Read more.
Patients with systemic lupus erythematosus (SLE) often suffer from chronic pain due to a lack of effective and safe analgesics. In this study, we investigated the role of spinal TLR7 in the pathogenesis of chronic pain using female MRL lupus prone (MRL/lpr) mice, a SLE mouse model. We found that from 11 weeks of age, MRL/lpr mice exhibited thermal hypersensitivity in the hind paw, which reached plateau between 14 and 16 weeks. MRL/lpr mice with thermal hypersensitivity had increased expression of TLR7 in the spinal dorsal horn. TLR7 was located in microglia in this region. Intrathecal administration of a TLR7 antagonist attenuated the thermal hypersensitivity in MRL/lpr mice, while administration of the TLR7 agonist induced thermal hypersensitivity in control mice. Pharmacological activation of spinal TLR7 in control mice recapitulated molecular, synaptic, and cellular changes in the spinal dorsal horn of MRL/lpr mice with thermal hyperalgesia. These alterations included activation of microglia and astrocytes, increased production of IL-1β and IL-18, upregulated expression of N-type voltage-gated calcium channels (Cav2.2), enhanced glutamatergic synaptic activity, and elevated neuronal activation. Our findings suggest that targeting TLR7 or downstream effectors may represent a promising strategy to alleviate chronic pain induced by SLE. Full article
Show Figures

Figure 1

27 pages, 4420 KB  
Article
Real-Time Quarry Truck Monitoring with Deep Learning and License Plate Recognition: Weighbridge Reconciliation for Production Control
by Ibrahima Dia, Bocar Sy, Ousmane Diagne, Sidy Mané and Lamine Diouf
Mining 2025, 5(4), 84; https://doi.org/10.3390/mining5040084 - 14 Dec 2025
Viewed by 436
Abstract
This paper presents a real-time quarry truck monitoring system that combines deep learning and license plate recognition (LPR) for operational monitoring and weighbridge reconciliation. Rather than estimating load volumes directly from imagery, the system ensures auditable matching between detected trucks and official weight [...] Read more.
This paper presents a real-time quarry truck monitoring system that combines deep learning and license plate recognition (LPR) for operational monitoring and weighbridge reconciliation. Rather than estimating load volumes directly from imagery, the system ensures auditable matching between detected trucks and official weight records. Deployed at quarry checkpoints, fixed cameras stream to an edge stack that performs truck detection, line-crossing counts, and per-frame plate Optical Character Recognition (OCR); a temporal voting and format-constrained post-processing step consolidates plate strings for registry matching. The system exposes a dashboard with auditable session bundles (model/version hashes, Region of Interest (ROI)/line geometry, thresholds, logs) to ensure replay and traceability between offline evaluation and live operations. We evaluate detection (precision, recall, mAP@0.5, and mAP@0.5:0.95), tracking (ID metrics), and (LPR) usability, and we quantify operational validity by reconciling estimated shift-level tonnage T against weighbridge tonnage T* using Mean Absolute Error (MAE), Mean Absolute Percentage Error (MAPE), R2, and Bland–Altman analysis. Results show stable convergence of the detection models, reliable plate usability under varied optics (day, dusk, night, and dust), low-latency processing suitable for commodity hardware, and close agreement with weighbridge references at the shift level. The study demonstrates that vision-based counting coupled with plate linkage can provide regulator-ready KPIs and auditable evidence for production control in quarry operations. Full article
(This article belongs to the Special Issue Mine Management Optimization in the Era of AI and Advanced Analytics)
Show Figures

