Parallel Inversion of 3D Airborne Transient Electromagnetic Data Using an Approximate Jacobi Matrix
Abstract
1. Introduction
2. Methods
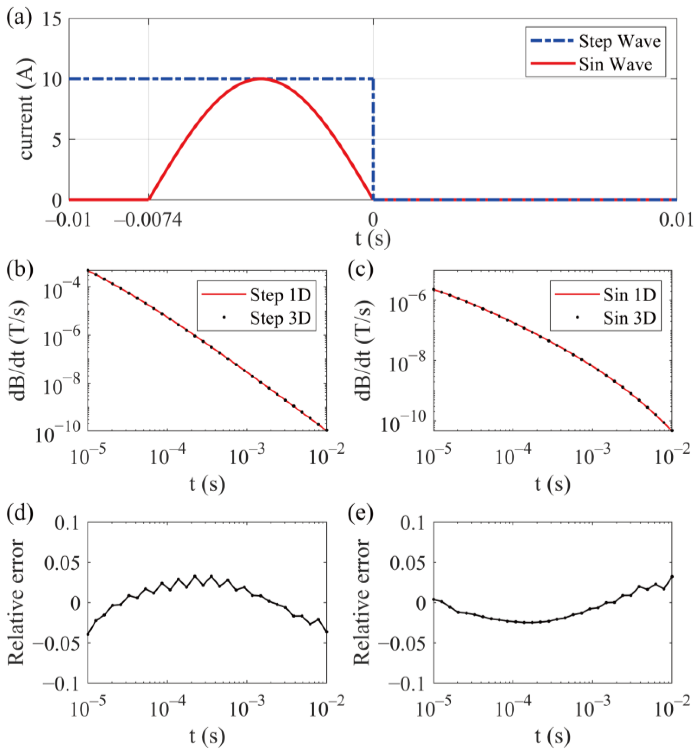
2.1. Three-Dimensional Modeling
2.2. The Objective Function
2.3. The Approximate Calculation Method of the Jacobian Matrix
2.4. Parallelization of Programs
3. Inversion Example
4. Results
Author Contributions
Funding
Data Availability Statement
Conflicts of Interest
References
- Yin, C.-C.; Ren, X.-Y.; Liu, Y.-H.; Qi, Y.-F.; Qiu, C.-K.; Cai, J. Review on airborne electromagnetic inverse theory and applications. Geophysics 2015, 80, W17–W31. [Google Scholar]
- Salzo, S.; Villa, S. Convergence analysis of a proximal Gauss-Newton method. Comput. Optim. Appl. 2012, 53, 557–589. [Google Scholar] [CrossRef]
- Wilson, G.A.; Raiche, A.P.; Sugeng, F. 2.5D inversion of airborne electromagnetic data. Explor. Geophys. 2006, 37, 363–371. [Google Scholar] [CrossRef]
- Zhdanov, M.; Tolstaya, E. Minimum support nonlinear parametrization in the solution of a 3D magnetotelluric inverse problem. Inverse Probl. 2004, 20, 937. [Google Scholar] [CrossRef]
- Liu, D.C.; Nocedal, J. On the limited memory BFGS method for large scale optimization. Math. Program. 1989, 45, 503–528. [Google Scholar] [CrossRef]
- Schenk, O.; Gärtner, K.; Fichtner, W.; Stricker, A. PARDISO: A high-performance serial and parallel sparse linear solver in semiconductor device simulation. Future Gener. Comput. Syst. 2001, 18, 69–78. [Google Scholar] [CrossRef]
- Liu, Y.; Farquharson, C.G.; Yin, C.; Baranwal, V.C. Wavelet-based 3-D inversion for frequency-domain airborne EM data. Geophys. J. Int. 2017, 213, 1–15. [Google Scholar] [CrossRef]
- Xie, J.; Cai, H.; Hu, X.; Long, Z.; Xu, S.; Fu, C.; Wang, Z.; Di, Q. 3-D Magnetotelluric Inversion and Application Using the Edge-Based Finite Element With Hexahedral Mesh. IEEE Trans. Geosci. Remote Sens. 2022, 60, 1–11. [Google Scholar] [CrossRef]
- Egbert, G.D.; Kelbert, A. Computational recipes for electromagnetic inverse problems. Geophys. J. Int. 2012, 189, 251–267. [Google Scholar] [CrossRef]
- Yin, C.; Liu, Y.; Xiong, B. Status and prospect of 3D inversions in EM geophysics. Sci. China Earth Sci. 2020, 63, 452–455. [Google Scholar] [CrossRef]
- Gregory, A.N.; Paul, T.B. Solution accelerators for large-scale three-dimensional electromagnetic inverse problems. Inverse Probl. 2004, 20, S151. [Google Scholar]
- Newman, G.A.; Alumbaugh, D.L. Three-dimensional massively parallel electromagnetic inversion—I. Theory. Geophys. J. Int. 1997, 128, 345–354. [Google Scholar] [CrossRef]
- Newman, G.A.; Alumbaugh, D.L. Three-dimensional magnetotelluric inversion using non-linear conjugate gradients. Geophys. J. Int. 2000, 140, 410–424. [Google Scholar] [CrossRef]
- Cai, H.; Long, Z.; Lin, W.; Li, J.; Lin, P.; Hu, X. 3D multinary inversion of controlled-source electromagnetic data based on the finite-element method with unstructured mesh. Geophysics 2021, 86, E77–E92. [Google Scholar] [CrossRef]
