Sign in to use this feature.

Years

Between: -

Subjects

remove_circle_outline
remove_circle_outline
remove_circle_outline
remove_circle_outline
remove_circle_outline
remove_circle_outline
remove_circle_outline

Journals

remove_circle_outline
remove_circle_outline
remove_circle_outline
remove_circle_outline
remove_circle_outline
remove_circle_outline
remove_circle_outline
remove_circle_outline

Article Types

Countries / Regions

remove_circle_outline
remove_circle_outline
remove_circle_outline
remove_circle_outline
remove_circle_outline
remove_circle_outline

Search Results (857)

Search Parameters:
Keywords = KEAP-1

Order results
Result details
Results per page
Select all
Export citation of selected articles as:
8 pages, 612 KB  
Brief Report
Gene Expression of Nrf2 and KEAP1 in Monocytes of Patients with Chronic Kidney Disease (CKD)
by Ahmed Timimi, Subagini Nagarajah, Martin Tepel and Alexandra Scholze
Int. J. Mol. Sci. 2025, 26(19), 9693; https://doi.org/10.3390/ijms26199693 - 5 Oct 2025
Viewed by 282
Abstract
In chronic kidney disease (CKD), oxidative stress and inflammation contribute to disease progression and CKD-related morbidity. The nuclear factor erythroid 2-related factor 2 (Nrf2) system plays a central role in the cellular response to oxidative and inflammatory stress. In this brief report, we [...] Read more.
In chronic kidney disease (CKD), oxidative stress and inflammation contribute to disease progression and CKD-related morbidity. The nuclear factor erythroid 2-related factor 2 (Nrf2) system plays a central role in the cellular response to oxidative and inflammatory stress. In this brief report, we describe our investigation into whether alterations in the gene expression of key Nrf2 pathway components contribute to the endogenous activation of the Nrf2 system previously reported in less advanced CKD. To this end, we quantified the gene expression of Nrf2, its regulatory protein Kelch-like ECH-associated protein 1 (KEAP1), and the Nrf2 downstream target NAD(P)H:quinone oxidoreductase 1 (NQO1) in monocytes from patients in different stages of CKD. We observed significantly elevated NQO1 gene expression in CKD stage G3b compared to CKD stages G1-3a (p < 0.05), G4 (p < 0.01), and G5 (p < 0.001). In contrast, the gene expression levels of Nrf2 and KEAP1 did not differ significantly between CKD stages. These findings suggest that endogenous activation of the Nrf2 system in moderate CKD predominantly reflects functional activation, likely at the protein level, rather than changes in the gene expression of Nrf2 or KEAP1. Full article
(This article belongs to the Special Issue Role of NRF2 Pathway in Chronic Diseases)
Show Figures

Figure 1

27 pages, 827 KB  
Review
The Redox Paradox: Cancer’s Double-Edged Sword for Malignancy and Therapy
by Jyotsna Suresh Ranbhise, Manish Kumar Singh, Songhyun Ju, Sunhee Han, Hyeong Rok Yun, Sung Soo Kim and Insug Kang
Antioxidants 2025, 14(10), 1187; https://doi.org/10.3390/antiox14101187 - 28 Sep 2025
Viewed by 463
Abstract
Reactive oxygen species (ROS) function as critical signaling molecules in cancer biology, promoting proliferation, angiogenesis, and metastasis at controlled levels while inducing lethal damage when exceeding the cell’s buffering capacity. To survive under this state of chronic oxidative stress, cancer cells become dependent [...] Read more.
Reactive oxygen species (ROS) function as critical signaling molecules in cancer biology, promoting proliferation, angiogenesis, and metastasis at controlled levels while inducing lethal damage when exceeding the cell’s buffering capacity. To survive under this state of chronic oxidative stress, cancer cells become dependent on a hyperactive antioxidant shield, primarily orchestrated by the Nrf2, glutathione (GSH), and thioredoxin (Trx) systems. These defenses maintain redox homeostasis and sustain oncogenic signaling, notably through the oxidative inactivation of tumor-suppressor phosphatases, such as PTEN, which drives the PI3K/AKT/mTOR pathway. Targeting this addiction to a rewired redox state has emerged as a compelling therapeutic strategy. Pro-oxidant therapies aim to overwhelm cellular defenses, with agents like high-dose vitamin C and arsenic trioxide (ATO) showing significant tumor-selective toxicity. Inhibiting the master regulator Nrf2 with compounds such as Brusatol or ML385 disrupts the core antioxidant response. Disruption of the GSH system by inhibiting cysteine uptake with sulfasalazine or erastin potently induces ferroptosis, a non-apoptotic cell death driven by lipid peroxidation. Furthermore, the thioredoxin system is targeted by the repurposed drug auranofin, which irreversibly inhibits thioredoxin reductase (TrxR). Extensive preclinical data and ongoing clinical trials support the concept that this reliance on redox adaptation is a cancer-selective vulnerability. Moreover, novel therapeutic strategies, including the expanding field of redox-active metal complexes, such as manganese porphyrins, which strategically leverage the differential redox state of normal versus cancer cells through both pro-oxidant and indirect Nrf2-mediated antioxidative mechanisms (triggered by Keap1 oxidation), with several agents currently in advanced clinical trials, have also been discussed. Essentially, pharmacologically tipping the redox balance beyond the threshold of tolerance offers a rational and powerful approach to eliminate malignant cells, defining a novel frontier for targeted cancer therapy. Full article
(This article belongs to the Special Issue Redox Signaling in Cancer: Mechanisms and Therapeutic Opportunities)
Show Figures

