Sign in to use this feature.

Years

Between: -

Subjects

remove_circle_outline
remove_circle_outline
remove_circle_outline
remove_circle_outline
remove_circle_outline
remove_circle_outline
remove_circle_outline
remove_circle_outline
remove_circle_outline

Journals

Article Types

Countries / Regions

Search Results (158)

Search Parameters:
Keywords = Centella asiatica

Order results
Result details
Results per page
Select all
Export citation of selected articles as:
27 pages, 4839 KB  
Article
Advanced Hybrid Polysaccharide—Lipid Nanocarriers for Bioactivity Improvement of Phytochemicals from Centella asiatica and Hypericum perforatum
by Ioana Lăcătusu, Mihaela Bacalum, Diana Lavinia Stan, Ovidiu-Cristian Oprea, Mihaela Neagu, Georgeta Alexandru, Mihaela Prisacari and Nicoleta Badea
Pharmaceutics 2026, 18(1), 48; https://doi.org/10.3390/pharmaceutics18010048 - 30 Dec 2025
Viewed by 325
Abstract
Background/Objectives: Phytochemicals are known to be active contributors to a healthy life, providing valuable wound healing benefits. Methods: This research took an innovative approach that successfully overcame the bioavailability limits of herbal extracts, by entrapping CentellaA with HypericumP in nanostructured lipid carriers (NLCs) [...] Read more.
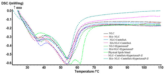
Background/Objectives: Phytochemicals are known to be active contributors to a healthy life, providing valuable wound healing benefits. Methods: This research took an innovative approach that successfully overcame the bioavailability limits of herbal extracts, by entrapping CentellaA with HypericumP in nanostructured lipid carriers (NLCs) and hybrid hyaluronic acid (HA-NLCs) as valuable formulations with enhanced bioactivity. Results: NLCs and HA-NLCs showed excellent entrapping efficiency values for CentellaA and HypericumP ranging from 89.5 to 95.3%. Co-entrapping of CentellaA:HypericumP in a weight ratio of 4:1 and 2:1 led to diameters of 221.4 ± 2.08 nm for NLC-CentellaA-HypericumP and 220.3 ± 1.74 nm for hybrid HA-NLC-CentellaA-HypericumP. The bimodal calorimetric profile of NLCs contributed to a lower degree of lipid core structural organization. HA-NLC-CentellaA showed the safest biocompatibility behavior with BJ skin cells. Conclusions: The cells treated with NLC-CentellaA exhibited a favorable scratch wound closure and promoted the fastest BJ cell migration. NLC- and HA-NLC herbal extracts remodeled the cytoskeleton of BJ fibroblast cells. The morphological fluorescence changes revealed that the fibroblast cells retained intact their cytoskeleton, characteristic of a viable cell with no obvious stress. An active motility of cells treated with NLCs in the wound area was detected, indicating strong pro-migratory properties; e.g., for NLC-CentellaA, the wound was almost closed after 30 h. Designing NLCs with HA adaptability to reinforce the skin wound healing action represents a desired step for the development of herbal products that meets the challenge of combining the benefits of phytochemicals and nanotechnology to create value-added herbal products. Full article
Show Figures

Figure 1

24 pages, 2670 KB  
Article
Oral Centella asiatica Extract Attenuates UVB-Induced Skin Photoaging via Antioxidant, Anti-Inflammatory, and Extracellular Matrix-Preserving Effects in Hairless Mice
by Yean Jung Choi, Eun-Chae Cho, Seungtae Lim, Jaemin Lee, Jaewoo Bae, Tae Kyu Oh, Jae Kyoung Lee and Eun Ji Kim
Int. J. Mol. Sci. 2026, 27(1), 204; https://doi.org/10.3390/ijms27010204 - 24 Dec 2025
Viewed by 483
Abstract
Centella asiatica exhibits antioxidant, anti-inflammatory, and dermal-regenerative activities, yet the in vivo efficacy of an orally administered, dose-standardized extract against ultraviolet B (UVB)-induced photoaging has not been fully elucidated. This study investigated the protective effects of a chemically standardized C. asiatica extract (sCAE; [...] Read more.
Centella asiatica exhibits antioxidant, anti-inflammatory, and dermal-regenerative activities, yet the in vivo efficacy of an orally administered, dose-standardized extract against ultraviolet B (UVB)-induced photoaging has not been fully elucidated. This study investigated the protective effects of a chemically standardized C. asiatica extract (sCAE; 70 mg/g asiaticoside) in UVB-irradiated Skh:HR-1 hairless mice. Animals received oral sCAE (40 or 80 mg/kg/day) for eight weeks during repeated UVB exposure. Comprehensive assessments—including skin biophysical measurements, histological analysis, ELISA, and gene expression profiling—were performed to characterize dose-dependent responses. sCAE significantly reduced wrinkle formation, transepidermal water loss, malondialdehyde accumulation, and pro-inflammatory cytokines, while enhancing skin hydration, elasticity, antioxidant enzyme activities, and collagen expression. It also restored hyaluronic acid, ceramide, and their biosynthetic genes, and suppressed matrix metalloproteinase-1 and -9. Notably, the higher dose (80 mg/kg) consistently shifted key parameters toward normal levels, demonstrating a clear dose–response effect. These findings provide the first integrative in vivo evidence that orally administered, asiaticoside-standardized C. asiatica extract mitigates UVB-induced photoaging by concurrently improving barrier lipids, extracellular matrix integrity, inflammation, and oxidative stress, supporting its potential as a nutricosmetic agent for skin health. Full article
(This article belongs to the Section Bioactives and Nutraceuticals)
Show Figures

