Sign in to use this feature.

Years

Between: -

Subjects

remove_circle_outline
remove_circle_outline
remove_circle_outline
remove_circle_outline
remove_circle_outline
remove_circle_outline
remove_circle_outline
remove_circle_outline
remove_circle_outline

Journals

Article Types

Countries / Regions

Search Results (182)

Search Parameters:
Keywords = Euler transform

Order results
Result details
Results per page
Select all
Export citation of selected articles as:
18 pages, 2300 KB  
Article
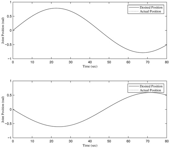
Nonzero-Sum Game-Based Modular Manipulator Optimal Tracking Control: Performance-Index Function Without Control Input
by Bing Ma, Zebin Ji, Yi Qin, Xinye Zhu and Tianjiao An
Robotics 2026, 15(2), 40; https://doi.org/10.3390/robotics15020040 - 9 Feb 2026
Viewed by 108
Abstract
To address the issue that the performance-index function encompassing both dynamic and control processes in traditional adaptive dynamic programming (ADP) cannot be optimized as time approaches infinity, this paper proposes an optimal tracking control method for a modular manipulator based on a nonzero-sum [...] Read more.
To address the issue that the performance-index function encompassing both dynamic and control processes in traditional adaptive dynamic programming (ADP) cannot be optimized as time approaches infinity, this paper proposes an optimal tracking control method for a modular manipulator based on a nonzero-sum game. The dynamic model of the modular manipulator is established using the Newton–Euler iterative method. By treating each module of the manipulator as a player in a nonzero-sum game and employing adaptive dynamic programming, the trajectory-tracking problem is transformed into an optimal-control problem. The critic neural network approximates the performance-index function without control input to derive the optimal tracking control policy. A stability theorem proves the stability of the closed-loop system, and an experimental platform validates the accuracy and optimality of the proposed method. Full article
Show Figures

Figure 1

18 pages, 2003 KB  
Article
Time-Dependent Verification of the SPN Neutron Solver KANECS
by Julian Duran-Gonzalez and Victor Hugo Sanchez-Espinoza
J. Nucl. Eng. 2026, 7(1), 12; https://doi.org/10.3390/jne7010012 - 4 Feb 2026
Viewed by 150
Abstract
KANECS is a 3D multigroup neutronics code based on the Simplified Spherical Harmonics (SPN) approximation and the Continuous Galerkin Finite Element Method (CGFEM). In this work, the code is extended to solve the time-dependent neutron kinetics by implementing a fully implicit [...] Read more.
KANECS is a 3D multigroup neutronics code based on the Simplified Spherical Harmonics (SPN) approximation and the Continuous Galerkin Finite Element Method (CGFEM). In this work, the code is extended to solve the time-dependent neutron kinetics by implementing a fully implicit backward Euler scheme for the neutron transport equation and an implicit exponential integration for delayed neutron precursors. These schemes ensure unconditional stability and minimize temporal discretization errors, making the method suitable for fast transients. The new formulation transforms each time step into a transient fixed-source problem, which is solved efficiently using the GMRES solver with ILU preconditioning. The kinetics module is validated against established benchmark problems, including TWIGL, the C5G2 MOX benchmark, and both 2D and 3D mini-core rod-ejection transients. KANECS shows close agreement with the reference solutions from well-known neutron transport codes, with consistent accuracy in normalized power evolution, spatial power distributions, and steady-state eigenvalues. The results confirm that KANECS provides a reliable and accurate framework for solving neutron kinetics problems. Full article
Show Figures

