Migration Studies and Endocrine Disrupting Activities: Chemical Safety of Cosmetic Plastic Packaging
Abstract
:1. Introduction
2. Materials and Methods
2.1. Chemicals and Materials (Selected Packaging)
2.2. Migration Tests
2.3. Extraction of Simulants and Sample Preparations
2.3.1. Solid Phase Extraction (SPE)
2.3.2. Liquid/Liquid Extraction (LLE)
2.4. ER and AR Transactivation Assays (TA)
2.4.1. Cell Culture
2.4.2. Assessment of Cell Viability
2.4.3. Transcriptional Assays
2.4.4. Treatment Cells
2.4.5. Raw Data Analysis and Interpretation
2.4.6. Assays Acceptance Criteria
- The results of the 4 concurrent reference chemicals (17β-E2, 17α-E2, 17α-methyltestosterone, and corticosterone) included in each experiment fell within the acceptable range (Table S1);
- The mean luciferase activity of the positive control (1 nM E2) was at least 4-fold that of the mean vehicle control on each plate;
- The fold-induction corresponding to EC10 of the concurrent PC was greater than 1 + 2 standard deviations of the fold-induction value of the concurrent vehicle control;
- The variability among raw data triplicates (luminescence intensity data) was minimal (CV less than 20%), indicating a reliable EC10.
- The results of the reference chemical (ICI 182,780) included in each experiment fell within the acceptable range (Table S1);
- The mean luciferase activity of the spike-in control (0.025 nM E2) was at least 4-fold that of the mean vehicle control on each plate.
- For AR agonist assay
- The results of the reference chemical (DHT) included in each experiment fell within the acceptable range (Table S1);
- The mean luciferase activity of the positive control (10 nM DHT) was at least 6-fold that of the mean vehicle control on each plate;
- The fold-induction corresponding to EC10 of the concurrent PC was greater than 1 + 2 standard deviations of the fold-induction value of the concurrent vehicle control;
- The variability among raw data triplicates (luminescence intensity data) was minimal (CV less than 20%), indicating a reliable EC10.
- For AR antagonist assay
- The results of the reference chemical (OH-FLU) included in each experiment fell within the acceptable range (Table S1);
- The mean luciferase activity of the spike-in control (0.25 nM DHT) was at least 5-fold that of the mean vehicle control on each plate.
2.5. Gas Chromatography Coupled to Mass Spectrometry (GC-MS)
2.6. Chemometric Analysis
3. Results
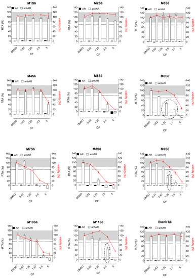
3.1. Endocrine Activity
3.1.1. ER Gene Reporter Assays
3.1.2. AR Gene Reporter Assays
3.2. Gas Chromatography-Mass Spectrometry
3.2.1. Non-Targeted Chemical Screening
3.2.2. Chromatograms
3.2.3. Migration Profiles
3.3. Multivariate Statistical Analysis
4. Discussion
4.1. Migrates of Cosmetic Plastics Packaging Showed In Vitro ER and/or AR Endocrine Activities under Realistic Migration Exposure
4.2. Migrates of Cosmetic Plastics Packaging Contain Chemicals Inducing ER and/or AR Endocrine Activities which Are Principally Known NIAS
4.3. Overall, Endocrine Activities in Paraffin Migrates Are Correlated with ED Chemical Signatures of Polymers
4.4. Estrogenicity Leaching in Glycerin Simulant Was Not Totally Explained by ED Chemical Signatures
4.5. Except for PET, Differences in ED Chemical Signatures between Suppliers Were Observed
4.6. Toxicological Aspect
5. Conclusions
Supplementary Materials
Author Contributions
Funding
Institutional Review Board Statement
Data Availability Statement
Conflicts of Interest
References
- Bi, X.; Pan, X.; Yuan, S.; Wang, Q. Plasticizer Contamination in Edible Vegetable Oil in a U.S. Retail Market. J. Agric. Food Chem. 2013, 61, 9502–9509. [Google Scholar] [CrossRef]
