Sign in to use this feature.

Years

Between: -

Subjects

remove_circle_outline
remove_circle_outline
remove_circle_outline
remove_circle_outline
remove_circle_outline
remove_circle_outline
remove_circle_outline
remove_circle_outline
remove_circle_outline

Journals

Article Types

Countries / Regions

remove_circle_outline
remove_circle_outline
remove_circle_outline

Search Results (167)

Search Parameters:
Keywords = Cu(OH)2

Order results
Result details
Results per page
Select all
Export citation of selected articles as:
17 pages, 2466 KB  
Article
Copper(II) Complexes with 4,4′-Bipyridine: From 1D to 3D Lattices
by Susan N. Herringer, Rahel L. Welten, Daniel Biner, Jürg Hauser and Karl W. Krämer
Inorganics 2025, 13(12), 400; https://doi.org/10.3390/inorganics13120400 - 5 Dec 2025
Abstract
Three new Cu(II) coordination polymers with 4,4′-bipyridine (bpy) were synthesized by hydrothermal reactions and their structures determined by single crystal X-ray diffraction. [Cu(bpy)3(H2O)2](bpy)(PF6)2(H2O)3 (1) is built from bpy-bridged [...] Read more.
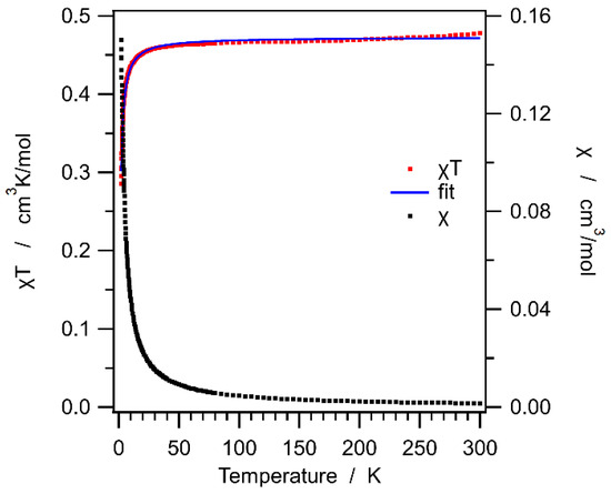
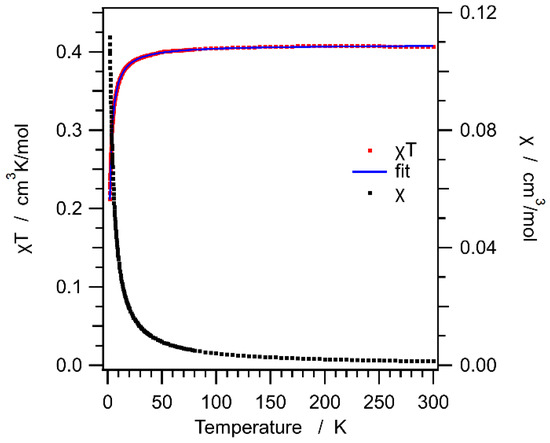
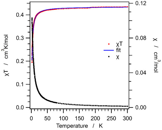
Three new Cu(II) coordination polymers with 4,4′-bipyridine (bpy) were synthesized by hydrothermal reactions and their structures determined by single crystal X-ray diffraction. [Cu(bpy)3(H2O)2](bpy)(PF6)2(H2O)3 (1) is built from bpy-bridged chains, [Cu(bpy)2(H2O)2](bpy)(PF6)2(H2O)6 (2) from layers, and in [Cu(bpy)2(NO3)](bpy)(PF6)2(H3O)(H2O) (3) the layers are further connected by nitrate to a cuboid lattice. The magnetic properties of 3 are compared to [Cu(bpy)2(H2O)2](SiF6) (4) and [Cu(pyz)(bpy)(H2O)2](PF6)2 (5), where pyz = pyrazine. 35 are weakly coupled two-dimensional S = 1/2 antiferromagnetic Heisenberg lattices with 0.86 K < J < 1.47 K. Full article
(This article belongs to the Special Issue Feature Papers in Inorganic Solid-State Chemistry 2025)
Show Figures

