Sign in to use this feature.

Years

Between: -

Subjects

remove_circle_outline
remove_circle_outline
remove_circle_outline
remove_circle_outline
remove_circle_outline
remove_circle_outline
remove_circle_outline
remove_circle_outline
remove_circle_outline

Journals

Article Types

Countries / Regions

remove_circle_outline
remove_circle_outline
remove_circle_outline
remove_circle_outline
remove_circle_outline

Search Results (337)

Search Parameters:
Keywords = Heterocyclic ligands

Order results
Result details
Results per page
Select all
Export citation of selected articles as:
26 pages, 2969 KB  
Article
Polynuclear Silver(I)–Quinoxaline Complex: Comprehensive Structural Characterization, Antimycobacterial Properties and DNA/BSA Binding Study
by Ghada Bouz, Nevena L. Stevanović, Marta Počkaj, Tina P. Andrejević, Iztok Turel, Ondřej Jand’ourek, Klára Konečná, Žiko Milanović, Kristina Milisavljević and Biljana Đ. Glišić
Pharmaceutics 2026, 18(2), 169; https://doi.org/10.3390/pharmaceutics18020169 - 27 Jan 2026
Viewed by 98
Abstract
Background: Silver(I) complexes with aromatic heterocyclic ligands are well known for their broad antimicrobial potential, largely attributed to their ability to interact with biomolecular targets. Results and Discussion: In this study, a new polynuclear silver(I) complex with N-(3′-phenylpropyl)quinoxaline-2-carboxamide (pqx-2ca), [Ag(NO [...] Read more.
Background: Silver(I) complexes with aromatic heterocyclic ligands are well known for their broad antimicrobial potential, largely attributed to their ability to interact with biomolecular targets. Results and Discussion: In this study, a new polynuclear silver(I) complex with N-(3′-phenylpropyl)quinoxaline-2-carboxamide (pqx-2ca), [Ag(NO3)(pqx-2ca)]n, was synthesized. Its structure was confirmed by single-crystal X-ray diffraction and comprehensively characterized using NMR, IR, and UV–Vis spectroscopy, while its behavior in solution was further elucidated through density functional theory (DFT) calculations combined with spectral simulations. The complex demonstrated significantly enhanced antimycobacterial activity compared with the free ligand when tested against the avirulent Mycobacterium tuberculosis H37Ra, fast-growing model organisms M. smegmatis and M. aurum, as well as the nontuberculous species M. avium and M. kansasii. Experimental and docking studies confirmed stable binding of the complex to subdomain III of bovine serum albumin (BSA) and to the minor groove of DNA. Furthermore, docking to validated mycobacterial targets revealed inhibitory potential toward the InhA and MmpL3 proteins, with binding affinities comparable to those of standard inhibitors. Conclusions: These results highlight [Ag(NO3)(pqx-2ca)]n as a promising candidate for the development of silver-based antimycobacterial agents with a dual mechanism of action involving both DNA and protein targets. Full article
Show Figures

