Sign in to use this feature.

Years

Between: -

Subjects

remove_circle_outline
remove_circle_outline
remove_circle_outline
remove_circle_outline
remove_circle_outline
remove_circle_outline
remove_circle_outline

Journals

Article Types

Countries / Regions

Search Results (58)

Search Parameters:
Keywords = HPMA

Order results
Result details
Results per page
Select all
Export citation of selected articles as:
23 pages, 6502 KB  
Article
UCST-Activated Network Reinforcement in Hybrid Microgels for Smart Plugging
by Mingliang Du, Huifeng He, Qingchen Wang, Keming Sheng, Guancheng Jiang and Yinbo He
Gels 2026, 12(1), 8; https://doi.org/10.3390/gels12010008 - 21 Dec 2025
Viewed by 401
Abstract
Conventional polymer-based plugging materials often fail in deep-well environments due to passive thermal softening and network relaxation, which significantly compromise mechanical integrity and interfacial retention. To address this challenge, a novel smart Upper Critical Solution Temperature (UCST)-responsive hybrid microgel (SUPA) was synthesized for [...] Read more.
Conventional polymer-based plugging materials often fail in deep-well environments due to passive thermal softening and network relaxation, which significantly compromise mechanical integrity and interfacial retention. To address this challenge, a novel smart Upper Critical Solution Temperature (UCST)-responsive hybrid microgel (SUPA) was synthesized for adaptive plugging in complex formations. The distinctive UCST responsiveness was conferred by incorporating N-(2-amino-2-oxoethyl)acrylamide (NAGA) and N-(2-hydroxypropyl) methacrylamide (HPMA) functional units into a robust dual-crosslinked network. Particle size analysis and oscillatory rheology in saline solution revealed the thermal activation mechanism: surpassing the critical temperature triggers the dissociation of intramolecular hydrogen bonds, driving polymer chain extension and volumetric expansion. This conformational transition induces dynamic network reinforcement, quantified by a significant ~7.5-fold increase in the storage modulus (G′). Consequently, the SUPA-enhanced fluid exhibited superior rheological performance, including a 4.4-fold increase in low-shear viscosity and rapid thixotropic recovery (ratio of 1.06). Crucially, lost circulation tests confirmed reliable and highly efficient sealing performance under harsh conditions of 150 °C and 5 MPa, even in fractured models. This study validates a design strategy centered on UCST-activated network reinforcement, offering a robust, mechanism-driven solution for severe lost circulation control in deep-well drilling. Full article
(This article belongs to the Section Gel Applications)
Show Figures

Graphical abstract

17 pages, 2564 KB  
Article
Stimuli-Sensitive Platinum-Based Anticancer Polymer Therapeutics: Synthesis and Evaluation In Vitro
by Kateřina Běhalová, Martin Studenovský, Kevin Kotalík, Rafal Konefal, Marek Kovář and Tomáš Etrych
Pharmaceutics 2025, 17(11), 1433; https://doi.org/10.3390/pharmaceutics17111433 - 5 Nov 2025
Viewed by 726
Abstract
Background/Objectives: Here, we report the design, synthesis, and in vitro biological evaluation of a novel stimuli-sensitive nanotherapeutics based on cisplatin analog, cis-[PtCl2(NH3)(2-(3-oxobutyl)pyridine)] (Pt-OBP), covalently linked to a N-(2-hydroxypropyl)methacrylamide (HPMA) copolymer via a pH-sensitive hydrazone bond. Methods: Two [...] Read more.
Background/Objectives: Here, we report the design, synthesis, and in vitro biological evaluation of a novel stimuli-sensitive nanotherapeutics based on cisplatin analog, cis-[PtCl2(NH3)(2-(3-oxobutyl)pyridine)] (Pt-OBP), covalently linked to a N-(2-hydroxypropyl)methacrylamide (HPMA) copolymer via a pH-sensitive hydrazone bond. Methods: Two polymer–drug conjugates, P-Pt-A and P-Pt-B, were synthesized, differing in spacer length between the polymer chain and hydrazone bond, which in turn modulates their drug release kinetics. Results: The spacer based on hydrazone bond demonstrated satisfactory stability under blood-mimicking conditions while enabling selective release of the active drug intracellularly or even in the mildly acidic tumor microenvironment. Pt-OBP exhibits comparable or even superior cytostatic and cytotoxic activity to carboplatin across a panel of murine and human cancer cell lines, with the highest potency observed in FaDu cells representing human head and neck squamous cell carcinoma. Mechanistically, Pt-OBP induced significant phosphorylation of γ-H2AX and activation of caspase-3, indicating its ability to cause DNA damage with subsequent apoptosis induction. P-Pt-A retained moderate biological activity, whereas the slower-releasing P-Pt-B exhibited reduced potency in vitro, consistent with its drug release profile. Conclusions: Notably, free Pt-OBP induced rapid apoptotic cell death, surpassing carboplatin at early time points, and the polymeric conjugates achieved comparable pro-apoptotic activity after extended incubation, suggesting effective intracellular release of the active drug. Full article
(This article belongs to the Section Drug Targeting and Design)
Show Figures

