Advances in Catalysis Using N-Heterocyclic Carbene Platinum Complexes
Abstract
1. Introduction
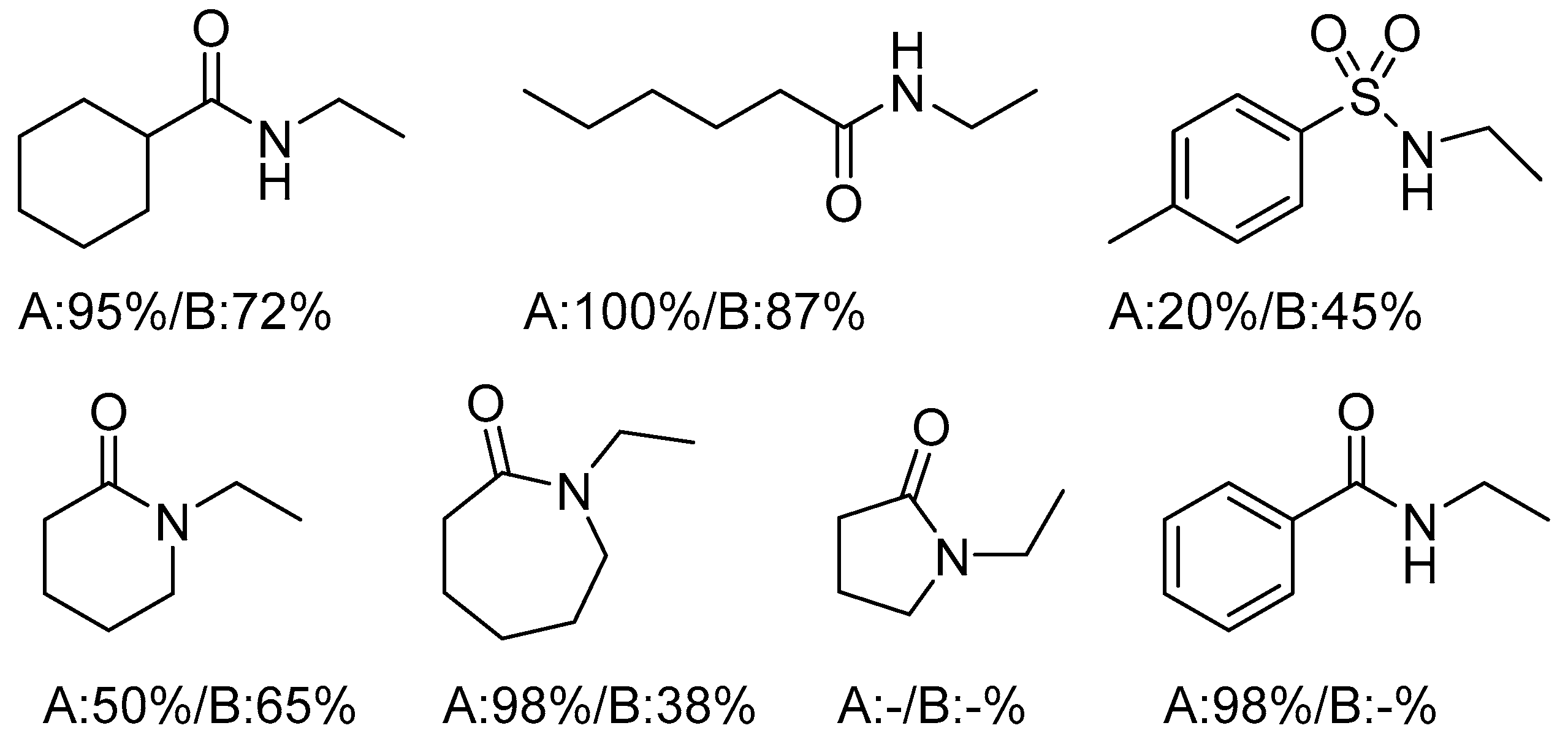
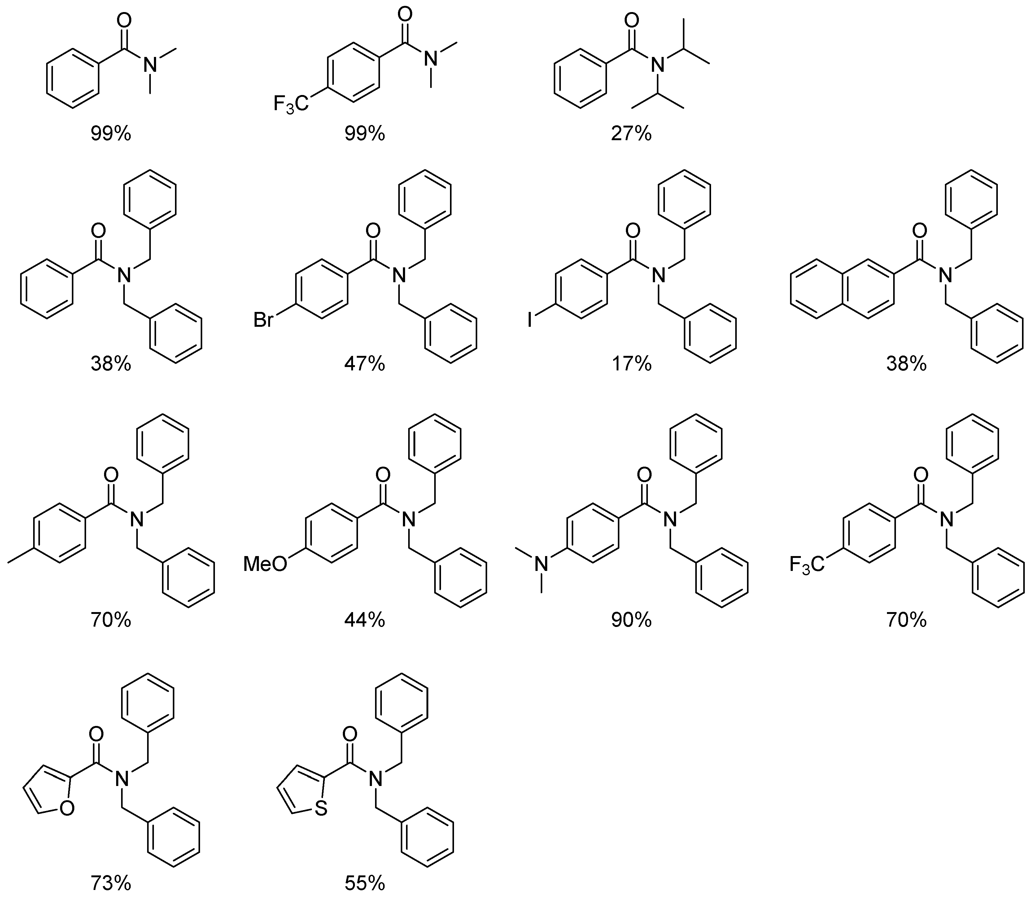
2. Hydrosilylation of Amides
3. Hydrosilylation of CO2
4. Hydroboration
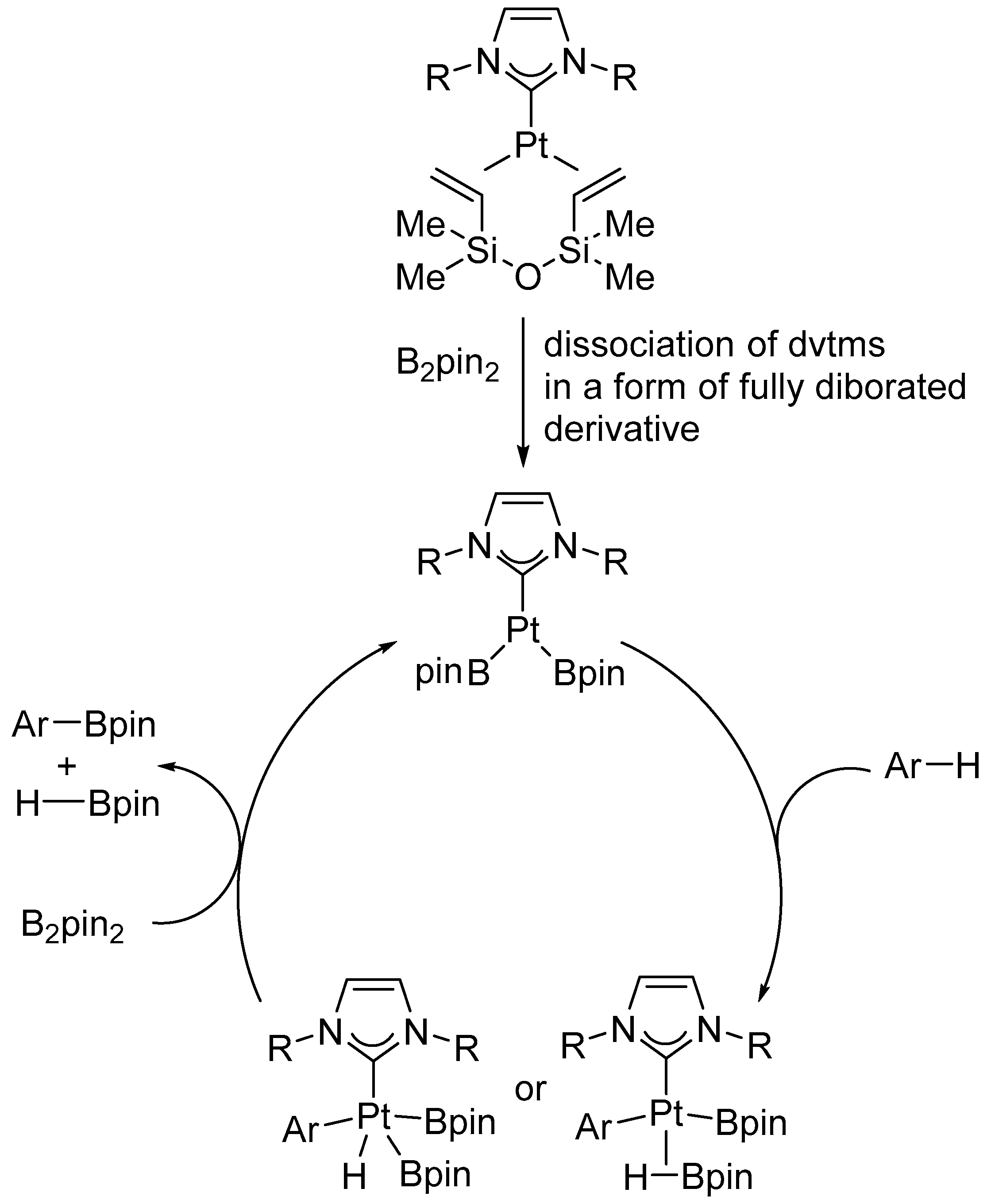
5. Diboration
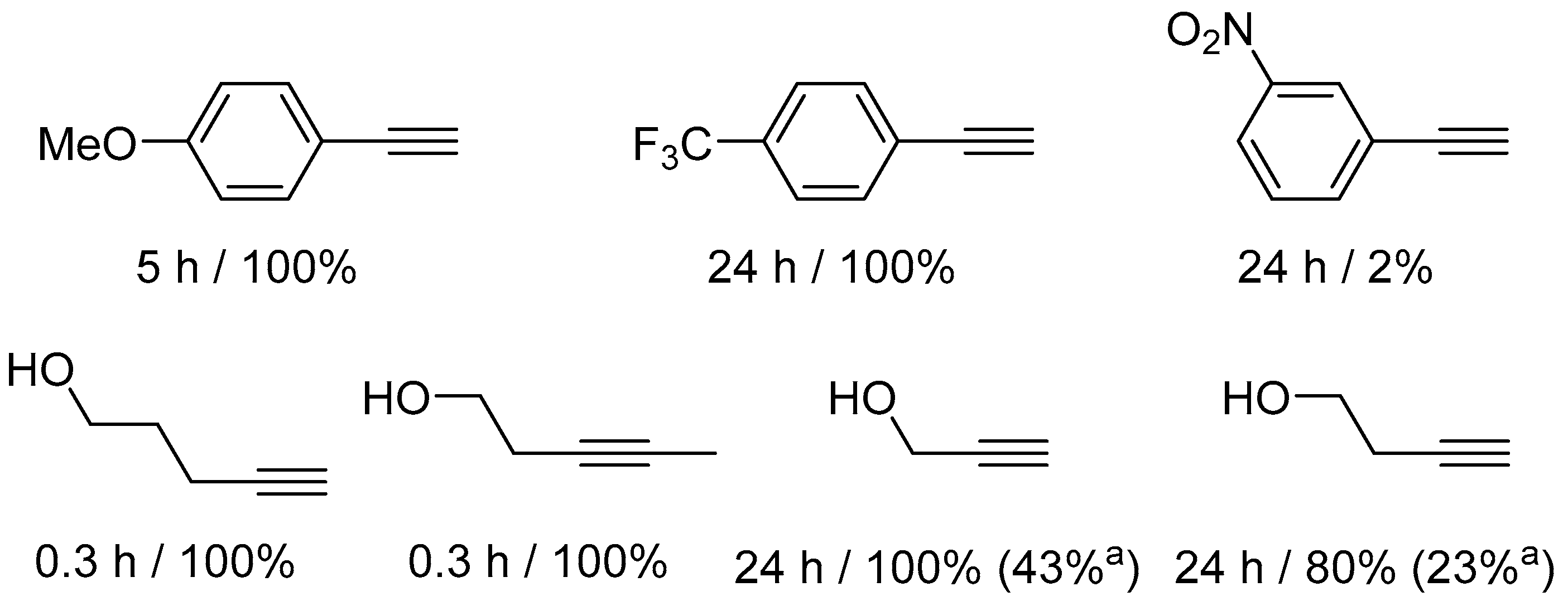
6. Hydroamination
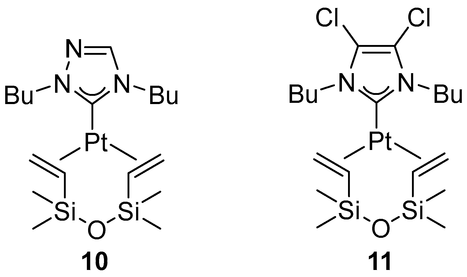
7. Hydration of Alkynes
8. Hydrogenation
9. Dimerization of Terminal Acetylenes
10. Suzuki–Miyaura Coupling
11. Arene C–H Borylation
12. Alkyne Hydroarylation
13. Cycloisomerization and Other Cyclizations
14. Perspectives
Author Contributions
Funding
Institutional Review Board Statement
Informed Consent Statement
Data Availability Statement
Conflicts of Interest
References
- Zhao, S.; Yang, Z.; Jiang, G.; Huang, S.; Bian, M.; Lu, Y.; Liu, W. An Overview of Anticancer Platinum N-Heterocyclic Carbene Complexes. Coord. Chem. Rev. 2021, 449, 214217. [Google Scholar] [CrossRef]
- Bellemin-Laponnaz, S. N-Heterocyclic Carbene Platinum Complexes: A Big Step Forward for Effective Antitumor Compounds. Eur. J. Inorg. Chem. 2020, 1, 10–20. [Google Scholar] [CrossRef]
- Zou, T.; Lok, C.-N.; Wan, P.-K.; Zhang, Z.-F.; Fung, S.-K.; Che, C.-M. Anticancer Metal-N-Heterocyclic Carbene Complexes of Gold, Platinum and Palladium. Curr. Opin. Chem. Biol. 2018, 43, 30–36. [Google Scholar] [CrossRef]
- Amouri, H. Luminescent Complexes of Platinum, Iridium, and Coinage Metals Containing N-Heterocyclic Carbene Ligands: Design, Structural Diversity, and Photophysical Properties. Chem. Rev. 2023, 123, 230–270. [Google Scholar] [CrossRef] [PubMed]
- Strassner, T. Phosphorescent Platinum(II) Complexes with C∧C* Cyclometalated NHC Ligands. Acc. Chem. Res. 2016, 49, 2680–2689. [Google Scholar] [CrossRef]
- Cebrián, C.; Mauro, M. Recent Advances in Phosphorescent Platinum Complexes for Organic Light-Emitting Diodes. Beilstein J. Org. Chem. 2018, 14, 1459–1481. [Google Scholar] [CrossRef]
- Clarke, M.L. Recent Advances in Homogeneous Catalysis Using Platinum Complexes. Polyhedron 2001, 20, 151–164. [Google Scholar] [CrossRef]
- Díez-González, S.; Marion, N.; Nolan, S.P. N-Heterocyclic Carbenes in Late Transition Metal Catalysis. Chem. Rev. 2009, 109, 3612–3676. [Google Scholar] [CrossRef]
- Fort, Y.; Comoy, C. N-Heterocyclic Carbenes in Organic and Organometallic Synthesis. In N-Heterocyclic Carbenes: From Laboratory Curiosities to Efficient Synthetic Tools, 2nd ed.; Díez-González, S., Ed.; Royal Society of Chemistry: Cambridge, UK, 2016; pp. 375–420. [Google Scholar]
- Maliszewski, B.P.; Casillo, E.; Scattolin, T.; Nahra, F.; Cazin, C.S.J.; Nolan, S.P. Unveiling the Potential of Platinum in Homogeneous Catalysis: A Review of Pt-NHC Chemistry and Pt-Catalysed Hydrosilylation Reactions: Part I. Johns. Matthey Technol. Rev. 2026, in press. [Google Scholar]