Graphical abstract

39 pages, 7236 KB  
Review
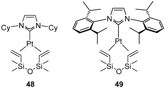
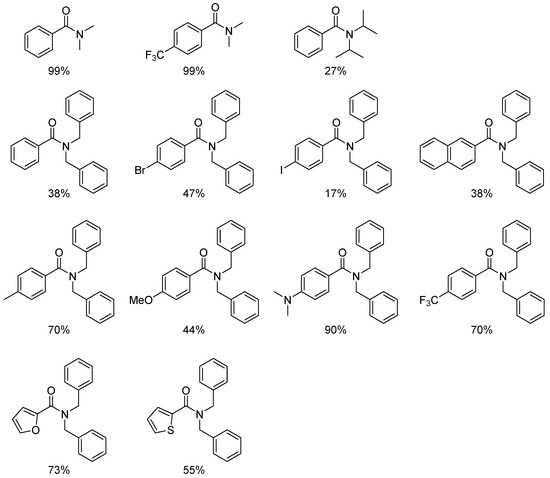
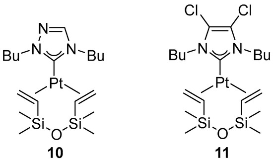
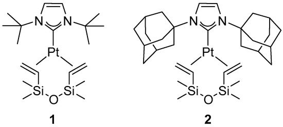
Advances in Catalysis Using N-Heterocyclic Carbene Platinum Complexes
by Anna Smoczyńska, Sylwia Ostrowska and Cezary Pietraszuk
Molecules 2026, 31(3), 448; https://doi.org/10.3390/molecules31030448 - 27 Jan 2026
Viewed by 92
Abstract
Apart from in hydrosilylation, platinum has traditionally played a limited role in homogeneous catalysis due to its high thermodynamic stability and lower intrinsic reactivity compared to other group 10 metals. However, the emergence of N-heterocyclic carbene (NHC) ligands has substantially broadened the catalytic [...] Read more.
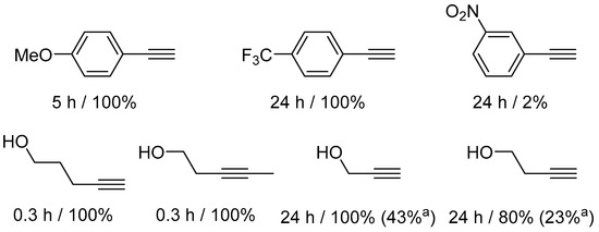
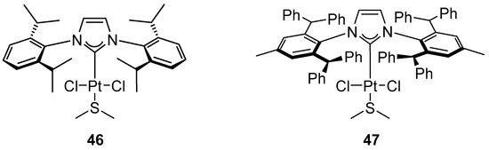
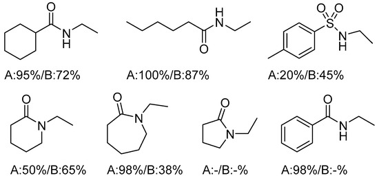
Apart from in hydrosilylation, platinum has traditionally played a limited role in homogeneous catalysis due to its high thermodynamic stability and lower intrinsic reactivity compared to other group 10 metals. However, the emergence of N-heterocyclic carbene (NHC) ligands has substantially broadened the catalytic profile of transition metals by enabling access to new mechanistic pathways and enhancing robustness under demanding conditions. This review summarizes advances in Pt–NHC catalysis reported between 2010 and 2025. These transformations encompass hydrosilylation of amides and CO2, hydroboration and diboration, hydroamination, alkyne hydration, hydrogenation, selective alkyne dimerization, Suzuki–Miyaura coupling, arene C–H borylation, and cycloisomerization reactions, in which NHC ligands enhance bond activation, control regio- and stereoselectivity, and stabilize reactive Pt intermediates, including chiral architectures, enabling high enantioselectivity. Full article
Show Figures

Figure 1

19 pages, 938 KB  
Review
Anticancer Applications of Gold Complexes: Structure–Activity Review
by Petya Marinova, Denica Blazheva and Stoyanka Nikolova
Appl. Sci. 2026, 16(2), 1114; https://doi.org/10.3390/app16021114 - 21 Jan 2026
Viewed by 140
Abstract
Background: Gold (Au) complexes have emerged as promising anticancer candidates due to their distinct coordination chemistry and ability to modulate thiol-dependent and redox-regulated cellular pathways, particularly thioredoxin reductase (TrxR). In recent years, structurally diverse Au(I) and Au(III) complexes have been reported with potent [...] Read more.
Background: Gold (Au) complexes have emerged as promising anticancer candidates due to their distinct coordination chemistry and ability to modulate thiol-dependent and redox-regulated cellular pathways, particularly thioredoxin reductase (TrxR). In recent years, structurally diverse Au(I) and Au(III) complexes have been reported with potent in vitro anticancer activity; however, cross-study comparability and design principles remain unclear. Aim: This systematic review critically evaluates anticancer Au(I/III) complexes reported since 2016, with the specific aim of identifying how oxidation state, coordination geometry, and ligand class influence in vitro potency, selectivity, and translational potential. Methods: A PRISMA-guided literature search was performed in Scopus, Web of Science, PubMed, and ScienceDirect for studies published between January 2016 and March 2025. Two independent reviewers screened titles/abstracts and full texts according to predefined inclusion criteria. Only original studies reporting anticancer activity of structurally characterized Au(I/III) complexes in human cancer models were included. After the removal of duplicates, 1100 records were screened at the title and abstract level. Of these, 240 articles were assessed in full text for eligibility. Ultimately, 128 studies reporting anticancer activity of structurally characterized Au(I/III) complexes met the inclusion criteria and were included in the qualitative synthesis. Biological potency data were harmonized to μM units where applicable, and results were synthesized qualitatively due to heterogeneity in experimental design. Results: A total of 128 studies met the inclusion criteria. Au(I) complexes—particularly phosphine- and N-heterocyclic carbene (NHC)-based compounds—consistently showed sub-micromolar cytotoxicity in TrxR-dependent cancer cell lines, whereas Au(III) complexes displayed greater structural diversity but variable stability and redox behavior. In vivo efficacy was reported for a limited subset of compounds and was frequently constrained by solubility, systemic toxicity, or metabolic instability. Conclusions: The available evidence indicates that anticancer activity of gold complexes is strongly dependent on oxidation state, ligand environment, and redox stability. While Au(I) scaffolds show more reproducible in vitro potency, successful translation to in vivo models remains limited. This review defines structure–activity and structure–liability relationships that can guide the rational design of next-generation gold-based anticancer agents. Full article
Show Figures