Graphical abstract

19 pages, 3521 KB  
Article
Performance of Composite Corrosion Inhibitors in Carbonated Concrete
by Xingxin Li, Ruifeng Cao and Ying Meng
Coatings 2025, 15(12), 1470; https://doi.org/10.3390/coatings15121470 - 12 Dec 2025
Viewed by 358
Abstract
This study aims to evaluate the corrosion inhibition performance of different types of inhibitors for steel reinforcement in cement paste under accelerated carbonation conditions. Electrochemical methods, including electrochemical impedance spectroscopy EIS, linear polarization resistance LPR, and open-circuit potential OCP measurements, were utilized on [...] Read more.
This study aims to evaluate the corrosion inhibition performance of different types of inhibitors for steel reinforcement in cement paste under accelerated carbonation conditions. Electrochemical methods, including electrochemical impedance spectroscopy EIS, linear polarization resistance LPR, and open-circuit potential OCP measurements, were utilized on specimens with various inhibitor formulations during exposure to a high-CO2 environment. The results indicate that composite inhibitors provide the greatest protection, significantly outperforming single-component anodic or cathodic inhibitors. Among anodic inhibitors, sodium molybdate showed more effective corrosion inhibition than sodium chromate, and among cathodic inhibitors, BTA was more effective than DMEA, as evidenced by higher polarization resistance and more stable passivation. After 120 days of carbonation, the specimen with the optimal composite inhibitor remained passive with a low corrosion rate and a relatively noble steel potential, whereas the uninhibited specimen exhibited active corrosion. Full article
(This article belongs to the Special Issue Mechanisms of Steel Fatigue and Wear with Different Surface Coatings)
Show Figures

Figure 1

21 pages, 6336 KB  
Article
Lack of Fas/FasL Does Not Protect from Latent Herpes Simplex 1 Infection but Decreases Virus-Induced Neurodegeneration
by Magdalena Patrycy, Agnieszka Kauc, Martyna Janicka, Aleksandra Osińska, Andrzej Kowalczyk, Katarzyna Skulska, Małgorzata Antos-Bielska, Marcin Chodkowski, Kristina Eriksson and Małgorzata Krzyżowska
Cells 2025, 14(24), 1938; https://doi.org/10.3390/cells14241938 - 5 Dec 2025
Viewed by 591
Abstract
Many studies have shown an association between herpes simplex virus type 1 (HSV-1) infection and the development of neurodegeneration processes later in life, such as Alzheimer’s disease. The Fas/FasL death pathway plays an important role in the complex regulation of the local inflammatory [...] Read more.
Many studies have shown an association between herpes simplex virus type 1 (HSV-1) infection and the development of neurodegeneration processes later in life, such as Alzheimer’s disease. The Fas/FasL death pathway plays an important role in the complex regulation of the local inflammatory response and mounting of the specific antiviral response in HSV-1 infection. Here, we applied a mouse model of latent HSV-1 neuroinfection to Fas- and FasL-deficient mice (lpr and gld) to explore whether the lack of functional Fas/FasL pathway protects from inflammation-related neurodegeneration. The latently infected Fas- and FasL-deficient mice (lpr and gld) were not protected from virus replication despite the accumulation of virus-specific cytotoxic T cells. However, the lack of Fas/FasL pathway decreased neuroinflammation- and neurodegeneration-related markers, including cognitive impairment, amyloid-β protein, and tau hyperphosphorylation. The use of a glucocorticoid, dexamethasone, to decrease neuroinflammation in wild-type mice did not protect from cognitive impairment, despite the improved antiviral response. Our data indicate that excessive neuroinflammation via the Fas/FasL pathway during HSV-1 infection is associated with neurodegeneration. Furthermore, the administration of immunomodulatory agents to ameliorate the outcome of HSV-1 latent infection should be restricted to the peak of neuroinflammation. Full article
(This article belongs to the Special Issue Mechanisms of Immune Responses and Therapy)
Show Figures