- Fasano, E.; Bono-Blay, F.; Cirillo, T.; Montuori, P.; Lacorte, S. Migration of Phthalates, Alkylphenols, Bisphenol A and Di(2-Ethylhexyl)Adipate from Food Packaging. Food Control 2012, 27, 132–138. [Google Scholar] [CrossRef]
- Gimeno, P.; Maggio, A.-F.; Bousquet, C.; Quoirez, A.; Civade, C.; Bonnet, P.-A. Analytical Method for the Identification and Assay of 12 Phthalates in Cosmetic Products: Application of the ISO 12787 International Standard “Cosmetics–Analytical Methods–Validation Criteria for Analytical Results Using Chromatographic Techniques”. J. Chromatogr. A 2012, 1253, 144–153. [Google Scholar] [CrossRef]
- Muncke, J. Endocrine Disrupting Chemicals and Other Substances of Concern in Food Contact Materials: An Updated Review of Exposure, Effect and Risk Assessment. J. Steroid Biochem. Mol. Biol. 2011, 127, 118–127. [Google Scholar] [CrossRef]
- Nerin, C.; Alfaro, P.; Aznar, M.; Domeño, C. The Challenge of Identifying Non-Intentionally Added Substances from Food Packaging Materials: A Review. Anal. Chim. Acta 2013, 775, 14–24. [Google Scholar] [CrossRef]
- Grob, K.; Biedermann, M.; Scherbaum, E.; Roth, M.; Rieger, K. Food Contamination with Organic Materials in Perspective: Packaging Materials as the Largest and Least Controlled Source? A View Focusing on the European Situation. Crit. Rev. Food Sci. Nutr. 2006, 46, 529–535. [Google Scholar] [CrossRef]
- Geueke, B.; Groh, K.J.; Maffini, M.V.; Martin, O.V.; Boucher, J.M.; Chiang, Y.-T.; Gwosdz, F.; Jieh, P.; Kassotis, C.D.; Łańska, P.; et al. Systematic Evidence on Migrating and Extractable Food Contact Chemicals: Most Chemicals Detected in Food Contact Materials Are Not Listed for Use. Crit. Rev. Food Sci. Nutr. 2022, 1–11. [Google Scholar] [CrossRef]
- Severin, I.; Souton, E.; Dahbi, L.; Chagnon, M.C. Use of Bioassays to Assess Hazard of Food Contact Material Extracts: State of the Art. Food Chem. Toxicol. 2017, 105, 429–447. [Google Scholar] [CrossRef]
- Groh, K.J.; Muncke, J. In Vitro Toxicity Testing of Food Contact Materials: State-of-the-Art and Future Challenges. Compr. Rev. Food Sci. Food Saf. 2017, 60, 1123–1150. [Google Scholar] [CrossRef]
- Veyrand, J.; Marin-Kuan, M.; Bezencon, C.; Frank, N.; Guérin, V.; Koster, S.; Latado, H.; Mollergues, J.; Patin, A.; Piguet, D.; et al. Integrating Bioassays and Analytical Chemistry as an Improved Approach to Support Safety Assessment of Food Contact Materials. Food Addit. Contam. Part A 2017, 34, 1807–1816. [Google Scholar] [CrossRef]
- Bou-Maroun, E.; Dahbi, L.; Gomez-Berrada, M.-P.; Pierre, P.; Rakotomalala, S.; Ferret, P.-J.; Chagnon, M.-C. Chemical Analysis and Potential Endocrine Activities of Aluminium Coatings Intended to Be in Contact with Cosmetic Water. J. Pharm. Biomed. Anal. 2017, 145, 641–650. [Google Scholar] [CrossRef] [PubMed]
- Kato, L.S.; Conte-Junior, C.A. Safety of Plastic Food Packaging: The Challenges about Non-Intentionally Added Substances (NIAS) Discovery, Identification and Risk Assessment. Polymers 2021, 13, 2077. [Google Scholar] [CrossRef] [PubMed]
- European Commission (EC). Commission Regulation No. 10/2011. Off. J. Eur. Union 2011, L12, 1–89. [Google Scholar]
- Regulation (EC). No 1223/2009 of the European Parliament and of the Council of 30 November 2009 on Cosmetic Products. Available online: https://health.ec.europa.eu/system/files/2016-11/cosmetic_1223_2009_regulation_en_0.pdf (accessed on 12 July 2023).
- Scientific Committee on Consumer Safety (SCCS). Available online: https://health.ec.europa.eu/scientific-committees/scientific-committee-consumer-safety-sccs_en (accessed on 12 July 2023).
