Sign in to use this feature.

Years

Between: -

Subjects

remove_circle_outline
remove_circle_outline
remove_circle_outline
remove_circle_outline
remove_circle_outline

Journals

Article Types

Countries / Regions

Search Results (44)

Search Parameters:
Keywords = LLE–SPE

Order results
Result details
Results per page
Select all
Export citation of selected articles as:
21 pages, 826 KB  
Review
Multi-Detection of Veterinary Medicines in Animal Feed for Production: A Review
by Ana Lúcia Lopes, Marta Leite, Maria Beatriz P. P. Oliveira and Andreia Freitas
Antibiotics 2025, 14(12), 1233; https://doi.org/10.3390/antibiotics14121233 - 7 Dec 2025
Cited by 1 | Viewed by 380
Abstract
Background/Objectives: The inappropriate use of veterinary medicines in feed for food-producing animals can compromise food safety. Intensive animal production is associated with the inappropriate use of antibiotics in feed, at subtherapeutic concentrations, to promote animal growth. It is therefore crucial to develop [...] Read more.
Background/Objectives: The inappropriate use of veterinary medicines in feed for food-producing animals can compromise food safety. Intensive animal production is associated with the inappropriate use of antibiotics in feed, at subtherapeutic concentrations, to promote animal growth. It is therefore crucial to develop an effective multi-detection method to ensure that this feed complies with the requirements of European Commission Regulations. This control is essential to ensure consumer protection, as adequate supervision contributes to reducing antimicrobial resistance, a growing concern worldwide. Methods: A literature search was conducted using scientific databases, namely PubMed, ScienceDirect, Scopus and Google Scholar, as well as European Union Regulations. Results: It was observed that the most used standard solution solvents are methanol, acetonitrile, ultrapure water, or mixtures of these solvents. For extraction, the most frequently used solvents include trichloroacetic acid combined with McIlvaine buffer or with acetonitrile, and acetonitrile or methanol combined with formic acid or with ethylenediaminetetraacetic acid disodium (Na2EDTA). For extraction and purification of the analyte, several steps were verified, such as solid-phase extraction (SPE), dispersive solid-phase extraction (d-SPE), liquid–liquid extraction (LLE), Quick, Easy, Cheap, Effective, Rugged, and Safe (QuEChERS), protein precipitation through freezing and dilution prior to analysis. Liquid chromatography coupled with mass spectrometry is the preferred choice, especially for multiple detection methods. Conclusions: Based on this data, the foundation is established for the development of an appropriate method for the simultaneous extraction of multiple classes of antibiotics, which is applicable to feed different food-production animals. Full article
Show Figures

Figure 1

16 pages, 2702 KB  
Article
Air-Assisted Liquid–Liquid Microextraction (AALLME) as an Alternative Sample Pre-Treatment for Isolating Tetrahydrocannabinol (THC) from Hair
by Laura Blanco-García, Pamela Cabarcos-Fernández, Iván Álvarez-Freire, María Jesús Tabernero-Duque, Antonio Moreda-Piñeiro and Ana María Bermejo-Barrera
Chemosensors 2025, 13(6), 207; https://doi.org/10.3390/chemosensors13060207 - 6 Jun 2025
Cited by 1 | Viewed by 1165
Abstract
Cannabis remains the most widely used illicit drug worldwide, identifying it is a routine procedure in forensic toxicology. Due to its widespread use, there is a need for analytical methods that can detect it in biological samples. Hair is of particular interest in [...] Read more.
Cannabis remains the most widely used illicit drug worldwide, identifying it is a routine procedure in forensic toxicology. Due to its widespread use, there is a need for analytical methods that can detect it in biological samples. Hair is of particular interest in forensic toxicology as it is the only biological sample that enables retrospective analysis of consumption. In addition, collecting hair is non-invasive, and the specimens can be stored at room temperature. However, the sample preparation process for hair is tedious and multi-step. To address this issue, this study introduces a novel approach to preparing hair samples for analysis, based on air-assisted liquid–liquid microextraction (AALLME). This technique is a modification of dispersive liquid–liquid microextraction (DLLME), which eliminates the need for dispersants and chlorinated organic solvents as extractants. Both techniques offer sustainable alternatives to conventional liquid–liquid extraction (LLE) and solid-phase extraction (SPE), making them of interest in forensic toxicology. This study is the first to report the application of AALLME to the hair matrix. A mixture of cyclohexane and ethyl acetate (9:1) was used as the extractant solvent. Gas chromatography–mass spectrometry (GC–MS) was then used to determine and quantify THC. The method was validated according to FDA guidelines and demonstrated good linearity within the 0.01–4 ng/mg range. The limits of detection (LOD) and quantification (LOQ) were 0.008 and 0.01 ng/mg, respectively. Finally, the applicability of the method was evaluated by analyzing hair samples received by the Forensic Toxicology Service. Full article
(This article belongs to the Special Issue Mass Spectroscopy in Analytical and Bioanalytical Chemistry)
Show Figures

