New Generalized Jacobi Polynomial Galerkin Operational Matrices of Derivatives: An Algorithm for Solving Boundary Value Problems
Abstract
1. Introduction
2. Basic Definition of Caputo VOFDs
3. A Brief Description of JPs and GSJPs
3.1. A Summary of the Shifted JPs
- The power form representation of is as follows:where
- The forms of and in regard to arewhere
3.2. Offering GSJPs
4. Two OMs for Ods and VOFDs of
5. Numerical Handling for the DEs (1) and (2) Subject to BCs (3)
5.1. Homogeneous BCs
5.2. Nonhomogeneous BCs
6. Convergence and Error Analysis
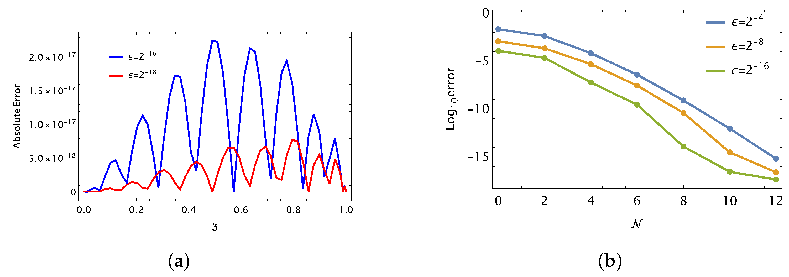
7. Numerical Simulations
7.1. Numerical Simulations for Handling ODE (1) with BCs (3)
7.2. Numerical Simulations for Handling VOFDE (2) with BCs (3)
8. Conclusions
- (i)
- We have established a solid theoretical foundation by constructing OMs and incorporating them into the SCM. This framework allows for reliable and precise numerical computation of solutions to problems described by the aforementioned ODEs and VOFDEs with BCs.
- (ii)
- Extensive error analysis and convergence studies have been conducted, providing theoretical guarantees for the effectiveness and reliability of our proposed method, known as GSJCOPMM.
Funding
Data Availability Statement
Acknowledgments
Conflicts of Interest
Abbreviations
| Abbreviations | Definitions |
| DEs | Differential equations |
| ODEs | Ordinary differential equations |
| PDEs | Partial differential equations |
| ODs | Ordinary derivatives |
| VOFDEs | Variable-order fractional differential equations |
| VOFDs | Variable-order fractional derivatives |
| MTVOFDEs | Multiterm variable-order fractional differential equations |
| OMs | Operational matrices |
| SCM | Spectral collocation method |
| VOFC | Variable-order fractional calculus |
| JPs | Jacobi polynomials |
| GSJPs | Generalized shifted Jacobi polynomials |
| BVPs | Boundary value problems |
| BCs | Boundary conditions |
| MAE | Maximum absolute error |
References
- Bagley, R.L.; Torvik, P.J. Fractional calculus in the transient analysis of viscoelastically damped structures. Aiaa J. 1985, 23, 918–925. [Google Scholar] [CrossRef]
- Davies, A.R.; Karageorghis, A.; Phillips, T.N. Spectral Galerkin methods for the primary two-point boundary value problem in modelling viscoelastic flows. Int. J. Numer. Methods Eng. 1988, 26, 647–662. [Google Scholar] [CrossRef]
- Karageorghis, A.; Phillips, T.N.; Davies, A.R. Spectral collocation methods for the primary two-point boundary value problem in modelling viscoelastic flows. Int. J. Numer. Methods Eng. 1988, 26, 805–813. [Google Scholar] [CrossRef]
- Baillie, R.T. Long memory processes and fractional integration in econometrics. J. Econom. 1996, 73, 5–59. [Google Scholar] [CrossRef]
