Sign in to use this feature.

Years

Between: -

Subjects

remove_circle_outline
remove_circle_outline
remove_circle_outline
remove_circle_outline
remove_circle_outline
remove_circle_outline

Journals

Article Types

Countries / Regions

Search Results (28)

Search Parameters:
Keywords = Jacobi matrices

Order results
Result details
Results per page
Select all
Export citation of selected articles as:
19 pages, 744 KB  
Article
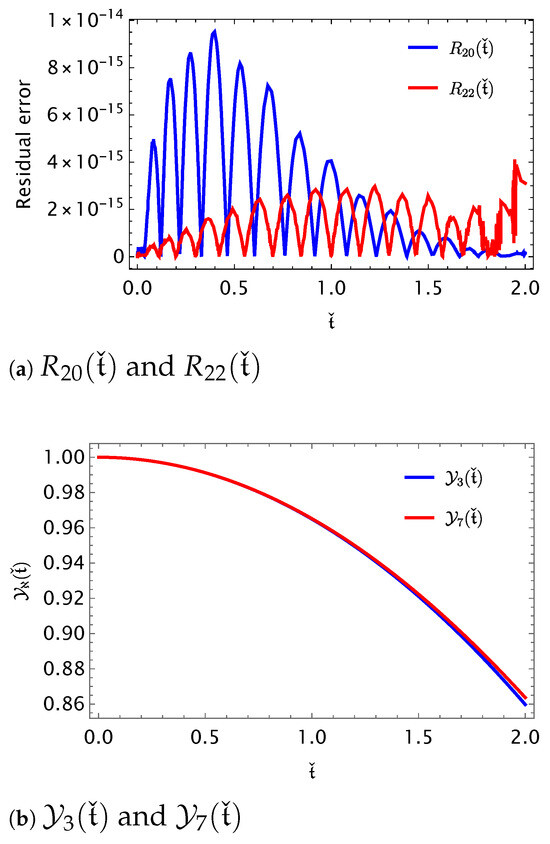
A Spectral Approach to Solve High-Order Ordinary Differential Equations: Improved Operational Matrices for Exponential Jacobi Functions
by Hany Mostafa Ahmed
Mathematics 2025, 13(19), 3154; https://doi.org/10.3390/math13193154 - 2 Oct 2025
Abstract
This paper presents a novel numerical approach to handling ordinary differential equations (ODEs) with initial conditions (ICs) by introducing generalized exponential Jacobi functions (GEJFs). These GFJFs satisfy the associated ICs. A crucial part of this approach is using the spectral collocation method (SCM) [...] Read more.
This paper presents a novel numerical approach to handling ordinary differential equations (ODEs) with initial conditions (ICs) by introducing generalized exponential Jacobi functions (GEJFs). These GFJFs satisfy the associated ICs. A crucial part of this approach is using the spectral collocation method (SCM) and building operational matrices (OMs) for the ordinary derivatives (ODs) of GEJFs. These lead to efficient and accurate computations. The suggested algorithm’s convergence and error analysis is proved. We present numerical examples to demonstrate the applicability of the approach. Full article
(This article belongs to the Special Issue Computational Methods for Numerical Linear Algebra)
Show Figures

Figure 1

14 pages, 730 KB  
Article
A Configurable Parallel Architecture for Singular Value Decomposition of Correlation Matrices
by Luis E. López-López, David Luviano-Cruz, Juan Cota-Ruiz, Jose Díaz-Roman, Ernesto Sifuentes, Jesús M. Silva-Aceves and Francisco J. Enríquez-Aguilera
Electronics 2025, 14(16), 3321; https://doi.org/10.3390/electronics14163321 - 21 Aug 2025
Viewed by 553
Abstract
Singular value decomposition (SVD) plays a critical role in signal processing, image analysis, and particularly in MIMO channel estimation, where it enables spatial multiplexing and interference mitigation. This study presents a configurable parallel architecture for computing SVD on 4 × 4 and 8 [...] Read more.
Singular value decomposition (SVD) plays a critical role in signal processing, image analysis, and particularly in MIMO channel estimation, where it enables spatial multiplexing and interference mitigation. This study presents a configurable parallel architecture for computing SVD on 4 × 4 and 8 × 8 correlation matrices using the Jacobi algorithm with Givens rotations, optimized via CORDIC. Exploiting algorithmic parallelism, the design achieves low-latency performance on a Virtex-5 FPGA, with processing times of 5.29 µs and 24.25 µs, respectively, while maintaining high precision and efficient resource usage. These results confirm the architecture’s suitability for real-time wireless systems with strict latency demands, such as those defined by the IEEE 802.11n standard. Full article
Show Figures