Graphical abstract

25 pages, 1738 KB  
Review
Challenges in Ultra-Trace Beryllium Analysis: Utilizing Recent Extraction Techniques in Combination with Spectrometric Detection
by Lucia Nemček and Ingrid Hagarová
Toxics 2025, 13(4), 289; https://doi.org/10.3390/toxics13040289 - 9 Apr 2025
Cited by 1 | Viewed by 1327
Abstract
Beryllium (Be) is one of the most toxic non-radioactive elements on the periodic table, and its presence or intake can negatively impact both the environment and human health. Classified as a carcinogen, Be is dangerous even at trace concentrations, stressing the necessity of [...] Read more.
Beryllium (Be) is one of the most toxic non-radioactive elements on the periodic table, and its presence or intake can negatively impact both the environment and human health. Classified as a carcinogen, Be is dangerous even at trace concentrations, stressing the necessity of developing reliable methods for quantifying it at very low levels. Spectrometric techniques for quantifying Be vary in sensitivity and applicability, with inductively coupled plasma mass spectrometry (ICP-MS) being the most sensitive for ultra-trace analysis. Flame atomic absorption spectrometry (FAAS) is suitable for higher Be concentrations, but preconcentration techniques can significantly lower detection limits. Electrothermal atomic absorption spectrometry (ETAAS) provides enhanced sensitivity for low-level Be quantification, further optimized using pyrolytically coated graphite tubes and chemical modifiers such as Mg(NO3)2 or Pd(NO3)2. Effective separation and preconcentration techniques are essential for reliable Be quantification in complex matrices. Liquid-liquid extraction (LLE), including single-drop microextraction (SDME) and dispersive liquid-liquid microextraction (DLLME), have evolved to reduce the use of hazardous solvents. When combined with ETAAS, surfactant-assisted DLLME using agents like cetylpyridinium ammonium bromide (CPAB) and dioctyl sodium sulfosuccinate (AOT) achieves preconcentration factors of approximately 25, reducing LOD to 1 ng/L. Vesicle-mediated DLLME coupled with ETAAS further enhances sensitivity, allowing detection limits as low as 0.01 ng/L in seawater. Cloud-point extraction (CPE), often employing Triton X-114, facilitates Be extraction using complexing agents or nanomaterials like graphene oxide. These advancements are critical for accurately quantifying Be at ultra-trace levels in diverse environmental and biological samples, overcoming challenges posed by low analyte concentrations and matrix interferences. Full article
(This article belongs to the Special Issue Environmental Contaminants and Human Health)
Show Figures