Graphical abstract

14 pages, 3246 KB  
Article
Surface Characterization of Chalcopyrite Dissolution in Hypochlorite Medium
by Oscar Benavente, María-Cecilia Hernández, Evelyn Melo, Víctor Quezada, Joan Vignals and Antoni Roca
Minerals 2025, 15(12), 1268; https://doi.org/10.3390/min15121268 - 29 Nov 2025
Viewed by 187
Abstract
The surface of chalcopyrite was studied by XPS characterization for an unleached chalcopyrite, and, after being leached in an alkaline oxidant medium at room temperature, pH 12.5, and [ClO] 0.34 M, the reaction of enargite presented high selectivity with respect to [...] Read more.
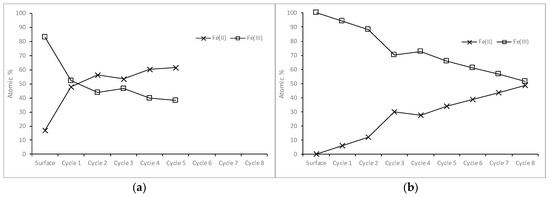
The surface of chalcopyrite was studied by XPS characterization for an unleached chalcopyrite, and, after being leached in an alkaline oxidant medium at room temperature, pH 12.5, and [ClO] 0.34 M, the reaction of enargite presented high selectivity with respect to chalcopyrite, allowing the removal of arsenic from copper concentrates with high arsenic content prior to smelting. Based on the XPS analysis, the original chalcopyrite is composed of a combination of its constituents in different oxidation states, and chalcopyrite has the following stoichiometric formula: Cu(I)0.85Cu(II)0.15Fe(II)0.65Fe(III)0.35S2−1.5S22−0.17Sn0.082−. The unleached chalcopyrite on its surface presents an iron deficiency, which raises the ratio Cu/Fe up to 2, reaching the chalcopyrite Cu/Fe rate in the fifth cycle. The Cu/S ratio of chalcopyrite, 0.5, remains constant at the surface as after the peeling. Surface sulfur shows a decrease in monosulfides, increasing the Sn2−/S2− y S22−/S2− ratio. Chalcopyrite leached with ClO/OH media generates surface layers with the following intermediate products: ChalcopyriteCuFe1-xS2/CuSn/Fe3+ -OHFe3+-OH/CuO/SO42−. Neither sulfur intermediates nor oxidized final products are passivating, allowing the chalcopyrite transformation to progress in depth with increasing reaction time. Full article
Show Figures

Figure 1

18 pages, 6111 KB  
Article
Sustainable Removal of Heavy Metal Ions from Mineral Wastewater Using Waste Basalt Fiber
by Zhongyi Liu, Chenhu Zhang, Hexiang Zhong, Chengyong Wang, Peng Chen, Peng Zhang, Wei Ding and Shiwei Wang
Minerals 2025, 15(11), 1097; https://doi.org/10.3390/min15111097 - 22 Oct 2025
Viewed by 369
Abstract
Heavy metal ions in wastewater endanger ecology and human health, requiring cost-effective treatments. This study innovatively converts abandoned basalt fibers (BFs) into high-performance adsorbents (BFSN) via NaOH etching and chelation with nitrilotriacetic acid (NTA)/carboxymethyl starch (CMS), introducing target functional groups. Characterizations (XPS, FTIR, [...] Read more.
Heavy metal ions in wastewater endanger ecology and human health, requiring cost-effective treatments. This study innovatively converts abandoned basalt fibers (BFs) into high-performance adsorbents (BFSN) via NaOH etching and chelation with nitrilotriacetic acid (NTA)/carboxymethyl starch (CMS), introducing target functional groups. Characterizations (XPS, FTIR, zeta potential) reveal Cu2+/Pb2+ adsorption mechanisms: -COO chelation, N-containing group ion exchange, and electrostatic adsorption. Kinetics fit a pseudo-first-order model (R2 > 0.98) and isotherms fit the Langmuir model, confirming monolayer chemisorption. BFSN has excellent thermal stability (≤2% mass loss at 800 °C) and post-adsorption integrity (≈0.11% mass loss post-loading). Waste-derived BFSN, cheaper than commercial adsorbents, has strong economic viability. This “waste-to-value” approach offers efficient, sustainable large-scale heavy metal wastewater remediation, advancing waste utilization and ecological restoration in water treatment. Full article
Show Figures