Figure 1

16 pages, 4594 KB  
Article
Discovery of Deer Antler-Derived Antioxidant Peptides Through Computational and Cell-Based Approaches
by Yongxin Jiang, Jingxian Zheng, Yan Zhang, Yuyang Liu, Linlin Zeng and Weiwei Han
Antioxidants 2025, 14(10), 1169; https://doi.org/10.3390/antiox14101169 - 25 Sep 2025
Viewed by 410
Abstract
Oxidative stress, caused by excessive free radicals, leads to cellular damage and various diseases. Antioxidant peptides from natural proteins offer potential in alleviating this stress. In this study, antioxidant peptides were identified from deer antler proteins using in silico enzymatic hydrolysis and machine [...] Read more.
Oxidative stress, caused by excessive free radicals, leads to cellular damage and various diseases. Antioxidant peptides from natural proteins offer potential in alleviating this stress. In this study, antioxidant peptides were identified from deer antler proteins using in silico enzymatic hydrolysis and machine learning. Peptides with high prediction scores and non-toxic profiles were selected for evaluation. The antioxidant activities of top candidates, PHPAPTL and VPHGL, were confirmed by radical scavenging assays and their protective effects in HepG2 cells. Molecular dynamics simulations revealed stable binding of these peptides to Keap1, enhancing system stability and reducing residue fluctuations at the ligand-binding interface. Key interactions involved Arg415, Arg483, Arg380, and Ser555. Secondary structure analysis showed peptide binding induced local conformational transitions, notably increasing parallel β-sheet formation near active sites. These findings provide mechanistic insight into their antioxidant effects and support their potential application in functional food development. Full article
(This article belongs to the Special Issue Antioxidant Peptides)
Show Figures

Graphical abstract

28 pages, 4876 KB  
Article
Evaluating the Molecular Basis of Nanocalcium-Induced Health Regulation in Zebra Fish (Danio rerio)
by Madhubala Kumari, Aastha Tiwary, Rishav Sheel, Arnab Roy Chowdhury, Biplab Sarkar, Koel Mukherjee and Dipak Maity
Bioengineering 2025, 12(10), 1016; https://doi.org/10.3390/bioengineering12101016 - 24 Sep 2025
Viewed by 386
Abstract
The present study aimed to evaluate the impact of varying dietary concentrations of calcium oxide nanoparticles (CaO-NPs) on important health regulators in Zebra fish (Danio rerio) using integrative physiological, histopathological, and computational approaches. The co-precipitation method was used to synthesize NPs and [...] Read more.
The present study aimed to evaluate the impact of varying dietary concentrations of calcium oxide nanoparticles (CaO-NPs) on important health regulators in Zebra fish (Danio rerio) using integrative physiological, histopathological, and computational approaches. The co-precipitation method was used to synthesize NPs and characterization was performed through DLS, XRD, FESEM, EDX, and FTIR depicting spherical-shaped CaO-NPs with a hydrodynamic diameter of 91.2 nm. Adult Danio rerio were administered with three different feed regimes enriched with 2.4 (T1), 1.6 (T2), and 0.8 (T3) mg CaO-NPs/kg for 30 days. Growth, survival, NP accumulation, and histological assessments, and bioinformatic studies, were performed to understand interactions of NPs with fish metabolic proteins. The T3 group demonstrated the highest survival (75%) and weight gain (+39.31%), and exhibited the lowest accumulation of CaO-NPs in the brain (0.133 mg/L), liver (0.642 mg/L), and intestine (0.773 mg/L) with no evident histological alterations, whereas T1 group exhibited major liver and intestinal damage. Molecular docking targeting the NRF-2 oxidative stress pathway revealed strong binding affinities of NPs with catalase (−3.7), keap1a (−3.5), keap1b (−3.3), and mafk (−2.4), highlighting potential modulation of redox homeostasis. Hence, a 0.8mg CaO-NPs/kg feed dose is recommended to promote potential health benefits in Danio rerio, which can be further applicable to commercial aquaculture for enhanced fish health while minimizing toxicity. Full article
(This article belongs to the Special Issue Nano–Bio Interface—Second Edition)
Show Figures