Graphical abstract

24 pages, 1100 KB  
Article
Eco-Friendly Extraction of Phlorotannins from Padina pavonica: Identification Related to Purification Methods Towards Innovative Cosmetic Applications
by Moustapha Nour, Valérie Stiger-Pouvreau, Alain Guenneguez, Laurence Meslet-Cladière, Stéphane Cérantola, Ahmed Ali, Gaelle Simon, Abdourahman Daher and Sylvain Petek
Mar. Drugs 2025, 23(1), 15; https://doi.org/10.3390/md23010015 - 28 Dec 2024
Cited by 4 | Viewed by 2479
Abstract
This study focuses on developing innovative and eco-friendly purification methods for the isolation of bioactive compounds derived from Padina pavonica, a brown abundant macroalga in Djibouti. Three distinct fractions, obtained via liquid-liquid extraction (LLE_FAE), solid-phase extraction (SPE_WE50), and flash chromatography (FC_EtOH20), were [...] Read more.
This study focuses on developing innovative and eco-friendly purification methods for the isolation of bioactive compounds derived from Padina pavonica, a brown abundant macroalga in Djibouti. Three distinct fractions, obtained via liquid-liquid extraction (LLE_FAE), solid-phase extraction (SPE_WE50), and flash chromatography (FC_EtOH20), were selected based on their high phenolic content and antioxidant activities. All fractions were also evaluated for their anti-ageing potential by assessing their ability to inhibit two vital skin-ageing enzymes, tyrosinase and elastase. Structural analysis by 1H-13C HMBC NMR and LC-MS revealed a selectivity of phlorotannins depending on the purification methods. The LLE_FAE fraction exhibited greater structural complexity, including compounds such as phloroglucinol, diphlorethol/difucol, fucophlorethol and bifuhalol, which likely contribute to its enhanced bioactivity compared to the fractions obtained by FC_EtOH20 and SPE_WE50, which were also active and enriched only in phloroglucinol and fucophlorethol. These findings highlight the impact of purification techniques on the selective enrichment of specific bioactive compounds and demonstrated the interest of FC or SPE in producing active phlorotannin-enriched fractions. These two purification methods hold strong potential for innovative cosmeceutical applications. Results are discussed regarding the use of P. pavonica as a promising marine resource in Djibouti to be used for the development of cosmetic industry. Full article
(This article belongs to the Special Issue Marine Cosmeceuticals)
Show Figures

Figure 1

15 pages, 1457 KB  
Article
Signal Enhancement of Selected Norepinephrine Metabolites Extracted from Artificial Urine Samples by Capillary Electrophoretic Separation
by Piotr Kowalski, Natalia Hermann, Dagmara Kroll, Mariusz Belka, Tomasz Bączek and Ilona Olędzka
Int. J. Mol. Sci. 2024, 25(22), 12227; https://doi.org/10.3390/ijms252212227 - 14 Nov 2024
Viewed by 1278
Abstract
The measurement of selected norepinephrine metabolites, such as 3,4-dihydroxyphenylglycol (DHPG), 3-methoxy-4-hydroxyphenylethylenglycol (MHPG), and vanillylmandelic acid (VMA), in biological matrices—including urine—is of great clinical importance for the diagnosis and monitoring of diseases. This fact has forced researchers to evaluate new analytical methodologies for their [...] Read more.
The measurement of selected norepinephrine metabolites, such as 3,4-dihydroxyphenylglycol (DHPG), 3-methoxy-4-hydroxyphenylethylenglycol (MHPG), and vanillylmandelic acid (VMA), in biological matrices—including urine—is of great clinical importance for the diagnosis and monitoring of diseases. This fact has forced researchers to evaluate new analytical methodologies for their isolation and preconcentration from biological samples. In this study, the three most popular extraction techniques—liquid-liquid extraction (LLE), solid-phase extraction (SPE), and a new 3D-printed system for dispersive solid-phase extraction (3D-DSPE)—were investigated. Micellar electrokinetic chromatography (MEKC) with a diode array detector (DAD) at 200 nm wavelength was applied to the separation of analytes, allowing for the assessment of the extraction efficiency (R) and enrichment factor (EF) for the tested extraction types. The separation buffer (BGE) consisted of 5 mM sodium tetraborate decahydrate, 50 mM SDS, 15% (v/v) MeOH, 150 mM boric acid, and 1 mM of 1-hexyl-3-methylimidazolium chloride (the apparent pH of the BGE equaled 7.3). The EF for each extraction procedure was calculated with respect to standard mixtures of the analytes at the same concentration levels. The 3D-DSPE procedure, using DVB sorbent and acetone as the desorption solvent, proved to be the most effective approach for the simultaneous extraction and determination of the chosen compounds, achieving over 3-fold signal amplification for DHPG and MHPG and over 2-fold for VMA. Moreover, all extraction protocols used for the selected norepinephrine metabolites were estimated and discussed. It was also confirmed that the 3D-DSPE-MEKC approach could be considered an effective tool for sample pretreatment and separation of chosen endogenous analytes in urine samples. Full article
Show Figures