Graphical abstract

23 pages, 1253 KB  
Review
Advances in Bioactive Compounds from Plants and Their Applications in Alzheimer’s Disease
by Steve Pavlov, Santosh Kumar Prajapati, Dhananjay Yadav, Andrea Marcano-Rodriguez, Hariom Yadav and Shalini Jain
Biomolecules 2026, 16(1), 7; https://doi.org/10.3390/biom16010007 - 19 Dec 2025
Viewed by 634
Abstract
Alzheimer’s disease (AD), the leading cause of dementia worldwide, is characterized by progressive neuronal loss, amyloid-β (Aβ) aggregation, tau hyperphosphorylation, oxidative stress, neuroinflammation, cholinergic dysfunction, and gut–brain axis dysregulation. Despite advances in anti-amyloid therapeutics, current interventions provide only modest symptomatic relief and face [...] Read more.
Alzheimer’s disease (AD), the leading cause of dementia worldwide, is characterized by progressive neuronal loss, amyloid-β (Aβ) aggregation, tau hyperphosphorylation, oxidative stress, neuroinflammation, cholinergic dysfunction, and gut–brain axis dysregulation. Despite advances in anti-amyloid therapeutics, current interventions provide only modest symptomatic relief and face limitations in accessibility, cost, and long-term efficacy. Plant-derived bioactive compounds, rooted in traditional medicine systems such as Ayurveda and Traditional Chinese Medicine, have gained increasing attention as multi-target therapeutic agents due to their pleiotropic actions, relative safety, and ability to cross the blood–brain barrier. This review synthesizes mechanistic and translational evidence on major phytochemicals, including withanolides (Withania somnifera), curcumin (Curcuma longa), ginkgolides and bilobalide (Ginkgo biloba), bacosides (Bacopa monnieri), ginsenosides (Panax ginseng), crocin/safranal (Crocus sativus), epigallocatechin-3-gallate (Camellia sinensis), rosmarinic acid (Salvia officinalis, Melissa officinalis), and asiaticosides (Centella asiatica). These compounds exert neuroprotective effects by inhibiting Aβ aggregation, reducing tau phosphorylation, scavenging reactive oxygen species, attenuating NF-κB-mediated inflammation, modulating cholinergic signaling, enhancing synaptic plasticity via brain-derived neurotrophic factor/cAMP response element-binding protein (BDNF/CREB) activation, and regulating gut microbiota. Multi-target approach analyses underscore their synergistic potential in targeting interconnected AD pathways. However, translation remains hindered by poor oral bioavailability, rapid metabolism, and variability in clinical outcomes. Advances in delivery platforms, including liposomes, bilosomes, solid lipid nanoparticles, and nanostructured lipid carriers, are improving stability, blood–brain penetration, and therapeutic efficacy in preclinical models. Collectively, plant-derived phytochemicals serve as promising, affordable, and multi-modal candidates for reshaping AD management, bridging traditional knowledge with modern therapeutic innovation. Full article
Show Figures