Figure 1

15 pages, 1156 KB  
Article
Evaluation of Nrf2/Keap1 Pathway in Patients with Migraine
by Fatih Koçtürk, Firdevs Emekli, Kadir Eği and Seyithan Taysi
Medicina 2025, 61(10), 1732; https://doi.org/10.3390/medicina61101732 - 24 Sep 2025
Viewed by 319
Abstract
Background and Objectives: Migraine is the most common primary headache disorder worldwide, negatively affecting quality of life and limiting the functionality of individuals. Although its pathogenesis is not fully understood, it is known that activation of the trigeminovascular system, neurogenic inflammation, and [...] Read more.
Background and Objectives: Migraine is the most common primary headache disorder worldwide, negatively affecting quality of life and limiting the functionality of individuals. Although its pathogenesis is not fully understood, it is known that activation of the trigeminovascular system, neurogenic inflammation, and oxidative stress are among the main components of migraine. In this context, we aimed to investigate the possible role of the nuclear factor erythroid 2-related factor 2 (Nrf2)/Kelch-like ECH-associated protein 1 (Keap1) signaling pathway, which plays a key role in the regulation of cellular oxidative stress, in the development of chronic diseases such as migraine. Materials and Methods: In this study, the oxidative stress parameters total oxidant level (TOS), total antioxidant level (TAS), and oxidative stress index (OSI) and changes in the Nrf2/Keap1 signaling pathway were analyzed in migraine patients. Results: The results showed that Keap1 levels were significantly higher in migraine patients compared with the control group, whereas the Nrf2 and TAS levels were low. In addition, increased levels of oxidized LDL (oxLDL) and glycogen synthase kinase-3 beta (GSK3B), which are oxidative stress markers, confirmed that the oxidative stress burden was high in migraine patients. The fact that OSI values were significantly higher in migraine patients clearly demonstrates that systemic oxidative stress was out of balance in these individuals. Conclusions: In conclusion, this study reveals that oxidative stress and the Nrf2/Keap1 signaling pathway play an important role in the pathogenesis of migraine. Decreased Nrf2 activity and increased Keap1 levels suggest that the antioxidant defense system is insufficient in migraine patients. These findings suggest that the Nrf2/Keap1 signaling pathway may be considered as a potential target for migraine treatment and that the development of new treatment strategies to reduce oxidative stress may be beneficial. Full article
(This article belongs to the Section Neurology)
Show Figures

Figure 1

22 pages, 2458 KB  
Article
Betulinic Acid-Enriched Dillenia indica L. Bark Extract Attenuates UVB-Induced Skin Aging via KEAP1-Mediated Antioxidant Pathways
by Bo-Rim Song, Sunghwan Kim and Sang-Han Lee
Antioxidants 2025, 14(9), 1144; https://doi.org/10.3390/antiox14091144 - 22 Sep 2025
Viewed by 394
Abstract
The bark of Dillenia indica L. is a rich source of phenolic and triterpenoid compounds, including betulinic acid (BA), known for their antioxidant and anti-aging properties. This study investigated the antioxidant potential of a BA-enriched extract through a multidisciplinary approach combining computational, experimental, [...] Read more.
The bark of Dillenia indica L. is a rich source of phenolic and triterpenoid compounds, including betulinic acid (BA), known for their antioxidant and anti-aging properties. This study investigated the antioxidant potential of a BA-enriched extract through a multidisciplinary approach combining computational, experimental, and cell-based evaluations. Molecular docking and molecular dynamics simulations revealed that BA binds stably to Kelch-like ECH-associated protein 1 (KEAP1), suggesting activation of the nuclear factor erythroid 2-related factor 2 (Nrf2) pathway. Extraction conditions were optimized using response surface methodology (RSM) and artificial neural network (ANN) modeling, yielding the maximum total phenolic content (TPC; 85.33 ± 2.26 mg gallic acid equivalents/g) and total flavonoid content (TFC; 75.60 ± 1.66 mg catechin equivalents/g), with ANN demonstrating superior predictive performance compared to RSM. Electrospray ionization tandem mass spectrometry (ESI-MS/MS) confirmed the presence of BA in the optimized extract. Simulated gastrointestinal digestion revealed reductions in TPC, TFC, and radical scavenging activity during the gastric phase. In ultraviolet B (UVB)-irradiated human keratinocyte (HaCaT) cells, the optimized extract significantly reduced intracellular reactive oxygen species (ROS) and upregulated the KEAP1-Nrf2-heme oxygenase-1 (HO-1) pathway, confirming its antioxidant mechanism. These findings highlight the extract’s stability, bioactivity, and mechanistic efficacy, supporting its application as a nutraceutical ingredient for combating oxidative stress and skin aging. Full article
(This article belongs to the Special Issue Antioxidants and Oxidative Stress in Skin Health and Diseases)
Show Figures