Figure 1

16 pages, 5675 KB  
Article
A Facile and Efficient Protocol for Phospholipid Enrichment in Synovial Joint Fluid: Monodisperse-Mesoporous SiO2 Microspheres as a New Metal Oxide Affinity Sorbent
by Serhat Aladağ, İlayda Demirdiş, Burcu Gökçal Kapucu, Emine Koç, Ozan Kaplan, Batuhan Erhan Aktaş, Mustafa Çelebier, Ali Tuncel and Feza Korkusuz
Separations 2024, 11(9), 262; https://doi.org/10.3390/separations11090262 - 5 Sep 2024
Viewed by 1884
Abstract
Phospholipids (PLs), essential components of cell membranes, play significant roles in maintaining the structural integrity and functionality of joint tissues. One of the main components of synovial joint fluid (SJF) is PLs. Structures such as PLs that are found in low amounts in [...] Read more.
Phospholipids (PLs), essential components of cell membranes, play significant roles in maintaining the structural integrity and functionality of joint tissues. One of the main components of synovial joint fluid (SJF) is PLs. Structures such as PLs that are found in low amounts in biological fluids may need to be selectively enriched to be analyzed. Monodisperse-mesoporous SiO2 microspheres were synthesized by a multi-step hydrolysis condensation method for the selective enrichment and separation of PLs in the SJF. The microspheres were characterized by SEM, XPS, XRD, and BET analyses. SiO2 microspheres had a 161.5 m2/g surface area, 1.1 cm3/g pore volume, and 6.7 nm pore diameter, which were efficient in the enrichment of PLs in the SJF. The extracted PLs with sorbents were analyzed using Q-TOF LC/MS in a gradient elution mode with a C18 column [2.1 × 100 mm, 2.5 μM, Xbridge Waters (Milford, MA, USA)]. An untargeted lipidomic approach was performed, and the phospholipid enrichment was successfully carried out using the proposed solid-phase extraction (SPE) protocol. Recovery of the SPE extraction of PLs using sorbents was compared to the classical liquid–liquid extraction (LLE) procedure for lipid extraction. The results showed that monodisperse-mesoporous SiO2 microspheres were eligible for selective enrichment of PLs in SJF samples. These microspheres can be used to identify PLs changes in articular joint cartilage (AJC) in physiological and pathological conditions including osteoarthritis (OA) research. Full article
Show Figures

Figure 1

30 pages, 652 KB  
Review
There’s Something in What We Eat: An Overview on the Extraction Techniques and Chromatographic Analysis for PFAS Identification in Agri-Food Products
by Alessia Iannone, Fabiana Carriera, Sergio Passarella, Alessandra Fratianni and Pasquale Avino
Foods 2024, 13(7), 1085; https://doi.org/10.3390/foods13071085 - 1 Apr 2024
Cited by 8 | Viewed by 6371
Abstract
Per- and polyfluorinated alkyl substances (PFASs) are a group of anthropogenic chemicals used in a range of industrial processes and consumer products. Recently, their ubiquitous presence in the environment as well as their toxicological effects in humans have gained relevant attention. Although the [...] Read more.
Per- and polyfluorinated alkyl substances (PFASs) are a group of anthropogenic chemicals used in a range of industrial processes and consumer products. Recently, their ubiquitous presence in the environment as well as their toxicological effects in humans have gained relevant attention. Although the occurrence of PFASs is widely investigated in scientific community, the standardization of analytical method for all matrices still remains an important issue. In this review, we discussed extraction and detection methods in depth to evaluate the best procedures of PFAS identification in terms of analytical parameters (e.g., limits of detection (LODs), limits of quantification (LOQs), recoveries). Extraction approaches based on liquid–liquid extraction (LLE), alkaline digestion, and solid phase extraction (SPE), followed by liquid chromatography–mass spectrometry (LC-MS) and gas chromatography–mass spectrometry (GC-MS) analysis are the main analytical methods applied in the literature. The results showed detectable recoveries of PFOA and PFOS in meat, milk, vegetables, eggs products (90.6–101.2% and of 89.2–98.4%), and fish (96–108%). Furthermore, the low LOD and LOQ values obtained for meat (0.00592–0.01907 ng g−1; 0.050 ng g−1), milk (0.003–0.009 ng g−1; 0.010–0.027 ng g−1), fruit (0.002–0.009 ng g−1; 0.006–0.024 ng g−1), and fish (0.00369–0.017.33 ng g−1; 0.05 ng g−1) also confirmed the effectiveness of the recent quick, easy, cheap, effective, rugged, and safe method (QuEChERS) for simple, speedy, and sensitive ultra-trace PFAS analysis. Full article
Show Figures