Figure 1

26 pages, 5440 KB  
Article
An Improved Method for Hull Structure Fatigue Crack Growth at Random Loading and Its Application
by Ming Zhang, Kaiyan Li, Chun Fang and Guoqing Feng
J. Mar. Sci. Eng. 2026, 14(3), 287; https://doi.org/10.3390/jmse14030287 - 1 Feb 2026
Viewed by 213
Abstract
Under random wave loading, the crack growth rate exhibits jump-like cycle-to-cycle variations, which limit the direct use of efficient integration schemes such as the Euler method. In addition, the crack growth life is highly sensitive to the initial crack size and aspect ratio, [...] Read more.
Under random wave loading, the crack growth rate exhibits jump-like cycle-to-cycle variations, which limit the direct use of efficient integration schemes such as the Euler method. In addition, the crack growth life is highly sensitive to the initial crack size and aspect ratio, while the initial defects are often difficult to determine accurately in practice, leading to increased uncertainty in life assessment. To address these issues, a cycle-scaling-based crack size accumulation method for random loading is proposed. A predictor–corrector improved Euler method is then established, and a fourth-order Runge–Kutta scheme incorporating the cycle-scaling transformation is derived. Furthermore, based on spectral analysis theory, a mapping between the wave spectrum and the crack-tip stress intensity factor response spectrum is developed. A stress intensity factor range sequence is generated by concatenating short-term sea states, thereby providing a random loading input that preserves the required statistical characteristics. Finally, a 21,000-TEU container ship is analyzed as a case study to investigate crack growth evolution for different initial aspect ratios. The results show that the crack aspect ratio gradually converges to a particular trend during propagation. A convergent aspect ratio curve is fitted. And a unified life assessment curve is constructed. An equivalent transformation is used to map an arbitrary initial crack shape and size to an equivalent convergent aspect ratio crack. As a result, fatigue life can be rapidly estimated using a single “initial crack size–fatigue life” curve, providing support for crack growth life assessment and the definition of defect acceptance limits for ship hull structures. Full article
(This article belongs to the Special Issue Analysis of Strength, Fatigue, and Vibration in Marine Structures)
Show Figures

Figure 1

37 pages, 862 KB  
Review
Mathematical Modeling Techniques in Virtual Reality Technologies: An Integrated Review of Physical Simulation, Spatial Analysis, and Interface Implementation
by Junhyeok Lee, Yong-Hyuk Kim and Kang Hoon Lee
Symmetry 2026, 18(2), 255; https://doi.org/10.3390/sym18020255 - 30 Jan 2026
Viewed by 210
Abstract
Virtual reality (VR) has emerged as a complex technological domain that demands high levels of realism and interactivity. At the core of this immersive experience lies a broad spectrum of mathematical modeling techniques. This survey explores how mathematical foundations support and enhance key [...] Read more.
Virtual reality (VR) has emerged as a complex technological domain that demands high levels of realism and interactivity. At the core of this immersive experience lies a broad spectrum of mathematical modeling techniques. This survey explores how mathematical foundations support and enhance key VR components, including physical simulations, 3D spatial analysis, rendering pipelines, and user interactions. We review differential equations and numerical integration methods (e.g., Euler, Verlet, Runge–Kutta (RK4)) used to simulate dynamic environments, as well as geometric transformations and coordinate systems that enable seamless motion and viewpoint control. The paper also examines the mathematical underpinnings of real-time rendering processes and interaction models involving collision detection and feedback prediction. In addition, recent developments such as physics-informed neural networks, differentiable rendering, and neural scene representations are presented as emerging trends bridging classical mathematics and data-driven approaches. By organizing these elements into a coherent mathematical framework, this work aims to provide researchers and developers with a comprehensive reference for applying mathematical techniques in VR systems. The paper concludes by outlining the open challenges in balancing accuracy and performance and proposes future directions for integrating advanced mathematics into next-generation VR experiences. Full article
(This article belongs to the Special Issue Mathematics: Feature Papers 2025)
Show Figures