- Commer, M.; Newman, G.A. New advances in three-dimensional controlled-source electromagnetic inversion. Geophys. J. Int. 2008, 172, 513–535. [Google Scholar] [CrossRef]
- Liu, Y.; Yin, C. 3D inversion for multipulse airborne transient electromagnetic data. Geophysics 2016, 81, E401–E408. [Google Scholar] [CrossRef]
- Mackie, R.L.; Madden, T.R. Three-dimensional magnetotelluric inversion using conjugate gradients. Geophys. J. Int. 1993, 115, 215–229. [Google Scholar] [CrossRef]
- Zhang, B.; Yin, C.; Liu, Y.; Ren, X.; Baranwal, V.C.; Xiong, B. 3D inversion of large-scale frequency-domain airborne electromagnetic data using unstructured local mesh. Geophysics 2021, 86, E333–E342. [Google Scholar] [CrossRef]
- Domenzain, D.; Liu, L.; Vela, I.Y.; Christiansen, A.V. 3D DC inversion, visualization, and processing of dense time-lapse data in fine domains applied to remediation monitoring. Geophysics 2023, 88, E147–E158. [Google Scholar] [CrossRef]
- Rodi, W.; Mackie, R.L. Nonlinear conjugate gradients algorithm for 2-D magnetotelluric inversion. Geophysics 2001, 66, 174–187. [Google Scholar] [CrossRef]
- Hui, Z.J.; Yin, C.C.; Liu, Y.H.; Zhang, B.; Ren, X.Y.; Wang, C. 3D inversions of time-domain marine EM data based on unstructured finite-element method. Chin. J. Geophys. 2020, 63, 3167–3179. (In Chinese) [Google Scholar]
- Oldenburg, D.W.; Haber, E.; Shekhtman, R. Three dimensional inversion of multisource time domain electromagnetic data. Geophysics 2012, 78, E47–E57. [Google Scholar] [CrossRef]
- Ren, X.; Yin, C.; Macnae, J.; Liu, Y.; Zhang, B. 3D time-domain airborne electromagnetic inversion based on secondary field finite-volume method. Geophysics 2018, 83, E219–E228. [Google Scholar] [CrossRef]
- Zhang, B.; Engebretsen, K.W.; Fiandaca, G.; Cai, H.; Auken, E. 3D inversion of time-domain electromagnetic data using finite elements and a triple mesh formulation. Geophysics 2021, 86, E257–E267. [Google Scholar] [CrossRef]
- Zhdanov, M.S.; Portniaguine, O. Time-domain electromagnetic migration in the solution of inverse problems. Geophys. J. Int. 1997, 131, 293–309. [Google Scholar] [CrossRef]
- Newman, G.A.; Commer, M. New advances in three dimensional transient electromagnetic inversion. Geophys. J. Int. 2005, 160, 5–32. [Google Scholar] [CrossRef]
- Hu, X.; Li, Y.; Yang, W.-C.; Wei, W.-B.; Gao, R.; Bo, H.; Peng, R.-H. Three-dimensional magnetotelluic parallel inversion algorithm using data space method. Chin. J. Geophys. 2012, 55, 3969–3978. (In Chinese) [Google Scholar]
- Liu, Y.-H.; Yin, C.-C.; Ren, X.-Y.; Qiu, C.-K. 3D parallel inversion of time-domain airborne EM data. Appl. Geophys. 2016, 13, 701–711. [Google Scholar] [CrossRef]
- Long, Z.; Cai, H.; Hu, X.; Li, G.; Shao, O. Parallelized 3-D CSEM Inversion with Secondary Field Formulation and Hexahedral Mesh. IEEE Trans. Geosci. Remote Sens. 2020, 58, 6812–6822. [Google Scholar] [CrossRef]
- Siripunvaraporn, W.; Egbert, G. An efficient data-subspace inversion method for 2-D magnetotelluric data. Geophysics 2000, 65, 791–803. [Google Scholar] [CrossRef]