Graphical abstract

17 pages, 2281 KB  
Article
Nanomedicines for Delivery of Cytarabine: Effect of Carrier Structure and Spacer on the Anti-Lymphoma Efficacy
by Robert Pola, Eliška Grosmanová, Michal Pechar, Libor Kostka, Eva Pokorná, Liliana Tušková, Pavel Klener and Tomáš Etrych
Polymers 2025, 17(21), 2837; https://doi.org/10.3390/polym17212837 - 24 Oct 2025
Viewed by 660
Abstract
High-dose therapy with cytarabine (araC) is a standard treatment for aggressive non-Hodgkin lymphomas, but its efficacy is limited by rapid enzymatic degradation. To overcome this, araC was conjugated to N-(2-hydroxypropyl)methacrylamide (HPMA) copolymers to form linear and star-like nanomedicines using six different spacers: [...] Read more.
High-dose therapy with cytarabine (araC) is a standard treatment for aggressive non-Hodgkin lymphomas, but its efficacy is limited by rapid enzymatic degradation. To overcome this, araC was conjugated to N-(2-hydroxypropyl)methacrylamide (HPMA) copolymers to form linear and star-like nanomedicines using six different spacers: 3-aminopropanoyl, 5-pentanoyl, 6-aminohexanoyl, 4-aminobenzoyl, glycyl, and diglycyl. The conjugates contained 12.5–14.7 wt% araC and exhibited distinct hydrolytic release profiles at pH 7.4. LC1 (3-aminopropanoyl) and LC6 (diglycyl) released the drug most rapidly (~80% bound after 72 h), and LC2, LC3, and the star conjugate SC1 showed intermediate stability (~90%), while LC4 (4-aminobenzoyl) was most stable (~95%). In vivo, all conjugates markedly suppressed tumor growth in patient-derived xenograft models of mantle cell and Burkitt lymphoma compared with free araC. LC1 and LC2 provided the most durable tumor control, delaying regrowth beyond 40 days, and SC1 achieved comparable efficacy at a reduced araC-equivalent dose (2 mg/mouse vs. 3 mg/mouse for linear conjugates). These results demonstrate that spacer structure critically influences drug release and identify LC1 and LC2 as promising candidates for further development in lymphoma therapy. Full article
(This article belongs to the Section Polymer Applications)
Show Figures

Graphical abstract

35 pages, 14460 KB  
Article
Epoxy-Functional (Alkyl)methacrylate-Based Hybrids Reinforced with Layered Silicate Montmorillonite: From Mechanistic Study to Sustainable Wastewater Treatment
by Berran Sanay, Rabia Bozbay, Sena Ciftbudak, Zeynep Ulker, Sevval Teke, Zuhal Akyol, Elif Pelin Ozdemir and Nermin Orakdogen
Gels 2025, 11(10), 803; https://doi.org/10.3390/gels11100803 - 7 Oct 2025
Cited by 1 | Viewed by 753
Abstract
This work aims to design versatile hybrids fabricated by poly(hydroxypropyl methacrylate-co-glycidyl methacrylate) gels loaded with pristine montmorillonite, P(HPMA-co-GMA)/Mmt, by varying the clay content. Insights into design of epoxy-functional hybrids were provided by combining in situ copolymerization reactions with solution mixing to evaluate the [...] Read more.
This work aims to design versatile hybrids fabricated by poly(hydroxypropyl methacrylate-co-glycidyl methacrylate) gels loaded with pristine montmorillonite, P(HPMA-co-GMA)/Mmt, by varying the clay content. Insights into design of epoxy-functional hybrids were provided by combining in situ copolymerization reactions with solution mixing to evaluate the effect of aluminosilicate addition on structure–property changes in (alkyl)methacrylate-based gels. Comprehensive analyses were conducted regarding the composition and structural properties of hybrids in the presence of Mmt. The hybrids exhibited excellent swelling, salt surfactant tolerance, and pH sensitivity depending on the composition. The higher the Mmt concentration, the lower the swelling ratio; however, the compressive moduli did not change monotonically with increasing Mmt from 0.80 to 2.20% (w/v). Dye adsorption revealed the effects of variables (dye type, pH, contact time, concentration) on adsorptive properties of hybrids towards cationic methylene blue (MB) and anionic sunset yellow, allura red, blue brilliant, carmoisine, and tartrazine dyes. Adsorption kinetics of MB obeyed pseudo-second-order model, and the maximum dye adsorption capacity for hybrids increased from 5.01 mg g−1 to 16.42 mg g−1, while adsorption isotherms were defined by the Freundlich model. The proposed hybrids have emerged as alternative materials that enable multiple uses of same adsorbent for the removal of different types of pollutants. Full article
(This article belongs to the Special Issue Women’s Special Issue Series: Gels (2nd Edition))
Show Figures