Figure 1

17 pages, 3128 KB  
Article
Semi-Analytical Solutions for Consolidation in Multi-Layered Unsaturated Silt with Depth-Dependent Initial Condition
by Junhao Chen, Bote Luo, Xun Wu, Shi Shu and Juan Qiang
Appl. Sci. 2026, 16(3), 1168; https://doi.org/10.3390/app16031168 - 23 Jan 2026
Viewed by 123
Abstract
This paper presents an analytical model for one-dimensional consolidation analysis of multi-layered unsaturated soils under depth-dependent initial conditions. The general solutions are derived explicitly using the Laplace transform. By combining these general solutions with interfacial continuity conditions between layers and the boundary conditions, [...] Read more.
This paper presents an analytical model for one-dimensional consolidation analysis of multi-layered unsaturated soils under depth-dependent initial conditions. The general solutions are derived explicitly using the Laplace transform. By combining these general solutions with interfacial continuity conditions between layers and the boundary conditions, the reduced-order system is solved via the Euler method to obtain analytical solutions in the Laplace domain. Numerical inversion of the Laplace transform is then performed using Crump’s method to yield the final analytical solutions in the time domain. The model incorporates initial conditions that account for both uniform and linear distributions of initial excess pore pressure within the soil stratum. The proposed solution is verified by reducing it to degenerated cases (e.g., uniform initial pressure) and comparing it with existing analytical solutions, showing excellent agreement. This confirms the model’s correctness and demonstrates its generalization to multi-layered systems with depth-dependent initial conditions. Focusing on a double-layered unsaturated soil system, the one-dimensional consolidation characteristics under depth-dependent initial conditions are investigated by varying the physical parameters of individual layers. The proposed solution can serve as a theoretical reference for the consolidation analysis of multi-layered unsaturated soils with depth-dependent initial conditions. Full article
(This article belongs to the Section Civil Engineering)
Show Figures

Figure 1

21 pages, 3392 KB  
Article
Free Vibration Analysis of Wind-Tunnel Stiffened Plates Considering Stiffeners’ Transverse Deformation
by Yueyin Ma, Zhenhua Chen, Wanhua Chen, Bin Ma, Xinyu Gao, Xutao Nie and Daokui Li
Vibration 2026, 9(1), 5; https://doi.org/10.3390/vibration9010005 - 14 Jan 2026
Viewed by 195
Abstract
The free vibration of stiffened plates analyzed using classical plate–beam theoretical theory (PBM) simplified the vibrations of stiffeners parallel to the plane of the stiffened plate as the first-order torsional vibration of the stiffener cross-section. This simplification introduces errors in both the natural [...] Read more.
The free vibration of stiffened plates analyzed using classical plate–beam theoretical theory (PBM) simplified the vibrations of stiffeners parallel to the plane of the stiffened plate as the first-order torsional vibration of the stiffener cross-section. This simplification introduces errors in both the natural frequencies and mode shapes of the structure for stiffened plates with relatively tall stiffeners. To mitigate the issue previously described, this paper proposes an enhanced plate–beam theoretical model (EPBM). The EBPM decouples stiffener deformation into two components: (1) bending deformation along the transverse direction of the stiffened plate, governed by Euler–Bernoulli beam theory, and (2) transverse deformation of the stiffeners, modeled using thin plate theory. Virtual torsional springs are introduced at the stiffener–plate and stiffener–stiffener interfaces via penalty function method to enforce rotational continuity. These constraints are transformed into energy functionals and integrated into the system’s total energy. Displacement trial functions constructed from Chebyshev polynomials of the first kind are solved using the Ritz method. Numerical validation demonstrates that the EBPM significantly improves accuracy over the BPM: errors in free-vibration frequency decrease from 2.42% to 0.63% for the first mode and from 9.79% to 1.34% for the second mode. For constrained vibration, the second-mode error is reduced from 4.22% to 0.03%. This approach provides an effective theoretical framework for the vibration analysis of structures with high stiffeners. Full article
Show Figures