- Maliszewski, B.P.; Casillo, E.; Scattolin, T.; Nahra, F.; Cazin, C.S.J.; Nolan, S.P. Unveiling the Potential of Platinum in Homogeneous Catalysis: A Review of Pt-NHC Chemistry and Pt-Catalysed Hydrosilylation Reactions: Part II. Johns. Matthey Technol. Rev. 2026, in press. [Google Scholar]
- Mirghaffari, L.; Hosseininezhad, S.; Seydi, M.; Ramazani, A.; Ahankar, H.; Zhang, G. Recent Progress of Platinum and Rhodium Catalysts in Hydrosilylation Reactions. ChemistrySelect 2025, 10, e202501079. [Google Scholar] [CrossRef]
- Dierick, S.; Markó, I.E. N-Heterocyclic Carbenes: Effective Tools for Organometallic Synthesis; Nolan, S.P., Ed.; Wiley-VCH: Weinheim, Germany, 2014; pp. 111–149. [Google Scholar]
- Hanada, S.; Ishida, T.; Motoyama, Y.; Nagashima, H. The Ruthenium-Catalyzed Reduction and Reductive N-Alkylation of Secondary Amides with Hydrosilanes: Practical Synthesis of Secondary and Tertiary Amines by Judicious Choice of Hydrosilanes. J. Org. Chem. 2007, 72, 7551–7559. [Google Scholar] [CrossRef]
- Das, S.; Addis, D.; Zhou, S.; Junge, K.; Beller, M. Zinc-Catalyzed Reduction of Amides: Unprecedented Selectivity and Functional Group Tolerance. J. Am. Chem. Soc. 2010, 132, 1770–1771. [Google Scholar] [CrossRef]
- Das, S.; Addis, D.; Junge, K.; Beller, M. Zinc-Catalyzed Chemoselective Reduction of Tertiary and Secondary Amides to Amines. Chem. Eur. J. 2011, 17, 12186–12192. [Google Scholar] [CrossRef]
- Kelly, C.M.; McDonald, R.; Sydora, O.L.; Stradiotto, M.; Turculet, L. A Manganese Pre-Catalyst: Mild Reduction of Amides, Ketones, Aldehydes, and Esters. Angew. Chem. Int. Ed. 2017, 56, 15901–15904. [Google Scholar] [CrossRef]
- Cheng, C.; Brookhart, M. Iridium-Catalyzed Reduction of Secondary Amides to Secondary Amines and Imines by Diethylsilane. J. Am. Chem. Soc. 2012, 134, 11304–11307. [Google Scholar] [CrossRef] [PubMed]
- Simmons, B.J.; Hoffmann, M.; Hwang, J.; Jackl, M.K.; Garg, N.K. Nickel-Catalyzed Reduction of Secondary and Tertiary Amides. Org. Lett. 2017, 19, 1910–1913. [Google Scholar] [CrossRef] [PubMed]
- Das, S.; Join, B.; Junge, K.; Beller, M. A General and Selective Copper-Catalyzed Reduction of Secondary Amides. Chem. Commun. 2012, 48, 2683–2685. [Google Scholar] [CrossRef]
- Chardon, A.; Morisset, E.; Rouden, J.; Blanchet, J. Recent Advances in Amide Reductions. Synthesis 2018, 50, 984–997. [Google Scholar] [CrossRef]
- Igarashi, M.; Fuchikami, T. Transition-Metal Complex-Catalyzed Reduction of Amides with Hydrosilanes: A Facile Transformation of Amides to Amines. Tetrahedron Lett. 2001, 42, 1945–1947. [Google Scholar] [CrossRef]
- Hanada, S.; Tsutsumi, E.; Motoyama, Y.; Nagashima, H. Practical Access to Amines by Platinum-Catalyzed Reduction of Carboxamides with Hydrosilanes: Synergy of Dual Si−H Groups Leads to High Efficiency and Selectivity. J. Am. Chem. Soc. 2009, 131, 15032–15040. [Google Scholar] [CrossRef]
- Pisiewicz, S.; Junge, K.; Beller, M. Mild Hydrosilylation of Amides by Platinum N-Heterocyclic Carbene Catalysts. Eur. J. Inorg. Chem. 2014, 14, 2345–2349. [Google Scholar] [CrossRef]