Graphical abstract

26 pages, 2942 KB  
Review
HPMA Copolymers: A Versatile Platform for Targeted Peptide Drug Delivery
by Ya Li, Liangda Xing, Mingliang Zhu, Xian Li, Fangfang Wei, Wenyan Sun and Yinnong Jia
Biomolecules 2025, 15(4), 596; https://doi.org/10.3390/biom15040596 - 17 Apr 2025
Cited by 4 | Viewed by 2784
Abstract
Peptide drugs have been broadly applied in cancer treatment and diagnosis due to their ability to accurately identify biomarkers with good biocompatibility. However, their clinical application is limited by protease degradation, which induces short circulation half-life, low bioavailability, and high renal clearance. In [...] Read more.
Peptide drugs have been broadly applied in cancer treatment and diagnosis due to their ability to accurately identify biomarkers with good biocompatibility. However, their clinical application is limited by protease degradation, which induces short circulation half-life, low bioavailability, and high renal clearance. In recent years, delivery systems based on nanomaterial technology have become an important strategy to break through the bottleneck of peptide drug delivery. Among them, N-(2-hydroxypropyl) methacrylamide (HPMA) copolymers have attracted much attention due to their good biocompatibility, hydrophilicity, and low immunogenicity. The high molecular weight of HPMA copolymer–peptide can circumvent renal clearance, significantly prolong the circulation time in the body, and achieve drug accumulation and microenvironment-triggered release synergistically with EPR effects and active targeting. This review introduces the basic properties of HPMA copolymers, including solubility, biocompatibility, and tunable chemical structure. The important applications of HPMA copolymer–peptide in tumor diagnosis and treatment are discussed. This review deepens our understanding of the future development of HPMA copolymers and will provide more references for improving peptides by simple copolymers. Full article
Show Figures

Figure 1

15 pages, 9501 KB  
Article
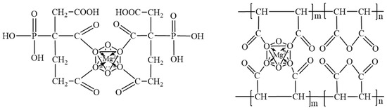
Enhancement of Magnesium Oxysulfate Cement by Acid Modifiers and Its Reaction Mechanism
by Zixuan Qiao, Wenqiang Fan, Yuting Zhang, Xinyu Fu, Hongjian Yang and Fuqiang Zhang
Materials 2025, 18(7), 1432; https://doi.org/10.3390/ma18071432 - 24 Mar 2025
Cited by 2 | Viewed by 1284
Abstract
To address the challenges of low mechanical strength and poor water resistance in magnesium oxysulfate cement (MOSC), this study explores the incorporation of 2-phosphonobutane-1,2,4-tricarboxylic acid (PBTC) and hydrolyzed polymaleic anhydride (HPMA) as modifiers. Advanced analytical techniques, including X-ray diffraction, scanning electron microscopy, Fourier [...] Read more.
To address the challenges of low mechanical strength and poor water resistance in magnesium oxysulfate cement (MOSC), this study explores the incorporation of 2-phosphonobutane-1,2,4-tricarboxylic acid (PBTC) and hydrolyzed polymaleic anhydride (HPMA) as modifiers. Advanced analytical techniques, including X-ray diffraction, scanning electron microscopy, Fourier transform infrared spectroscopy, Raman spectroscopy, and thermogravimetric differential scanning calorimetry, were employed to analyze the physical phase composition and microscopic structure of MOSC hydration products. These analyses provided insights into the enhancement mechanisms associated with PBTC and HPMA. The findings revealed that the chelation of PBTC and HPMA with Mg2+ influenced the hydration process of MOSC, prolonged its setting time, and facilitated the emergence of a new needle-and-rod crystalline phase (5·1·7 phase) within the hydration products. This water-insoluble phase, characterized by a three-dimensional network structure of interspersed crystals, contributed to improved mechanical strength and water resistance. When the doping level of HPMA is 2.00%, the 28-day compressive strength of MOSC reached 104.42 MPa, which exceeded that of the control sample by 127.45%. The softening coefficient was as high as 0.94. The results of this study show that PBTC and HPMA, as modifiers, can effectively improve the mechanical properties and water resistance of MOSC. Their influence on the hydration mechanism and crystallization process of MOSC provides a certain theoretical basis for the practical engineering applications and sustainable development of MOSC. Full article
(This article belongs to the Section Construction and Building Materials)
Show Figures