Figure 1

27 pages, 1127 KB  
Review
Exploring the Interplay of Antioxidants, Inflammation, and Oxidative Stress: Mechanisms, Therapeutic Potential, and Clinical Implications
by Sumayyah Yousef Altanam, Nedal Darwish and Ahmed Bakillah
Diseases 2025, 13(9), 309; https://doi.org/10.3390/diseases13090309 - 22 Sep 2025
Viewed by 785
Abstract
Oxidative stress, resulting from an imbalance between reactive oxygen species (ROS) production and antioxidant defenses, is a major factor in chronic diseases such as cardiovascular disorders, neurodegeneration, diabetes, and cancer. Despite extensive research, current reviews often discuss antioxidants or inflammatory pathways separately, which [...] Read more.
Oxidative stress, resulting from an imbalance between reactive oxygen species (ROS) production and antioxidant defenses, is a major factor in chronic diseases such as cardiovascular disorders, neurodegeneration, diabetes, and cancer. Despite extensive research, current reviews often discuss antioxidants or inflammatory pathways separately, which limits their translational impact. The primary objective of this review is to present an integrated analysis of oxidative stress and inflammation, connecting molecular mechanisms with clinical evidence. We focus on the dual roles of natural and synthetic antioxidants in managing redox balance, regulating inflammatory signaling, and targeting new molecular pathways. Unlike previous work, this review emphasizes recent clinical findings, ongoing therapeutic challenges, and innovative strategies, including combination approaches and synthetic derivatives designed to improve effectiveness. By combining biochemical, preclinical, and clinical perspectives, we highlight both established knowledge and critical gaps. Ultimately, this review highlights the clinical significance of redox biology, clarifies the potential of antioxidant-based treatments, and outlines future research directions essential for translating these insights into effective therapies for chronic disease management. Full article
Show Figures

Figure 1

20 pages, 3197 KB  
Article
Sheng Mai San Mitigates Heat Stress-Induced Myocardial Injury by Coordinated Regulation of the Keap1-Nrf2-HO-1 and Stub1-HSF1 Signaling Pathways
by Jiaqi Dong, Qian Ma, Rong Yang, Xiaosong Zhang, Yongli Hua, Peng Ji, Wanling Yao, Ziwen Yuan and Yanming Wei
Antioxidants 2025, 14(9), 1140; https://doi.org/10.3390/antiox14091140 - 22 Sep 2025
Viewed by 407
Abstract
Heat stress (HS), a pervasive environmental stressor, significantly disrupts systemic physiological homeostasis, posing substantial threats to human and animal health. Sheng Mai San (SMS), a classic Traditional Chinese Medicine (TCM) formula, exerts its therapeutic effects by replenishing qi (the vital energy governing physiological [...] Read more.
Heat stress (HS), a pervasive environmental stressor, significantly disrupts systemic physiological homeostasis, posing substantial threats to human and animal health. Sheng Mai San (SMS), a classic Traditional Chinese Medicine (TCM) formula, exerts its therapeutic effects by replenishing qi (the vital energy governing physiological functions) and nourishing yin (the material basis responsible for moistening and cooling actions). This formula demonstrates significant efficacy in astringing sweating and preventing collapse. However, its precise molecular mechanisms against HS-induced myocardial injury remain incompletely elucidated. This study initially employed physicochemical analytical methods to determine the contents of total polysaccharides, saponins, and flavonoids in SMS and evaluated its antioxidant activity. Subsequently, both in vitro and in vivo rat models of HS were established to systematically assess the alterations in reactive oxygen species (ROS), antioxidant enzymes (GSH, SOD, CAT), and heat shock proteins (HSP70, HSP90) following SMS intervention, thereby investigating HS-induced myocardial injury and the protective effects of SMS. Furthermore, Western blot, immunofluorescence, and qRT-PCR techniques were utilized to quantitatively analyze key molecules in the Keap1-Nrf2-HO-1 and Stub1-HSF1 signaling pathways. The results demonstrated that total polysaccharides were the most concentrated in SMS, followed by total saponins. This formula exhibited potent free radical scavenging capacity against DPPH, ABTS, and OH, along with significant reducing activity. HS-induced myocardial injury reached its peak severity at 6-12 h post-stress exposure. SMS intervention effectively suppressed excessive ROS generation, enhanced the activities of antioxidant enzymes (GSH, SOD, and CAT), and downregulated HSP70 and HSP90 mRNA expression levels, thereby significantly mitigating cardiomyocyte damage. Mechanistic investigations revealed that SMS conferred cardioprotection through dual modulation of the Keap1-Nrf2-HO-1 and Stub1-HSF1 signaling pathways. This study not only provides a novel TCM-based therapeutic strategy for preventing and treating HS-related cardiovascular disorders but also establishes a crucial theoretical foundation for further exploration of SMS’s pharmacological mechanisms and clinical applications. Full article
(This article belongs to the Special Issue Exploring Biomarkers of Oxidative Stress in Health and Disease)
Show Figures