- Casillo, E.; Maliszewski, B.P.; Urbina-Blanco, C.A.; Scattolin, T.; Cazin, C.S.J.; Nolan, S.P. Machine Learning Directed Discovery and Optimisation of a Platinum-Catalysed Amide Reduction. Chem. Commun. 2024, 60, 14597–14600. [Google Scholar] [CrossRef] [PubMed]
- Fernández-Alvarez, F.J.; Oro, L.A. Homogeneous Catalytic Reduction of CO2 with Silicon-Hydrides, State of the Art. ChemCatChem 2018, 10, 4783–4796. [Google Scholar] [CrossRef]
- Ríos, P.; Díez, J.; López-Serrano, J.; Rodríguez, A.; Conejero, S. Cationic Platinum(II) σ-SiH Complexes in Carbon Dioxide Hydrosilation. Chem. Eur. J. 2016, 22, 16791–16795. [Google Scholar] [CrossRef]
- Motokura, K.; Kashiwame, D.; Takahashi, N.; Miyaji, A.; Baba, T. Highly Active and Selective Catalysis of Copper Diphosphine Complexes for the Transformation of Carbon Dioxide into Silyl Formate. Chem. Eur. J. 2013, 19, 10030–10037. [Google Scholar] [CrossRef]
- Rej, S.; Das, A.; Panda, T.K. Overview of Regioselective and Stereoselective Catalytic Hydroboration of Alkynes. Adv. Synth. Catal. 2021, 363, 4818–4840. [Google Scholar] [CrossRef]
- Geier, S.J.; Vogels, C.M.; Melanson, J.A.; Westcott, S.A. The Transition Metal-Catalysed Hydroboration Reaction. Chem. Soc. Rev. 2022, 51, 8877–8922. [Google Scholar] [CrossRef]
- Lillo, V.; Mata, J.A.; Segarra, A.M.; Peris, E.; Fernandez, E. The Active Role of NHC Ligands in Platinum-Mediated Tandem Hydroboration–Cross-Coupling Reactions. Chem. Commun. 2007, 21, 2184–2186. [Google Scholar] [CrossRef]
- Ishiyama, T.; Matsuda, N.; Miyaura, N.; Suzuki, A. Platinum(0)-Catalyzed Diboration of Alkynes. J. Am. Chem. Soc. 1993, 115, 11018–11019. [Google Scholar] [CrossRef]
- Zhao, F.; Jia, X.; Li, P.; Zhao, J.; Zhou, Y.; Wang, J.; Liu, H. Catalytic and Catalyst-Free Diboration of Alkynes. Org. Chem. Front. 2017, 4, 2235–2255. [Google Scholar] [CrossRef]
- Ansell, M.B.; Navarro, O.; Spencer, J. Transition Metal Catalyzed Element–Element′ Additions to Alkynes. Coord. Chem. Rev. 2017, 336, 54–77. [Google Scholar] [CrossRef]
- Neeve, E.C.; Geier, S.J.; Mkhalid, I.A.I.; Westcott, S.A.; Marder, T.B. Diboron Compounds: From Structural Curiosity to Synthetic Workhorse. Chem. Rev. 2016, 116, 9091–9161. [Google Scholar] [CrossRef] [PubMed]
- Barbeyron, R.; Benedetti, E.; Cossy, J.; Vasseur, J.-J.; Arseniyadis, S.; Smietana, M. Recent Developments in Alkyne Borylations. Tetrahedron 2014, 70, 8431–8452. [Google Scholar] [CrossRef]
- Lillo, V.; Mata, J.; Ramírez, J.; Peris, E.; Fernandez, E. Catalytic Diboration of Unsaturated Molecules with Platinum(0)−NHC: Selective Synthesis of 1,2-Dihydroxysulfones. Organometallics 2006, 25, 5829–5831. [Google Scholar] [CrossRef]
- Pubill-Ulldemolins, C.; Bo, C.; Mata, J.A.; Fernández, E. Perceptible Influence of Pd and Pt Heterocyclic Carbene–Pyridyl Complexes in Catalytic Diboration of Cyclic Alkenes. Chem. Asian J. 2010, 5, 261–264. [Google Scholar] [CrossRef]