Figure 1

20 pages, 1299 KB  
Article
Almost Global Stabilization of Curvature-Nullifiable Mechanical Systems via Pure Mechanical Feedback
by Marta Drążkowska and Marcin Nowicki
Appl. Sci. 2026, 16(2), 779; https://doi.org/10.3390/app16020779 - 12 Jan 2026
Viewed by 181
Abstract
Mechanical control systems structure, derived from Euler–Lagrange dynamics, is directly tied to physically meaningful coordinates such as joint angles, positions, and velocities. This work investigates when a mechanical control system can be transformed, without changing its physical coordinates, into an equivalent form whose [...] Read more.
Mechanical control systems structure, derived from Euler–Lagrange dynamics, is directly tied to physically meaningful coordinates such as joint angles, positions, and velocities. This work investigates when a mechanical control system can be transformed, without changing its physical coordinates, into an equivalent form whose Christoffel symbols vanish, thereby eliminating the configuration-dependent coupling terms in the inertia matrix. We establish a necessary and sufficient condition under which a mechanical control system can, via pure mechanical feedback, be transformed into an equivalent system with zero Christoffel symbols. For three representative examples of mechanical systems, we extensively discuss the global stabilization problem. These case studies demonstrate, respectively, global linearization; local linearization with singularities that can be globalized through an appropriate switching control strategy; and partial linearization, where eliminating the Christoffel symbols enables the design of a globally stabilizing nonlinear controller for a system that is not fully feedback linearizable. These findings demonstrate that achieving vanishing Christoffel symbols, while preserving physically meaningful coordinates, provides a powerful and broadly applicable tool for addressing complex control problems. Full article
Show Figures

Figure 1

34 pages, 3703 KB  
Article
Influence of Changing the Support Points, Within a Fixed Cross-Section, on the Static Response of a Double-Layer Beam
by Piotr Ruta, Katarzyna Misiurek, Olga Szyłko-Bigus and Monika Podwórna
Appl. Sci. 2026, 16(2), 701; https://doi.org/10.3390/app16020701 - 9 Jan 2026
Viewed by 231
Abstract
The paper presents the analysis of the influence of the location and characteristics of supports on the static response of two-layer beams. The possibility of tangential movement at the supports was considered. Multilayer beams, which combine the advantages of different materials, are widely [...] Read more.
The paper presents the analysis of the influence of the location and characteristics of supports on the static response of two-layer beams. The possibility of tangential movement at the supports was considered. Multilayer beams, which combine the advantages of different materials, are widely used in construction. The authors’ previous research showed that the stiffness of the connection between layers significantly affects the behaviour of the system. This paper demonstrates that the supports’ position is another crucial factor that influences the beams’ response, which is an issue that has not been previously considered in the literature. A two-layer system was modelled using the Euler–Bernoulli beam theory. Consistent normal displacements and tangential forces at the layer interface, which were proportional to the relative slip, were assumed. From the equilibrium equations and considered assumptions, three coupled displacement equations were derived and then solved using finite Fourier transforms. They were applied to solve beams, the two ends of which cannot move in the direction perpendicular to the beam’s axis, with at least one of the beam ends being a pinned support. To verify the method’s accuracy, several numerical examples were analysed. It was shown that both the support position and the possibility of tangential displacement at the supports have a significant impact on the static response. Additionally, the crucial role of the stiffness of the interlayer connection was confirmed. The developed approach provides a practical tool for assessing two-layer beam systems and highlights the importance of considering support conditions in the design and analysis of such structures. Full article
(This article belongs to the Section Civil Engineering)
Show Figures