Graphical abstract

16 pages, 11378 KB  
Article
Manganese Deficiency Causes Testicular Developmental Disorders, Blood–Testis Barrier Damage, and Spermatogenesis Disruption via Nrf2-Mediated Oxidative Stress
by Dianyi Peng, Fuqing Feng, Heng Yin, Jianfei Zhao, Shanchuan Cao and Jingbo Liu
Nutrients 2025, 17(18), 3007; https://doi.org/10.3390/nu17183007 - 20 Sep 2025
Viewed by 545
Abstract
Background: Manganese (Mn) is a trace element essential for multiple physiological and biological processes. The testis plays a key role in male reproduction by producing sperm and synthesizing male hormones. This study investigates how Mn deficiency affects testicular development, spermatogenesis, and the [...] Read more.
Background: Manganese (Mn) is a trace element essential for multiple physiological and biological processes. The testis plays a key role in male reproduction by producing sperm and synthesizing male hormones. This study investigates how Mn deficiency affects testicular development, spermatogenesis, and the blood–testis barrier (BTB), and evaluates associated variations in oxidative stress to explore potential mechanisms. Methods: A Mn-deficient diet was used to induce Mn deficiency in mice, with MnCl2 administered via intraperitoneal injection. Mn levels in testicular tissue were measured by atomic absorption spectrometry. Testis and sperm morphology were assessed by H.E. and sperm staining. BTB markers were analyzed using immunofluorescence, Western blot, and qPCR. Oxidative stress was evaluated biochemically. Nrf2 pathway changes were detected by qPCR and Western blot. Results: The results indicated that Mn deficiency dramatically decreased the testicular index, caused abnormal testicular tissue structure, and significantly decreased Johnsen’s score. At the same time, sperm density and motility were significantly reduced, and the sperm deformity rate was significantly increased. In addition, the BTB function was impaired, as indicated by the significantly down-regulated expression of tight junction proteins including Occludin, ZO-1, JAM-A, and Claudin-11. As the oxidative stress levels increased, the mRNA and protein expression levels of molecules (including Nrf2 and HO-1) related to the Nrf2 signaling pathway were significantly down-regulated, while its inhibitor Keap1 exhibited significantly up-regulated expression. Notably, after supplementing MnCl2, all the above abnormal indicators were significantly improved. Conclusions: Mn deficiency can lead to testicular tissue damage, decreased sperm quality, and BTB dysfunction, and the potential mechanism is probably closely associated with the increase in the oxidative stress level mediated by the Nrf2 pathway. Full article
(This article belongs to the Special Issue A New Perspective: The Effect of Trace Elements on Human Health)
Show Figures