- Murat, P.; Ferret, P.-J.; Coslédan, S.; Simon, V. Assessment of Targeted Non-Intentionally Added Substances in Cosmetics in Contact with Plastic Packagings. Anal. Toxicol. Aspects. Food Chem. Toxicol. 2019, 128, 106–118. [Google Scholar] [CrossRef] [PubMed]
- Murat, P.; Ferret, P.-J.; Coslédan, S.; Simon, V. Development of a HS-SPME-GC-MS Method for the Analysis of Phthalates in Glycerin and Liquid Paraffin: Application to Safety Evaluation of Cosmetic Packagings. Anal. Bioanal. Chem. 2020, 412, 5157–5168. [Google Scholar] [CrossRef] [PubMed]
- ISO/TR 18811:2018. Available online: https://www.iso.org/fr/standard/63465.html (accessed on 13 July 2023).
- OECD Test Guideline 455 OECD Test No. 455: The Stably Transfected Human Estrogen Receptor-Alpha Transcriptional Activation Assay for Detection of Estrogenic Agonist-Activity of Chemicals. Available online: https://www.oecd.org/publications/test-no-455-the-stably-transfected-human-estrogen-receptor-alpha-transcriptional-activation-assay-for-detection-of-estrogenic-9789264076372-en.htm (accessed on 29 June 2021).
- Wilson, V.S. A Novel Cell Line, MDA-Kb2, That Stably Expresses an Androgen- and Glucocorticoid-Responsive Reporter for the Detection of Hormone Receptor Agonists and Antagonists. Toxicol. Sci. 2002, 66, 69–81. [Google Scholar] [CrossRef] [PubMed]
- Ermler, S.; Scholze, M.; Kortenkamp, A. The Sensitivity of the MDA-Kb2 Cell in Vitro Assay in Detecting Anti-Androgenic Chemicals—Identification of Sources of Variability and Estimation of Statistical Power. Toxicol. In Vitro 2010, 24, 1845–1853. [Google Scholar] [CrossRef] [PubMed]
- Test No. 458: Stably Transfected Human Androgen Receptor Transcriptional Activation Assay for Detection of Androgenic Agonist and Antagonist Activity of Chemicals. Available online: https://www.oecd-ilibrary.org/environment/test-no-458-stably-transfected-human-androgen-receptor-transcriptional-activation-assay-for-detection-of-androgenic-agonist-and-antagonist-activity-of-chemicals_9789264264366-en (accessed on 30 June 2021).
- R Core Team. R: A Language and Environment for Statistical Computing; R Foundation for Statistical Computing: Vienna, Austria, 2021. [Google Scholar]
- RStudio Team. RStudio: Integrated Development Environment for R; Rstudio, PBC: Boston, MA, USA, 2021. [Google Scholar]
- Nakazawa, M. Fmsb: Functions for Medical Statistics Book with Some Demographic Data; R Studio: Vienna, Austria, 2022. [Google Scholar]
- Lê, S.; Josse, J.; Husson, F. FactoMineR: A Package for Multivariate Analysis. J. Stat. Softw. 2008, 25, 1–18. [Google Scholar] [CrossRef]
- Kassambara, A.; Mundt, F. Factoextra: Extract and Visualize the Results of Multivariate Data Analyses; R Studio: Vienna, Austria, 2020. [Google Scholar]
- Wei, T.; Simko, V. R Package “Corrplot”: Visualization of a Correlation Matrix; R Studio: Vienna, Austria, 2021. [Google Scholar]
- Kassambara, A. Ggpubr: “ggplot2” Based Publication Ready Plots; R Studio: Vienna, Austria, 2020. [Google Scholar]
- Simon, C.; Onghena, M.; Covaci, A.; Van Hoeck, E.; Van Loco, J.; Vandermarken, T.; Van Langenhove, K.; Demaegdt, H.; Mertens, B.; Vandermeiren, K.; et al. Screening of Endocrine Activity of Compounds Migrating from Plastic Baby Bottles Using a Multi-Receptor Panel of in Vitro Bioassays. Toxicol. In Vitro 2016, 37, 121–133. [Google Scholar] [CrossRef]
- Husson, F.; Lê, S.; Pagès, J. Exploratory Multivariate Analysis by Example Using R; R Studio: Vienna, Austria, 2010. [Google Scholar]
- Abdi, H.; Williams, L.J. Principal Component Analysis. WIREs Comput. Stat. 2010, 2, 433–459. [Google Scholar] [CrossRef]