- Rzhevskiy, S.A.; Topchiy, M.A.; Lyssenko, K.A.; Philippova, A.N.; Belaya, M.A.; Ageshina, A.A.; Bermeshev, M.V.; Nechaev, M.S.; Asachenko, A.F. New Expanded-Ring NHC Platinum(0) Complexes: Synthesis, Structure and Highly Efficient Diboration of Terminal Alkenes. J. Organomet. Chem. 2020, 912, 121140. [Google Scholar] [CrossRef]
- Ma, S.; Hartwig, J.F. Progression of Hydroamination Catalyzed by Late Transition-Metal Complexes from Activated to Unactivated Alkenes. Acc. Chem. Res. 2023, 56, 1565–1577. [Google Scholar] [CrossRef]
- Escorihuela, J.; Lledós, A.; Ujaque, G. Anti-Markovnikov Intermolecular Hydroamination of Alkenes and Alkynes: A Mechanistic View. Chem. Rev. 2023, 123, 9139–9203. [Google Scholar] [CrossRef]
- Huang, L.; Arndt, M.; Gooßen, K.; Heydt, H.; Gooßen, L.J. Late Transition Metal-Catalyzed Hydroamination and Hydroamidation. Chem. Rev. 2015, 115, 2596–2697. [Google Scholar] [CrossRef]
- Müller, T.E.; Hultzsch, K.C.; Yus, M.; Foubelo, F.; Tada, M. Hydroamination: Direct Addition of Amines to Alkenes and Alkynes. Chem. Rev. 2008, 108, 3795–3892. [Google Scholar] [CrossRef]
- Michelet, V.; Toullec, P.Y.; Genêt, J.-P. Cycloisomerization of 1,n-Enynes: Challenging Metal-Catalyzed Rearrangements and Mechanistic Insights. Angew. Chem. Int. Ed. 2008, 47, 4268–4315. [Google Scholar] [CrossRef] [PubMed]
- Severin, R.; Doye, S. The Catalytic Hydroamination of Alkynes. Chem. Soc. Rev. 2007, 36, 1407–1420. [Google Scholar] [CrossRef]
- Cao, P.; Cabrera, J.; Padilla, R.; Serra, D.; Rominger, F.; Limbach, M. Hydroamination of Unactivated Alkenes Catalyzed by Novel Platinum(II) N -Heterocyclic Carbene Complexes. Organometallics 2012, 31, 921–929. [Google Scholar] [CrossRef]
- Zhang, R.; Xu, Q.; Mei, L.; Li, S.; Shi, M. A N-Heterocyclic Carbene (NHC) Platinum Complex as Pre-Catalyst for the Intramolecular Hydroamination of Olefins with Secondary Alkylamines and Oxidative Amination of ω-Alkenic Amines. Tetrahedron 2012, 68, 3172–3178. [Google Scholar] [CrossRef]
- Bernhammer, J.C.; Huynh, H.V. Platinum(II) Complexes with Thioether-Functionalized Benzimidazolin-2-Ylidene Ligands: Synthesis, Structural Characterization, and Application in Hydroelementation Reactions. Organometallics 2014, 33, 172–180. [Google Scholar] [CrossRef]
- Nguyen, V.H.; Nguyen, H.H.; Do, H.H. 1,2,4-Triazole-Derived N-Heterocyclic Carbene Complexes of Platinum(II) as Catalysts for Hydroamination Reactions and Active Anticancer Agents. Inorg. Chem. Commun. 2020, 121, 108173. [Google Scholar] [CrossRef]
- Gao, P.; Szostak, M. Hydration Reactions Catalyzed by Transition Metal–NHC (NHC = N-Heterocyclic Carbene) Complexes. Coord. Chem. Rev. 2023, 485, 215110. [Google Scholar] [CrossRef]
- Liu, X.; Pozzo, J.-L.; Hamze, A.; Alami, M.; Provot, O. Hydration of Unsymmetrical Internal Alkynes: Factors Governing the Regioselectivity. ACS Catal. 2023, 13, 10115–10136. [Google Scholar] [CrossRef]
- Salvio, R.; Bassetti, M. Sustainable Hydration of Alkynes Promoted by First Row Transition Metal Complexes. Background, Highlights and Perspectives. Inorganica Chim. Acta 2021, 522, 120288. [Google Scholar] [CrossRef]