Figure 1

16 pages, 2942 KB  
Article
A Multi-Residue Analytical Method for Assessing the Effects of Stacking Treatment on Antimicrobial and Coccidiostat Degradation in Broiler Litter
by Solomon Efriem, Malka Britzi, Stefan Soback, Chris Sabastian and Sameer J. Mabjeesh
Pharmaceuticals 2024, 17(2), 203; https://doi.org/10.3390/ph17020203 - 4 Feb 2024
Cited by 2 | Viewed by 2050
Abstract
Antimicrobial drugs and coccidiostat compounds are commonly used in poultry farming. These compounds are subsequently excreted and released into the environment via broiler litter (BL) and can re-enter the food chain as fertilizer or animal feed. Such residue in animal feed can encourage [...] Read more.
Antimicrobial drugs and coccidiostat compounds are commonly used in poultry farming. These compounds are subsequently excreted and released into the environment via broiler litter (BL) and can re-enter the food chain as fertilizer or animal feed. Such residue in animal feed can encourage the appearance of antibiotic-resistant bacteria as well as toxicity. Most analytical methods used to identify and quantitate these drug residues are traditional, and are specific to some antimicrobials and present limitations in assessing complex matrixes like BL. The aim of this study was to develop a multi-residue analytic method for assessing 30 antimicrobial drugs and coccidiostats associated with BL. We investigated the presence and the effects of biotic stack treatment on the degradation of drug residue in BL. Liquid-liquid extraction (LLE) and solid phase extraction (SPE) were replaced by Quick, Easy, Cheap, Effective, Rugged, and Safe (QuEChERS) clean-up steps and detected by liquid chromatography mass spectrometry (LC/MS/MS). Results show that a wide spectrum of residues were detected from 0.4 to 8.9 mg kg−1. Following lab-scale stacking treatment, tilmicosin and eight coccidiostats persisted in BL (26–100%). This research supports the need for better understanding, regulation, and management of the use of BL that might carry a high risk of residue drugs. Full article
Show Figures

Figure 1

30 pages, 3088 KB  
Review
Sample Preparation Techniques for Growth-Promoting Agents in Various Mammalian Specimen Preceding MS-Analytics
by Laura Klöppner, Lukas Corbinian Harps and Maria Kristina Parr
Molecules 2024, 29(2), 330; https://doi.org/10.3390/molecules29020330 - 9 Jan 2024
Cited by 3 | Viewed by 3137
Abstract
The misuse of growth-promoting drugs such as beta-2 agonists and steroids is a known problem in farming and sports competitions. Prior to the analysis of biological samples via liquid chromatography (LC)–mass spectrometry (MS) or gas chromatography (GC)–MS, sufficient sample preparation is required to [...] Read more.
The misuse of growth-promoting drugs such as beta-2 agonists and steroids is a known problem in farming and sports competitions. Prior to the analysis of biological samples via liquid chromatography (LC)–mass spectrometry (MS) or gas chromatography (GC)–MS, sufficient sample preparation is required to reliably identify or determine the residues of drugs. In practice, broad screening methods are often used to save time and analyze as many compounds as possible. This review was conceptualized to analyze the literature from 2018 until October 2023 for sample preparation procedures applied to animal specimens before LC- or GC-MS analysis. The animals were either used in farming or sports. In the present review, solid phase extraction (SPE) was observed as the dominant sample clean-up technique for beta-2 agonists and steroids, followed by protein precipitation. For the extraction of beta-2 agonists, mixed-mode cation exchanger-based SPE phases were preferably applied, while for the steroids, various types of SPE materials were reported. Furthermore, dispersive SPE-based QuEChERs were utilized. Combinatory use of SPE and liquid–liquid extraction (LLE) was observed to cover further drug classes in addition to beta-2 agonists in broader screening methods. Full article
(This article belongs to the Special Issue Chromatography and Extraction Techniques for Chemical Applications)
Show Figures