Figure 1

15 pages, 1664 KB  
Article
Nanoparticle-in-Hydrogel Delivery System for the Sequential Release of Two Drugs
by Demian van Straten, Jaime Fernández Bimbo, Wim E. Hennink, Tina Vermonden and Raymond M. Schiffelers
Pharmaceutics 2025, 17(1), 127; https://doi.org/10.3390/pharmaceutics17010127 - 17 Jan 2025
Cited by 6 | Viewed by 2687
Abstract
Background/Objectives: Glioblastoma is the most common and lethal primary brain tumor. Patients often suffer from tumor- and treatment induced vasogenic edema, with devastating neurological consequences. Intracranial edema is effectively treated with dexamethasone. However, systemic dexamethasone requires large doses to surpass the blood brain [...] Read more.
Background/Objectives: Glioblastoma is the most common and lethal primary brain tumor. Patients often suffer from tumor- and treatment induced vasogenic edema, with devastating neurological consequences. Intracranial edema is effectively treated with dexamethasone. However, systemic dexamethasone requires large doses to surpass the blood brain barrier in therapeutic quantities, which is associated with significant side effects. The aim of this study was to investigate a biodegradable, dextran-hydroxyethyl methacrylate (dex-HEMA) based hydrogel, containing polymeric micelles loaded with dexamethasone and liposomes encapsulating dexamethasone phosphate for localized and prolonged delivery. Methods: Poly(ethylene glycol)-b-poly(N-2-benzoyloxypropyl methacrylamide (mPEG-b-p(HPMA-Bz)) micelles were loaded with dexamethasone and characterized. The dexamethasone micelles, together with dexamethasone phosphate liposomes, were dispersed in an aqueous dex-HEMA solution followed by radical polymerization using a photoinitiator in combination with light. The kinetics and mechanisms of drug release from this hydrogel were determined. Results: The diameter of the nanoparticles was larger than the mesh size of the hydrogel, rendering them immobilized in the polymer network. The micelles immediately released free dexamethasone from the hydrogel for two weeks. The dexamethasone phosphate loaded in the liposomes was not released until the gel degraded and intact liposomes were released, starting after 15 days. The different modes of release result in a biphasic and sequential release profile of dexamethasone followed by dexamethasone phosphate liposomes. Conclusions: The results show that this hydrogel system loaded with both dexamethasone polymeric micelles and dexamethasone phosphate loaded liposomes has potential as a local delivery platform for the sequential release of dexamethasone and dexamethasone phosphate, for the intracranial treatment of glioblastoma associated edema. Full article
(This article belongs to the Special Issue Nanoparticles for Local Drug Delivery)
Show Figures