- Mainardi, F. Fractional Calculus: Some Basic Problems in Continuum and Statistical Mechanics; Springer: Berlin/Heidelberg, Germany, 1997. [Google Scholar]
- Rossikhin, Y.A.; Shitikova, M.V. Applications of fractional calculus to dynamic problems of linear and nonlinear hereditary mechanics of solids. Appl. Mech. Rev. 1997, 50, 15–66. [Google Scholar] [CrossRef]
- Chow, T.S. Fractional dynamics of interfaces between soft-nanoparticles and rough substrates. Phys. Lett. A 2005, 342, 148–155. [Google Scholar] [CrossRef]
- Gregus, M. Third Order Linear Differential Equations; Springer Science & Business Media: Berlin/Heidelberg, Germany, 2012; Volume 22. [Google Scholar]
- Ahmed, H.M. Enhanced shifted Jacobi operational matrices of derivatives: Spectral algorithm for solving multiterm variable-order fractional differential equations. Bound. Value Probl. 2023, 2023, 108. [Google Scholar] [CrossRef]
- Ahmed, H.M. A new first finite class of classical orthogonal polynomials operational matrices: An application for solving fractional differential equations. Contemp. Math. 2023, 4, 974–994. [Google Scholar] [CrossRef]
- Abd-Elhameed, W.M.; Ahmed, H.M.; Youssri, Y.H. A new generalized Jacobi Galerkin operational matrix of derivatives: Two algorithms for solving fourth-order boundary value problems. Adv. Differ. Equ. 2016, 2016, 22. [Google Scholar] [CrossRef]
- Abd-Elhameed, W.M.; Al-Harbi, M.S.; Amin, A.K.; Ahmed, H.M. Spectral treatment of high-order Emden-Fowler equations based on modified Chebyshev polynomials. Axioms 2023, 12, 99. [Google Scholar] [CrossRef]
- Tural-Polat, S.N.; Dincel, A.T. Numerical solution method for multi-term variable order fractional differential equations by shifted Chebyshev polynomials of the third kind. Alex. Eng. J. 2022, 61, 5145–5153. [Google Scholar] [CrossRef]
- Ahmed, H.M. Numerical solutions for singular Lane-emden equations using shifted Chebyshev polynomials of the first kind. Contemp. Math. 2023, 4, 132–149. [Google Scholar] [CrossRef]
- Abd-Elhameed, W.M.; Ahmed, H.M. Tau and Galerkin operational matrices of derivatives for treating singular and Emden-Fowler third-order-type equations. Int. J. Mod. Phys. C 2022, 33, 2250061. [Google Scholar] [CrossRef]
- Sweilam, N.H.; Nagy, A.M.; El-Sayed, A.A. On the numerical solution of space fractional order diffusion equation via shifted Chebyshev polynomials of the third kind. J. King Saud Univ. Sci. 2016, 28, 41–47. [Google Scholar] [CrossRef]
- Liu, C.-S.; Li, B. Solving the fourth-order nonlinear boundary value problem by a boundary shape function method. Can. J. Phys. 2022, 101, 248–256. [Google Scholar] [CrossRef]
- El-Sayed, A.A.; Baleanu, D.; Agarwal, P. A novel Jacobi operational matrix for numerical solution of multi-term variable-order fractional differential equations. J. Taibah Univ. Sci. 2020, 14, 963–974. [Google Scholar] [CrossRef]