Figure 1

18 pages, 471 KB  
Article
A Spectral Approach to Variable-Order Fractional Differential Equations: Improved Operational Matrices for Fractional Jacobi Functions
by Hany M. Ahmed, Mohammad Izadi and Carlo Cattani
Mathematics 2025, 13(16), 2544; https://doi.org/10.3390/math13162544 - 8 Aug 2025
Viewed by 365
Abstract
The current paper presents a novel numerical technique to handle variable-order multiterm fractional differential equations (VO-MTFDEs) supplemented with initial conditions (ICs) by introducing generalized fractional Jacobi functions (GFJFs). These GFJFs satisfy the associated ICs. A crucial part of this approach is using the [...] Read more.
The current paper presents a novel numerical technique to handle variable-order multiterm fractional differential equations (VO-MTFDEs) supplemented with initial conditions (ICs) by introducing generalized fractional Jacobi functions (GFJFs). These GFJFs satisfy the associated ICs. A crucial part of this approach is using the spectral collocation method (SCM) and building operational matrices (OMs) for both integer-order and variable-order fractional derivatives in the context of GFJFs. These lead to efficient and accurate computations. The suggested algorithm’s convergence and error analysis are proved. The feasibility of the suggested procedure is confirmed via five numerical test examples. Full article
Show Figures

Figure 1

18 pages, 861 KB  
Article
Fast Quaternion Algorithm for Face Recognition
by Anita Carević and Ivan Slapničar
Mathematics 2025, 13(12), 1958; https://doi.org/10.3390/math13121958 - 13 Jun 2025
Cited by 1 | Viewed by 284
Abstract
Quaternions extend the concept of complex numbers and have significant applications in image processing, as they provide an efficient way to represent RGB images. One interesting application is face recognition, which aims to identify a person in a given image. In this paper, [...] Read more.
Quaternions extend the concept of complex numbers and have significant applications in image processing, as they provide an efficient way to represent RGB images. One interesting application is face recognition, which aims to identify a person in a given image. In this paper, we propose an algorithm for face recognition that models images using quaternion matrices. To manage the large size of these matrices, our method projects them onto a carefully chosen subspace, reducing their dimensionality while preserving relevant information. An essential part of our algorithm is the novel Jacobi method we developed to solve the quaternion Hermitian eigenproblem. The algorithm’s effectiveness is demonstrated through numerical tests on a widely used database for face recognition. The results demonstrate that our approach, utilizing only a few eigenfaces, achieves comparable recognition accuracy. This not only enhances execution speed but also enables the processing of larger images. All algorithms are implemented in the Julia programming language, which allows for low execution times and the capability to handle larger image dimensions. Full article
(This article belongs to the Section E: Applied Mathematics)
Show Figures

Figure 1

21 pages, 320 KB  
Article
Combined Matrix of a Tridiagonal Toeplitz Matrix
by Begoña Cantó, Rafael Cantó and Ana Maria Urbano
Axioms 2025, 14(5), 375; https://doi.org/10.3390/axioms14050375 - 16 May 2025
Viewed by 526
Abstract
In this work, combined matrices of tridiagonal Toeplitz matrices are studied. The combined matrix is known as the Relative Gain Array in control theory. In particular, given a real tridiagonal Toeplitz matrix of order n, the characterization of its combined matrix as [...] Read more.
In this work, combined matrices of tridiagonal Toeplitz matrices are studied. The combined matrix is known as the Relative Gain Array in control theory. In particular, given a real tridiagonal Toeplitz matrix of order n, the characterization of its combined matrix as a bisymmetric and doubly quasi-stochastic matrix is studied. Furthermore, this paper addresses the inverse problem, that is, given a bisymmetric, doubly quasi-stochastic tridiagonal Jacobi matrix U of order n, determine under what conditions there exists a real tridiagonal Toeplitz matrix A such that its combined matrix is U. Full article
Show Figures