Graphical abstract

14 pages, 2465 KB  
Article
Targeted Polymer–Peptide Conjugates for E-Selectin Blockade in Renal Injury
by Nenad Milošević, Marie Rütter, Yvonne Ventura, Valeria Feinshtein and Ayelet David
Pharmaceutics 2025, 17(1), 82; https://doi.org/10.3390/pharmaceutics17010082 - 9 Jan 2025
Cited by 2 | Viewed by 1818
Abstract
Background/Objectives: Leukocytes play a significant role in both acute kidney injury (AKI) and chronic kidney disease (CKD), contributing to pathogenesis and tissue damage. The process of leukocyte infiltration into the inflamed tissues is mediated by the interactions between the leukocytes and cell adhesion [...] Read more.
Background/Objectives: Leukocytes play a significant role in both acute kidney injury (AKI) and chronic kidney disease (CKD), contributing to pathogenesis and tissue damage. The process of leukocyte infiltration into the inflamed tissues is mediated by the interactions between the leukocytes and cell adhesion molecules (CAMs, i.e., E-selectin, P-selectin, and VCAM-1) present on the inner surface of the inflamed vasculature. Directly interfering with these interactions is a viable strategy to limit the extent of excessive inflammation; however, several small-molecule drug candidates failed during clinical translation. We hypothesized that a synthetic polymer presenting multiple copies of the high-affinity E-selecting binding peptide (P-Esbp) could block E-selectin-mediated functions and decrease leukocytes infiltration, thus reducing the extent of inflammatory kidney injury. Methods: P-Esbp was synthesized by conjugating E-selecting binding peptide (Esbp) to N-(2-hydroxypropyl)methacrylamide (HPMA) copolymer with reactive ester groups via aminolysis. The effects of P-Esbp treatment on kidney injury were investigated in two different models: AKI model (renal ischemia—reperfusion injury—RIRI) and CKD model (adenine-induced kidney injury). Results: We found that the mRNA levels of E-selectin were up-regulated in the kidney following acute and chronic tissue injury. P-Esbp demonstrated an extended half-life time in the bloodstream, and the polymer accumulated significantly in the liver, lungs, and kidneys within 4 h post injection. Treatment with P-Esbp suppressed the up-regulation of E-selectin in mice with RIRI and attenuated the inflammatory process. In the adenine-induced CKD model, the use of the E-selectin blocking copolymer had little impact on the progression of kidney injury, owing to the compensating function of P-selectin and VCAM-1. Conclusion: Our findings provide valuable insights into the interconnection between CAMs and compensatory mechanisms in controlling leukocyte migration in AKI and CKD. The combination of multiple CAM blockers, given simultaneously, may provide protective effects for preventing excessive leukocyte infiltration and control renal injury. Full article
(This article belongs to the Special Issue Advanced Pharmaceutical Science and Technology in Israel)
Show Figures

Figure 1

13 pages, 5519 KB  
Article
Association between Exposure to Volatile Organic Compounds and the Prevalence of Sleep Problems in US Adults
by Jianyun Sun, Chunyan Gui, Ya Xiao, Runxue Ma, Ce Liu, Li He, Hao Zhao and Bin Luo
Toxics 2024, 12(3), 222; https://doi.org/10.3390/toxics12030222 - 18 Mar 2024
Cited by 7 | Viewed by 4215
Abstract
Background: While mounting evidence suggests a connection between environmental contaminants and sleep problems, it remains uncertain whether exposure to volatile organic compounds (VOCs) specifically is associated with such problems. Methods: Data from the National Health and Nutrition Examination Survey program’s five survey cycles [...] Read more.
Background: While mounting evidence suggests a connection between environmental contaminants and sleep problems, it remains uncertain whether exposure to volatile organic compounds (VOCs) specifically is associated with such problems. Methods: Data from the National Health and Nutrition Examination Survey program’s five survey cycles (2005–2006, 2011–2018) were used to conduct cross-sectional research. Data on short sleep duration (SSD) and self-reported trouble sleeping were collected from questionnaire data. Data on urine VOCs were gathered from laboratory data. The association between urinary VOCs and sleep problems was examined using weighted generalized linear models and the restricted cubic spline (RCS), weighted quantile sum (WQS), and quantile-based g-calculation (QGC) methods. Results: In all, a total of 4131 general adult individuals were included in this study. The prevalence of SSD and self-reported trouble sleeping was 34.11% and 25.03%, respectively. 3,4-MHA, AAMA, AMCC, SBMA, and MA were risk factors for SSD after adjusting several covariates, with the largest effect being AMCC (OR = 1.47, 95% CI: 1.08, 2.02). Risk factors for sleep issues included AAMA, AMCC, CEMA, CYMA, DGBMA, 2HPMA, 3HPMA, MA, and PGA, with AMCC having the highest impact with an OR of 1.69 (95% CI: 1.28, 2.22). Both the WQS model and the QGC model showed that the co-exposure to VOCs was positively associated with SSD and self-reported trouble sleeping, with AMCC being the most influential VOC. Conclusions: According to our research, high levels of single or mixed urine VOCs are linked to a higher prevalence of SSD and self-reported trouble sleeping in the general adult population of the United States. Further prospective and experimental studies are needed in the future to validate these potential relationships and explore the underlying mechanisms. Full article
Show Figures