- Ahmed, H.M. New Generalized Jacobi Galerkin operational matrices of derivatives: An algorithm for solving multi-term variable-order time-fractional diffusion-wave equations. Fractal Fract. 2024, 8, 68. [Google Scholar] [CrossRef]
- Abd-Elhameed, W.M.; Alkenedri, A.M. Spectral solutions of linear and nonlinear bvps using certain Jacobi polynomials generalizing third-and fourth-kinds of Chebyshev polynomials. Comput. Model Eng. Sci. 2021, 126, 955–989. [Google Scholar] [CrossRef]
- Doha, E.H.; Abd-Elhameed, W.M.; Bhrawy, A.H. New spectral-Galerkin algorithms for direct solution of high even-order differential equations using symmetric generalized Jacobi polynomials. Collect. Math. 2013, 64, 373–394. [Google Scholar] [CrossRef]
- Bhrawy, A.H.; Abd-Elhameed, W.M. New algorithm for the numerical solutions of nonlinear third-order differential equations using Jacobi-Gauss collocation method. Math. Probl. Eng. 2011, 2011, 837218. [Google Scholar] [CrossRef]
- Ahmed, H.M. Numerical solutions of Korteweg-de Vries and Korteweg-de Vries-Burger’s equations in a Bernstein polynomial basis. Mediterr. J. Math. 2019, 16, 102. [Google Scholar] [CrossRef]
- Ahmed, H.M. Numerical solutions of high-order differential equations with polynomial coefficients using a Bernstein polynomial basis. Mediterr. J. Math. 2023, 20, 303. [Google Scholar] [CrossRef]
- Mittal, R.C.; Pandit, S. New scale-3 Haar Wavelets algorithm for numerical simulation of second order ordinary differential equations, Proceedings of the National Academy of Sciences. India Sect. Phys. Sci. 2019, 89, 799–808. [Google Scholar]
- Sharma, D.; Jiwari, R.; Kumar, S. Numerical solution of two point boundary value problems using Galerkin-finite element method. Int. J. Nonlinear Sci. 2012, 13, 204–210. [Google Scholar]
- Abd-Elhameed, W.M.; Youssri, Y.H.; Amin, A.K.; Atta, A.G. Eighth-kind Chebyshev polynomials collocation algorithm for the nonlinear time-fractional generalized Kawahara equation. Fractal Fract. 2023, 7, 652. [Google Scholar] [CrossRef]
- Youssri, Y.H.; Atta, A.G. Spectral collocation approach via normalized shifted Jacobi polynomials for the nonlinear Lane-Emden equation with fractal-fractional derivative. Fractal Fract. 2023, 7, 133. [Google Scholar] [CrossRef]
- Amin, A.Z.; Abdelkawy, M.A.; Solouma, E.; Al-Dayel, I. A Spectral Collocation Method for Solving the Non-Linear Distributed-Order Fractional Bagley–Torvik Differential Equation. Fractal Fract. 2023, 7, 780. [Google Scholar] [CrossRef]
- Chen, Y.M.; Liu, L.Q.; Li, B.F.; Sun, Y. Numerical solution for the variable order linear cable equation with Bernstein polynomials. Appl. Math. Comput. 2014, 238, 329–341. [Google Scholar] [CrossRef]