Figure 1

19 pages, 491 KB  
Article
On the Pseudospectral Method for Solving the Fractional Klein–Gordon Equation Using Legendre Cardinal Functions
by Tao Liu, Bolin Ding, Behzad Nemati Saray, Davron Aslonqulovich Juraev and Ebrahim E. Elsayed
Fractal Fract. 2025, 9(3), 177; https://doi.org/10.3390/fractalfract9030177 - 14 Mar 2025
Cited by 2 | Viewed by 751
Abstract
This work introduces the Legendre cardinal functions for the first time. Based on Jacobi and Lobatto grids, two approaches are employed to determine these basis functions. These functions are then utilized within the pseudospectral method to solve the fractional Klein–Gordon equation (FKGE). Two [...] Read more.
This work introduces the Legendre cardinal functions for the first time. Based on Jacobi and Lobatto grids, two approaches are employed to determine these basis functions. These functions are then utilized within the pseudospectral method to solve the fractional Klein–Gordon equation (FKGE). Two numerical schemes based on the pseudospectral method are considered. The first scheme reformulates the given equation into a corresponding integral equation and solves it. The second scheme directly addresses the problem by utilizing the matrix representation of the Caputo fractional derivative operator. We provide a convergence analysis and present numerical experiments to demonstrate the convergence of the schemes. The convergence analysis shows that convergence depends on the smoothness of the unknown function. Notable features of the proposed approaches include a reduction in computations due to the cardinality property of the basis functions, matrices representing fractional derivative and integral operators, and the ease of implementation. Full article
Show Figures

Figure 1

13 pages, 352 KB  
Article
A Robust Hermitian and Skew-Hermitian Based Multiplicative Splitting Iterative Method for the Continuous Sylvester Equation
by Mohammad Khorsand Zak and Abbas Abbaszadeh Shahri
Mathematics 2025, 13(2), 318; https://doi.org/10.3390/math13020318 - 20 Jan 2025
Cited by 2 | Viewed by 1087
Abstract
For solving the continuous Sylvester equation, a class of Hermitian and skew-Hermitian based multiplicative splitting iteration methods is presented. We consider two symmetric positive definite splittings for each coefficient matrix of the continuous Sylvester equations, and it can be equivalently written as two [...] Read more.
For solving the continuous Sylvester equation, a class of Hermitian and skew-Hermitian based multiplicative splitting iteration methods is presented. We consider two symmetric positive definite splittings for each coefficient matrix of the continuous Sylvester equations, and it can be equivalently written as two multiplicative splitting matrix equations. When both coefficient matrices in the continuous Sylvester equation are (non-symmetric) positive semi-definite, and at least one of them is positive definite, we can choose Hermitian and skew-Hermitian (HS) splittings of matrices A and B in the first equation, and the splitting of the Jacobi iterations for matrices A and B in the second equation in the multiplicative splitting iteration method. Convergence conditions of this method are studied in depth, and numerical experiments show the efficiency of this method. Moreover, by numerical computation, we show that multiplicative splitting can be used as a splitting preconditioner and induce accurate, robust and effective preconditioned Krylov subspace iteration methods for solving the continuous Sylvester equation. Full article
Show Figures