Figure 1

25 pages, 6358 KB  
Article
A Novel Chaotic Encryption Algorithm Based on Fuzzy Rule-Based Sugeno Inference: Theory and Application
by Aydin Muhurcu and Gulcin Muhurcu
Mathematics 2026, 14(2), 243; https://doi.org/10.3390/math14020243 - 8 Jan 2026
Viewed by 398
Abstract
This study proposes a robust chaotic encryption framework based on a Fuzzy Rule-Based Sugeno Inference (FRBSI) system, integrated with high-level security analyses. The algorithm employs a dynamic mixture of Lorenz chaotic state variables, which are numerically modeled using the Euler-Forward method to ensure [...] Read more.
This study proposes a robust chaotic encryption framework based on a Fuzzy Rule-Based Sugeno Inference (FRBSI) system, integrated with high-level security analyses. The algorithm employs a dynamic mixture of Lorenz chaotic state variables, which are numerically modeled using the Euler-Forward method to ensure computational accuracy. Unlike conventional methods, the carrier signal’s characteristics are not static; instead, its amplitude and dynamic behavior are continuously adapted through the FRBSI mechanism, driven by the instantaneous thresholds of the information signal. The security of the proposed system was rigorously evaluated through Histogram analysis, Number of Pixels Change Rate (NPCR), and Unified Average Changing Intensity (UACI) metrics, which confirmed the algorithm’s high sensitivity to plaintext variations and resistance against differential attacks. Furthermore, Key Sensitivity tests demonstrated that even a single-bit discrepancy in the receiver-side Sugeno rule base leads to a total failure in signal reconstruction, providing a formidable defense against brute-force attempts. The system’s performance was validated in the MATLAB/Simulink of R2021a version environment, where frequency and time-domain analyses were performed via oscilloscope and Fourier transforms. The results indicate that the proposed multi-layered fuzzy-chaotic structure significantly outperforms traditional encryption techniques in terms of unpredictability, structural security, and robustness. Full article
(This article belongs to the Topic A Real-World Application of Chaos Theory)
Show Figures

Figure 1

30 pages, 3944 KB  
Article
An Integrated Control Strategy for Trajectory Tracking of a Crane-Suspended Load
by Diankai Kong, Fenglin Yao, Chao Hu, Yuyan Guo and Wei Ye
Machines 2026, 14(1), 24; https://doi.org/10.3390/machines14010024 - 24 Dec 2025
Viewed by 407
Abstract
With the advancement of intelligent technologies, industrial production systems are being profoundly transformed by artificial intelligence algorithms. To address persistent challenges, such as cargo swing and low operational efficiency during the lifting processes of all-terrain cranes, this research investigates an intelligent control algorithm [...] Read more.
With the advancement of intelligent technologies, industrial production systems are being profoundly transformed by artificial intelligence algorithms. To address persistent challenges, such as cargo swing and low operational efficiency during the lifting processes of all-terrain cranes, this research investigates an intelligent control algorithm designed for swing suppression and high-stability payload trajectory control. Firstly, a nonlinear dynamic model of the crane system was derived using the Euler–Lagrange formulation based on a simplified three-dimensional representation. A linear time-varying model predictive control (LTV-MPC) strategy was then designed to incorporate real-time feedback during luffing and slewing motions to monitor the payload’s swing state. On this basis, the controller predicts the desired trajectory and applies negative feedback to adjust the control input, thereby steering the system toward the optimal trajectory and aligning it with the target path. Secondly, a comparative analysis was conducted among four scenarios: the natural swing state of the payload and three control strategies—LTV-MPC, sliding mode control (SMC), and PID control—under both single-input and dual-input conditions. Finally, an experimental platform was established, employing the YOLOv12 algorithm for real-time detection and trajectory tracking of the suspended payload. The experimental results validate the effectiveness of LTV-MPC in suppressing cargo swing. Under single-input control, LTV-MPC achieved the best performance in both stabilization time (3.05 s for luffing condition one and 1.15 s for luffing condition two) and steady-state error (0.003–0.007°). The swing angle, θ1, was reduced by 91.9%, 54.2%, and 59.3% compared to the natural swing state, SMC, and PID, respectively. In dual-input control, LTV-MPC attained a steady-state error of only 0.0008° under “luffing condition two,” while during slewing operations, it also outperformed SMC and PID in both settling time (26.05 s) and precision (0.008°). Full article
(This article belongs to the Section Machine Design and Theory)
Show Figures