- Liu, J.; Li, X.; Wu, L. An operational matrix of fractional differentiation of the second kind of Chebyshev polynomial for solving multiterm variable order fractional differential equation. Math. Probl. Eng. 2016, 2016, 7126080. [Google Scholar] [CrossRef]
- Almeida, R.; Tavares, D.; Torres, D.F.M. The Variable-Order Fractional Calculus of Variations; Springer: Cham, Switzerland, 2019. [Google Scholar]
- Coimbra, C.F.M. Mechanics with variable-order differential operators. Ann. Phys. 2003, 515, 692–703. [Google Scholar] [CrossRef]
- Szeg, G. Orthogonal Polynomials, 4th ed.; American Mathematical Society: Providence, RI, USA, 1975; Volume XXIII. [Google Scholar]
- Luke, Y.L. Mathematical Functions and Their Approximations; Academic Press: London, UK, 1975. [Google Scholar]
- Wazwaz, A.-M. The numerical solution of sixth-order boundary value problems by the modified decomposition method. Appl. Math. Comput. 2001, 118, 311–325. [Google Scholar] [CrossRef]
- Noor, M.A.; Mohyud-Din, S.T. Homotopy perturbation method for solving sixth-order boundary value problems. Comput. Math. Appl. 2008, 55, 2953–2972. [Google Scholar] [CrossRef]
- Gul, M.; Khan, H.; Ali, A. The solution of fifth and sixth order linear and non linear boundary value problems by the improved residual power series method. JMAM 2022, 3, 1–14. [Google Scholar]
- Mishra, H.K.; Saini, S. Quartic B-Spline method for solving a singular singularly perturbed third-order boundary value problems. Am. J. Numer. Anal. 2015, 3, 18–24. [Google Scholar]
- Iqbal, M.K.; Abbas, M.; Wasim, I. New cubic B-spline approximation for solving third order Emden–Flower type equations. Appl. Math. Comput. 2018, 331, 319–333. [Google Scholar] [CrossRef]
- Adewumi, A.O.; Aderogba, A.A.; Akindeinde, S.O.; Fabelurin, O.O.; Lebelo, R.S. Finite difference spectral collocation schemes for the solutions of boundary value problems. Heliyon 2024, 10, E23453. [Google Scholar] [CrossRef] [PubMed]
- Mickens, R.E. Advances in the Applications of Nonstandard Finite Diffference Schemes; World Scientific: Singapore, 2005. [Google Scholar]
- Al-Mdallal, Q.M.; Syam, M.I.; Anwar, M.N. A collocation-shooting method for solving fractional boundary value problems. Commun. Nonlinear Sci. Numer. Simul. 2010, 15, 3814–3822. [Google Scholar] [CrossRef]
- Abdelkawy, M.A.; Lopes, A.M.; Babatin, M.M. Shifted fractional Jacobi collocation method for solving fractional functional differential equations of variable order. Chaos Solit. Fractals 2020, 134, 109721. [Google Scholar] [CrossRef]
- Yang, J.; Yao, H.; Wu, B. An efficient numerical method for variable order fractional functional differential equation. Appl. Math. Lett. 2018, 76, 221–226. [Google Scholar] [CrossRef]



| 0 | 0 | 1.3 | 1.5 | 2.9 | 2.7 | 1.7 | 5.5 | |