- Chatt, J.; Guy, R.G.; Duncanson, L.A. Complexes of Acetylenes with Platinum(II). Part I. Alkynes. J. Chem. Soc. 1961, 261, 827–834. [Google Scholar] [CrossRef]
- Hartman, J.W.; Hiscox, W.C.; Jennings, P.W. Catalytic Hydration of Alkynes with Platinum(II) Complexes. J. Org. Chem. 1993, 58, 7613–7614. [Google Scholar] [CrossRef]
- Hiscox, W.; Jennings, P.W. Catalytic Hydration of Alkynes with Zeise’s Dimer. Organometallics 1990, 9, 1997–1999. [Google Scholar] [CrossRef]
- Jennings, P.W.; Hartman, J.W.; Hiscox, W.C. Alkyne Hydration Using Pt(II) Catalysts. Inorganica Chim. Acta 1994, 222, 317–322. [Google Scholar] [CrossRef]
- Francisco, L.W.; Moreno, D.A.; Atwood, J.D. Synthesis, Characterization, and Reaction Chemistry of PtCl2P(m-C6H4SO3Na)3]2, an Alkyne Hydration Catalyst. Organometallics 2001, 20, 4237–4245. [Google Scholar] [CrossRef]
- Lucey, D.W.; Atwood, J.D. Insight into the Selective Room-Temperature Platinum(II) Catalytic Hydration of Alkynes in Water. Organometallics 2002, 21, 2481–2490. [Google Scholar] [CrossRef]
- Baquero, E.A.; Silbestri, G.F.; Gómez-Sal, P.; Flores, J.C.; De Jesús, E. Sulfonated Water-Soluble N-Heterocyclic Carbene Silver(I) Complexes: Behavior in Aqueous Medium and as NHC-Transfer Agents to Platinum(II). Organometallics 2013, 32, 2814–2826. [Google Scholar] [CrossRef]
- Nguyen, V.H.; Dang, T.T.; Nguyen, H.H.; Huynh, H.V. Platinum(II) 1,2,4-Triazolin-5-Ylidene Complexes: Stereoelectronic Influences on Their Catalytic Activity in Hydroelementation Reactions. Organometallics 2020, 39, 2309–2319. [Google Scholar] [CrossRef]
- Koppaka, A.; Captain, B. Reversible Inter- and Intramolecular Carbon–Hydrogen Activation, Hydrogen Addition, and Catalysis by the Unsaturated Complex Pt(IPr)(SnBut3)(H). Inorg. Chem. 2016, 55, 2679–2681. [Google Scholar] [CrossRef]
- Sergio, E.; García-Garrido, S.E. Transition-Metal-Catalysed Reactions of Alkynes. In Modern Alkyne Chemistry; Trost, B.M., Li, C.-J., Eds.; Wiley-VCH: Weinheim, Germany, 2015; pp. 299–334. [Google Scholar]
- Trost, B.M.; Masters, J.T. Transition Metal-Catalyzed Couplings of Alkynes to 1,3-Enynes: Modern Methods and Synthetic Applications. Chem. Soc. Rev. 2016, 45, 2212–2238. [Google Scholar] [CrossRef] [PubMed]
- Zhou, Y.; Zhang, Y.; Wang, J. Recent Advances in Transition-Metal-Catalyzed Synthesis of Conjugated Enynes. Org. Biomol. Chem. 2016, 14, 6638–6650. [Google Scholar] [CrossRef]
- Żak, P.; Bołt, M.; Lorkowski, J.; Kubicki, M.; Pietraszuk, C. Platinum Complexes Bearing Bulky N-Heterocyclic Carbene Ligands as Efficient Catalysts for the Fully Selective Dimerization of Terminal Alkynes. ChemCatChem 2017, 9, 3627–3631. [Google Scholar] [CrossRef]
- Żak, P.; Bołt, M.; Dudziec, B.; Kubicki, M. Synthesis of (E)-1,4-Disilsesquioxylsubstituted but-1-En-3-Ynes via Platinum-Catalyzed Dimerization of Ethynylsiloxysilsesquioxanes. Dalton Trans. 2019, 48, 2657–2663. [Google Scholar] [CrossRef]