Figure 1

18 pages, 2182 KB  
Article
Highly Effective Synthetic Polymer-Based Blockers of Non-Specific Interactions in Immunochemical Analyses
by Vladimír Šubr, Libor Kostka, Jan Plicka, Ondřej Sedláček and Tomáš Etrych
Polymers 2024, 16(6), 758; https://doi.org/10.3390/polym16060758 - 10 Mar 2024
Cited by 5 | Viewed by 3399
Abstract
In vitro diagnostic methods face non-specific interactions increasing their background level and influencing the efficacy and reproducibility. Currently, the most important and employed blocker of non-specific interactions is bovine serum albumin (BSA), an animal product with some disadvantages like its batch-to-batch variability and [...] Read more.
In vitro diagnostic methods face non-specific interactions increasing their background level and influencing the efficacy and reproducibility. Currently, the most important and employed blocker of non-specific interactions is bovine serum albumin (BSA), an animal product with some disadvantages like its batch-to-batch variability and contamination with RNases. Herein, we developed amphiphilic water-soluble synthetic copolymers based on the highly biocompatible, non-immunogenic and nontoxic N-2-(hydroxypropyl)methacrylamide (HPMA)-based copolymers or poly(oxazoline)s as highly effective synthetic blockers of non-specific interactions and an effective BSA alternative. The highest blocking capacity was observed for HPMA-based polymers containing two hydrophobic anchors taking advantage of the combination of two structurally different hydrophobic molecules. Polymers prepared by free radical polymerisation with broader dispersity were slightly better in terms of surface covering. The sandwich ELISA evaluating human thyroid-stimulating Hormone in patient samples revealed that the designed polymers can fully replace BSA without compromising the assay results. Importantly, as a fully synthetic material, the developed polymers are fully animal pathogen-free; thus, they are highly important materials for further development. Full article
Show Figures

Figure 1

13 pages, 3510 KB  
Article
Efficient Regulation of the Cross-Linking Structure in Polyurethane: Achieving Outstanding Processing and Mechanical Properties for a Wind Turbine Blade
by Zijin Jiang, Lingtong Li, Luoping Fu, Gaohu Xiong, Hong Wu and Shaoyun Guo
Polymers 2024, 16(2), 235; https://doi.org/10.3390/polym16020235 - 15 Jan 2024
Cited by 3 | Viewed by 2400
Abstract
Although epoxy resin has been extensively used in the field of wind turbine blades, polyurethane has attracted much attention in recent years, due to its potential value of better fatigue resistance, lower processing viscosity and higher strength than epoxy resin blades. Herein, we [...] Read more.
Although epoxy resin has been extensively used in the field of wind turbine blades, polyurethane has attracted much attention in recent years, due to its potential value of better fatigue resistance, lower processing viscosity and higher strength than epoxy resin blades. Herein, we construct a dense cross-linking structure in polyurethane (PU) based on different amounts of hydroxypropyl methacrylate (HPMA) with low processing viscosity and excellent mechanical properties. By increasing the content of HPMA, the thermal stability of PU is enhanced, but the micro-morphology does not change significantly. When the content of HPMA is 50 g (in 200 g copolymer), the PU sample PH-50 exhibits a viscosity of 70 MPa·s and a gelation time of 120 min at 25 °C, which is sufficient to complete processes like pouring and filling. By post-curing the PH-50 at 80 °C for 2 h, the heat distortion temperature can reach 72 °C, indicating the increase of temperature resistance. The PU copolymers also have excellent mechanical and dynamic thermo-mechanical properties due to the cross-linking structure between PU chains and poly-HPMA chains. Additionally, the PU copolymer has excellent compatibility with various glass fiber fabrics (GFF), showing a good match in the vacuum infusion experiment and great properties in the mechanical test. By compounding PH-50 with GFF, the composite with high strength is easily prepared for a wind turbine blade in various positions. The tensile strengths of the composites are all over 1000 MPa in the 0° direction. Such composites are promising for the future development of wind turbine blades that meet the stringent requirements for outstanding processing and mechanical properties. Full article
(This article belongs to the Special Issue Mechanical Properties of Polymer Composites II)
Show Figures