- Pagès, J. Analyse factorielle multiple appliquée aux variables qualitatives et aux données mixtes. Rev. Stat. Appliquée 2002, 50, 5–37. [Google Scholar]
- Mertl, J.; Kirchnawy, C.; Osorio, V. Characterization of Estrogen and Androgen Activity of Food Contact Materials by Different in Vitro Bioassays (YES, YAS, ERα and AR CALUX) and Chromatographic Analysis (GC-MS, HPLC-MS). PLoS ONE 2014, 9, e100952. [Google Scholar] [CrossRef] [PubMed]
- Kirchnawy, C.; Mertl, J.; Osorio, V.; Hausensteiner, H.; Washüttl, M.; Bergmair, J.; Pyerin, M.; Tacker, M. Detection and Identification of Oestrogen-Active Substances in Plastic Food Packaging Migrates: Detection of oestrogen-active substances in food packaging. Packag. Technol. Sci. 2014, 27, 467–478. [Google Scholar] [CrossRef]
- Zimmermann, L.; Dierkes, G.; Ternes, T.; Völker, C.; Wagner, M. Benchmarking the in Vitro Toxicity and Chemical Composition of Plastic Consumer Products. Environ. Sci. Technol. 2019, 53, 11467–11477. [Google Scholar] [CrossRef] [PubMed]
- Zimmermann, L.; Bartosova, Z.; Braun, K.; Oehlmann, J.; Völker, C.; Wagner, M. Plastic Products Leach Chemicals That Induce In Vitro Toxicity under Realistic Use Conditions. Environ. Sci. Technol. 2021, 55, 11814–11823. [Google Scholar] [CrossRef]
- Creusot, N.; Budzinski, H.; Balaguer, P.; Kinani, S.; Porcher, J.-M.; Ait-Aissa, S. Effect-Directed Analysis of Endocrine-Disrupting Compounds in Multi-Contaminated Sediment: Identification of Novel Ligands of Estrogen and Pregnane X Receptors. Anal. Bioanal. Chem. 2013, 405, 2553–2566. [Google Scholar] [CrossRef]
- Skjevrak, I.; Brede, C.; Steffensen, I.-L.; Mikalsen, A.; Alexander, J.; Fjeldal, P.; Herikstad, H. Non-Targeted Multi-Component Analytical Surveillance of Plastic Food Contact Materials: Identification of Substances Not Included in EU Positive Lists and Their Risk Assessment. Food Addit Contam 2005, 22, 1012–1022. [Google Scholar] [CrossRef]
- Hu, Y.; Du, Z.; Sun, X.; Ma, X.; Song, J.; Sui, H.; Debrah, A.A. Non-Targeted Analysis and Risk Assessment of Non-Volatile Compounds in Polyamide Food Contact Materials. Food Chem. 2021, 345, 128625. [Google Scholar] [CrossRef]
- McCord, J.P.; Groff, L.C.; Sobus, J.R. Quantitative Non-Targeted Analysis: Bridging the Gap between Contaminant Discovery and Risk Characterization. Environ. Int. 2022, 158, 107011. [Google Scholar] [CrossRef] [PubMed]
- Qian, S.; Ji, H.; Wu, X.; Li, N.; Yang, Y.; Bu, J.; Zhang, X.; Qiao, L.; Yu, H.; Xu, N.; et al. Detection and Quantification Analysis of Chemical Migrants in Plastic Food Contact Products. PLoS ONE 2018, 13, e0208467. [Google Scholar] [CrossRef]
- Thomas, C.; Siong, D.; Pirnay, S. Evaluation of the content—Containing interaction in cosmetic products using gas chromatography–mass spectrometry. Int. J. Cosmet. Sci. 2014, 36, 327–335. [Google Scholar] [CrossRef]
- Yang, Y.-P.; Hu, C.-Y.; Zhong, H.; Wang, Z.-Y.; Zeng, G.-F. Degradation of Irgafos 168 and Determination of Its Degradation Products. Mod. Food Sci. Technol. 2016, 32, 304–309. [Google Scholar] [CrossRef]
- Félix, J.S.; Isella, F.; Bosetti, O.; Nerín, C. Analytical Tools for Identification of Non-Intentionally Added Substances (NIAS) Coming from Polyurethane Adhesives in Multilayer Packaging Materials and Their Migration into Food Simulants. Anal. Bioanal. Chem. 2012, 403, 2869–2882. [Google Scholar] [CrossRef]
- Burman, L.; Albertsson, A.-C. Evaluation of Long-term Performance of Antioxidants Using Prooxidants Instead of Thermal Acceleration. J. Polym. Sci. Part A Polym. Chem. 2005, 43, 4537–4546. [Google Scholar] [CrossRef]