Figure 1

18 pages, 5815 KB  
Article
Solvent-Responsive Luminescence of an 8-Hydroxyquinoline-Modified 1H-Imidazo[4,5-f][1,10]phenanthroline Ligand and Its Cu(I) Complexes: Excited-State Mechanisms and Structural Effects
by Zhenqin Zhao, Siyuan Liu, Shu Cui, Yichi Zhang, Ziqi Jiang and Xiuling Li
Molecules 2025, 30(19), 3973; https://doi.org/10.3390/molecules30193973 - 3 Oct 2025
Viewed by 572
Abstract
Understanding how solvents influence the luminescence behavior of Cu(I) complexes is crucial for designing advanced optical sensors. This study reports the synthesis, structures and photophysical investigation of an 8-hydroxyquinoline-functionalized 1H-imidazo[4,5-f][1,10]phenanthroline ligand, ipqH2, and its four Cu(I) complexes [...] Read more.
Understanding how solvents influence the luminescence behavior of Cu(I) complexes is crucial for designing advanced optical sensors. This study reports the synthesis, structures and photophysical investigation of an 8-hydroxyquinoline-functionalized 1H-imidazo[4,5-f][1,10]phenanthroline ligand, ipqH2, and its four Cu(I) complexes with diphosphine co-ligands. Photoluminescence studies demonstrated distinct solvent-dependent excited-state mechanisms. In DMSO/alcohol mixtures, free ipqH2 exhibited excited-state proton transfer (ESPT) and enol-keto tautomerization, producing dual emission at about 447 and 560 nm, while the complexes resisted ESPT due to hydrogen bond blocking by PF6 anions and Cu(I) coordination. In DMSO/H2O, aggregation-caused quenching (ACQ) and high-energy O–H vibrational quenching dominated, but complexes 1 and 2 showed a significant red-shifted emission (569–574 nm) with high water content due to solvent-stabilized intra-ligand charge transfer and metal-to-ligand charge transfer ((IL+ML)CT) states. In DMSO/DMF, hydrogen bond competition and solvation-shell reorganization led to distinct responses: complexes 1 and 3, with flexible bis[(2-diphenylphosphino)phenyl]ether (POP) ligands, displayed peak splitting and (IL + ML)CT redshift emission (501 ⟶ 530 nm), whereas complexes 2 and 4, with rigid 9,9-dimethyl-4,5-bis(diphenylphosphino)-9H-xanthene (xantphos), showed weaker responses. The flexibility of the diphosphine ligand dictated DMF sensitivity, while the coordination, the hydrogen bonds between PF6 anions and ipqH2, and water solubility governed the alcohol/water responses. This work elucidates the multifaceted solvent-responsive mechanisms in Cu(I) complexes, facilitating the design of solvent-discriminative luminescent sensors. Full article
(This article belongs to the Special Issue Influence of Solvent Molecules in Coordination Chemistry)
Show Figures

Graphical abstract

31 pages, 10779 KB  
Review
MXene-Polymer Nanocomposites for High-Efficiency Photocatalytic Antibiotic Degradation Review: Microstructure Control, Environmental Adaptability and Future Prospects
by Zhenfei Chen, Zhifei Meng, Zhongguo Zhang and Weifang Ma
Polymers 2025, 17(19), 2630; https://doi.org/10.3390/polym17192630 - 28 Sep 2025
Cited by 1 | Viewed by 937
Abstract
The efficient degradation of antibiotics in pharmaceutical wastewater remains a critical challenge against environmental contaminants. Conventional photocatalysts face potential limitations such as narrow visible-light absorption, rapid carrier recombination, and reliance on precious metal cocatalysts. This review investigates the coordination structure of MXene as [...] Read more.
The efficient degradation of antibiotics in pharmaceutical wastewater remains a critical challenge against environmental contaminants. Conventional photocatalysts face potential limitations such as narrow visible-light absorption, rapid carrier recombination, and reliance on precious metal cocatalysts. This review investigates the coordination structure of MXene as a cocatalyst to synergistically enhance photocatalytic antibiotic degradation efficiency and the coordination structure modification mechanisms. MXene’s tunable bandgap (0.92–1.75 eV), exceptional conductivity (100–20,000 S/cm), and abundant surface terminations (-O, -OH, -F) enable the construction of Schottky or Z-scheme heterojunctions with semiconductors (Cu2O, TiO2, g-C3N4), achieving 50–70% efficiency improvement compared to pristine semiconductors. The “electron sponge” effect of MXene suppresses electron-hole recombination by 3–5 times, while its surface functional groups dynamically optimize pollutant adsorption. Notably, MXene’s localized surface plasmon resonance extends light harvesting from visible (400–800 nm) to near-infrared regions (800–2000 nm), tripling photon utilization efficiency. Theoretical simulations demonstrate that d-orbital electronic configurations and terminal groups cooperatively regulate catalytic active sites at atomic scales. The MXene composites demonstrate remarkable environmental stability, maintaining over 90% degradation efficiency of antibiotic under high salinity (2 M NaCl) and broad pH range (4–10). Future research should prioritize green synthesis protocols and mechanistic investigations of interfacial dynamics in multicomponent wastewater systems to facilitate engineering applications. This work provides fundamental insights into designing MXene-based photocatalysts for sustainable water purification. Full article
(This article belongs to the Special Issue Photoelectrocatalytic Polymer Materials)
Show Figures