Figure 1

22 pages, 2746 KB  
Article
Characterization of Novel Sigma Receptor Ligands Derived from Multicomponent Reactions as Efficacious Treatments for Neuropathic Pain
by Ryosuke Shinouchi, Bengisu Turgutalp, Rohini S. Ople, Shainnel O. Eans, Ashai K. Williams, Haylee R. Hammond, Andras Varadi, Rebecca Notis Dardashti, Susruta Majumdar and Jay P. McLaughlin
Pharmaceuticals 2026, 19(1), 117; https://doi.org/10.3390/ph19010117 - 8 Jan 2026
Viewed by 336
Abstract
Background/Objectives: Neuropathic pain remains a significant clinical challenge, with current treatments often providing inadequate relief and adverse effects. Sigma receptors (SRs) modulate nociception and have emerged as potential therapeutic targets for neuropathic pain. Although putative sigma-1 receptor (S1R) ligands have demonstrated analgesic [...] Read more.
Background/Objectives: Neuropathic pain remains a significant clinical challenge, with current treatments often providing inadequate relief and adverse effects. Sigma receptors (SRs) modulate nociception and have emerged as potential therapeutic targets for neuropathic pain. Although putative sigma-1 receptor (S1R) ligands have demonstrated analgesic efficacy in preclinical models, their in vivo efficacy and safety profiles require further clarification. Methods: Analogs of well-known selective S1R ligand UVM147 were synthesized using 3-component Ugi reactions and examined in vitro for receptor affinity in radioligand competition binding assays and in vivo with mouse models of neuropathic and inflammatory pain and adverse effects. Results: Three novel heterocyclic compounds (RO-4-3, RO-5-3, and RO-7-3) displayed in vitro nanomolar affinity with varying selectivity for both SR subtypes (S1R and S2R). When screened in vivo at a dose of 30 mg/kg s.c. in mice first subjected to chronic constriction injury (CCI), RO-5-3 and RO-7-3 possessed anti-allodynic potential, while UVM147 was inactive. Upon full characterization, RO-5-3 significantly attenuated mechanical allodynia in a dose-dependent manner, while RO-7-3 was ineffective at higher doses. Both compounds dose-dependently attenuated nociceptive behaviors in the mouse formalin assay. RO-5-3 induced mild respiratory depression without impairing locomotor activity, whereas RO-7-3 caused transient respiratory depression and locomotor impairment. Additionally, RO-5-3, but not RO-7-3, induced conditioned place aversion consistent with potential S2R involvement. Conclusions: RO-5-3 exerts antinociceptive and anti-allodynic effects with minimal adverse behavioral effects, supporting the role of SRs in pain modulation. These results add to growing evidence supporting the development of SR ligands as efficacious therapeutics for neuropathic pain with fewer clinical liabilities. Full article
(This article belongs to the Special Issue Current Advances in Therapeutic Potential of Sigma Receptor Ligands)
Show Figures