Figure 1

47 pages, 17932 KB  
Article
Timing of Deformation in the Provence Fold-and-Thrust Belt (SE France) as Constrained by U-Pb Calcite Geochronology
by Anies Zeboudj, Olivier Lacombe, Nicolas E. Beaudoin, Jean-Paul Callot, Juliette Lamarche, Abel Guihou, Guilhem Hoareau, Gaëlle Barbotin, Christophe Pecheyran and Pierre Deschamps
Geosciences 2025, 15(12), 463; https://doi.org/10.3390/geosciences15120463 - 4 Dec 2025
Viewed by 886
Abstract
A combination of fault and fracture analyses, paleostress reconstructions from calcite twins, and U-Pb dating of syn-kinematic calcite mineralization provides new insights into the Cretaceous–Tertiary tectonic evolution of the Provence fold-and-thrust belt. This approach helped unravel 90 million years of polyphase deformation in [...] Read more.
A combination of fault and fracture analyses, paleostress reconstructions from calcite twins, and U-Pb dating of syn-kinematic calcite mineralization provides new insights into the Cretaceous–Tertiary tectonic evolution of the Provence fold-and-thrust belt. This approach helped unravel 90 million years of polyphase deformation in this belt, which represents the eastward continuation of the northern Pyrenees. Focusing on three main targets along an NNE-SSW transect oriented roughly parallel to the regional Pyrenean shortening (the southernmost Nerthe range, the Bimont Lake area, and the northern Rians syncline), we date a wide range of scales and natures of deformation structures such as stylolites, veins, mesoscale faults, and major thrust fault zones. The reconstructed long-lasting tectonic history includes (1) the Durancian uplift and related NNE-SSW extension (~110 to 90 Ma); (2) the ~N-S Pyrenean compression related to the convergence then collision between Eurasia and Iberia and the Corsica–Sardinia block (~80 to 34 Ma); the Oligocene E-W to WNW-ESE extension related to the West European Cenozoic Rift System (ECRIS) and the Oligo–Miocene NW-SE to NNW-SSE extension related to the Liguro-Provençal Rifting (LPR); and a middle-late (?) N-S to NW-SE Alpine compression. We show that the Pyrenean shortening in Provence occurred during two main phases, 81–69 Ma and 59–34 Ma, coeval with the inversion of the pre-Pyrenean rift and the main Pyrenean collision, separated by a tectonic quiescence as described in the Pyrenees. Together with the published literature, our U-Pb ages also support the overall northward (forelandward) in sequence propagation of Pyrenean shortening across Provence. Our U-Pb results further allow us to refine the interpretation of local and regional fracture sets and reveal unsuspected polyphase development of fractures sharing a common strike. Beyond regional implications, our study shows that sampling structures of various natures and scales for U-Pb geochronology is probably the most efficient strategy to encompass the entire time interval of deformation in fold-and-thrust belts. Full article
(This article belongs to the Section Structural Geology and Tectonics)
Show Figures

Figure 1

13 pages, 1260 KB  
Article
AraR Transcription Factor Affects the Sugar Metabolism and Acid Tolerance of Lactiplantibacillus plantarum
by Lili Zhao, Mengrong Chen, Chunjing Fu, Tao Pan and Qiling Chen
Foods 2025, 14(23), 4123; https://doi.org/10.3390/foods14234123 - 1 Dec 2025
Viewed by 418
Abstract
Microorganism employs sophisticated strategies to adapt to acidic environments, with transcription factors occupying pivotal nodes within their hierarchical regulatory networks. In this study, we performed functional characterization of the AraR transcription factor LP_RS14895 via integrated multiomics approaches. RNA sequencing revealed 40 acid-responsive targets [...] Read more.
Microorganism employs sophisticated strategies to adapt to acidic environments, with transcription factors occupying pivotal nodes within their hierarchical regulatory networks. In this study, we performed functional characterization of the AraR transcription factor LP_RS14895 via integrated multiomics approaches. RNA sequencing revealed 40 acid-responsive targets that were enriched in pathways related to pentose/glucuronate interconversions and amino sugar and nucleotide sugar metabolism. A genome-wide binding analysis via DAP-seq identified 1279 interaction sites and the most significantly enriched motif is “ARCCMATMAHC”. The results revealed that AraR plays a crucial role in regulating acid tolerance and metabolizable sugar (including arabinose, glucose, fructose, ribose, mannose, and trehalose). Overall, these findings offer mechanistic insights into microbial stress responses and provide a valuable method for addressing inhibitory processes of carbohydrate metabolizability under high-acid conditions. Full article
(This article belongs to the Special Issue Bio-Functional Properties of Lactic Acid Bacteria in Functional Foods)
Show Figures