Graphical abstract

14 pages, 1445 KB  
Article
Quantitative Analysis of Decoquinate Residues in Hen Eggs through Derivatization-Gas Chromatography Tandem Mass Spectrometry
by Yali Zhu, Lan Chen, Yawen Guo, Pengfei Gao, Shuyu Liu, Tao Zhang, Genxi Zhang and Kaizhou Xie
Foods 2024, 13(1), 119; https://doi.org/10.3390/foods13010119 - 29 Dec 2023
Cited by 2 | Viewed by 1660
Abstract
A novel precolumn derivatization-gas chromatography tandem mass spectrometry (GC-MS/MS) method was developed to detect and confirm the presence of decoquinate residues in eggs (whole egg, albumen and yolk). Liquid-liquid extraction (LLE) and solid phase extraction (SPE) were used to extract and purify samples. [...] Read more.
A novel precolumn derivatization-gas chromatography tandem mass spectrometry (GC-MS/MS) method was developed to detect and confirm the presence of decoquinate residues in eggs (whole egg, albumen and yolk). Liquid-liquid extraction (LLE) and solid phase extraction (SPE) were used to extract and purify samples. The derivatization reagents were pyridine and acetic anhydride, and the derivatives were subjected to GC-MS/MS detection. After the experimental conditions were optimized, satisfactory sensitivity was obtained. The limits of detection (LODs) and limits of quantification (LOQs) for the decoquinate in eggs (whole egg, albumen and yolk) were 1.4–2.4 μg/kg and 2.1–4.9 μg/kg, respectively. At four spiked concentration levels, the average recoveries were 74.3–89.8%, the intraday RSDs ranged from 1.22% to 4.78%, and the inter-day RSDs ranged from 1.61% to 7.54%. The feasibility and practicality of the method were confirmed by testing egg samples from a local supermarket. Full article
Show Figures

Figure 1

28 pages, 4938 KB  
Article
Migration Studies and Endocrine Disrupting Activities: Chemical Safety of Cosmetic Plastic Packaging
by Elias Bou-Maroun, Laurence Dahbi, Laurence Dujourdy, Pierre-Jacques Ferret and Marie-Christine Chagnon
Polymers 2023, 15(19), 4009; https://doi.org/10.3390/polym15194009 - 6 Oct 2023
Cited by 2 | Viewed by 5533
Abstract
The endocrine activity and endocrine disruptor (ED) chemical profiles of eleven plastic packaging materials covering five major polymer types (3PET, 1HDPE, 4LDPE, 2 PP, and 1SAN) were investigated using in vitro cell-based reporter-gene assays and a non-targeted chemical analysis using gas chromatography coupled [...] Read more.
The endocrine activity and endocrine disruptor (ED) chemical profiles of eleven plastic packaging materials covering five major polymer types (3PET, 1HDPE, 4LDPE, 2 PP, and 1SAN) were investigated using in vitro cell-based reporter-gene assays and a non-targeted chemical analysis using gas chromatography coupled to mass spectrometry (GC-MS). To mimic cosmetic contact, six simulants (acidic, alkaline, neutral water, ethanol 30%, glycerin, and paraffin) were used in migration assays performed by filling the packaging with simulant. After 1 month at 50 °C, simulants were concentrated by Solid Phase Extraction (SPE) or Liquid-Liquid Extraction (LLE). The migration profiles of seven major endocrine disrupting chemicals detected from GC-MS in the different materials and simulants were compared with Estrogen Receptor (ER) and Androgen Receptor (AR) activities. With low extraction of ED chemicals in aqueous simulants, no endocrine activities were recorded in the leachates. Paraffin was shown to be the most extracting simulant of antiandrogenic chemicals, while glycerin has estrogenic activities. Overall, ED chemical migration in paraffin was correlated with hormonal activity. The NIAS 2,4-di-tert-butyl phenol and 7,9-di-tert-butyl1-oxaspiro (4,5) deca-6,9-diene-2,8-dione were two major ED chemicals present in all polymers (principally in PP and PE) and in the highest quantity in paraffin simulant. The use of glycerin and liquid paraffin as cosmetic product simulants was demonstrated to be relevant and complementary for the safety assessment of released compounds with endocrine activities in this integrated strategy combining bioassays and analytical chemistry approaches. Full article
(This article belongs to the Section Polymer Applications)
Show Figures