- Alin, J.; Hakkarainen, M. Microwave Heating Causes Rapid Degradation of Antioxidants in Polypropylene Packaging, Leading to Greatly Increased Specific Migration to Food Simulants As Shown by ESI-MS and GC-MS. J. Agric. Food Chem. 2011, 59, 5418–5427. [Google Scholar] [CrossRef]
- Alin, J.; Hakkarainen, M. Combined Chromatographic and Mass Spectrometric Toolbox for Fingerprinting Migration from PET Tray during Microwave Heating. J. Agric. Food Chem. 2013, 61, 1405–1415. [Google Scholar] [CrossRef] [PubMed]
- Dutra, C.; Freire, M.T.; Nerín, C.; Bentayeb, K.; Rodriguez-Lafuente, A.; Aznar, M.; Reyes, F.G. Migration of Residual Nonvolatile and Inorganic Compounds from Recycled Post-Consumer PET and HDPE. J. Braz. Chem. Soc. 2014, 25, 686–696. [Google Scholar] [CrossRef]
- Satoh, K.; Nonaka, R.; Ohyama, K.; Nagai, F.; Ogata, A.; Iida, M. Endocrine Disruptive Effects of Chemicals Eluted from Nitrile-Butadiene Rubber Gloves Using Reporter Gene Assay Systems. Biol. Pharm. Bull. 2008, 31, 375–379. [Google Scholar] [CrossRef]
- García Ibarra, V.; Rodríguez Bernaldo de Quirós, A.; Paseiro Losada, P.; Sendón, R. Non-Target Analysis of Intentionally and Non Intentionally Added Substances from Plastic Packaging Materials and Their Migration into Food Simulants. Food Packag. Shelf Life 2019, 21, 100325. [Google Scholar] [CrossRef]
- Galmán Graíño, S.; Sendón, R.; López Hernández, J.; Rodríguez-Bernaldo de Quirós, A. GC-MS Screening Analysis for the Identification of Potential Migrants in Plastic and Paper-Based Candy Wrappers. Polymers 2018, 10, 802. [Google Scholar] [CrossRef]
- Murat, P.; Harohalli Puttaswamy, S.; Ferret, P.-J.; Coslédan, S.; Simon, V. Identification of Potential Extractables and Leachables in Cosmetic Plastic Packaging by Microchambers-Thermal Extraction and Pyrolysis-Gas Chromatography-Mass Spectrometry. Molecules 2020, 25, 2115. [Google Scholar] [CrossRef]
- Vera, P.; Canellas, E.; Nerín, C. Identification of Non Volatile Migrant Compounds and NIAS in Polypropylene Films Used as Food Packaging Characterized by UPLC-MS/QTOF. Talanta 2018, 188, 750–762. [Google Scholar] [CrossRef] [PubMed]
- van Vugt-Lussenburg, B.M.; Van Es, D.S.; Naderman, M.; Le Notre, J.; Van Der Klis, F.; Brouwer, A.; Van Der Burg, B. Endocrine Activities of Phthalate Alternatives; Assessing the Safety Profile of Furan Dicarboxylic Acid Esters Using a Panel of Human Cell Based Reporter Gene Assays. Green Chem. 2020, 22, 1873–1883. [Google Scholar] [CrossRef]
- Kawamura, Y.; Mutsuga, M.; Kato, T.; Iida, M.; Tanamoto, K. Estrogenic and Anti-Androgenic Activities of Benzophenones in Human Estrogen and Androgen Receptor Mediated Mammalian Reporter Gene Assays. J. Health Sci. 2005, 51, 48–54. [Google Scholar] [CrossRef]
- Groh, K.; Geueke, B.; Martin, O.; Maffini, M.; Muncke, J. Overview of Intentionally Used Food Contact Chemicals and Their Hazards. Environ. Int. 2020, 150, 106225. [Google Scholar] [CrossRef]
- Pogorzelska, Z.; Mielniczuk, Z. Determination of ϵ-Caprolactam Migration from Polyamide Plastics: A New Approach. Packag. Technol. Sci. 2001, 14, 31–35. [Google Scholar] [CrossRef]
- Sheftel, V.O. Indirect Food Additives and Polymers: Migration and Toxicology; CRC Press: Boca Raton, FL, USA, 2014; ISBN 978-0-429-07675-6. [Google Scholar]
- Kassotis, C.D.; Tillitt, D.E.; Davis, J.W.; Hormann, A.M.; Nagel, S.C. Estrogen and Androgen Receptor Activities of Hydraulic Fracturing Chemicals and Surface and Ground Water in a Drilling-Dense Region. Endocrinology 2014, 155, 897–907. [Google Scholar] [CrossRef] [PubMed]
- IARC Monographs-101. Available online: https://monographs.iarc.who.int/wp-content/uploads/2018/06/mono101-007.pdf (accessed on 12 July 2023).