Graphical abstract

23 pages, 11065 KB  
Article
Eco-Friendly Coordination Polymers with Incorporated Nitrogen-Rich Heterocyclic Ligand and Their Hybrids with Gold Nanostructures for Catalytic Conversion of Carbon Dioxide
by Kinga Wasiluk, Gabriela Kopacka, Michał Kopyt, Piotr Kwiatkowski, Pawel W. Majewski and Elżbieta Megiel
Molecules 2025, 30(24), 4777; https://doi.org/10.3390/molecules30244777 - 15 Dec 2025
Viewed by 451
Abstract
This paper demonstrates the successful synthesis of novel hybrid heterogeneous catalysts for the sustainable conversion of CO2 into cyclic organic carbonates (COCs). The nanocat-alysts have been fabricated by encapsulating pre-formed ultra-small gold nanostructures into a nascent zinc-coordination polymer (ZnCP) framework formed from [...] Read more.
This paper demonstrates the successful synthesis of novel hybrid heterogeneous catalysts for the sustainable conversion of CO2 into cyclic organic carbonates (COCs). The nanocat-alysts have been fabricated by encapsulating pre-formed ultra-small gold nanostructures into a nascent zinc-coordination polymer (ZnCP) framework formed from two organic building blocks, 2,4-naphthalenedicarboxylic acid (1,4-NDC) and 5-amino-1H-tetrazole (5-Atz), which serves as a nitrogen-rich ligand. Applying the fabricated catalysts in the synthesis of COCs yields high yields (up to 97%) and high selectivity (up to 100%), with exceptionally high turnover frequencies (TOFs) (up to 408 h−1). The catalytic process can be carried out under mild conditions (80 °C, 1.5 MPa CO2) and without the use of solvents. Nitrogen-rich ligand molecules in the structure of ZnCPs enhance catalytic performance thanks to additional nucleophilic centres, which are effective in the epoxides’ ring-opening process. The hybrid catalysts with encapsulated gold nanostructures, which modify the liquid–gas interface between epoxide and CO2, give significantly higher yields and TOFs for less active epoxides. The designed hybrid nanocatalysts exhibit superior stability under the studied reaction conditions and can be reused without loss of activity. The developed coordination polymers are constructed from green components, and green chemistry principles are applied to prepare these catalytic materials. Full article
(This article belongs to the Section Green Chemistry)
Show Figures

Graphical abstract

11 pages, 838 KB  
Article
Cytotoxic Effects of Water-Soluble N-Heterocyclic Carbene Platinum(II) Complexes on Prostatic Tumor PC3 and Leukemia NB4 Human Cells
by José C. Diez, Edwin A. Baquero, Virginia Rubio, Juan C. Flores, Angel Herráez, M. Cristina Tejedor, Ernesto de Jesús and Ana I. García-Pérez
Compounds 2025, 5(4), 53; https://doi.org/10.3390/compounds5040053 - 26 Nov 2025
Viewed by 390
Abstract
The purpose of this work was to study water-soluble platinum complexes as potential therapeutic agents. We used water-soluble platinum(II) complexes containing sulfonated N-heterocyclic carbene ligands (NHC), applied on two human cell models: human NB4 acute promyelocytic leukemia and PC3 prostatic cancer cells. We [...] Read more.
The purpose of this work was to study water-soluble platinum complexes as potential therapeutic agents. We used water-soluble platinum(II) complexes containing sulfonated N-heterocyclic carbene ligands (NHC), applied on two human cell models: human NB4 acute promyelocytic leukemia and PC3 prostatic cancer cells. We studied the toxic effects on these two types of human tumor cells. We analyzed metabolic activity, membrane damage, cell cycle, DNA fragmentation and programmed cell death. In human NB4 leukemia cells, the water-soluble dimethyl NHC complex 5Me proved highly toxic. It extinguished cell metabolism at 1 mM for 24 h. This treatment gave rise to the presence of fragmented DNA (subdiploid DNA). This compound promoted programed cell death in 60% of the cells. At longer times, the treatments produced neither higher fragmentation of DNA nor augmented apoptosis. 5Me complex, at 100 µM, showed slight toxicity on NB4 cells. In PC3 cells, dimethyl complex 5Me (1 mM for 24 h) is less toxic (reduced DNA fragmentation and programmed cell death) than in NB4 cells. Mono-NHC complexes 4 and 5 treatments at a high concentration for 24 h on PC3 cells produced apoptosis (30% of the cells) but their damage on cell permeability and DNA fragmentation was weak. Thus, PC3 cells are more resistant to NHC platinum(II) complexes than NB4 cells. Full article
Show Figures