| 1.1 | 1.4 | 2.5 | 2.4 | 1.6 | 2.4 | |||
| 1.10 | 1.12 | 1.66 | 1.89 | 1.92 | 1.87 | |||
| 1 | 0 | 1.4 | 1.6 | 1.7 | 1.9 | 1.2 | 4.5 | |
| 1.1 | 1.2 | 1.4 | 1.0 | 1.1 | 2.5 | |||
| 1.11 | 1.02 | 1.46 | 1.79 | 1.82 | 1.75 | |||
| 0 | 2 | 1.5 | 1.4 | 2.5 | 1.8 | 1.4 | 4.2 | |
| 1.0 | 1.3 | 2.1 | 1.5 | 1.2 | 3.1 | |||
| 1.08 | 1.13 | 1.56 | 1.79 | 1.81 | 1.77 | |||
| −1/2 | 1/2 | 1.2 | 1.2 | 2.3 | 2.4 | 1.6 | 7.1 | |
| 1.1 | 1.1 | 2.1 | 2.2 | 1.1 | 6.2 | |||
| 1.12 | 1.23 | 1.46 | 1.69 | 1.71 | 1.69 | |||
| 1/2 | 1/2 | 6.1 | 4.2 | 3.4 | 4.5 | 1.2 | 8.4 | |
| 2.5 | 1.4 | 1.2 | 2.7 | 1.0 | 7.2 | |||
| 1.03 | 1.33 | 1.62 | 1.72 | 1.79 | 1.71 |
| [38] | [36] | [37] | ||
|---|---|---|---|---|
| 0.0 | 0.0 | 0.0 | 0.0 | 0.0 |
| 0.1 | 1.2 | 4.1 | 2.3 | 1.2 |
| 0.2 | 2.0 | 2.5 | 1.3 | 2.3 |
| 0.3 | 5.5 | 6.3 | 3.3 | 3.2 |
| 0.4 | 1.6 | 1.0 | 5.2 | 3.8 |
| 0.5 | 2.7 | 1.3 | 6.1 | 4.0 |
| 0.6 | 1.2 | 1.3 | 5.7 | 3.9 |
| 0.7 | 1.4 | 1.0 | 4.0 | 3.3 |
| 0.8 | 1.5 | 5.2 | 1.9 | 2.4 |
| 0.9 | 1.7 | 1.0 | 3.5 | 1.2 |
| 1.0 | 0.0 | 2.1 | 5.0 | 2.0 |
| 2−4 | 2−6 | 2−8 | 2−10 | 2−12 | 2−14 | 2−16 | 2−18 | 2−20 | ||||
|---|---|---|---|---|---|---|---|---|---|---|---|---|
| 3 | 0 | 3 | 6.9 | 5.4 | 4.4 | 1.1 | 2.2 | 6.8 | 1.7 | 4.2 | 1.7 | |
| 8 | 7.8 | 6.3 | 3.1 | 7.7 | 1.9 | 4.8 | 1.2 | 3.0 | 7.5 | |||
| 10 | 8.9 | 1.4 | 3.0 | 8.4 | 2.1 | 5.3 | 1.3 | 2.8 | 8.0 | |||
| 12 | 6.5 | 2.5 | 2.0 | 1.8 | 1.5.0 | 1.1 | 5.3 | 3.0 | 1.6 | |||
| 3 | 3 | 0 | 6.8 | 6.2 | 4.4 | 1.1 | 2.2 | 6.8 | 1.7 | 4.2 | 1.7 | |
| 8 | 7.5 | 6.2 | 3.3 | 7.5 | 2.9 | 3.8 | 2.2 | 3.1 | 4.5 | |||
| 10 | 8.7 | 1.3 | 3.1 | 7.7 | 1.9 | 4.8 | 1.2 | 3.0 | 7.5 | |||
| 12 | 6.4 | 2.3 | 3.1 | 1.4 | 1.1 | 1.0 | 5.3 | 2.8 | 8.0 | |||
| 3 | 3.5 | 0.5 | 6.5 | 5.6 | 5.0 | 1.2 | 2.3 | 6.7 | 1.8 | 3.1 | 2.7 | |
| 8 | 7.5 | 6.1 | 3.2 | 7.5 | 1.8 | 3.5 | 1.7 | 3.1 | 7.2 | |||
| 10 | 8.8 | 2.4 | 3.3 | 7.4 | 2.5 | 5.5 | 1.7 | 1.5 | 1.2 | |||
| 12 | 6.0 | 4.5 | 4.1 | 2.8 | 1.40 | 1.2 | 6.3 | 3.5 | 2.6 | |||
| 5 | 6 | 1 | 8.1 | 7.5 | 7.2 | 4.1 | 2.2 | 6.8 | 1.7 | 4.2 | 1.7 | |
| 10 | 7.0 | 5.3 | 3.1 | 7.7 | 1.9 | 4.8 | 1.2 | 3.0 | 7.5 | |||
| 12 | 8.5 | 6.4 | 5.1 | 8.4 | 2.1 | 5.3 | 1.3 | 2.8 | 8.0 | |||
| 14 | 6.6 | 6.2 | 5.3 | 4.1 | 5.0 | 4.7 | 5.3 | 3.00 | 1.6 |
| 2−4 | 2−6 | 2−8 | 2−10 | 2−12 | 2−14 | 2−16 | 2−18 | 2−20 | ||
|---|---|---|---|---|---|---|---|---|---|---|
| 12 | GSJCOPMM | 2.0 | 4.3 | 3.9 | 2.1 | 1.5 | 1.3 | 5.5 | 3.4 | 4.1 |
| 128 | QBSM [39] | 2.1 | 1.7 | 1.2 | 7.5 | 5.2 | 4.6 | 6.8 | 1.5 | 3.6 |
| 128 | NCBS [40] | 3.5 | 2.0 | 5.5 | 1.5 | 5.4 | 1.5 | 3.7 | 9.2 | 2.3 |
| 0 | 0 | 1.1 | 1.4 | 3.0 | 3.5 | 2.8 | 5.9 | |
| 1.0 | 1.2 | 2.4 | 2.2 | 1.4 | 2.1 | |||
| 1 | 0 | 1.1 | 1.5 | 1.8 | 1.7 | 1.3 | 4.4 | |
| 1.3 | 1.1 | 1.2 | 1.1 | 1.2 | 2.4 | |||