Graphical abstract

17 pages, 3349 KB  
Article
Development and Performance Evaluation of Translucent Concrete Incorporating Activated Copper Tailings as Cementitious Material
by Guangdong An, Siyang Li, Zhaorui Li, Zhaohui He, Kai Li, Ping Ning, Xiangyu Wang and Xin Sun
Appl. Sci. 2025, 15(18), 10228; https://doi.org/10.3390/app151810228 - 19 Sep 2025
Cited by 1 | Viewed by 611
Abstract
This study reports a method for producing translucent concrete using alkali-activated copper tailings, aiming to advance the valorization of solid waste and the development of sustainable construction materials. Under optimal conditions—600 °C calcination, 10 wt% CaO, and a 1:2 water-to-solid ratio—the material achieved [...] Read more.
This study reports a method for producing translucent concrete using alkali-activated copper tailings, aiming to advance the valorization of solid waste and the development of sustainable construction materials. Under optimal conditions—600 °C calcination, 10 wt% CaO, and a 1:2 water-to-solid ratio—the material achieved a maximum 28-day compressive strength of 52.7 MPa, accompanied by a significantly reduced setting time. Leaching tests indicated that Cu, Zn, Pb, and As concentrations were well below the standard limits, ensuring environmental safety. Further optimization revealed that incorporating 40 wt% cement and 2 wt% polypropylene fibers (1 mm in diameter) provided the best balance between light transmission and mechanical performance. Microstructural analyses (XRD and SEM) confirmed the formation of C–S–H and C–A–S–H gels with minor Ca(OH)2, which densified the matrix and enhanced strength. Despite these promising results, potential variations in the tailing composition and challenges associated with industrial-scale implementation must be considered. Overall, this work elucidates the hydration and solidification mechanisms of copper-tailing-based translucent concrete and highlights its potential for environmentally sustainable and functional construction materials. Full article
Show Figures

Figure 1

13 pages, 1750 KB  
Article
Mineral-Based Synthesis of CuFe2O4 Nanoparticles via Co-Precipitation and Microwave Techniques Using Leached Copper Solutions from Mined Minerals
by Carolina Venegas Abarzúa, Mauricio J. Morel, Gabriela Sandoval-Hevia, Thangavel Kavinkumar, Natarajan Chidhambaram, Sathish Kumar Kamaraj, Nagarajan Dineshbabu and Arun Thirumurugan
Minerals 2025, 15(8), 819; https://doi.org/10.3390/min15080819 - 1 Aug 2025
Viewed by 1228
Abstract
Environmental sustainability and responsible resource utilization are critical global challenges. In this work, we present a sustainable and circular-economy-based approach for synthesizing CuFe2O4 nanoparticles by directly utilizing copper oxide minerals sourced from Chilean mining operations. Copper sulfate (CuSO4) [...] Read more.
Environmental sustainability and responsible resource utilization are critical global challenges. In this work, we present a sustainable and circular-economy-based approach for synthesizing CuFe2O4 nanoparticles by directly utilizing copper oxide minerals sourced from Chilean mining operations. Copper sulfate (CuSO4) was extracted from these minerals through acid leaching and used as a precursor for nanoparticle synthesis via both chemical co-precipitation and microwave-assisted methods. The influence of different precipitating agents—NaOH, Na2CO3, and NaF—was systematically evaluated. XRD and FESEM analyses revealed that NaOH produced the most phase-pure and well-dispersed nanoparticles, while NaF resulted in secondary phase formation. The microwave-assisted method further improved particle uniformity and reduced agglomeration due to rapid and homogeneous heating. Electrochemical characterization was conducted to assess the suitability of the synthesized CuFe2O4 for supercapacitor applications. Cyclic voltammetry (CV) and galvanostatic charge–discharge (GCD) measurements confirmed pseudocapacitive behavior, with a specific capacitance of up to 1000 F/g at 2 A/g. These findings highlight the potential of CuFe2O4 as a low-cost, high-performance electrode material for energy storage. This study underscores the feasibility of converting primary mined minerals into functional nanomaterials while promoting sustainable mineral valorization. The approach can be extended to other critical metals and mineral residues, including tailings, supporting the broader goals of a circular economy and environmental remediation. Full article
Show Figures

Figure 1

17 pages, 3073 KB  
Article
Synthesis, Characterization, and Anticancer Activity of 3-Chlorothiophene-2-carboxylic Acid Transition Metal Complexes
by Baiquan Hu, Qianqian Kang, Xianggao Meng, Hao Yin, Xingzhi Yang, Yanting Yang and Mei Luo
Inorganics 2025, 13(7), 238; https://doi.org/10.3390/inorganics13070238 - 11 Jul 2025
Viewed by 1407
Abstract
In this study, 3-chlorothiophene-2-carboxylic acid (HL) was used as a main ligand to successfully synthesize four novel complexes: [Cu(L)2(Py)2(OH2)2] (1), [Co(L)2(Py)2(OH2)2] (2) (Py [...] Read more.
In this study, 3-chlorothiophene-2-carboxylic acid (HL) was used as a main ligand to successfully synthesize four novel complexes: [Cu(L)2(Py)2(OH2)2] (1), [Co(L)2(Py)2(OH2)2] (2) (Py = pyridine), [{Ni(L)2(OH2)4}2{Ni(L)(OH2)5}]L•5H2O (3), and [{Co(L)2(OH2)4}2{Co(L)(OH2)5}]L•5H2O (4). All four compounds were identified by elemental analysis and ESI mass spectrometry, and subsequently characterized by IR spectroscopy, UV-visible diffuse reflectance spectroscopy, electron paramagnetic resonance spectroscopy, thermogravimetric analysis, single-crystal X-ray crystallography, and cyclic voltammetry. X-ray analyses revealed that complexes 1 and 2 exhibit a centrosymmetric pseudo-octahedral coordination geometry; the copper (II) and cobalt (II) metal ions, respectively, are located at the crystallographic center of inversion. The coordination sphere of the copper (II) complex is axially elongated in accordance with the Jahn–Teller effect. Intriguingly, for charge neutrality, compounds 3 and 4 crystallized as three independent mononuclear octahedrally coordinated metal centers, which are two [ML2(OH2)4] complex molecules and one [ML(OH2)5]+ complex cation (M = NiII and CoII, respectively), with the ligand anion L serving as the counter ion. The anticancer activities of these complexes were systematically assessed on human leukemia K562 cells, lung cancer A549 cells, liver cancer HepG2 cells, breast cancer MDA-MB-231 cells, and colon cancer SW480 cells. Among them, complex 4 shows significant inhibitory effects on leukemia K562 cells and colon cancer SW480 cells. Full article
Show Figures