Figure 1

18 pages, 3360 KB  
Article
Fourth-Order Numerical Derivation as Being an Inverse Force Problem of Beam Equations
by Chein-Shan Liu and Chih-Wen Chang
Eng 2025, 6(11), 324; https://doi.org/10.3390/eng6110324 - 11 Nov 2025
Viewed by 704
Abstract
Besides the closed-form expansion coefficients of a weak-form numerical differentiator (WFND), we introduce a cubic boundary shape function with the aid of two parameters for reducing the boundary errors of fourth-order numerical derivatives to zero. So that the accuracy of numerical derivatives obtained [...] Read more.
Besides the closed-form expansion coefficients of a weak-form numerical differentiator (WFND), we introduce a cubic boundary shape function with the aid of two parameters for reducing the boundary errors of fourth-order numerical derivatives to zero. So that the accuracy of numerical derivatives obtained by the new WFND can be improved significantly. The fourth-order numerical derivation can be modeled as a linear beam equation subjecting to specified boundary conditions and displacements to recover an unknown forcing term. By means of boundary shape functions, two numerical collocation methods automatically satisfying the boundary conditions are developed. For a simply supported linear Euler–Bernoulli beam with an elastic foundation, the unknown spatially–temporally dependent force is retrieved. The displacement at a final time and strain on the right-boundary of the beam are over-specified to recover the external force using the method of superposition of boundary shape functions (MSBSF). When the displacement is determined to satisfy the prescribed right-boundary strain, we can recover an unknown spatially–temporally dependent force by inserting the displacement into the linear beam equation. An embedded method (EM) is developed to transform the linear beam model into a vibrating linear beam equation, and then we can develop a robust technique to compute the fourth-order derivative of noisy data by using the EM and MSBSF. The four proposed methods for evaluating the fourth-order derivatives of noisy data are efficient and accurate. Full article
Show Figures

Figure 1

28 pages, 6949 KB  
Article
Experimentally Validated Modelling of a Base-Excited Piezoelectric Vibration Energy Harvester Connected to a Full Wave Rectified Load
by Philip Bonello and Maher Alalwan
Sensors 2025, 25(20), 6305; https://doi.org/10.3390/s25206305 - 11 Oct 2025
Viewed by 1008
Abstract
Practical applications of piezoelectric vibration energy harvesting systems are required to produce a stable DC output through the nonlinear process of AC-DC rectification. In most simulation studies of such systems, the diodes have been idealised as switches, an assumption that is valid only [...] Read more.
Practical applications of piezoelectric vibration energy harvesting systems are required to produce a stable DC output through the nonlinear process of AC-DC rectification. In most simulation studies of such systems, the diodes have been idealised as switches, an assumption that is valid only if the vibration-induced voltage is high enough, which is frequently not the case in practice. This paper presents an experimentally validated simulation of a base excited vibration energy harvester connected to a full wave rectified load, combining the analytical modal transformation of the Euler–Bernoulli model of a piezoelectric beam with the nonlinear current-voltage characteristic of a real (non-ideal) diode. Three types of diodes with significantly different model parameters sourced from industry-standard datasets are considered. Discrepancies between simulated and measured resonant voltage levels are found to be less than 10% on average, and the discrepancy in resonant frequency is less than 1%, demonstrating the reliability of the Shockley diode model despite its omission of the dynamic behaviour of the diode. Full article
(This article belongs to the Section Sensors Development)
Show Figures