Figure 1

17 pages, 5706 KB  
Article
Chitosan/PEO Nanofibers as a Delivery Platform for Sustained Release of Centella asiatica Extract
by Katarzyna Witkowska, Magdalena Paczkowska-Walendowska, Matylda Nagalska, Andrzej Miklaszewski, Tomasz M. Karpiński, Tomasz Plech, Francisco J. Otero Espinar and Judyta Cielecka-Piontek
Int. J. Mol. Sci. 2025, 26(24), 12134; https://doi.org/10.3390/ijms262412134 - 17 Dec 2025
Viewed by 380
Abstract
The search for multifunctional wound dressings that combine structural integrity with biological activity remains an important challenge in modern biomedicine. In this study, electrospun chitosan/polyethylene oxide (CS/PEO) nanofibers incorporating Centella asiatica extract were developed and evaluated in vitro as potential wound-healing materials. Nanofibers [...] Read more.
The search for multifunctional wound dressings that combine structural integrity with biological activity remains an important challenge in modern biomedicine. In this study, electrospun chitosan/polyethylene oxide (CS/PEO) nanofibers incorporating Centella asiatica extract were developed and evaluated in vitro as potential wound-healing materials. Nanofibers were fabricated using various CS/PEO ratios, and the 1:2 w/w composition loaded with 1% extract was selected as the optimal formulation based on morphological homogeneity and processing efficiency. Comprehensive characterization demonstrated that the nanofiber matrix provided sustained release of asiaticosides over several days, fitting best with Hixson–Crowell and Higuchi kinetic models, suggesting a combined diffusion–erosion mechanism. Biological assays confirmed that the optimized formulation displayed strong antioxidant and anti-inflammatory activity, with synergistic effects observed between chitosan and C. asiatica. Moreover, chitosan contributed intrinsic antimicrobial properties against Staphylococcus aureus and Klebsiella pneumoniae, while the extract provided additional antioxidant and regenerative potential. Biocompatibility studies in human fibroblasts showed no cytotoxic effects, and scratch assays confirmed that extract-loaded nanofibers significantly accelerated wound closure compared to the control and CS/PEO base. Taken together, the results highlight the potential of CS/PEO nanofibers with C. asiatica extract as multifunctional wound dressings that integrate structural support, controlled release, antimicrobial protection, and regenerative bioactivity. Future work should address in vivo evaluation, scale-up of electrospinning, and potential incorporation of synergistic antimicrobial agents to further enhance clinical applicability. This approach underlines the value of combining natural product pharmacology with biopolymer engineering in the design of next-generation wound-healing biomaterials. Full article
(This article belongs to the Special Issue Wound Repair: From Basic Biology to Tissue Engineering)
Show Figures

Figure 1

19 pages, 929 KB  
Review
Topical Management of Cellulite (Edematous-Fibro-Sclerotic Panniculopathy, EFSP): Current Insights and Emerging Approaches
by Antonio Di Guardo, Federica Trovato, Carmen Cantisani, Alessandra Rallo, Ilaria Proietti, Maria Elisabetta Greco, Giovanni Pellacani, Annunziata Dattola and Steven Paul Nisticò
J. Aesthetic Med. 2025, 1(2), 10; https://doi.org/10.3390/jaestheticmed1020010 - 1 Dec 2025
Viewed by 1203
Abstract
Cellulite, or edematous-fibro-sclerotic panniculopathy (EFSP), is a multifactorial condition affecting most postpubertal women, characterized by surface irregularities with significant psychosocial impact. Its pathogenesis involves adipocyte metabolism, fibrous septa, microvascular dysfunction, extracellular matrix (ECM) remodeling, oxidative stress, and low-grade inflammation. Topical therapies remain among [...] Read more.
Cellulite, or edematous-fibro-sclerotic panniculopathy (EFSP), is a multifactorial condition affecting most postpubertal women, characterized by surface irregularities with significant psychosocial impact. Its pathogenesis involves adipocyte metabolism, fibrous septa, microvascular dysfunction, extracellular matrix (ECM) remodeling, oxidative stress, and low-grade inflammation. Topical therapies remain among the most accessible approaches, acting on specific biological pathways. Osmotic and vSSasomodulatory formulations reduce edema and improve microcirculation, while methylxanthines such as caffeine and aminophylline promote lipolysis and enhance cutaneous blood flow. Retinoids mainly target the ECM, stimulating neocollagenesis and dermal thickening, with greater efficacy in early EFSP. Botanicals, including Centella asiatica, Rosmarinus officinalis, and Ginkgo biloba, provide antioxidant, anti-inflammatory, and venotonic effects. Randomized controlled trials consistently report modest but reproducible benefits: localized circumference reductions and improved elasticity, echogenicity, and orange-peel scores, all with excellent tolerability. Recent innovations, such as lipid nanoparticles, ultradeformable vesicles, and microneedle-assisted delivery, aim to enhance penetration, stability, and sustained bioactivity of established actives. Nonetheless, most studies are small, short-term, and heterogeneous, with limited ability to isolate the role of individual components or control for massage-related effects. Artificial intelligence offers opportunities to standardize outcome measures, optimize formulations, and personalize protocols. Overall, topical therapies are best positioned as safe, biologically active adjuncts within multimodal cellulite management. Full article
Show Figures