- Hu, Z.; Hu, X.-Y.; He, Z.-X. Pseudo-Three-Dimensional magnetotelluric inversion using nonlinear conjugate gradients. Chin. J. Geophys. 2006, 49, 1226–1234. (In Chinese) [Google Scholar]
- Cox, L.H.; Wilson, G.A.; Zhdanov, M.S. 3D inversion of airborne electromagnetic data using a moving footprint. Explor. Geophys. 2010, 41, 250–259. [Google Scholar] [CrossRef]
- Yang, D.; Oldenburg, D.W.; Haber, E. 3-D inversion of airborne electromagnetic data parallelized and accelerated by local mesh and adaptive soundings. Geophys. J. Int. 2014, 196, 1492–1507. [Google Scholar] [CrossRef]
- Christiansen, A.V.; Auken, E.; Kirkegaard, C.; Schamper, C.; Vignoli, G. An efficient hybrid scheme for fast and accurate inversion of airborne transient electromagnetic data. Explor. Geophys. 2016, 47, 323–330. [Google Scholar] [CrossRef]
- Newman, G.A.; Alumbaugh, D.L. Frequency-domain modelling of airborne electromagnetic responses using staggered finite differences. Geophys. Prospect. 1995, 43, 1021–1042. [Google Scholar] [CrossRef]
- Lei, D.; Ren, H.; Fu, C.; Wang, Z.; Zhen, Q. Computation of Analytical Derivatives for Airborne TEM Inversion Using a Cole-Cole Parameterization Based on the Current Waveform of the Transmitter. Sensors 2023, 23, 439–455. [Google Scholar] [CrossRef] [PubMed]











| J | J4 | J3 | J2 | J1 | |
|---|---|---|---|---|---|
| ρ (Ω·m) | 0.0793 | 0.0762 | 0.0760 | 0.0773 | 0.0771 |
| m | 0.1296 | 0.1336 | 0.1361 | 0.1290 | 0.1341 |
| τ (s) | 8.4045 × 10−6 | 9.3400 × 10−6 | 1.3112 × 10−5 | 9.3653 × 10−6 | 9.3751 × 10−6 |
| c | 0.1412 | 0.1369 | 0.1410 | 0.1381 | 0.1376 |
Disclaimer/Publisher’s Note: The statements, opinions and data contained in all publications are solely those of the individual author(s) and contributor(s) and not of MDPI and/or the editor(s). MDPI and/or the editor(s) disclaim responsibility for any injury to people or property resulting from any ideas, methods, instructions or products referred to in the content. |
© 2024 by the authors. Licensee MDPI, Basel, Switzerland. This article is an open access article distributed under the terms and conditions of the Creative Commons Attribution (CC BY) license (https://creativecommons.org/licenses/by/4.0/).
Share and Cite
Lei, D.; Ren, H.; Wang, R.; Wang, Z.; Fu, C. Parallel Inversion of 3D Airborne Transient Electromagnetic Data Using an Approximate Jacobi Matrix. Remote Sens. 2024, 16, 1830. https://doi.org/10.3390/rs16111830
Lei D, Ren H, Wang R, Wang Z, Fu C. Parallel Inversion of 3D Airborne Transient Electromagnetic Data Using an Approximate Jacobi Matrix. Remote Sensing. 2024; 16(11):1830. https://doi.org/10.3390/rs16111830
Chicago/Turabian StyleLei, Da, Hao Ren, Ruo Wang, Zhongxing Wang, and Changmin Fu. 2024. "Parallel Inversion of 3D Airborne Transient Electromagnetic Data Using an Approximate Jacobi Matrix" Remote Sensing 16, no. 11: 1830. https://doi.org/10.3390/rs16111830
APA StyleLei, D., Ren, H., Wang, R., Wang, Z., & Fu, C. (2024). Parallel Inversion of 3D Airborne Transient Electromagnetic Data Using an Approximate Jacobi Matrix. Remote Sensing, 16(11), 1830. https://doi.org/10.3390/rs16111830