Figure 1

10 pages, 1835 KB  
Article
Comparison of Biomarkers of Exposure in a Controlled Study of Smokers Switched from Conventional Cigarettes to Heated Tobacco Products
by Xiaonan Li, Xuan Wang, Peicai Cui, Guangchao Liu, Hui Zhang, Yihan Gao and Zhenpeng Kai
Toxics 2023, 11(10), 816; https://doi.org/10.3390/toxics11100816 - 28 Sep 2023
Cited by 4 | Viewed by 3940
Abstract
The heated tobacco product (HTP) heats rather than burns tobacco to release an aerosol with significantly fewer toxicants than conventional cigarette smoke and has received global attention in recent years. To investigate whether changes in biomarkers of exposure could be detected after switching [...] Read more.
The heated tobacco product (HTP) heats rather than burns tobacco to release an aerosol with significantly fewer toxicants than conventional cigarette smoke and has received global attention in recent years. To investigate whether changes in biomarkers of exposure could be detected after switching from conventional cigarettes (CCs) to HTPs, 224 subjects from four cities in China participated in this study. Nine biomarkers containing tobacco-specific nitrosamines (TSNAs), volatile organic compounds (VOCs), and the biomarkers for acrolein and crotonaldehyde were determined by UPLC-MS/MS. The levels of the sum of nine biomarkers in CCs were 5.4 and 5.2 times higher than in an Original-HTP and Menthol-HTP, respectively. Among the nine biomarkers, 3HPMA and 3HMPMA accounted for the highest proportions. Switching from CCs to HTPs is good for both men and women because the changes in each biomarker in urine samples were the same in men and women. Among all the subjects, subjects aged 20–39 years had the greatest reduction in biomarker residues in urine. The findings of the present study provided useful information for the health risk research of HTPs in China. Full article
Show Figures

Figure 1

24 pages, 12286 KB  
Article
Temperature-Sensitive Hydrogels as Carriers for Modulated Delivery of Acetaminophen
by Snežana Ilić-Stojanović, Ljubiša Nikolić, Vesna Nikolić, Ivan Ristić, Suzana Cakić and Slobodan D. Petrović
Gels 2023, 9(9), 684; https://doi.org/10.3390/gels9090684 - 25 Aug 2023
Cited by 8 | Viewed by 3063
Abstract
The purposes of this study are the polymerization of temperature-sensitive copolymers based on N-isopropyl acrylamide and 10 mol % of 2-hydroxypropylmethacrylate, characterisations of their thermal, morphological and swelling properties, as well as the analysis of potential application in drug-delivery systems. Acetaminophen, the representative [...] Read more.
The purposes of this study are the polymerization of temperature-sensitive copolymers based on N-isopropyl acrylamide and 10 mol % of 2-hydroxypropylmethacrylate, characterisations of their thermal, morphological and swelling properties, as well as the analysis of potential application in drug-delivery systems. Acetaminophen, the representative of non-steroidal anti-inflammatory drugs, was used as a model drug in this study. It is a common pain relief drug, which is also used for fever treatment. However, oral administration comes with certain health risks, mainly the overdose and frequent administration of up to four times a day. The goal of applying temperature-sensitive hydrogel is to enable extended administration once a day, depending on the body temperature. The swelling behavior of the obtained poly(N-isopropyl acrylamide-co-2-hydroxypropylmethacrylate) (p(NIPA/HPMA)) hydrogels and their temperature-sensitivity, kinetics and order of swelling processes at 18 and 38 °C were analyzed. The thermal properties of these hydrogels were observed by the DSC method, and the obtained thermograms showed both melting and glass transitions. The drug delivery system of p(NIPA/HPMA) hydrogels with loaded acetaminophen was analyzed using scanning electron microscopy and Fourier transform infrared spectroscopy methods. Structural analysis of FTIR spectra indicates that non-covalent intermolecular interactions of the type of hydrogen bonds were formed among functional groups of acetaminophen and side-chains of p(NIPA/HPMA) hydrogels. The surface structure of p(NIPA/HPMA) hydrogels after drug loading indicates the acetaminophen presence into the pores of the hydrogel network, and their loading efficiency was higher than 92%. Qualitative and quantitative analysis of acetaminophen, determined by the high-pressure liquid chromatography method, showed that about 90–99% of the loaded amount was released from p(NIPA/HPMA) hydrogels within 24 h. Kinetic parameters of the acetaminophen release under simulated gastrointestinal conditions were determined. Based on obtained results, the drug delivery system of temperature-sensitive p(NIPA/HPMA) hydrogels with loaded acetaminophen could be suitable for additional investigation for modulated drug administration, e.g., for extended drug administration. Full article
Show Figures