Figure 1

14 pages, 1586 KB  
Article
Imidazolinium-Based NHC–Metal Complexes Overcome Both Cancer Multidrug Resistance and Cisplatin Resistance In Vitro
by Márton Szlávik, Ines Lidia Haffaressas, Réka Mandel, Fanni Fekecs, Ágota Apáti, Attila Paczal, András Kotschy, Gergely Szakács and Szilárd Tóth
Int. J. Mol. Sci. 2025, 26(23), 11382; https://doi.org/10.3390/ijms262311382 - 25 Nov 2025
Viewed by 477
Abstract
We report the synthesis and biological characterization of N-heterocyclic carbene (NHC) complexes with gold(I), silver(I), copper(I), and palladium(II) metal centers, and 3-(2,6-diisopropyl-phenyl) imidazolinium- and imidazolium-based ligands, including their biscarbene complexes, along with metal complexes of 4-(S)-tert-butyl-imidazolinium-derived carbenes carrying various substituents in position 1. [...] Read more.
We report the synthesis and biological characterization of N-heterocyclic carbene (NHC) complexes with gold(I), silver(I), copper(I), and palladium(II) metal centers, and 3-(2,6-diisopropyl-phenyl) imidazolinium- and imidazolium-based ligands, including their biscarbene complexes, along with metal complexes of 4-(S)-tert-butyl-imidazolinium-derived carbenes carrying various substituents in position 1. Compared to the imidazolium complexes, the corresponding imidazolinium complexes displayed superior cytotoxicity against the Mes-Sa uterine sarcoma cell line, while the biscarbene complexes exhibited greatly enhanced cytotoxicity with nanomolar activity. The ABCB1-overexpressing multidrug-resistant sublines of Mes-Sa demonstrated only marginal resistance to monocarbene imidazolinium complexes lacking a 4-(S)-tert-butyl group, whereas significant resistance was observed for all other complexes, with its extent further influenced by the nature of the metal center. Probing a subset of the complexes confirmed their strong cytotoxicity against the CST murine breast cancer cell line and its cisplatin-resistant variant, with little or no cross-resistance observed. Within a defined subset, compounds triggered apoptosis, and intracellular ROS production was consistently induced by the copper complexes. Collectively, these results indicate that imidazolinium-based metal NHCs are promising anticancer drug candidates, with copper and silver centers standing out for their potent cytotoxicity and evasion of both ABCB1-mediated and cisplatin resistance. Full article
Show Figures

Graphical abstract

4 pages, 178 KB  
Editorial
Metal Complexes with N-Donor Ligands: Second Edition
by László Kótai
Inorganics 2025, 13(11), 376; https://doi.org/10.3390/inorganics13110376 - 18 Nov 2025
Viewed by 522
Abstract
A wide variety of complexes containing N-donor ligands from ammonia, amines, Schiff bases or N-heterocycles have been prepared since the first complex compound of the family, which was an ammonia cobalt complex, was discovered [...] Full article
(This article belongs to the Special Issue Metal Complexes with N-donor Ligands, 2nd Edition)
45 pages, 5593 KB  
Review
Synthesis of 2-Oxazolines from N-Allyl and N-Propargyl Amides
by Karolina Bojar, Danuta Branowska and Ewa Wolińska
Molecules 2025, 30(22), 4369; https://doi.org/10.3390/molecules30224369 - 12 Nov 2025
Viewed by 861
Abstract
2-Oxazolines are five-membered heterocyclic compounds with significant biological properties. They also play an important role in organic synthesis, acting as chiral ligands and protecting groups for hydroxyamino acids and amino alcohols. Poly(2-oxazolines) are known coating materials, for example, in biomedicine. Classic synthetic methods [...] Read more.
2-Oxazolines are five-membered heterocyclic compounds with significant biological properties. They also play an important role in organic synthesis, acting as chiral ligands and protecting groups for hydroxyamino acids and amino alcohols. Poly(2-oxazolines) are known coating materials, for example, in biomedicine. Classic synthetic methods of 2-oxazolines involve a dehydrative cyclisation reaction between amino alcohols and carboxylic acids, acid chlorides, nitriles, imidates, and aldehydes. However, the electrophilic intramolecular cyclization of unsaturated amides is becoming an increasingly important synthetic method for the preparation of 2-oxazolines. This brief review summarizes procedures for synthesizing oxazolines using the electrophilic intramolecular oxidative cyclisation of N-allyl and N-propargyl amides, as published between 2014 and 2024. It covers the synthesis of 5-halomethyl-, 5-trifluoromethyl-, 5-sulfonylmethyl-, 5-sulfenylmethyl-, 5-selenylmethyl-, 5-acetoxymethyl-, 5-hydroxymethyl-, 5-aminomethyl-, 5-alkilo-, and 5-alkylideneoxazolines. Full article
Show Figures