Figure 1

16 pages, 2433 KB  
Article
The Case for Adopting the Sequential Jacobi’s Diagonalization Algorithm in Neutrino Oscillation Physics
by Gustavo A. Valdiviesso
Symmetry 2024, 16(12), 1617; https://doi.org/10.3390/sym16121617 - 6 Dec 2024
Viewed by 760
Abstract
Neutrino flavor oscillations and conversion in an interacting background (MSW effects) may reveal the charge-parity violation in the next generation of neutrino experiments. The usual approach for studying these effects is to numerically integrate the Schrödinger equation, recovering the neutrino mixing matrix and [...] Read more.
Neutrino flavor oscillations and conversion in an interacting background (MSW effects) may reveal the charge-parity violation in the next generation of neutrino experiments. The usual approach for studying these effects is to numerically integrate the Schrödinger equation, recovering the neutrino mixing matrix and its parameters from the solution. This work suggests using the classical Jacobi’s diagonalization in combination with a reordering procedure to produce a new algorithm, the Sequential Jacobi Diagonalization. This strategy separates linear algebra operations from numerical integration, allowing physicists to study how the oscillation parameters are affected by adiabatic MSW effects in a more efficient way. The mixing matrices at every point of a given parameter space can be stored for speeding up other calculations such as model fitting and Monte Carlo productions. This approach has two major computation advantages, namely, being trivially parallelizable, making it a suitable choice for concurrent computation, and allowing for quasi-model-independent solutions which simplify Beyond Standard Model searches. Full article
(This article belongs to the Section Computer)
Show Figures

Figure 1

21 pages, 359 KB  
Article
Ternary Associativity and Ternary Lie Algebras at Cube Roots of Unity
by Viktor Abramov
Axioms 2024, 13(10), 687; https://doi.org/10.3390/axioms13100687 - 3 Oct 2024
Viewed by 1035
Abstract
We propose a new approach to extend the notion of commutator and Lie algebra to algebras with ternary multiplication laws. Our approach is based on the ternary associativity of the first and second kinds. We propose a ternary commutator, which is a linear [...] Read more.
We propose a new approach to extend the notion of commutator and Lie algebra to algebras with ternary multiplication laws. Our approach is based on the ternary associativity of the first and second kinds. We propose a ternary commutator, which is a linear combination of six triple products (all permutations of three elements). The coefficients of this linear combination are the cube roots of unity. We find an identity for the ternary commutator that holds due to the ternary associativity of either the first or second kind. The form of this identity is determined by the permutations of the general affine group GA(1,5)S5. We consider this identity as a ternary analog of the Jacobi identity. Based on the results obtained, we introduce the concept of a ternary Lie algebra at cube roots of unity and provide examples of such algebras constructed using ternary multiplications of rectangular and three-dimensional matrices. We also highlight the connection between the structure constants of a ternary Lie algebra with three generators and an irreducible representation of the rotation group. The classification of two-dimensional ternary Lie algebras at cube roots of unity is proposed. Full article
(This article belongs to the Special Issue Recent Advances in Representation Theory with Applications)
16 pages, 713 KB  
Article
On Fourier Series in the Context of Jacobi Matrices
by José M. A. Matos, Paulo B. Vasconcelos and José A. O. Matos
Axioms 2024, 13(9), 581; https://doi.org/10.3390/axioms13090581 - 27 Aug 2024
Viewed by 1274
Abstract
We investigate the properties of matrices that emerge from the application of Fourier series to Jacobi matrices. Specifically, we focus on functions defined by the coefficients of a Fourier series expressed in orthogonal polynomials. In the operational formulation of integro-differential problems, these infinite [...] Read more.
We investigate the properties of matrices that emerge from the application of Fourier series to Jacobi matrices. Specifically, we focus on functions defined by the coefficients of a Fourier series expressed in orthogonal polynomials. In the operational formulation of integro-differential problems, these infinite matrices play a fundamental role. We have derived precise calculation formulas for their elements, enabling exact computation of these operational matrices. Numerical results illustrate the effectiveness of our approach. Full article
(This article belongs to the Special Issue Advanced Approximation Techniques and Their Applications, 2nd Edition)
Show Figures