Figure 1

19 pages, 1379 KB  
Article
The Addition of Marigold Extract to the Diet Improved the Performance of Laying Hens in the Late Laying Period by Increasing Their Antioxidant Capacity, Lipid Metabolism, and Microbial Composition
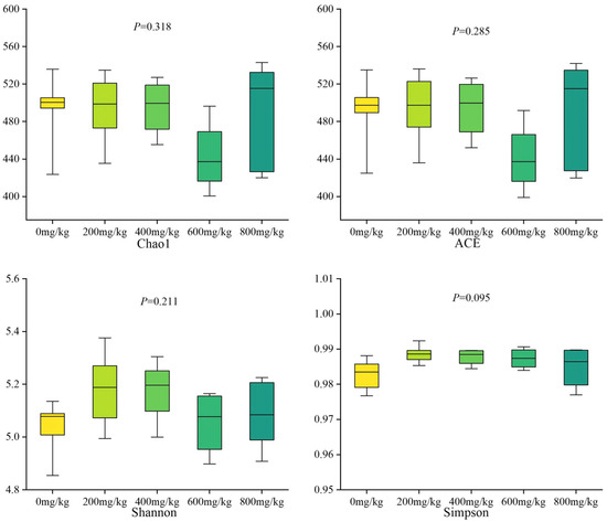
by Qiyue Yang, Keying Zhang, Jianping Wang, Shiping Bai, Qiufeng Zeng, Huanwei Peng, Yadong Mu, Yue Xuan, Shanshan Li and Xuemei Ding
Antioxidants 2025, 14(9), 1126; https://doi.org/10.3390/antiox14091126 - 17 Sep 2025
Viewed by 408
Abstract
The decrease in the production performance of laying hens during the later laying stage can be attributed to multiple factors, chief among them being oxidative stress and disrupted lipid metabolism. Quercetagetin, the active component of marigold extract, is a flavonoid whose polyhydroxy structure [...] Read more.
The decrease in the production performance of laying hens during the later laying stage can be attributed to multiple factors, chief among them being oxidative stress and disrupted lipid metabolism. Quercetagetin, the active component of marigold extract, is a flavonoid whose polyhydroxy structure has greater antioxidant capacity than other flavonoids. In this study, we determined whether adding marigold extract to the diet can improve the antioxidant capacity and lipid metabolism of late-laying hens to increase their performance. In total, 800 Lohmann laying hens (45 weeks old) were randomly assigned to five treatment groups, each consisting of eight replicates (20 hens per replicate). Throughout the experiment, which lasted 24 weeks, the hens were fed diets containing 0, 200, 400, 600, or 800 mg/kg marigold extract. The results of the study showed that the addition of marigold extract to the feed significantly increased the egg production rate and qualified egg rate and reduced the feed-to-egg ratio; it also reduced the levels of oxidized products in eggs, serum, and liver, and improved the antioxidant capacity of the organism. Mechanistic studies showed that marigold extract could activate the Keap1-Nrf2 signaling pathway and up-regulate the gene expression of CAT, SOD, GPX, and Nrf2. In addition, marigold extract increased HDL and VLDL content in the liver, decreased TC and LDL content, and alteration of the cecal microbial composition. In conclusion, marigold extract showed good application value and potential as a safe and effective antioxidant additive in the late laying stage of laying hens. Full article
(This article belongs to the Section Antioxidant Enzyme Systems)
Show Figures

Figure 1

42 pages, 1810 KB  
Review
Reactive Sulfur Species and Protein Persulfidation: An Emerging Redox Axis in Human Health and Disease
by Celia María Curieses Andrés, Fernando Lobo, José Manuel Pérez de la Lastra, Elena Bustamante Munguira, Celia Andrés Juan and Eduardo Pérez Lebeña
Curr. Issues Mol. Biol. 2025, 47(9), 765; https://doi.org/10.3390/cimb47090765 - 16 Sep 2025
Viewed by 643
Abstract
Reactive sulfur species (RSS)—hydrogen sulfide (H2S), low-molecular-weight persulfides/polysulfides and protein persulfidation—constitute a third redox axis alongside ROS and RNS. Nanomolar H2S, produced by trans-sulfuration (CBS/CSE) and 3-MST, is oxidized by sulfide–quinone reductase to persulfides that fuel the respiratory chain [...] Read more.
Reactive sulfur species (RSS)—hydrogen sulfide (H2S), low-molecular-weight persulfides/polysulfides and protein persulfidation—constitute a third redox axis alongside ROS and RNS. Nanomolar H2S, produced by trans-sulfuration (CBS/CSE) and 3-MST, is oxidized by sulfide–quinone reductase to persulfides that fuel the respiratory chain while curbing superoxide. Reversible persulfidation reprograms cysteine sensors in metabolism (GAPDH), inflammation (NLRP3, p47phox) and transcription (Keap1/NRF2), linking RSS to energy balance, vasodilation, innate immunity and neuroplasticity. Disrupted sulfur signaling—deficit or overload—contributes to heart failure, sarcopenia, neurodegeneration, cancer and post-COVID syndromes. Therapeutically, slow-release donors (SG1002, GYY4137), mitochondria-targeted vectors (AP39), photo- or thiol-activated “smart” scaffolds, diet-derived polysulfides/isothiocyanates and microbiota engineering aim to restore the protective RSS window. Key challenges are a narrow therapeutic margin and real-time quantification of persulfide fluxes. Harnessing RSS therefore offers a route to rebalance redox homeostasis across diverse chronic diseases. Full article
Show Figures