Graphical abstract

1048 KB  
Proceeding Paper
Synthesis and In Silico Studies of a Novel 1,4-Disubstituted-1,2,3-Triazole-1,3-Oxazole Hybrid System
by Camila Garibay-Manríquez, Ana L. Caldelas-Guerrero, América A. Frías-López, Luis Chacón-García, Erik Díaz-Cervantes and Carlos J. Cortés-García
Chem. Proc. 2025, 18(1), 63; https://doi.org/10.3390/ecsoc-29-26701 - 11 Nov 2025
Viewed by 138
Abstract
In this work, we report an efficient synthetic strategy for accessing novel 1,4-disubstituted-1,2,3-triazole-1,3-oxazole hybrids. The synthesis involves a two-step, three-sequence approach: a multicomponent reaction, subsequent oxidation, and the Van Leusen reaction. This operationally simple protocol proceeds under mild reaction conditions and allows the [...] Read more.
In this work, we report an efficient synthetic strategy for accessing novel 1,4-disubstituted-1,2,3-triazole-1,3-oxazole hybrids. The synthesis involves a two-step, three-sequence approach: a multicomponent reaction, subsequent oxidation, and the Van Leusen reaction. This operationally simple protocol proceeds under mild reaction conditions and allows the rapid assembly of structurally diverse heterocyclic systems. Three new hybrid molecules were synthesized and structurally characterized. To investigate their biological potential, we performed bioactivity prediction studies using cheminformatics tools. Polo-like kinase 3 (PLK3), a serine/threonine-protein kinase involved in cell cycle regulation and apoptosis, was identified as a potential molecular target, for which docking studies were performed, obtaining good ligand efficiency. Full article
Show Figures

Figure 1

45 pages, 15287 KB  
Review
Insight into Current Research on Luminescent Metal–Organic Frameworks (MOFs) Based on the 1,2,4-Triazole Scaffold
by Kornelia Kubiesa and Agnieszka Kudelko
Appl. Sci. 2025, 15(22), 11943; https://doi.org/10.3390/app152211943 - 10 Nov 2025
Viewed by 1066
Abstract
1,2,4-Triazoles, as heterocyclic compounds, represent an attractive class of ligands in the design of metal–organic frameworks (MOFs) due to their donor–acceptor character, thermal and chemical stability, and ability to form extended coordination networks. This review summarizes the literature published between 2019 and 2025 [...] Read more.
1,2,4-Triazoles, as heterocyclic compounds, represent an attractive class of ligands in the design of metal–organic frameworks (MOFs) due to their donor–acceptor character, thermal and chemical stability, and ability to form extended coordination networks. This review summarizes the literature published between 2019 and 2025 on luminescent MOFs incorporating 1,2,4-triazole scaffold. The analysis covers synthetic conditions and provides a detailed discussion of the luminescent properties of these materials. Particular emphasis is placed on their applicability as luminescent probes for environmental monitoring and medical diagnostics, as well as on their potential use in light-emitting diode construction. The collected data highlight promising results, including strong correlations between analyte concentration and luminescent response, enabling sensitive detection with low limits of detection (LOD) for selected analytes. This article may serve as a valuable resource for chemists, physicists, and engineers involved in the design of functional materials and the development of detection and optoelectronic technologies. Full article
(This article belongs to the Special Issue Advances in Organic Synthetic Chemistry)
Show Figures