Figure 1

13 pages, 3843 KB  
Article
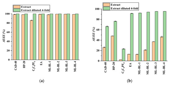
The Selective Separation of Carnosic Acid and Rosmarinic Acid by Solid-Phase Extraction and Liquid–Liquid Extraction: A Comparative Study
by Chunyan Zhu, Yunchang Fan and Hongwei Wu
Molecules 2023, 28(14), 5493; https://doi.org/10.3390/molecules28145493 - 18 Jul 2023
Cited by 7 | Viewed by 3867
Abstract
Rosmarinus officinalis leaves (ROLs) are widely used in the food and cosmetics industries due to their high antioxidant activity and fascinating flavor properties. Carnosic acid (CA) and rosmarinic acid (RA) are regarded as the characteristic antioxidant components of ROLs, and the selective separation [...] Read more.
Rosmarinus officinalis leaves (ROLs) are widely used in the food and cosmetics industries due to their high antioxidant activity and fascinating flavor properties. Carnosic acid (CA) and rosmarinic acid (RA) are regarded as the characteristic antioxidant components of ROLs, and the selective separation of CA and RA remains a significant challenge. In this work, the feasibility of achieving the selective separation of CA and RA from ROLs by solid-phase extraction (SPE) and liquid–liquid extraction (LLE) was studied and compared. The experiments suggested that SPE with CAD-40 macroporous resin as the adsorbent was a good choice for selectively isolating CA from the extracts of ROLs and could produce raw CA with purity levels as high as 76.5%. The LLE with ethyl acetate (EA) as the extraction solvent was more suitable for extracting RA from the diluted extracts of ROLs and could produce raw RA with a purity level of 56.3%. Compared with the reported column chromatography and LLE techniques, the developed SPE–LLE method not only exhibited higher extraction efficiency for CA and RA, but can also produce CA and RA with higher purity. Full article
Show Figures

Figure 1

20 pages, 432 KB  
Review
Challenges in the Analytical Preparation of a Biological Matrix in Analyses of Endocrine-Disrupting Bisphenols
by Nataša Milić, Maja Milanović, Jovana Drljača, Jan Sudji and Nataša Milošević
Separations 2023, 10(4), 226; https://doi.org/10.3390/separations10040226 - 24 Mar 2023
Cited by 8 | Viewed by 4588
Abstract
Endocrine-disrupting chemicals (EDCs) are xenobiotics presented in a variety of everyday products that may disrupt the normal activity of hormones. Exposure to bisphenol A as EDC at trace and ultra-trace levels is associated with adverse health effects, and children are recognized as the [...] Read more.
Endocrine-disrupting chemicals (EDCs) are xenobiotics presented in a variety of everyday products that may disrupt the normal activity of hormones. Exposure to bisphenol A as EDC at trace and ultra-trace levels is associated with adverse health effects, and children are recognized as the most vulnerable group to EDCs exposure. In this review, a summary is presented of up-to-date sample preparation methods and instrumental techniques applied for the detection and quantification of bisphenol A and its structural analogues in various biological matrices. Biological matrices such as blood, cell-free blood products, urine, saliva, breast milk, cordial blood, amniotic and semen fluids, as well as sweat and hair, are very complex; therefore, the detection and later quantification of bisphenols at low levels present a real analytical challenge. The most popular analytical approaches include gas and liquid chromatography coupled with mass spectrometry, and their enhanced reliability and sensitivity finally allow the separation and detection of bisphenols in biological samples, even as ultra-traces. Liquid/liquid extraction (LLE) and solid-phase extraction (SPE) are still the most common methods for their extraction from biological matrices. However, many modern and environmentally safe microextraction techniques are currently under development. The complexity of biological matrices and low concentrations of analytes are the main issues for the limited identification, as well as understanding the adverse health effects caused by chronical and ubiquitous exposure to bisphenols and its analogues. Full article
Show Figures