Figure 1

21 pages, 1652 KB  
Article
Comparative Molecular Profiling and Bioactivity Analysis of Algerian Propolis: Antioxidant, Antibacterial Activities, and In Silico NRF2-KEAP1 Pathway Modulation
by Amel Reguig, Ahmed Messai, Ibtissam Kahina Bedaida, Diana C. G. A. Pinto, Chawki Bensouici, Abdelmoneim Tarek Ouamane, Artur M. S. Silva and Jean-Philippe Roy
Curr. Issues Mol. Biol. 2025, 47(9), 761; https://doi.org/10.3390/cimb47090761 - 15 Sep 2025
Viewed by 490
Abstract
Propolis, a natural bee-derived product rich in diverse phytochemicals with potential therapeutic benefits, remains underexplored in Algeria. This study investigated the molecular profile, antioxidant capacity, and antibacterial activity of propolis sourced from two bioclimatically distinct Algerian regions (humid subtropical Batna and hot desert [...] Read more.
Propolis, a natural bee-derived product rich in diverse phytochemicals with potential therapeutic benefits, remains underexplored in Algeria. This study investigated the molecular profile, antioxidant capacity, and antibacterial activity of propolis sourced from two bioclimatically distinct Algerian regions (humid subtropical Batna and hot desert Biskra) using electrospray ionization mass spectrometry, ultra-high-performance liquid chromatography with diode array detection, and gas chromatography–mass spectrometry. Significant regional variations were observed, with propolis extract 2 (PE2) exhibiting a higher bioactive content, including a constituent not previously reported in propolis. Antioxidant assays (2,2-diphenyl-1-picrylhydrazyl, 2,2′-azino-bis (3-ethylbenzothiazoline-6-sulfonic acid), ferric reducing antioxidant power, and phenanthroline) demonstrated that PE2 consistently outperformed propolis extract 1 and the reference standards (DPPH IC50: 27.74 µg/mL; FRAP: 5.16 µg/mL). Antibacterial testing demonstrated potent bactericidal effects, particularly for PE2, with minimum inhibitory concentration values equivalent to the minimum bactericidal concentrations required against Staphylococcus aureus ATCC 25923 (18.75 µg/mL) and Escherichia coli ATCC 25922 (133 µg/mL). Molecular docking identified nine bioactive compounds with high KEAP1 binding affinity, with 1,3-O-caffeoyl-dihydrocaffeoylglycerol (first time reported in propolis) showing the strongest binding affinity (−11.02 Kcal/mol). In silico pharmacokinetic predictions further verified its drug-like properties. These findings suggest the tested Algerian propolis samples, as a source of natural alternative antioxidants and antimicrobials, provide a basis for future research in drug discovery and development. Full article
Show Figures

Figure 1

31 pages, 9126 KB  
Article
Integrated Phytochemical Profiling, GC-MS Characterization, and In Silico, In Vitro Evaluation of Synergistic Antimicrobial, Antioxidant, and Anti-Inflammatory Activities of Morus alba Bark and Pinus densiflora Extracts with Methyl Gallate
by Muhammad Aleem Abbas, Ga-Yeong Lee, Syed Al Jawad Sayem, Seung-Jin Lee and Seung-Chun Park
Antioxidants 2025, 14(9), 1114; https://doi.org/10.3390/antiox14091114 - 13 Sep 2025
Viewed by 728
Abstract
The growing challenge of antibiotic resistance and inflammation-related disorders calls for safe, multi-target therapeutic strategies. Morus alba (MOAL) and Pinus densiflora (PIDE) are known for their medicinal properties, yet their combined potential with methyl gallate (MG) has not been fully explored. In this [...] Read more.
The growing challenge of antibiotic resistance and inflammation-related disorders calls for safe, multi-target therapeutic strategies. Morus alba (MOAL) and Pinus densiflora (PIDE) are known for their medicinal properties, yet their combined potential with methyl gallate (MG) has not been fully explored. In this study, the phytochemical composition of MOAL and PIDE was characterized using GC–MS, and their combined antimicrobial, antioxidant, and anti-inflammatory activities were evaluated. Hydroethanolic extracts were prepared and assessed for antioxidant activity (DPPH assay), antibacterial activity (disk diffusion, MIC, time kill), and nitric oxide (NO) suppression in Lipopolysaccharide (LPS)-stimulated macrophages, alongside MTT cytotoxicity screening. MOAL exhibited a higher extraction efficiency, reaching 500 mg/mL at 4 h, whereas Pinus achieved 450 mg/mL at the same time point. Both exhibited a diverse and abundant phytochemical profile. The optimized blend (MOAL:PIDE:MG, 1:1:0.1) demonstrated significantly enhanced bioactivity, with over 90% DPPH scavenging with the low IC50 value (66.62 mg/mL), potent inhibition of both Gram-positive and Gram-negative bacteria, and the strongest effect against Staphylococcus aureus (264 μg/mL). Time-kill assays confirmed rapid bactericidal action, and NO production was reduced by approximately 75% without cytotoxicity. Molecular docking identified a lead multi-target compound exhibiting strong binding affinities to COX-2, TNF-α, and Keap1, supporting its observed anti-inflammatory and antioxidant potential. These findings highlight the promise of synergistic phytochemical formulations as broad-spectrum, multifunctional therapeutic candidates, supporting further in vivo and clinical validation. Full article
Show Figures