Graphical abstract

839 KB  
Proceeding Paper
Computational Insights into the Antimalarial Potential of Phytochemicals from Centella asiatica: A Molecular Docking Approach
by Susmita Yadav, Sumana Das and Anima Pandey
Chem. Proc. 2025, 18(1), 123; https://doi.org/10.3390/ecsoc-29-26912 - 13 Nov 2025
Viewed by 69
Abstract
Parasitic diseases are some of the most lethal and pervasive infections globally, causing millions of cases of morbidity and mortality annually. Plasmodium falciparum is the predominant vector-borne pathogen, resulting in 0.5 million fatalities annually. Malaria, caused by Plasmodium falciparum, continues to be [...] Read more.
Parasitic diseases are some of the most lethal and pervasive infections globally, causing millions of cases of morbidity and mortality annually. Plasmodium falciparum is the predominant vector-borne pathogen, resulting in 0.5 million fatalities annually. Malaria, caused by Plasmodium falciparum, continues to be a significant worldwide health issue, requiring the development of novel treatment medicines to address increasing medication resistance. This study undertakes a focused in silico screening of phytochemicals derived from Centella asiatica against dihydrofolate reductase-thymidylate synthase (PfDHFR-TS), represented by PDB ID: 3BWK. This work investigated molecular modelling to clarify the probable mechanism of its anti-malarial activity through the suppression of falciparum proteins. Campesterol exhibits a maximal binding affinity (docking score: −8.6 Kcal/mol) for FP-2 from Plasmodium falciparum, as determined by our molecular docking investigation of 15 bioactive compounds from Centella asiatica. However, Ursolic acid and rutin also showed potential activity with significant docking scores (−8.5 and 8.4 Kcal/mol). Campesterol, recognized as a possible inhibitor of falciparum, offers a viable pathway for the treatment of malaria, necessitating additional investigation into its therapeutic use. This research provides significant insights into the molecular interactions between phytochemicals, facilitating innovative and successful strategies for malaria treatment. Our research indicates that polyphenols derived from Centella asiatica exhibit significant pharmacological potential against several biological targets. Full article
Show Figures

Figure 1

14 pages, 2670 KB  
Article
Centella asiatica L. Urb. Extracellular Vesicle and Growth Factor Essence for Hair and Scalp Health: A 56-Day Exploratory Randomized Trial
by Tsong-Min Chang, Chung-Chin Wu, Huey-Chun Huang, Ji-Ying Lu, Ching-Hua Chuang, Pei-Lun Kao, Wei-Hsuan Tang, Wang-Ju Hsieh, Luke Tzu-Chi Liu, Wei-Yin Qiu, Ivona Percec, Charles Chen and Tsun-Yung Kuo
Cosmetics 2025, 12(6), 253; https://doi.org/10.3390/cosmetics12060253 - 10 Nov 2025
Viewed by 4046
Abstract
Hair loss and scalp dysfunction are prevalent concerns with limited non-medicinal long-term solutions. Growth factors and plant-derived extracellular vesicle (EV) represent promising regenerative approaches. In this exploratory randomized controlled trial, 60 healthy adults (18–60 years) were randomly assigned into five groups: (A) placebo; [...] Read more.
Hair loss and scalp dysfunction are prevalent concerns with limited non-medicinal long-term solutions. Growth factors and plant-derived extracellular vesicle (EV) represent promising regenerative approaches. In this exploratory randomized controlled trial, 60 healthy adults (18–60 years) were randomly assigned into five groups: (A) placebo; (B) base formula with 0.1% caffeine and panthenol; (C) base + recombinant Fc-fusion long-acting insulin-like growth factor-1 (rIGF-1) and fibroblast growth factor-7 (rFGF-7); (D) base + Centella asiatica (C. asiatica) EV; and (E) base + rIGF-1, rFGF-7, and C. asiatica EV. Participants applied their assigned product once daily for 56 days. Scalp and hair parameters, including sebum content, hair length, thickness, density, and hair loss, were assessed at baseline and Days 14, 28, 42, and 56. The combination of C. asiatica EV with rIGF-1 and rFGF-7 (Group E) showed the greatest improvements across all endpoints, including significant increases in hair thickness, density, and length, and a reduction in sebum content and hair loss by Day 56 compared with placebo. The results support further study of topical use of C. asiatica-derived EV with recombinant long-acting growth factors as a novel, naturally derived, cosmetic intervention for scalp and hair care. Full article
(This article belongs to the Section Cosmetic Dermatology)
Show Figures