Graphical abstract

14 pages, 4290 KB  
Article
Multifunctional Green-Synthesized Cu2O-Cu(OH)2 Nanocomposites Grown on Cu Microfibers for Water Treatment Applications
by Hala Al-Jawhari, Nuha A. Alhebshi, Roaa Sait, Reem Altuwirqi, Laila Alrehaili, Noorah Al-Ahmadi and Nihal Elbialy
Micro 2025, 5(3), 33; https://doi.org/10.3390/micro5030033 - 5 Jul 2025
Viewed by 919
Abstract
Free-standing copper oxide (Cu2O)-copper hydroxide (Cu(OH)2) nanocomposites with enhanced catalytic and antibacterial functionalities were synthesized on copper mesh using a green method based on spinach leaf extract and glycerol. EDX, SEM, and TEM analyses confirmed the chemical composition and [...] Read more.
Free-standing copper oxide (Cu2O)-copper hydroxide (Cu(OH)2) nanocomposites with enhanced catalytic and antibacterial functionalities were synthesized on copper mesh using a green method based on spinach leaf extract and glycerol. EDX, SEM, and TEM analyses confirmed the chemical composition and morphology. The resulting Cu2O-Cu(OH)2@Cu mesh exhibited notable hydrophobicity, achieving a contact angle of 137.5° ± 0.6, and demonstrated the ability to separate thick oils, such as HD-40 engine oil, from water with a 90% separation efficiency. Concurrently, its photocatalytic performance was evaluated by the degradation of methylene blue (MB) under a weak light intensity of 5 mW/cm2, achieving 85.5% degradation within 30 min. Although its application as a functional membrane in water treatment may raise safety concerns, the mesh showed significant antibacterial activity against both Gram-positive (Staphylococcus aureus) and Gram-negative (Escherichia coli) bacteria under both dark and light conditions. Using the disk diffusion method, strong bacterial inhibition was observed after 24 h of exposure in the dark. Upon visible light irradiation, bactericidal efficiency was further enhanced—by 17% for S. aureus and 2% for E. coli. These findings highlight the potential of the Cu2O-Cu(OH)2@Cu microfibers as a multifunctional membrane for industrial wastewater treatment, capable of simultaneously removing oil, degrading organic dyes, and inactivating pathogenic bacteria through photo-assisted processes. Full article
Show Figures