Figure 1

18 pages, 3769 KB  
Article
Synthesis of Fused Cyclic Aryl Amino Carbon Carbene Salt Precursors ([f-CArACH]+) Incorporating an Auxiliary Arene and Isolation of a Cu(I) Complex
by Polidoros Chrisovalantis. Ioannou, Nikolaos Tsoureas and Sevasti-Panagiota Kotsaki
Organics 2025, 6(4), 51; https://doi.org/10.3390/org6040051 - 10 Nov 2025
Viewed by 1113
Abstract
The synthesis of a small library of fused Cyclic Aryl Amino Carbon (f-CArAC) carbene precursors in the form of 1,1,2,4-tetraaryl-1H-isoindol-2-ium triflate (6), (7-R) (R = tBu, CF3) or 3,3-dimethyl-2,8-bis-arene-substituted-3,4-dihydro-isoquinolin-2-ium hydrogen-dichloride (8) and 2,4,8-tri(substituted)-isoquinolin-2-ium tosylate [...] Read more.
The synthesis of a small library of fused Cyclic Aryl Amino Carbon (f-CArAC) carbene precursors in the form of 1,1,2,4-tetraaryl-1H-isoindol-2-ium triflate (6), (7-R) (R = tBu, CF3) or 3,3-dimethyl-2,8-bis-arene-substituted-3,4-dihydro-isoquinolin-2-ium hydrogen-dichloride (8) and 2,4,8-tri(substituted)-isoquinolin-2-ium tosylate salts (12) has been achieved. All of them feature an arene incorporated on the annulated benzene ring of the corresponding heterocycle, introduced at the early stages of their synthesis via the Suzuki cross-coupling reaction between 2,6-dibromo-benzaldehyde and the desired aryl boronic acid. The terphenyl-2′carbaldehyde by-products of this Suzuki reaction are useful starting points for the preparation of two new iminium iodide salts (10-R) (R = H, CF3) as potential precursors to access ACyclic Amino Carbon (ACAC) carbenes. Compounds (6) and (7-tBu) react readily with hydroxide either in THF or in a biphasic Et2O/aqueous OH solution to produce the substituted isoindolinols (13) and (14), respectively. The thermal dehydration of the former generates the corresponding f-CArAC carbene in situ, which is trapped by Cu(I)Cl furnishing, a rare example of a two-coordinate Cu(I) complex (15) supported by this new ligand scaffold. Full article
(This article belongs to the Special Issue Chemistry of Heterocyclic Compounds)
Show Figures

Figure 1

7 pages, 1111 KB  
Short Note
Bromo(5-cyclohexyl-1-methyl-1H-1,2,4-triazol-4-ium-3-yl)bis(triphenylphosphane)palladium Tetrafluoroborate
by Andrey Y. Chernenko, Igor V. Lavrentev, Maxim A. Shevchenko, Mikhail E. Minyaev, Konstantin E. Shepelenko and Victor M. Chernyshev
Molbank 2025, 2025(4), M2086; https://doi.org/10.3390/M2086 - 10 Nov 2025
Viewed by 376
Abstract
Transition metal complexes bearing protic N-heterocyclic carbene (pNHC) ligands are promising precatalysts for organic reactions due to their capacity for unique hydrogen-bonding interactions. Herein, we report the synthesis and structural characterization of the first Pd(II) complex featuring a pNHC derived from 1,2,4-triazole—a heterocyclic [...] Read more.
Transition metal complexes bearing protic N-heterocyclic carbene (pNHC) ligands are promising precatalysts for organic reactions due to their capacity for unique hydrogen-bonding interactions. Herein, we report the synthesis and structural characterization of the first Pd(II) complex featuring a pNHC derived from 1,2,4-triazole—a heterocyclic system previously unexplored for the preparation of metal/pNHC complexes. The complex was synthesized via oxidative addition of 3-bromo-5-cyclohexyl-1-methyl-1H-1,2,4-triazole to Pd(PPh3)4 in the presence of NH4BF4. Its molecular structure was characterized by NMR spectroscopy and X-ray diffraction analysis. Full article
(This article belongs to the Section Organic Synthesis and Biosynthesis)
Show Figures