- Kadu, B.S. Suzuki–Miyaura cross Coupling Reaction: Recent Advancements in Catalysis and Organic Synthesis. Catal. Sci. Technol. 2021, 11, 1186–1221. [Google Scholar] [CrossRef]
- Yousefi, A.; Sabounchei, S.J.; Moazzami Farida, S.H.; Karamian, R.; Rahmani, N.; Gable, R.W. Different Properties of P, C-Donor Pd(II) and Pt(II); Spectroscopic and X-Ray Analysis, Catalytic Potential and Anti-Proliferative Potency. J. Organomet. Chem. 2019, 890, 21–31. [Google Scholar] [CrossRef]
- Bedford, R.B.; Hazelwood, S.L.; Albisson, D.A. Platinum Catalysts for Suzuki Biaryl Coupling Reactions. Organometallics 2002, 21, 2599–2600. [Google Scholar] [CrossRef]
- Maliszewski, B.P.; Tzouras, N.V.; Guillet, S.G.; Saab, M.; Beliš, M.; Van Hecke, K.; Nahra, F.; Nolan, S.P. A General Protocol for the Synthesis of Pt-NHC (NHC = N-Heterocyclic Carbene) Hydrosilylation Catalysts. Dalton Trans. 2020, 49, 14673–14679. [Google Scholar] [CrossRef]
- Smoczyńska, A.; Ostrowska, S.; Chojnacka, A.; Nolan, S.P.; Pietraszuk, C. The Suzuki–Miyaura Coupling of Aryl Chlorides with Arylboronic Acids Catalysed by NHC Platinum Complexes. J. Catal. 2026, 453, 116452. [Google Scholar] [CrossRef]
- Roy, D.; Uozumi, Y. Recent Advances in Palladium-Catalyzed Cross-CouplingReactions at ppm to ppb Molar Catalyst Loadings. Adv. Synth. Catal. 2018, 360, 602–625. [Google Scholar] [CrossRef]
- Xu, L.; Wang, G.; Zhang, S.; Wang, H.; Wang, L.; Liu, L.; Jiao, J.; Li, P. Recent Advances in Catalytic C−H Borylation Reactions. Tetrahedron 2017, 73, 7123–7157. [Google Scholar] [CrossRef]
- Mkhalid, I.A.I.; Barnard, J.H.; Marder, T.B.; Murphy, J.M.; Hartwig, J.F. C−H Activation for the Construction of C−B Bonds. Chem. Rev. 2010, 110, 890–931. [Google Scholar] [CrossRef] [PubMed]
- Hartwig, J.F. Regioselectivity of the borylation of alkanes and arenes. Chem. Soc. Rev. 2011, 40, 1992–2002. [Google Scholar] [CrossRef]
- Furukawa, T.; Tobisu, M.; Chatani, N. C–H Functionalization at Sterically Congested Positions by the Platinum-Catalyzed Borylation of Arenes. J. Am. Chem. Soc. 2015, 137, 12211–12214. [Google Scholar] [CrossRef] [PubMed]
- Furukawa, T.; Tobisu, M.; Chatani, N. C–H Borylation by Platinum Catalysis. Bull. Chem. Soc. Jpn. 2017, 90, 332–342. [Google Scholar] [CrossRef]
- Rzhevskiy, S.A.; Topchiy, M.A.; Golenko, Y.D.; Gribanov, P.S.; Sterligov, G.K.; Kirilenko, N.Y.; Ageshina, A.A.; Bermeshev, M.V.; Nechaev, M.S.; Asachenko, A.F. Undirected ortho-selectivity in C–H borylation of arenes catalyzed by NHC platinum(0) complexes. Mendeleev Commun. 2020, 30, 569–571. [Google Scholar] [CrossRef]
- Takaya, J.; Ito, S.; Nomoto, H.; Saito, N.; Kirai, N.; Iwasawa, N. Fluorine-Controlled C–H Borylation of Arenes Catalyzed by a PSiN-Pincer Platinum Complex. Chem. Commun. 2015, 51, 17662–17665. [Google Scholar] [CrossRef]
- Jia, C.; Piao, D.; Oyamada, J.; Lu, W.; Kitamura, T.; Fujiwara, Y. Efficient Activation of Aromatic C-H Bonds for Addition to C-C Multiple Bonds. Science 2000, 287, 1992–1995. [Google Scholar] [CrossRef]