- Liu, R.; Mabury, S.A. Unexpectedly High Concentrations of 2,4-Di-Tert-Butylphenol in Human Urine. Environ. Pollut. 2019, 252, 1423–1428. [Google Scholar] [CrossRef]
- Choi, S.J.; Kim, J.K.; Kim, H.K.; Harris, K.; Kim, C.-J.; Park, G.G.; Park, C.-S.; Shin, D.-H. 2,4-Di-Tert-Butylphenol from Sweet Potato Protects Against Oxidative Stress in PC12 Cells and in Mice. J. Med. Food 2013, 16, 977–983. [Google Scholar] [CrossRef]
- Lee Simultaneous Determination of Four Bioactive Compounds in Korean Rice Wine (Makgeolli) by Solvent Extraction Coupled with Gas Chromatography-Mass Spectrometry. Available online: https://www.tandfonline.com/doi/epdf/10.1080/10942912.2017.1414841?needAccess=true&role=button (accessed on 13 July 2023).
- Gopalakrishnan, K.; Aushev, V.N.; Manservisi, F.; Falcioni, L.; Panzacchi, S.; Belpoggi, F.; Parada, H.; Garbowski, G.; Hibshoosh, H.; Santella, R.M.; et al. Gene Expression Profiles for Low-Dose Exposure to Diethyl Phthalate in Rodents and Humans: A Translational Study with Implications for Breast Carcinogenesis. Sci. Rep. 2020, 10, 7067. [Google Scholar] [CrossRef]
- Fiocchetti, M.; Bastari, G.; Cipolletti, M.; Leone, S.; Acconcia, F.; Marino, M. The Peculiar Estrogenicity of Diethyl Phthalate: Modulation of Estrogen Receptor α Activities in the Proliferation of Breast Cancer Cells. Toxics 2021, 9, 237. [Google Scholar] [CrossRef]













| Material Code | Material | Filling Volume Appearance | European Supplier | Theorical Surface in Contact with the Cosmetic Product (cm2) |
|---|---|---|---|---|
| M1 | 100%PET | 100 mL clear and colorless elliptical bottle | A | 124 |
| M2 | 100%PET | 100 mL clear and colorless cylindrical bottle | B | 115 |
| M3 | 50%PET/50%rPET | 200 mL clear and light-yellow elliptical bottle | C | 209 |
| M4 | 100% PP | 500 mL opaque and white elliptical bottle | C | 362 |
| M5 | 100% PP | 600 mL opaque and dark green cylindrical bottle | B | 396 |
| M6 | 100% SAN | 15 mL opaque and white cylindrical bottle | D | 63 |
| M7 | 100% HDPE | 100 mL opaque and white cylindrical bottle | E | 112 |
| M8 | 70%LLDPE/30%XLDPE | 40 mL opaque and white cylindrical bottle | F | 60 |
| M9 | COEX 70%LLDPE/30%XLDPE//EVOH | 50 mL opaque and white cylindrical tube | F | 61 |
| M10 | COEX 70%LLDPE/30%XLDPE//EVOH | 50 mL opaque and white cylindrical tube | G | 66 |
| M11 | 70%HDPE/30%LLDPE | 40 mL opaque and white cylindrical tube | F | 59 |
| Nature | Name | Simulants | Justification |
|---|---|---|---|
| Aqueous | S1 | Acidic water pH 4 (citric acid and disodium hydrogen phosphate dihydrate) | A large number of cosmetics are oil-in-water emulsions. In these products, the continuous phase exposed to migration is predominantly aqueous. In order to be more accurate, 3 types of water were used. |
| S2 | Demineralized water pH 7 for neutral water simulant | ||