Figure 1

21 pages, 3518 KB  
Review
Structural and Pharmacological Insights into Propranolol: An Integrated Crystallographic Perspective
by Adrianna Witczyńska, Łukasz Fijałkowski, Dagmara Mirowska-Guzel, Kamila Blecharz-Klin and Alicja Nowaczyk
Int. J. Mol. Sci. 2025, 26(20), 10080; https://doi.org/10.3390/ijms262010080 - 16 Oct 2025
Cited by 1 | Viewed by 2947
Abstract
Propranolol is a non-selective β-adrenergic receptor antagonist widely used in cardiovascular and neurological therapy. Its naphthalene-based structure contributes to its high lipophilicityand central nervous system penetration. Clinically, propranolol is indicated for hypertension, arrhythmias, anxiety, migraine, and other conditions. It undergoes extensive hepatic metabolism [...] Read more.
Propranolol is a non-selective β-adrenergic receptor antagonist widely used in cardiovascular and neurological therapy. Its naphthalene-based structure contributes to its high lipophilicityand central nervous system penetration. Clinically, propranolol is indicated for hypertension, arrhythmias, anxiety, migraine, and other conditions. It undergoes extensive hepatic metabolism via cytochrome P450 enzymes, notably CYP2D6, with a significant first-pass effect limiting oral bioavailability. This review integrates pharmacological profiling with crystallographic analysis to explore propranolol’s molecular interactions and therapeutic versatility. High-resolution crystal structures of the human β2-adrenergic receptor (hβ2-AR), particularly PDB ID: 6PS5 obtained via serial femtosecond crystallography (SFX), reveal key binding determinants responsible for receptor affinity and antagonism. Comparative structural analysis with other β-blockers—alprenolol, timolol, and carvedilol—highlights how variations in aromatic and heterocyclic frameworks influence pharmacokinetics and receptor selectivity. Superimposition results (RMSD: 0.032 for propranolol–alprenolol, 0.078 for propranolol–carvedilol, and 1.078 for propranolol–timolol) quantitatively illustrate molecular similarity and divergence. The enantioselective behavior of propranolol is also discussed, with the S-enantiomer showing greater receptor affinity and pharmacological potency than the R-form. Beyond canonical β-adrenergic targets, propranolol interacts with non-canonical proteins such as the cellulase enzyme Cel7A and lactoferrin, suggesting off-target effects and novel therapeutic potential. These findings underscore the importance of propranolol’s amphiphilic character, stereochemistry, and electrostatic properties in shaping its pharmacological profile. Overall, the integration of crystallographic data with pharmacological insights supports the rational design of next-generation β-adrenergic ligands with enhanced selectivity, bioavailability, and clinical efficacy. Full article
(This article belongs to the Special Issue Drug Design and Development for Neurological Diseases)
Show Figures

Figure 1

66 pages, 6861 KB  
Review
Catalytic Application of Ionic Liquids for the Green Synthesis of Aromatic Five-Membered Nitrogen Heterocycles
by Jaya Dwivedi, Shivangi Jaiswal, Devesh U. Kapoor and Swapnil Sharma
Catalysts 2025, 15(10), 931; https://doi.org/10.3390/catal15100931 - 1 Oct 2025
Cited by 2 | Viewed by 2295
Abstract
Five-membered nitrogen heterocycles exhibit a diverse range of applications across various fields, including medicine, agrochemicals, and materials science. Worldwide industries have exploited hazardous organic solvents and catalysts to afford key bioactive heterocycles, which in turn have a devastating impact on the aqueous environment. [...] Read more.
Five-membered nitrogen heterocycles exhibit a diverse range of applications across various fields, including medicine, agrochemicals, and materials science. Worldwide industries have exploited hazardous organic solvents and catalysts to afford key bioactive heterocycles, which in turn have a devastating impact on the aqueous environment. The tremendous rise in environmental contamination has shifted the focus of the scientific community towards sustainable alternatives. In line with this, ionic liquids have received the attention of investigators and are widely preferred in organic transformations as catalysts, solvents, ligands, and co-catalysts. Ionic liquids exhibit superior physicochemical properties, such as non-volatility, excellent conductivity, low vapour pressure, non-flammability, and electrochemical and thermal stability, thereby emerging as a clean and efficient alternative to the hazardous volatile organic solvents. The ionic-liquid-assisted synthetic approach has become a popular, greener method owing to high efficiency and product yield with notable purity. Thus, the present article aimed at highlighting catalytic applications of ionic liquids in the synthesis of aromatic five-membered nitrogen heterocycles such as pyrrole, pyrazole, imidazole, 1,2,3-triazole, 1,2,4-triazole, and tetrazole. This article will provide an insight into ionic liquids for their further exploration in organic transformations and related applications. Full article
Show Figures

Figure 1

Back to TopTop