- Ackermann, L.; Gunnoe, T.B.; Habgood, L.G. (Eds.) Catalytic Hydroarylation of Carbon–Carbon Multiple Bonds; Wiley-VCH: Weinheim, Germany, 2018. [Google Scholar]
- Dixneuf, P.H.; Doucet, H. (Eds.) C–H Bond Activation and Catalytic Functionalization I and II; Topics in Organometallic Chemistry; Springer: Heidelberg, Germany, 2016. [Google Scholar]
- Li, J.J. (Ed.) C–H Bond Activation in Organic Synthesis; CRC Press: Boca Raton, FL, USA, 2015. [Google Scholar]
- Vicenzi, D.; Sgarbossa, P.; Biffis, A.; Tubaro, C.; Basato, M.; Michelin, R.A.; Lanza, A.; Nestola, F.; Bogialli, S.; Pastore, P.; et al. Platinum(II) Complexes with Novel Diisocyanide Ligands: Catalysts in Alkyne Hydroarylation. Organometallics 2013, 32, 7153–7162. [Google Scholar] [CrossRef]
- Hahn, C.; Miranda, M.; Chittineni, N.P.B.; Pinion, T.A.; Perez, R. Mechanistic Studies on Platinum(II) Catalyzed Hydroarylation of Alkynes. Organometallics 2014, 33, 3040–3050. [Google Scholar] [CrossRef]
- Garcia, B.; Manjahi, M.M.; Pinion, T.A.; Hahn, C.; Adams, C.; Medina, J.; Garcia, L.; Nguyen, N.T.B. Acid-Free Intermolecular Hydroarylation of Acetylene Catalyzed by Dicationic Palladium(II) and Platinum(II) Ethylene Complexes. Eur. J. Inorg. Chem. 2024, 27, e202300517. [Google Scholar] [CrossRef]
- Biffis, A.; Tubaro, C.; Buscemi, G.; Basato, M. Highly Efficient Alkyne Hydroarylation with Chelating Dicarbene Palladium(II) and Platinum(II) Complexes. Adv. Synth. Catal. 2008, 350, 189–196. [Google Scholar] [CrossRef]
- Trost, B.M.; Krische, M.J. Transition Metal Catalyzed Cycloisomerizations. Synlett 1998, 1, 1–16. [Google Scholar] [CrossRef]
- Fürstner, A. Gold and Platinum Catalysis—A Convenient Tool for Generating Molecular Complexity. Chem. Soc. Rev. 2009, 38, 3208–3221. [Google Scholar] [CrossRef]
- Zhang, L.; Sun, J.; Kozmin, S.A. Gold and Platinum Catalysis of Enyne Cycloisomerization. Adv. Synth. Catal. 2006, 348, 2271–2296. [Google Scholar] [CrossRef]
- Jung, I.G.; Seo, J.; Lee, S.I.; Choi, S.Y.; Chung, Y.K. Reductive Cyclization of Diynes and Enynes Catalyzed by Allyl Platinum N-Heterocyclic Carbene Complexes. Organometallics 2006, 25, 4240–4242. [Google Scholar] [CrossRef]
- Liu, J.-X.; Xu, S.-Q.; Han, Y.-P.; Liang, Y.-M. Recent Advances in Cyclization Reactions of 1,6-Enynes. Adv. Synth. Catal. 2024, 366, 1220–1268. [Google Scholar] [CrossRef]
- Brissy, D.; Skander, M.; Retailleau, P.; Marinetti, A. N-Heterocyclic Carbenes in the Synthesis of Axially Chiral Square-Planar Platinum Complexes. Organometallics 2007, 26, 5782–5785. [Google Scholar] [CrossRef]
- Brissy, D.; Skander, M.; Retailleau, P.; Frison, G.; Marinetti, A. Platinum(II) Complexes Featuring Chiral Diphosphines and N-Heterocyclic Carbene Ligands: Synthesis and Evaluation as Cycloisomerization Catalysts. Organometallics 2009, 28, 140–151. [Google Scholar] [CrossRef]