Figure 1

17 pages, 4598 KB  
Article
Parallel Inversion of 3D Airborne Transient Electromagnetic Data Using an Approximate Jacobi Matrix
by Da Lei, Hao Ren, Ruo Wang, Zhongxing Wang and Changmin Fu
Remote Sens. 2024, 16(11), 1830; https://doi.org/10.3390/rs16111830 - 21 May 2024
Viewed by 1305
Abstract
In geophysical inversion issues, the Jacobian matrix computation takes the greatest time, and it is the most significant factor limiting the inversion’s calculation speed. We think that the correctness of the inverse problem is determined by the difference between the inversion data and [...] Read more.
In geophysical inversion issues, the Jacobian matrix computation takes the greatest time, and it is the most significant factor limiting the inversion’s calculation speed. We think that the correctness of the inverse problem is determined by the difference between the inversion data and the real data, not the precision of the gradient solution in each iteration. Based on this, we present an approximate computation approach for the Jacobian matrix that may rapidly solve the inverse issue by estimating the gradient information. In this research, the approximate gradient information is solved in each iteration process, and the approximate gradient is utilized for computation; nevertheless, the poor fitting of the evaluation data is correctly evaluated, and the inversion model that fits the criteria is achieved. We employed this approach of estimating the Jacobian matrix to invert the 3D airborne transient electromagnetic method (ATEM) on synthetic data, and it was able to significantly minimize the time necessary for the inversion while maintaining inversion accuracy. When the model mesh is more precise, this technique outperforms the previous way of finding the exact Jacobian matrix in terms of acceleration. Full article
Show Figures

Figure 1

28 pages, 1656 KB  
Article
Construction of Fractional Pseudospectral Differentiation Matrices with Applications
by Wenbin Li, Hongjun Ma and Tinggang Zhao
Axioms 2024, 13(5), 305; https://doi.org/10.3390/axioms13050305 - 4 May 2024
Cited by 1 | Viewed by 1668
Abstract
Differentiation matrices are an important tool in the implementation of the spectral collocation method to solve various types of problems involving differential operators. Fractional differentiation of Jacobi orthogonal polynomials can be expressed explicitly through Jacobi–Jacobi transformations between two indexes. In the current paper, [...] Read more.
Differentiation matrices are an important tool in the implementation of the spectral collocation method to solve various types of problems involving differential operators. Fractional differentiation of Jacobi orthogonal polynomials can be expressed explicitly through Jacobi–Jacobi transformations between two indexes. In the current paper, an algorithm is presented to construct a fractional differentiation matrix with a matrix representation for Riemann–Liouville, Caputo and Riesz derivatives, which makes the computation stable and efficient. Applications of the fractional differentiation matrix with the spectral collocation method to various problems, including fractional eigenvalue problems and fractional ordinary and partial differential equations, are presented to show the effectiveness of the presented method. Full article
(This article belongs to the Special Issue Fractional Calculus and the Applied Analysis)
Show Figures

Figure 1

17 pages, 590 KB  
Article
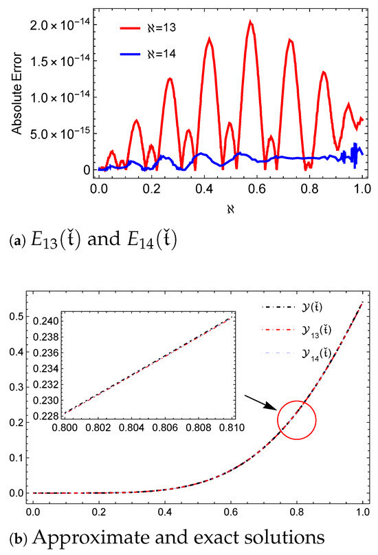
New Generalized Jacobi Polynomial Galerkin Operational Matrices of Derivatives: An Algorithm for Solving Boundary Value Problems
by Hany Mostafa Ahmed
Fractal Fract. 2024, 8(4), 199; https://doi.org/10.3390/fractalfract8040199 - 29 Mar 2024
Cited by 7 | Viewed by 1484
Abstract
In this study, we present a novel approach for the numerical solution of high-order ODEs and MTVOFDEs with BCs. Our method leverages a class of GSJPs that possess the crucial property of satisfying the given BCs. By establishing OMs for both the ODs [...] Read more.
In this study, we present a novel approach for the numerical solution of high-order ODEs and MTVOFDEs with BCs. Our method leverages a class of GSJPs that possess the crucial property of satisfying the given BCs. By establishing OMs for both the ODs and VOFDs of the GSJPs, we integrate them into the SCM, enabling efficient and accurate numerical computations. An error analysis and convergence study are conducted to validate the efficacy of the proposed algorithm. We demonstrate the applicability and accuracy of our method through eight numerical examples. Comparative analyses with prior research highlight the improved accuracy and efficiency achieved by our approach. The recommended approach exhibits excellent agreement between approximate and precise results in tables and graphs, demonstrating its high accuracy. This research contributes to the advancement of numerical methods for ODEs and MTVOFDEs with BCs, providing a reliable and efficient tool for solving complex BVPs with exceptional accuracy. Full article
(This article belongs to the Special Issue Feature Papers for Numerical and Computational Methods Section)
Show Figures