Figure 1

17 pages, 1291 KB  
Article
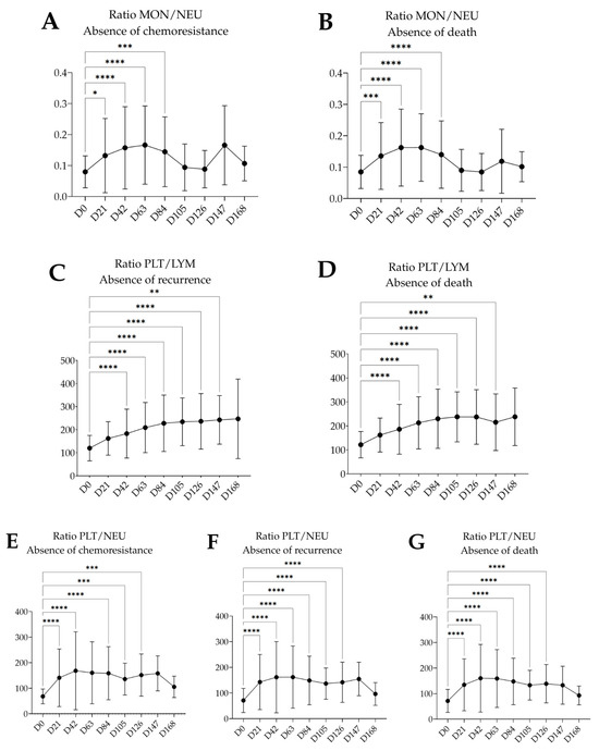
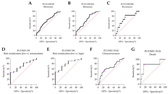
Leukocyte Ratios Predict Metastasis, Recurrence, and Mortality in Breast Cancer Patients Receiving Cytotoxic Chemotherapy
by Carolina Coradi, Aedra Carla Bufalo Kawassaki, Ana Paula Vieira, Camila Elizandra Rossi, Caryna Eurich Mazur, Claudiceia Risso Pascotto, Cleide Viviane Buzanello, Dalila Moter Benvegnú, Franciele Aní Caovilla Folador, Geraldo Emílio Vicentini, Gisele Arruda, Guilherme Welter Wendt, Kérley Braga Pereira Bento Casaril, Léia Carolina Lucio, Lirane Elize Defante Ferreto, Mariana Abe Vicente Cavagnari, Tatiane Renata Fagundes, Daniel Rech and Carolina Panis
Med. Sci. 2025, 13(4), 285; https://doi.org/10.3390/medsci13040285 - 26 Nov 2025
Viewed by 494
Abstract
Background/Objectives: Breast cancer is a leading cause of female mortality worldwide. Immune system dynamics, reflected in hematological ratios derived from leukocytes, have been increasingly recognized for their prognostic value in cancer patients. This study aimed to evaluate the clinical significance of leukocyte-based [...] Read more.
Background/Objectives: Breast cancer is a leading cause of female mortality worldwide. Immune system dynamics, reflected in hematological ratios derived from leukocytes, have been increasingly recognized for their prognostic value in cancer patients. This study aimed to evaluate the clinical significance of leukocyte-based hematological ratios in breast cancer patients undergoing cytotoxic polychemotherapy, focusing on their association with prognosis, chemoresistance, recurrence, metastasis, and mortality. Methods: A mixed observational study was conducted with 185 breast cancer patients undergoing AC-T chemotherapy. Hematologic ratios, including neutrophil-to-lymphocyte (NLR), monocyte-to-lymphocyte (MLR), and platelet-to-lymphocyte (PLR), were calculated at multiple treatment points (D0–D168) and correlated with clinical outcomes. Statistical analyses included ANOVA and ROC curve evaluations to determine the prognostic accuracy of these markers. Results: Significant alterations in hematological ratios were observed during chemotherapy. An increase in MLR correlated with intermediate risk for death and metastasis, while elevated PLR and platelet-to-neutrophil ratio (PNR) were strongly associated with metastasis, recurrence, and mortality. Decreases in lymphocyte-to-platelet ratio (LPR) were linked to chemoresistance and adverse outcomes. ROC curve analysis identified PLR at D84 (sensitivity: 83.33%) and PNR at D126 (specificity: 87.01%) as robust prognostic markers. Conclusions: Leukocyte-based hematological ratios provide valuable insights into immune dynamics and prognosis in breast cancer patients undergoing chemotherapy. Their integration into routine clinical evaluations could enhance risk stratification and personalized treatment approaches. Full article
Show Figures