- Brissy, D.; Skander, M.; Jullien, H.; Retailleau, P.; Marinetti, A. Platinum(II) Catalysts for Highly Enantioselective 1,6-Enyne Cycloisomerizations. Synthetic, Structural, and Catalytic Studies. Org. Lett. 2009, 11, 2137–2139. [Google Scholar] [CrossRef]
- Jullien, H.; Brissy, D.; Sylvain, R.; Retailleau, P.; Naubron, J.; Gladiali, S.; Marinetti, A. Cyclometalated N-Heterocyclic Carbene-Platinum Catalysts for the Enantioselective Cycloisomerization of Nitrogen-Tethered 1,6-Enynes. Adv. Synth. Catal. 2011, 353, 1109–1124. [Google Scholar] [CrossRef]
- Zhang, Y.; Jullien, H.; Brissy, D.; Retailleau, P.; Voituriez, A.; Marinetti, A. Platinum(II) Catalyzed Enantioselective Cycloisomerizations of 3-Hydroxylated 1,5-Enynes. ChemCatChem 2013, 5, 2051–2057. [Google Scholar] [CrossRef]
- Pertschi, R.; Hatey, D.; Pale, P.; De Frémont, P.; Blanc, A. Synthesis, Characterization, and Catalytic Activity of Chiral NHC Platinum(II) Pyridine Dihalide Complexes. Organometallics 2020, 39, 804–812. [Google Scholar] [CrossRef]
- Newton, C.G.; Wang, S.-G.; Oliveira, C.C.; Cramer, N. Catalytic Enantioselective Transformations Involving C–H Bond Cleavage by Transition-Metal Catalysts. Chem. Rev. 2017, 117, 8908–8976. [Google Scholar] [CrossRef] [PubMed]
- Hashmi, A.S.K. Gold-Catalyzed Organic Reactions. Chem. Rev. 2007, 107, 3180–3211. [Google Scholar] [CrossRef] [PubMed]
- Shibata, T.; Pan, S. Iridium-Catalyzed Asymmetric C–H Functionalization. In Handbook of C–H Functionalization; John Wiley & Sons: Hoboken, NJ, USA, 2022; pp. 1–26. [Google Scholar]
























































































Disclaimer/Publisher’s Note: The statements, opinions and data contained in all publications are solely those of the individual author(s) and contributor(s) and not of MDPI and/or the editor(s). MDPI and/or the editor(s) disclaim responsibility for any injury to people or property resulting from any ideas, methods, instructions or products referred to in the content. |
© 2026 by the authors. Licensee MDPI, Basel, Switzerland. This article is an open access article distributed under the terms and conditions of the Creative Commons Attribution (CC BY) license.
Share and Cite
Smoczyńska, A.; Ostrowska, S.; Pietraszuk, C. Advances in Catalysis Using N-Heterocyclic Carbene Platinum Complexes. Molecules 2026, 31, 448. https://doi.org/10.3390/molecules31030448
Smoczyńska A, Ostrowska S, Pietraszuk C. Advances in Catalysis Using N-Heterocyclic Carbene Platinum Complexes. Molecules. 2026; 31(3):448. https://doi.org/10.3390/molecules31030448
Chicago/Turabian StyleSmoczyńska, Anna, Sylwia Ostrowska, and Cezary Pietraszuk. 2026. "Advances in Catalysis Using N-Heterocyclic Carbene Platinum Complexes" Molecules 31, no. 3: 448. https://doi.org/10.3390/molecules31030448
APA StyleSmoczyńska, A., Ostrowska, S., & Pietraszuk, C. (2026). Advances in Catalysis Using N-Heterocyclic Carbene Platinum Complexes. Molecules, 31(3), 448. https://doi.org/10.3390/molecules31030448