| S3 | Alkaline water pH 11 (NaOH solution) | ||
| Alcohol | S4 | Ethanol 30% | Cosmetics products can contain alcohol (anti-acne, hair-fixative, or fine fragrance products). Water/ethanol 30% is close to real cosmetic products. |
| Oil | S5 | Liquid paraffin | Glycerin (polar) and paraffin (nonpolar) are raw materials commonly used in cosmetic products for their moisturizing and emolliating properties, respectively. |
| S6 | Glycerin |
| GC-MS Identified Compounds | CAS | Name | log Kow | Presence in Material and Simulants | Simulant with the Highest Level |
|---|---|---|---|---|---|
| C1 | 96-76-4 | 2,4-di-tert-butyl phenol (2,4-DTBP) | 5.19 | M1 to M11 S1 to S5 | S5 |
| C2 | 82304-66-3 | 7,9-di-tert-butyl1-oxaspiro(4,5)deca-6,9-diene-2,8-dione (7,9-DTBO) | 3.55 | M1 to M11 S1 to S6 | S5 |
| C3 | 84-66-2 | Diethyl phthalate (DEP) | 2.70 | M1 to M11 S1 to S6 | S5 |
| C4 | 119-61-9 | Benzophenone (BP) | 3.18 | M4 to M11 S1 to S6 | S6 |
| C5 | 105-60-2 | Caprolactam | 0.66 | M1 to M11 S1 to S6 | S2 |
| C6 | 104-76-7 | 2-ethyl-1-hexanol (2-EH) | 2.73 | M5 to M11 | S4 |
| C7 | 1620-98-0 | 3,5-di-tert-butyl-4-hydroxyl-benzaldehyde (3,5-DTBH) | 4.20 | M3 to M10 S5 and S6 | S5 |
Disclaimer/Publisher’s Note: The statements, opinions and data contained in all publications are solely those of the individual author(s) and contributor(s) and not of MDPI and/or the editor(s). MDPI and/or the editor(s) disclaim responsibility for any injury to people or property resulting from any ideas, methods, instructions or products referred to in the content. |
© 2023 by the authors. Licensee MDPI, Basel, Switzerland. This article is an open access article distributed under the terms and conditions of the Creative Commons Attribution (CC BY) license (https://creativecommons.org/licenses/by/4.0/).
Share and Cite
Bou-Maroun, E.; Dahbi, L.; Dujourdy, L.; Ferret, P.-J.; Chagnon, M.-C. Migration Studies and Endocrine Disrupting Activities: Chemical Safety of Cosmetic Plastic Packaging. Polymers 2023, 15, 4009. https://doi.org/10.3390/polym15194009
Bou-Maroun E, Dahbi L, Dujourdy L, Ferret P-J, Chagnon M-C. Migration Studies and Endocrine Disrupting Activities: Chemical Safety of Cosmetic Plastic Packaging. Polymers. 2023; 15(19):4009. https://doi.org/10.3390/polym15194009
Chicago/Turabian StyleBou-Maroun, Elias, Laurence Dahbi, Laurence Dujourdy, Pierre-Jacques Ferret, and Marie-Christine Chagnon. 2023. "Migration Studies and Endocrine Disrupting Activities: Chemical Safety of Cosmetic Plastic Packaging" Polymers 15, no. 19: 4009. https://doi.org/10.3390/polym15194009
APA StyleBou-Maroun, E., Dahbi, L., Dujourdy, L., Ferret, P.-J., & Chagnon, M.-C. (2023). Migration Studies and Endocrine Disrupting Activities: Chemical Safety of Cosmetic Plastic Packaging. Polymers, 15(19), 4009. https://doi.org/10.3390/polym15194009