Figure 1

26 pages, 22673 KB  
Article
New Generalized Jacobi Galerkin Operational Matrices of Derivatives: An Algorithm for Solving Multi-Term Variable-Order Time-Fractional Diffusion-Wave Equations
by Hany Mostafa Ahmed
Fractal Fract. 2024, 8(1), 68; https://doi.org/10.3390/fractalfract8010068 - 18 Jan 2024
Cited by 23 | Viewed by 1899
Abstract
The current study discusses a novel approach for numerically solving MTVO-TFDWEs under various conditions, such as IBCs and DBCs. It uses a class of GSJPs that satisfy the given conditions (IBCs or DBCs). One of the important parts of our method is establishing [...] Read more.
The current study discusses a novel approach for numerically solving MTVO-TFDWEs under various conditions, such as IBCs and DBCs. It uses a class of GSJPs that satisfy the given conditions (IBCs or DBCs). One of the important parts of our method is establishing OMs for Ods and VOFDs of GSJPs. The second part is using the SCM by utilizing these OMs. This algorithm enables the extraction of precision and efficacy in numerical solutions. We provide theoretical assurances of the treatment’s efficacy by validating its convergent and error investigations. Four examples are offered to clarify the approach’s practicability and precision; in each one, the IBCs and DBCs are considered. The findings are compared to those of preceding studies, verifying that our treatment is more effective and precise than that of its competitors. Full article
(This article belongs to the Special Issue Feature Papers for Numerical and Computational Methods Section)
Show Figures

Figure 1

36 pages, 1351 KB  
Article
Cutting-Edge Monte Carlo Framework: Novel “Walk on Equations” Algorithm for Linear Algebraic Systems
by Venelin Todorov and Ivan Dimov
Axioms 2024, 13(1), 53; https://doi.org/10.3390/axioms13010053 - 15 Jan 2024
Cited by 1 | Viewed by 2336
Abstract
In this paper, we introduce the “Walk on Equations” (WE) Monte Carlo algorithm, a novel approach for solving linear algebraic systems. This algorithm shares similarities with the recently developed WE MC method by Ivan Dimov, Sylvain Maire, and Jean Michel Sellier. This method [...] Read more.
In this paper, we introduce the “Walk on Equations” (WE) Monte Carlo algorithm, a novel approach for solving linear algebraic systems. This algorithm shares similarities with the recently developed WE MC method by Ivan Dimov, Sylvain Maire, and Jean Michel Sellier. This method is particularly effective for large matrices, both real- and complex-valued, and shows significant improvements over traditional methods. Our comprehensive comparison with the Gauss–Seidel method highlights the WE algorithm’s superior performance, especially in reducing relative errors within fewer iterations. We also introduce a unique dominancy number, which plays a crucial role in the algorithm’s efficiency. A pivotal outcome of our research is the convergence theorem we established for the WE algorithm, demonstrating its optimized performance through a balanced iteration matrix. Furthermore, we incorporated a sequential Monte Carlo method, enhancing the algorithm’s efficacy. The most-notable application of our algorithm is in solving a large system derived from a finite-element approximation in constructive mechanics, specifically for a beam structure problem. Our findings reveal that the proposed WE Monte Carlo algorithm, especially when combined with sequential MC, converges significantly faster than well-known deterministic iterative methods such as the Jacobi method. This enhanced convergence is more pronounced in larger matrices. Additionally, our comparative analysis with the preconditioned conjugate gradient (PCG) method shows that the WE MC method can outperform traditional methods for certain matrices. The introduction of a new random variable as an unbiased estimator of the solution vector and the analysis of the relative stochastic error structure further illustrate the potential of our novel algorithm in computational mathematics. Full article
(This article belongs to the Special Issue Advances in Numerical Algorithms for Machine Learning)
Show Figures

Figure 1

Back to TopTop