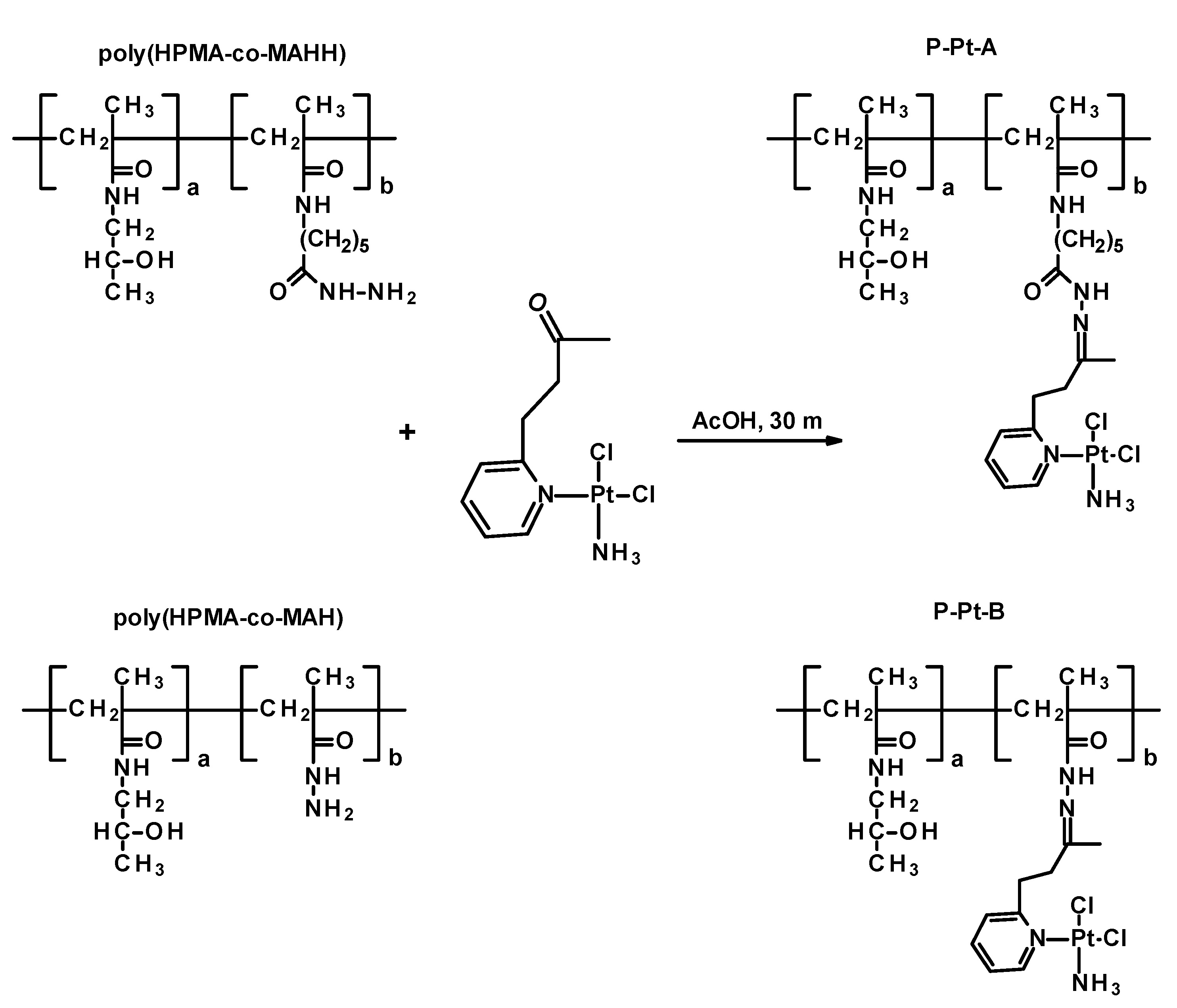
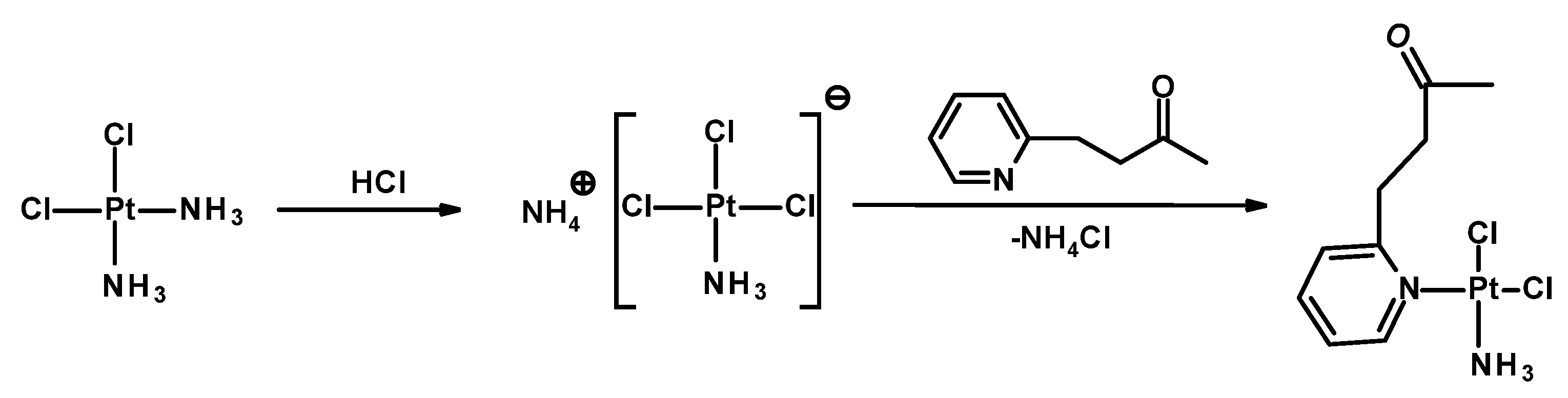
Stimuli-Sensitive Platinum-Based Anticancer Polymer Therapeutics: Synthesis and Evaluation In Vitro
Abstract
Share and Cite
Běhalová, K.; Studenovský, M.; Kotalík, K.; Konefal, R.; Kovář, M.; Etrych, T. Stimuli-Sensitive Platinum-Based Anticancer Polymer Therapeutics: Synthesis and Evaluation In Vitro. Pharmaceutics 2025, 17, 1433. https://doi.org/10.3390/pharmaceutics17111433
Běhalová K, Studenovský M, Kotalík K, Konefal R, Kovář M, Etrych T. Stimuli-Sensitive Platinum-Based Anticancer Polymer Therapeutics: Synthesis and Evaluation In Vitro. Pharmaceutics. 2025; 17(11):1433. https://doi.org/10.3390/pharmaceutics17111433
Chicago/Turabian StyleBěhalová, Kateřina, Martin Studenovský, Kevin Kotalík, Rafal Konefal, Marek Kovář, and Tomáš Etrych. 2025. "Stimuli-Sensitive Platinum-Based Anticancer Polymer Therapeutics: Synthesis and Evaluation In Vitro" Pharmaceutics 17, no. 11: 1433. https://doi.org/10.3390/pharmaceutics17111433
APA StyleBěhalová, K., Studenovský, M., Kotalík, K., Konefal, R., Kovář, M., & Etrych, T. (2025). Stimuli-Sensitive Platinum-Based Anticancer Polymer Therapeutics: Synthesis and Evaluation In Vitro. Pharmaceutics, 17(11), 1433. https://doi.org/10.3390/pharmaceutics17111433