Figure 1

14 pages, 1557 KB  
Article
Lignin Extracted from Green Coconut Waste Impregnated with Sodium Octanoate for Removal of Cu2+ in Aqueous Solution
by Jéssyca E. S. Pereira, Eduardo L. Barros Neto, Lindemberg J. N. Duarte, Ruan L. S. Ferreira, Ricardo P. F. Melo and Paula F. P. Nascimento
Processes 2025, 13(5), 1590; https://doi.org/10.3390/pr13051590 - 20 May 2025
Viewed by 1522
Abstract
Investigating viable processes for the use of lignocellulosic biomass in clean fuels and high-value-added chemical products is essential for sustainable development. Large amounts of lignin are available every year as by-products of the paper and biorefinery industries, causing a series of problems, particularly [...] Read more.
Investigating viable processes for the use of lignocellulosic biomass in clean fuels and high-value-added chemical products is essential for sustainable development. Large amounts of lignin are available every year as by-products of the paper and biorefinery industries, causing a series of problems, particularly environmental ones. Its structure and composition make lignin compatible with the concept of sustainability, since it can be used to produce new chemical products with high added value. As such, this study aims to extract lignin from green coconut fiber (LIG), with the subsequent impregnation of a sodium-octanoate-based surfactant (LIG-SUR), and determine its applicability as an adsorbent for removing copper ions from synthetic waste. To this end, the green coconut fiber lignocellulosic biomass was initially subjected to alkaline pre-treatment with 2% (w/v) sodium hydroxide in an autoclave. Next, the surface of the lignin was modified by impregnating it with sodium octanoate, synthesized from the reaction of octanoic acid and NaOH. The physical and chemical traits of the lignin were studied before and after surfactant impregnation, as well as after copper ion adsorption. The lignin was analyzed by X-ray fluorescence (XRF), Fourier transform infrared (FTIR) and scanning electron microscopy (SEM). The adsorption tests were carried out using lignin pre-treated with surfactant in a batch system, where the effects of pH and adsorbent concentration were investigated. XRF and SEM analyses confirmed surfactant impregnation, with Na2O partially replaced by CuO after Cu2+ adsorption. FTIR analysis revealed shifts in O–H, C–H, C=O, and C=C bands, indicating electrostatic interactions with lignin. Adsorption kinetics followed the pseudo-second-order model, suggesting chemisorption, with equilibrium reached in approximately 10 and 60 min for LIG-SUR and LIG, respectively. The Langmuir model best described the isotherm data, indicating monolayer adsorption. LIG-SUR removed 91.57% of Cu2+ and reached a maximum capacity of 30.7 mg·g−1 at 25 °C and a pH of 6. The results of this research showed that pre-treatment with NaOH, followed by impregnation with surfactant, significantly increased the adsorption capacity of copper ions in solution. This technique is a viable and sustainable alternative to the traditional adsorbents used to treat liquid waste. In addition, by using green coconut fiber lignin more efficiently, the research contributes to adding value to this material and strengthening practices in line with the circular economy and environmental preservation. Full article
(This article belongs to the Special Issue Emerging Technologies in Solid Waste Recycling and Reuse)
Show Figures

Figure 1

18 pages, 4886 KB  
Article
Kinetics of Different Substituted Phenolic Compounds’ Aqueous OH Oxidation in Atmosphere
by Dandan Hu, Zixuan Wang, Eleonora Aruffo, Xuanli Dai, Zhuzi Zhao and Zhaolian Ye
Atmosphere 2025, 16(5), 567; https://doi.org/10.3390/atmos16050567 - 9 May 2025
Cited by 2 | Viewed by 2378
Abstract
Atmospheric aqueous-phase reactions have been recognized as an important source of secondary organic aerosols (SOAs). However, the unclear reaction kinetics and mechanics hinder the in-depth understanding of the SOA sources and formation processes. This study selected ten different substituted phenolic compounds (termed as [...] Read more.
Atmospheric aqueous-phase reactions have been recognized as an important source of secondary organic aerosols (SOAs). However, the unclear reaction kinetics and mechanics hinder the in-depth understanding of the SOA sources and formation processes. This study selected ten different substituted phenolic compounds (termed as PhCs) emitted from biomass burning as precursors, to investigate the kinetics using OH oxidation reactions under simulated sunlight. The factors influencing reaction rates were examined, and the contribution of reactive oxygen species (ROS) was evaluated through quenching and kinetic analysis experiments. The results showed that the pseudo-first-order rate constants (kobs) for the OH oxidation of phenolic compounds ranged from 1.03 × 10−4 to 7.85 × 10−4 s−1 under simulated sunlight irradiation with an initial H2O2 concentration of 3 mM. Precursors with electron-donating groups (-OH, -OCH3, -CH3, etc.) exhibited higher electrophilic radical reactivity due to the enhanced electron density of the benzene ring, leading to higher reaction rates than those with electron-withdrawing groups (-NO2, -CHO, -COOH). At pH 2, the second-order reaction rate (kPhCs, OH) was lower than at pH 5. However, the kobs did not show dependence on pH. The presence of O2 facilitated substituted phenols’ photodecay. Inorganic salts and transition metal ions exhibited varying effects on reaction rates. Specifically, NO3 and Cu2+ promoted kPhCs, OH, Cl significantly enhanced the reaction at pH 2, while SO42− inhibited the reaction. The kPhCs, OH were determined to be in the range of 109~1010 L mol−1 s−1 via the bimolecular rate method, and a modest relationship with their oxidation potential was found. Additionally, multiple substituents can suppress the reactivity of phenolic compounds toward •OH based on Hammett plots. Quenching experiments revealed that •OH played a dominant role in phenolic compound degradation (exceeding 65%). Electron paramagnetic resonance confirmed the generation of singlet oxygen (1O2) in the system, and probe-based quantification further explored the concentrations of •OH and 1O2 in the system. Based on reaction rates and concentrations, the atmospheric aqueous-phase lifetimes of phenolic compounds were estimated, providing valuable insights for expanding atmospheric kinetic databases and understanding the chemical transformation and persistence of phenolic substances in the atmosphere. Full article
(This article belongs to the Special Issue Coordinated Control of PM2.5 and O3 and Its Impacts in China)
Show Figures