Figure 1

23 pages, 6839 KB  
Article
Source Apportionment and Potential Health Risks of Trace Metals in a Contaminated Urban River in New York/New Jersey Harbor System
by Md Shahnul Islam, Sana Mirza, Huan Feng, Tapos Kumar Chakraborty, Yu Qian and Shinjae Yoo
Water 2025, 17(22), 3254; https://doi.org/10.3390/w17223254 - 14 Nov 2025
Viewed by 932
Abstract
The Lower Passaic River (LPR), located within the New York/New Jersey Harbor Estuarine System, has experienced long-term industrial activities, resulting in elevated concentrations of trace metals in sediment and water. This study aims to assess the bioaccumulation behavior, potential human health risks, and [...] Read more.
The Lower Passaic River (LPR), located within the New York/New Jersey Harbor Estuarine System, has experienced long-term industrial activities, resulting in elevated concentrations of trace metals in sediment and water. This study aims to assess the bioaccumulation behavior, potential human health risks, and sources of copper (Cu), lead (Pb), and mercury (Hg) in the LPR. Trace metal concentrations were measured in water, sediment, and seven edible aquatic species. Data were analyzed using statistical approaches, and evaluated by bioaccumulation factors (BAFs) and human health risk assessments based on U.S. Environmental Protection Agency (USEPA) guidelines. Results showed that Hg exhibited the highest bioaccumulation potential among the studied metals, except for Cu in Callinectes sapidus. Non-carcinogenic risks from the consumption of aquatic species followed the order Cu > Hg > Pb, with total target hazard quotient (TTHQ) values below 1, suggesting the non-carcinogenic health risk is negligible for adults and for most species in children, except C. sapidus and Morone americana. Carcinogenic risks for all species were within the acceptable threshold (Target Risk < 1 × 10−4). Sensitivity analysis indicated that body weight and exposure duration primarily influenced children’s carcinogenic risk, whereas trace metal concentrations were more significant for adults. Overall, this study provides insight into contaminant dynamics and health implications in a legacy-contaminated urban river system. Full article
(This article belongs to the Section Water Quality and Contamination)
Show Figures