Figure 1

19 pages, 344 KB  
Article
Vector Representations of Euler’s Formula and Riemann’s Zeta Function
by Wolf-Dieter Richter
Symmetry 2025, 17(10), 1597; https://doi.org/10.3390/sym17101597 - 25 Sep 2025
Cited by 1 | Viewed by 958
Abstract
Just as Gauss’s interpretation of complex numbers as points in a number plane in the form of a suitably formulated axiom found its way into the vector representation of Fourier transforms, this is the case with Euler’s formula and Riemann’s Zeta function considered [...] Read more.
Just as Gauss’s interpretation of complex numbers as points in a number plane in the form of a suitably formulated axiom found its way into the vector representation of Fourier transforms, this is the case with Euler’s formula and Riemann’s Zeta function considered here. The description of the connection between variables through complex numbers as it is given in Euler’s formula and emphasized by Riemann is reflected here with great flexibility in the introduction of non-classically generalized complex numbers and the vector representation of the generalized Zeta function based on them. For describing such dependencies of two variables with the help of generalized complex numbers, we introduce manifolds underlying certain Lie groups as level sets of norms, antinorms or semi-antinorms. No undefined or “imaginary” quantities are used for this. In contrast to the approach of Hamilton and his numerous successors, the vector-valued vector product of non-classically generalized complex numbers is commutative, and the whole number system satisfies a weak distributivity property as considered by Hankel, but not the strong one. Full article
(This article belongs to the Section Mathematics)
16 pages, 7627 KB  
Article
Behavioral Biometrics in VR: Changing Sensor Signal Modalities
by Aleksander Sawicki, Khalid Saeed and Wojciech Walendziuk
Sensors 2025, 25(18), 5899; https://doi.org/10.3390/s25185899 - 20 Sep 2025
Viewed by 941
Abstract
The rapid evolution of virtual reality systems and the broader metaverse landscape has prompted growing research interest in biometric authentication methods for user verification. These solutions offer an additional layer of access control that surpasses traditional password-based approaches by leveraging unique physiological or [...] Read more.
The rapid evolution of virtual reality systems and the broader metaverse landscape has prompted growing research interest in biometric authentication methods for user verification. These solutions offer an additional layer of access control that surpasses traditional password-based approaches by leveraging unique physiological or behavioral traits. Current literature emphasizes analyzing controller position and orientation data, which presents challenges when using convolutional neural networks (CNNs) with non-continuous Euler angles. The novelty of the presented approach is that it addresses this limitation. We propose a modality transformation approach that generates acceleration and angular velocity signals from trajectory and orientation data. Specifically, our work employs algebraic techniques—including quaternion algebra—to model these dynamic signals. Both the original and transformed data were then used to train various CNN architectures, including Vanilla CNNs, attention-enhanced CNNs, and Multi-Input CNNs. The proposed modification yielded significant performance improvements across all datasets. Specifically, F1-score accuracy increased from 0.80 to 0.82 for the Comos subset, from 0.77 to 0.82 for the Quest subset, and notably from 0.83 to 0.92 for the Vive subset. Full article
(This article belongs to the Special Issue Sensor-Based Behavioral Biometrics)
Show Figures

Figure 1

21 pages, 4392 KB  
Article
Research on Identification of Minimum Parameter Set in Robot Dynamics and Excitation Strategy
by Zhiqiang Wang, Jianhai Han, Xiangpan Li, Bingjing Guo and Lewei Lu
Sensors 2025, 25(18), 5749; https://doi.org/10.3390/s25185749 - 15 Sep 2025
Viewed by 958
Abstract
The minimal parameter set is fundamental to robot dynamic identification, enabling efficient and identifiable modeling for control and simulation. In this paper, the Newton–Euler method is employed to formulate the robot dynamics. By leveraging screw theory, the model is expressed in a matrix [...] Read more.
The minimal parameter set is fundamental to robot dynamic identification, enabling efficient and identifiable modeling for control and simulation. In this paper, the Newton–Euler method is employed to formulate the robot dynamics. By leveraging screw theory, the model is expressed in a matrix form that is linear with respect to the robot’s inertial parameters. The Kronecker product is then applied to transform the matrix equation into an equivalent vector–matrix representation. Subsequently, full-rank decomposition is used to reduce the dimensionality of the parameter vector, resulting in the minimal dynamic parameter set of the robot. Following this, excitation signals are sequentially applied to each joint, starting from the end-effector and progressing toward the base, enabling a stepwise identification of the minimal parameter set using the least-squares method. The identified minimal parameters are then incorporated into the mass matrix of the dynamic model, enabling the implementation of forward dynamic simulation. Experimental validation is conducted on a planar 3R robot. The results demonstrate that the sequential excitation strategy accurately identifies dynamic parameters while ensuring the robot’s safety. Furthermore, the forward dynamic simulation closely replicates the kinematic behavior of the actual robot. Full article
(This article belongs to the Section Sensors and Robotics)
Show Figures

Figure 1

Back to TopTop