Figure 1

18 pages, 5259 KB  
Article
Synergistic Cu-Pd Nanocatalysts on MOF-Derived N-Doped Carbon for Selective Hydrogenolysis of Lignin to Aromatic Monomers
by Wenjun Lei, Yan Fu, Shipeng Gu, Shuaishuai Qiu and Jie Chang
Catalysts 2025, 15(5), 455; https://doi.org/10.3390/catal15050455 - 7 May 2025
Viewed by 1166
Abstract
Catalytic hydrogenolysis of lignin to produce high-value monophenols has emerged as a pivotal strategy in modern biorefineries. In this study, we synthesized spherical nitrogen-doped porous carbon (SNCB) materials by using Al/Co-BTC as a precursor, introducing melamine as a supplementary carbon and nitrogen source, [...] Read more.
Catalytic hydrogenolysis of lignin to produce high-value monophenols has emerged as a pivotal strategy in modern biorefineries. In this study, we synthesized spherical nitrogen-doped porous carbon (SNCB) materials by using Al/Co-BTC as a precursor, introducing melamine as a supplementary carbon and nitrogen source, and activating the material with NaOH solution. The SNCB framework was decorated with Cu-Pd bimetallic nanoparticles, exhibiting outstanding catalytic activity in the hydrogenolytic depolymerization of organosolv lignin. The Cu-Pd@SNCB catalyst exhibited remarkable activity, attributed to the hierarchical porous structure of SNCB that facilitated metal nanoparticle dispersion and reactant accessibility. The synergistic effect between Cu as the reactive site for reactant adsorption and Pd as the reactive site for H2 adsorption enhanced the catalytic activity of the catalyst. Systematically optimized conditions (2 MPa H2, 270 °C, 3 h) yielded 43.02 wt% phenolic monomers, with 4-(3-hydroxypropyl)-2,6-dimethoxyphenol dominating the product profile at 46.3% selectivity. The catalyst and its reaction products were analyzed using advanced characterization techniques, including XPS, XRD, TEM, SEM, BET, GC-MS, GPC, 2D HSQC NMR, and FT-IR, to elucidate the reaction mechanism. The mechanism proceeds through: (1) nucleophilic substitution of the β-O-4 hydroxyl group by MeOH, followed by (2) simultaneous hydrogenolytic cleavage of Cβ-O and Cα-O bonds mediated by Cu-Pd@SNCB under H2 atmosphere, which selectively produces 4-(3-hydroxypropyl)-2,6-dimethoxyphenol and 4-propyl-2,6-dimethoxyphenol. This study proposes a bimetallic synergistic mechanism, offering a general blueprint for developing selective lignin valorization catalysts. Full article
(This article belongs to the Special Issue Catalytic Conversion and Utilization of Biomass)
Show Figures

Figure 1

24 pages, 6174 KB  
Article
Copper(II)-Promoted Reactions of α-Pyridoin Oxime: A Dodecanuclear Cluster and a 2D Coordination Polymer
by Konstantina H. Baka, Luís Cunha-Silva, Catherine P. Raptopoulou, Vassilis Psycharis, Dionissios Papaioannou, Mark M. Turnbull, Zoi G. Lada, Spyros P. Perlepes and Theocharis C. Stamatatos
Magnetochemistry 2025, 11(4), 35; https://doi.org/10.3390/magnetochemistry11040035 - 18 Apr 2025
Viewed by 2016
Abstract
The reaction of CuCl2∙2H2O, (E)-2-hydroxy-1,2-di(pyridin-2-yl)ethanone oxime (α-pyroxH2) and Et3N in refluxing MeOH gave complex [Cu12Cl12(mpydol)4(pydox)2(MeOH)4] (1), where mpydol2− is the [...] Read more.
The reaction of CuCl2∙2H2O, (E)-2-hydroxy-1,2-di(pyridin-2-yl)ethanone oxime (α-pyroxH2) and Et3N in refluxing MeOH gave complex [Cu12Cl12(mpydol)4(pydox)2(MeOH)4] (1), where mpydol2− is the dianion of 1,2-dimethoxy-1,2-di(pyridin-2-yl)ethane-1,2-diol and pydox2− is the dianion of (E,E)-1,2-di(pyridin-2-yl)ethanedione dioxime. “Blind” experiments have proven that the transformation of α-pyroxH2 is copper(II)-assisted. By changing the solvent from MeOH to MeCN, the polymeric compound {[Cu4Cl4(pic)4]}n (2) was isolated; pic is the pyridine-2-carboxylato(-1) ligand. The observed α-pyroxH2 → pic transformation is also copper(II)-assisted. The topology of the metal ions in 1 can be described as consisting of four consecutive isosceles triangles in a zigzag configuration. Complex 2 is a 2D coordination polymer consisting of CuII4 squares. Complete mechanistic views for the α-pyroxH2 → mpydol2−, pydox2− and pic transformations are critically discussed. In 1, the six CuII ions of the “central” triangles seem to be strongly antiferromagnetically coupled, thus cancelling out their spins (SCu6 = 0). The two local spins of S = 1/2 for each of the antiferromagnetically coupled “terminal” CuII3 triangles result in an overall S = 1 ground state spin value for 1. In 2, the four CuII ions within each tetrameric unit are practically isolated and ferromagnetic interactions occur between these units through CuII–(μ-Cl)–CuII bridges. Full article
(This article belongs to the Special Issue Latest Research on the Magnetic Properties of Coordination Compounds)
Show Figures