Figure 1

12 pages, 2058 KB  
Article
Study on the Biodegradation Process of D-Mannose Glycopolymers in Liquid Media and Soil
by Ana-Maria Pană, Valentin Ordodi, Vasile Gherman, Paula Sfîrloagă and Gabriela-Alina Dumitrel
Polymers 2023, 15(15), 3194; https://doi.org/10.3390/polym15153194 - 27 Jul 2023
Cited by 2 | Viewed by 1332
Abstract
Polymers derived from natural raw materials have become of great interest due to their increased biodegradable features and possible biocompatibility. Our group has successfully synthesized and characterized polymers derived from D-mannose oligomer (M), 2-hydroxy propyl acrylate (HPA), and methacrylate (HPMA) in different weight [...] Read more.
Polymers derived from natural raw materials have become of great interest due to their increased biodegradable features and possible biocompatibility. Our group has successfully synthesized and characterized polymers derived from D-mannose oligomer (M), 2-hydroxy propyl acrylate (HPA), and methacrylate (HPMA) in different weight ratios. Their biodegradation was studied in liquid media with pure Proteus mirabilis inoculum for the samples with the most sugar residue, and the results show that the methacrylate derivative M_HPMA1 lost about 50% of its weight during incubation. SEM/EDX techniques were employed to display the modifications of the samples during the biodegradation process. The glycopolymers were buried in garden soil, and the experiment proved that more than 40% of the weight of the M_HPA1 sample was lost during biodegradation, while the other samples encountered an average of about 32% weight loss. The biodegradation profile was fitted against linear and polynomial mathematical models, which enabled an estimate of about a year for the total degradation of the D-mannose glycopolymers sample in soil. Full article
Show Figures

Graphical abstract

25 pages, 11424 KB  
Article
Hydrophilic Copolymers with Hydroxamic Acid Groups as a Protective Biocompatible Coating of Maghemite Nanoparticles: Synthesis, Physico-Chemical Characterization and MRI Biodistribution Study
by Hana Charvátová, Zdeněk Plichta, Jiřina Hromádková, Vít Herynek and Michal Babič
Pharmaceutics 2023, 15(7), 1982; https://doi.org/10.3390/pharmaceutics15071982 - 19 Jul 2023
Cited by 2 | Viewed by 3006
Abstract
Superparamagnetic iron oxide nanoparticles (SPION) with a “non-fouling” surface represent a versatile group of biocompatible nanomaterials valuable for medical diagnostics, including oncology. In our study we present a synthesis of novel maghemite (γ-Fe2O3) nanoparticles with positive and negative overall [...] Read more.
Superparamagnetic iron oxide nanoparticles (SPION) with a “non-fouling” surface represent a versatile group of biocompatible nanomaterials valuable for medical diagnostics, including oncology. In our study we present a synthesis of novel maghemite (γ-Fe2O3) nanoparticles with positive and negative overall surface charge and their coating by copolymer P(HPMA-co-HAO) prepared by RAFT (reversible addition–fragmentation chain-transfer) copolymerization of N-(2-hydroxypropyl)methacrylamide (HPMA) with N-[2-(hydroxyamino)-2-oxo-ethyl]-2-methyl-prop-2-enamide (HAO). Coating was realized via hydroxamic acid groups of the HAO comonomer units with a strong affinity to maghemite. Dynamic light scattering (DLS) demonstrated high colloidal stability of the coated particles in a wide pH range, high ionic strength, and the presence of phosphate buffer (PBS) and serum albumin (BSE). Transmission electron microscopy (TEM) images show a narrow size distribution and spheroid shape. Alternative coatings were prepared by copolymerization of HPMA with methyl 2-(2-methylprop-2-enoylamino)acetate (MMA) and further post-polymerization modification with hydroxamic acid groups, carboxylic acid and primary-amino functionalities. Nevertheless, their colloidal stability was worse in comparison with P(HPMA-co-HAO). Additionally, P(HPMA-co-HAO)-coated nanoparticles were subjected to a bio-distribution study in mice. They were cleared from the blood stream by the liver relatively slowly, and their half-life in the liver depended on their charge; nevertheless, both cationic and anionic particles revealed a much shorter metabolic clearance rate than that of commercially available ferucarbotran. Full article
(This article belongs to the Section Nanomedicine and Nanotechnology)
Show Figures

Graphical abstract

Back to TopTop