Graphical abstract

24 pages, 1515 KB  
Review
Recent Insights into Sample Pretreatment Methods for Mycotoxins in Different Food Matrices: A Critical Review on Novel Materials
by Yu Bian, Yuan Zhang, Yu Zhou, Binbin Wei and Xuesong Feng
Toxins 2023, 15(3), 215; https://doi.org/10.3390/toxins15030215 - 10 Mar 2023
Cited by 27 | Viewed by 5886
Abstract
Mycotoxins pollution is a global concern, and can pose a serious threat to human health. People and livestock eating contaminated food will encounter acute and chronic poisoning symptoms, such as carcinogenicity, acute hepatitis, and a weakened immune system. In order to prevent or [...] Read more.
Mycotoxins pollution is a global concern, and can pose a serious threat to human health. People and livestock eating contaminated food will encounter acute and chronic poisoning symptoms, such as carcinogenicity, acute hepatitis, and a weakened immune system. In order to prevent or reduce the exposure of human beings and livestock to mycotoxins, it is necessary to screen mycotoxins in different foods efficiently, sensitively, and selectively. Proper sample preparation is very important for the separation, purification, and enrichment of mycotoxins from complex matrices. This review provides a comprehensive summary of mycotoxins pretreatment methods since 2017, including traditionally used methods, solid-phase extraction (SPE)-based methods, liquid-liquid extraction (LLE)-based methods, matrix solid phase dispersion (MSPD), QuEChERS, and so on. The novel materials and cutting-edge technologies are systematically and comprehensively summarized. Moreover, we discuss and compare the pros and cons of different pretreatment methods and suggest a prospect. Full article
(This article belongs to the Special Issue Emerging Strategies for Extraction and Analysis of Mycotoxins in Food)
Show Figures

Graphical abstract

18 pages, 2874 KB  
Review
Benzophenones in the Environment: Occurrence, Fate and Sample Preparation in the Analysis
by Andromachi A. Gavrila, Ioannis S. Dasteridis, Alkiviadis A. Tzimas, Theodoros G. Chatzimitakos and Constantine D. Stalikas
Molecules 2023, 28(3), 1229; https://doi.org/10.3390/molecules28031229 - 27 Jan 2023
Cited by 19 | Viewed by 4968
Abstract
The ubiquitous presence of emerging contaminants in the environment is an issue of great concern. Notably, for some of them, no established regulation exists. Benzophenones are listed as emerging contaminants, which have been identified in the environment as well as in human fluids, [...] Read more.
The ubiquitous presence of emerging contaminants in the environment is an issue of great concern. Notably, for some of them, no established regulation exists. Benzophenones are listed as emerging contaminants, which have been identified in the environment as well as in human fluids, such as urine, placenta, and breast milk. Their accumulation and stability in the environment, combined with the revealed adverse effects on ecosystems including endocrine, reproductive, and other disorders, have triggered significant interest for research. Benzophenones should be extracted from environmental samples and determined for environmental-monitoring purposes to assess their presence and possible dangers. Numerous sample preparation methods for benzophenones in environmental matrices and industrial effluents have been proposed and their detection in more complex matrices, such as fish and sludges, has also been reported. These methods range from classical to more state-of-the-art methods, such as solid-phase extraction, dispersive SPE, LLE, SBSE, etc., and the analysis is mostly completed with liquid chromatography, using several detection modes. This review critically outlines sample preparation methods that have been proposed to date, for the extraction of benzophenones from simple and complex environmental matrices and for cleaning up sample extracts to eliminate potential interfering components that coexist therein. Moreover, it provides a brief overview of their occurrence, fate, and toxicity. Full article
Back to TopTop