| 0 | 2 | 1.4 | 1.2 | 2.6 | 1.7 | 1.3 | 4.3 | |
| 1.1 | 1.4 | 2.2 | 1.6 | 1.3 | 3.2 | |||
| −1/2 | 1/2 | 1.3 | 1.1 | 2.2 | 2.3 | 1.4 | 6.2 | |
| 1.2 | 1.0 | 2.2 | 2.3 | 1.3 | 5.2 | |||
| 1/2 | 1/2 | 5.9 | 4.1 | 3.3 | 5.5 | 1.3 | 7.5 | |
| 2.4 | 1.5 | 1.3 | 2.6 | 1.1 | 6.2 |
| Scheme (15) [41] | Scheme (16)a [41] | Scheme (16)b [41] | ||
|---|---|---|---|---|
| 0.0 | 0.0 | 0.0 | 0.0 | 0.0 |
| 0.1 | 1.2 | 2.2899 | 3.0786 | 1.3850 |
| 0.2 | 2.0 | 1.7382 | 5.4900 | 4.1545 |
| 0.3 | 5.5 | 1.5430 | 7.2214 | 7.0764 |
| 0.4 | 1.6 | 1.3721 | 8.2639 | 9.2180 |
| 0.5 | 2.7 | 1.3222 | 8.6120 | 9.9977 |
| 0.6 | 1.2 | 1.3721 | 8.2639 | 9.2180 |
| 0.7 | 1.4 | 1.5430 | 7.2214 | 7.0764 |
| 0.8 | 1.5 | 1.7382 | 5.4900 | 4.1545 |
| 0.9 | 1.7 | 2.2899 | 3.0786 | 1.3850 |
| 1.0 | 0.0 | 0.0000 | 0.0000 | 0.0000 |
| CPU Time | 0.61 s | 1.63 s | 1.59 s | 1.69 s |
| 4.5 | 2.5 | 5.3 | 7.5 | 3.9 | 6.7 | 5.7 | 2.5 | |
| 3.1 | 3.2 | 3.5 | 4.6 | 4.6 | 1.4 | |||
| 4 | 3 | 2.6 | 1.3 | 1.3 | 2.6 | 2.8 | 7.7 | |
| 1.1 | 1.1 | 1.0 | 2.1 | 2.6 | 6.4 | |||
| 2.5 | 4.5 | 5.2 | 7.1 | 3.5 | 6.1 | 7.1 | 2.2 | |
| 3.1 | 3.2 | 3.4 | 4.6 | 4.6 | 1.4 | |||
| 3 | 4 | 2.3 | 3.2 | 1.2 | 2.5 | 1.7 | 7.1 | |
| 2.2 | 1.2 | 1.0 | 2.2 | 1.2 | 2.4 |
Disclaimer/Publisher’s Note: The statements, opinions and data contained in all publications are solely those of the individual author(s) and contributor(s) and not of MDPI and/or the editor(s). MDPI and/or the editor(s) disclaim responsibility for any injury to people or property resulting from any ideas, methods, instructions or products referred to in the content. |
© 2024 by the author. Licensee MDPI, Basel, Switzerland. This article is an open access article distributed under the terms and conditions of the Creative Commons Attribution (CC BY) license (https://creativecommons.org/licenses/by/4.0/).
Share and Cite
Ahmed, H.M. New Generalized Jacobi Polynomial Galerkin Operational Matrices of Derivatives: An Algorithm for Solving Boundary Value Problems. Fractal Fract. 2024, 8, 199. https://doi.org/10.3390/fractalfract8040199
Ahmed HM. New Generalized Jacobi Polynomial Galerkin Operational Matrices of Derivatives: An Algorithm for Solving Boundary Value Problems. Fractal and Fractional. 2024; 8(4):199. https://doi.org/10.3390/fractalfract8040199
Chicago/Turabian StyleAhmed, Hany Mostafa. 2024. "New Generalized Jacobi Polynomial Galerkin Operational Matrices of Derivatives: An Algorithm for Solving Boundary Value Problems" Fractal and Fractional 8, no. 4: 199. https://doi.org/10.3390/fractalfract8040199
APA StyleAhmed, H. M. (2024). New Generalized Jacobi Polynomial Galerkin Operational Matrices of Derivatives: An Algorithm for Solving Boundary Value Problems. Fractal and Fractional, 8(4), 199. https://doi.org/10.3390/fractalfract8040199