Figure 1

14 pages, 1837 KB  
Article
The Effect of Support and Reduction Methods on Catalyst Performance in the Selective Oxidation of 1,2-Propanediol
by Xin Li, Zhiqing Wang, Xiong Xiong, Lingqin Shen and Hengbo Yin
Catalysts 2025, 15(4), 304; https://doi.org/10.3390/catal15040304 - 24 Mar 2025
Viewed by 936
Abstract
The oxidation of 1,2-propanediol (1,2-PDO) under alkaline heterogeneous catalysis can be optimized to produce lactic acid, a valuable commodity chemical. In this study, Pd nanoparticles supported on various metal oxides (CeO2, CuO, ZrO2, ZnO, SnO2) were synthesized [...] Read more.
The oxidation of 1,2-propanediol (1,2-PDO) under alkaline heterogeneous catalysis can be optimized to produce lactic acid, a valuable commodity chemical. In this study, Pd nanoparticles supported on various metal oxides (CeO2, CuO, ZrO2, ZnO, SnO2) were synthesized via a wet-chemistry method. Furthermore, CeO2-supported Pd nanoparticle catalysts were prepared using different reduction methods. The catalytic performance for the selective oxidation of 1,2-PDO was evaluated using a range of characterization techniques. Under optimal conditions (120 °C, 1.0 MPa O2 pressure, 2 h reaction time, and a NaOH/1,2-PDO molar ratio of 3.0), a high lactic acid yield of 62.7% was achieved. Single-factor experiments revealed that lactic acid selectivity decreased with prolonged reaction time. Conversely, increasing temperature, NaOH concentration, and O2 pressure initially enhanced lactic acid selectivity, but further increases resulted in a decline. Physicochemical characterization revealed that different supports and reduction methods affect the basicity of the catalyst, which subsequently influences the selectivity of the target product, lactic acid. Full article
(This article belongs to the Special Issue Metal Oxide-Supported Catalysts)
Show Figures

Graphical abstract

12 pages, 5695 KB  
Article
An Organic–Inorganic Hybrid Semiconducting Quantum Spin Liquid Candidate: (BEDT-TTF)3[Cu2(μ-C2O4)3·CH3CH2OH·1.2H2O]
by Bin Zhang, Yan Zhang, Dongwei Wang, Zheming Wang, Guangcai Chang, Zengqiang Gao, Yanjun Guo, Fen Liu, Zhijuan Zhao, Xiaoyu Zhang, Baolong Qu, Peng Xu, Jiaou Wang, Fenliang Dong, Tongling Liang, Yang Sun, Deliang Yang, Qiaolian Li, Xiaofei Luo, Rongjuan Feng, Mei Liu and Xueying Zhangadd Show full author list remove Hide full author list
Magnetochemistry 2025, 11(2), 12; https://doi.org/10.3390/magnetochemistry11020012 - 12 Feb 2025
Viewed by 1298
Abstract
The organic–inorganic hybrid (BEDT-TTF)3[Cu2(μ-C2O4)3·CH3CH2OH·1.2H2O] (I) was obtained using the electrocrystallization method. It comprises a θ21-phase organic donor layer and a two-dimensional inorganic antiferromagnetic [...] Read more.
The organic–inorganic hybrid (BEDT-TTF)3[Cu2(μ-C2O4)3·CH3CH2OH·1.2H2O] (I) was obtained using the electrocrystallization method. It comprises a θ21-phase organic donor layer and a two-dimensional inorganic antiferromagnetic honeycomb lattice. Cu(II) is octahedrally coordinated by three bisbidenetate oxalates, exhibiting Jahn–Teller distortion. CH3CH2OH and H2O molecules are located within the cavities of the honeycomb lattice. The total formal charge of the three donor molecules was assigned to be +2 based on the bond lengths in the TTF core, which corresponded to the Raman spectra. It is a semiconductor with σrt = 0.04 S/cm and Eα = 40 meV. No long-range ordering was observed above 2 K from zero-field cooling/field cooling magnetization, as confirmed by specific heat measurements. The spin frustration with f > 10 from the antiferromagnetic copper-oxalate-framework was observed. It is a candidate quantum spin liquid. Full article
Show Figures

Figure 1

Back to TopTop