Graphical abstract

26 pages, 1663 KB  
Review
The Role of Reactive Oxygen Species in Lung Cancer Development: Nanomedicine as a Therapeutic Strategy
by Manuel Olazábal-Morán, Elena Pérez, Adrián Esteban-Arranz and Antonio Garrido
Biomolecules 2025, 15(9), 1316; https://doi.org/10.3390/biom15091316 - 13 Sep 2025
Viewed by 812
Abstract
Lung cancer remains a leading cause of mortality worldwide, driven by increased tobacco use, industrialization, and air pollution. Despite advancements in diagnostics and treatments, effective therapies are still lacking. Reactive oxygen species (ROS) play a dual role in cancer development, regulating key signaling [...] Read more.
Lung cancer remains a leading cause of mortality worldwide, driven by increased tobacco use, industrialization, and air pollution. Despite advancements in diagnostics and treatments, effective therapies are still lacking. Reactive oxygen species (ROS) play a dual role in cancer development, regulating key signaling pathways and activating cell death pathways, making them a promising target for new drugs. Research shows that wild-type NRF2/KEAP1 lung tumors, which account for about 60% of lung malignancies, are sensitive to ROS induction, and mutated EGFR1 lung tumors exhibit high ROS levels. Proteolysis-targeting chimeras (PROTACs) have emerged as a promising alternative to small molecule inhibitors (SMIs) for cancer treatment, addressing limitations like undruggability and drug resistance. However, these face challenges such as limited cell penetration and potential toxic side effects. Nanotechnology has introduced “nano-PROTACs,” enhancing tissue accumulation, membrane permeability, and controlled release. In this review, the keystones of ROS in lung cancer will be summarized. Also, a potential therapy for tumors with wild-type NRF2 involving the delivery of ROS inductor nano-PROTAC will be designed. This potential therapy could suppose a potential therapeutic strategy for lung cancer patients with these genetic characteristics. Full article
Show Figures

Figure 1

19 pages, 2851 KB  
Article
Short-Term Effects of Dietary Selenomethionine Supplementation on Hepatic and Renal Transcriptomic Alterations Induced by Ochratoxin a in Broiler Chickens
by Benjamin Kövesi, Szabina Kulcsár, Zsolt Ancsin, Márta Erdélyi, Erika Zándoki, Márk Tóth, Patrik Gömbös, Ágnes Freiler-Nagy, Krisztián Balogh and Miklós Mézes
Toxins 2025, 17(9), 460; https://doi.org/10.3390/toxins17090460 - 12 Sep 2025
Viewed by 430
Abstract
Ochratoxin A (OTA), a mycotoxin commonly found in poultry feed, induces oxidative stress and disrupts redox homeostasis in vital organs such as the liver and kidneys. Selenium (Se), an essential trace element, may mitigate OTA-induced toxicity by supporting the antioxidant defense systems. This [...] Read more.
Ochratoxin A (OTA), a mycotoxin commonly found in poultry feed, induces oxidative stress and disrupts redox homeostasis in vital organs such as the liver and kidneys. Selenium (Se), an essential trace element, may mitigate OTA-induced toxicity by supporting the antioxidant defense systems. This study investigated the short-term effects of dietary selenomethionine (SeMet) supplementation on OTA-induced oxidative and transcriptional responses in broiler chickens. Fifty-four 3-week-old birds were fed diets containing 2 mg/kg OTA, a target supplementation of 0.5 mg/kg Se (measured as 0.59 mg/kg as SeMet), or a combination of the two for five days. Liver and kidney samples were collected on Days 1 and 5 for biochemical and gene expression analyses. Exposure to OTA significantly modulated the expression of redox-sensitive transcription factors (NRF2, KEAP1), selenoproteins (GPX3, GPX4, SELK), and detoxification-related genes (AHR, AHRR, CYP1A2). SeMet alone enhanced selenoenzyme expression and antioxidant capacity, while co-exposure partially attenuated OTA-induced oxidative stress, resulting in more pronounced NRF2 activation in the kidneys and CYP1A2 induction in the liver. This is the first study to characterize the transcriptomic responses to OTA exposure in poultry within the first five days, providing novel insight into organ-specific mechanisms and emphasizing the epidemiological relevance of Se supplementation in mitigating the risk of feed contamination. Full article
(This article belongs to the Special Issue Mycotoxins—Biomonitoring and Exposure)
Show Figures

Figure 1

Back to TopTop