Figure 1

20 pages, 1296 KB  
Article
Learning Path Recommendation Enhanced by Knowledge Tracing and Large Language Model
by Yunxuan Lin and Zhengyang Wu
Electronics 2025, 14(22), 4385; https://doi.org/10.3390/electronics14224385 - 10 Nov 2025
Viewed by 1936
Abstract
With the development of large language model (LLM) technology, AI-assisted education systems are gradually being widely used. Learning Path Recommendation (LPR) is an important task in personalized instructional scenarios. AI-assisted LPR is gaining traction for its ability to generate learning content based on [...] Read more.
With the development of large language model (LLM) technology, AI-assisted education systems are gradually being widely used. Learning Path Recommendation (LPR) is an important task in personalized instructional scenarios. AI-assisted LPR is gaining traction for its ability to generate learning content based on a student’s personalized needs. However, the native-LLM has the problem of hallucination, which may lead to the inability to generate learning content; in addition, the evaluation results of the LLM on students’ knowledge status are usually conservative and have a large margin of error. To address these issues, this work proposes a novel approach for LPR enhanced by knowledge tracing (KT) and LLM. Our method operates in a “generate-and-retrieve” manner: the LLM acts as a pedagogical planner that generates contextual reference exercises based on the student’s needs. Subsequently, a retrieval mechanism constructs the concrete learning path by retrieving the top-N most semantically similar exercises from an established exercise bank, ensuring the recommendations are both pedagogically sound and practically available. The KT plays the role of an evaluator in the iterative process. Rather than generating semantic instructions directly, it provides a quantitative and structured performance metric. Specifically, given a candidate learning path generated by the LLM, the KT model simulates the student’s knowledge state after completing the path and computes a knowledge promotion score. This score quantitatively measures the effectiveness of the proposed path for the current student, thereby guiding the refinement of subsequent recommendations. This iterative interaction between the KT and the LLM continuously refines the candidate learning items until an optimal learning path is generated. Experimental validations on public datasets demonstrate that our model surpasses baseline methods. Full article
(This article belongs to the Special Issue Data Mining and Recommender Systems)
Show Figures

Figure 1

19 pages, 7431 KB  
Article
Systems Pharmacology and Multi-Omics Elucidation of Irpex lacteus Polysaccharides in the Treatment of Lupus Nephritis Through PI3K/AKT/NF-κB Pathway Inhibition
by Guoxin Ji, Zhuangzhuang Yao, Yuetong Zhao, Cuicui Li, Bo Yang, Zhimeng Li, Mingfang Kuang, He Wang, Xian Wu, Huiyang Yuan, Yue Deng, Shumin Wang and Huan Wang
Pharmaceuticals 2025, 18(11), 1619; https://doi.org/10.3390/ph18111619 - 27 Oct 2025
Viewed by 632
Abstract
Background: Lupus nephritis (LN), a severe complication of systemic lupus erythematosus (SLE), necessitates effective therapeutic strategies. Polysaccharides derived from Irpex lacteus have demonstrated beneficial biological activities in MRL/lpr mice; however, their precise mechanisms of intervention in LN require further elucidation. Methods: MRL/lpr mice [...] Read more.
Background: Lupus nephritis (LN), a severe complication of systemic lupus erythematosus (SLE), necessitates effective therapeutic strategies. Polysaccharides derived from Irpex lacteus have demonstrated beneficial biological activities in MRL/lpr mice; however, their precise mechanisms of intervention in LN require further elucidation. Methods: MRL/lpr mice were administered low-dose and high-dose Irpex lacteus polysaccharide (PCP) continuously for 8 weeks. The therapeutic efficacy of PCP was systematically assessed by measuring autoantibody levels, inflammatory cytokine expression, and renal function markers. The underlying pharmacological mechanisms were investigated through integrated transcriptomics and metabolomics analyses. Results: PCP treatment significantly improved renal function in MRL/lpr mice, normalizing serum levels of anti-nuclear antibodies (ANA), anti-double-stranded DNA antibodies (anti-dsDNA), anti-Sm antibody (Sm), creatinine (Cr), blood urea nitrogen (BUN), interleukin-6 (IL-6), tumor necrosis factor-alpha (TNF-α), and proteinuria. Integrated transcriptomic and metabolomic analyses revealed that the therapeutic action of PCP involves modulation of the PI3K/AKT/NF-κB pathway. This inhibition was further confirmed by Western blot analysis. Conclusions: PCP exerts renal protective effects in MRL/lpr mice by mitigating inflammation, modulating immune responses, and preserving renal function. The combined application of transcriptomics, metabolomics, and Western blotting elucidates that this protection is mediated through inhibition of the PI3K/AKT/NF-κB signaling pathway. Full article
(This article belongs to the Section Pharmacology)
Show Figures

Graphical abstract

Back to TopTop