Figure 1

14 pages, 1889 KB  
Article
Lactobacillus-Fermented Centella asiatica Extract Inhibits Airway Inflammation in Cigarette Smoke Extract/LPS-Induced Mice
by Yoon-Young Sung, Eunjung Son, Dong-Seon Kim, Seung-Hyung Kim, Won-Kyung Yang and Misun Kim
Plants 2025, 14(22), 3416; https://doi.org/10.3390/plants14223416 - 7 Nov 2025
Viewed by 994
Abstract
Centella asiatica, a widely used medicinal herb in Oriental and increasingly Western medicine, is applied for wound healing, dermatological disorders, and gastrointestinal illness. We investigated the effects of fermented C. asiatica extract (FCAE), prepared with Lactobacillus, on airway inflammation in a [...] Read more.
Centella asiatica, a widely used medicinal herb in Oriental and increasingly Western medicine, is applied for wound healing, dermatological disorders, and gastrointestinal illness. We investigated the effects of fermented C. asiatica extract (FCAE), prepared with Lactobacillus, on airway inflammation in a murine model of chronic obstructive pulmonary disease (COPD) induced by cigarette smoke extract (CSE) and lipopolysaccharide (LPS). CSE/LPS stimulation caused marked immune cell infiltration in airways. FCAE (100 and 200 mg/kg) reduced neutrophils in the bronchoalveolar lavage fluid (BALF) by 26.03% and 70.11%, respectively, and decreased activated T cells and B cells in the lung, mediastinal lymph nodes, and Peyer’s patches, while inhibiting collagen fibrosis. FCAE significantly reduced IL-1α (32.51%), CXCL1 (47.63%), CXCL2 (45.37%), and TNF-α (39.51%) levels in the BALF compared with the control group. It also downregulated the expression of muc5ac (58.39%), CXCL1 (67.32%), CXCL2 (57.60%), and TNF-α (54.61%) and suppressed p-STAT3 activation by 50.22%. Furthermore, FCAE enhanced tracheal phenol red secretion by 229.62%, indicating expectorant activity. UPLC analysis identified nine components, which, together with FCAE, inhibited RANTES, TNF-α, and IL-6 in inflammation-induced BEAS-2B cells. Overall, FCAE attenuates immune activation and airway inflammation, supporting its potential as a candidate therapy or functional food for respiratory diseases. Full article
Show Figures

Graphical abstract

21 pages, 2261 KB  
Article
A Polyherbal Formulation That Mitigates Cellular Damage in Narrowband UVB-Irradiated HaCaT Cells
by Sineenad Teerapatpaisan, Alisa Naladta, Suthasinee Thapphasaraphong and Natsajee Nualkaew
Cosmetics 2025, 12(6), 241; https://doi.org/10.3390/cosmetics12060241 - 31 Oct 2025
Viewed by 996
Abstract
Narrowband ultraviolet B (NB-UVB) phototherapy, used for treating skin diseases, can induce skin aging, cause inflammation, and reduce cell viability due to reactive oxygen species (ROS) generation. To mitigate these adverse effects, a multi-target polyherbal mixture for topical application was developed. This study [...] Read more.
Narrowband ultraviolet B (NB-UVB) phototherapy, used for treating skin diseases, can induce skin aging, cause inflammation, and reduce cell viability due to reactive oxygen species (ROS) generation. To mitigate these adverse effects, a multi-target polyherbal mixture for topical application was developed. This study investigated the effects of a polyherbal combination comprising Zingiber officinale (ZH), Garcinia mangostana (GE), and Centella asiatica (CAEw) extracts against NB-UVB-induced damage in HaCaT cells. Extracts were prepared to obtain high levels of specific biomarkers (compound D, α-mangostin, and asiaticoside). They were characterized for total phenolic and total flavonoid content, antioxidant properties, and anti-collagenase activity. The ability to enhance HaCaT cell viability after NB-UVB exposure was evaluated to determine the optimal polyherbal mixture ratios. Both the individual extracts and polyherbal formulations significantly improved irradiated HaCaT cell viability. Subsequent treatment with 100 µg/mL of the polyherbal mixture ZH:GE:CAEw (1:1:1) increased cell viability from 62.3% to 80.1% and decreased intracellular ROS (63.6%) without reducing cell apoptosis. It also downregulated the gene expression of cyclooxygenase-2, inducible nitric oxide synthase, matrix metalloproteinase-1 (MMP-1), and MMP-9, allowing their expression to reach the normal level of the non-irradiated cells. In conclusion, the polyherbal mixture effectively attenuated NB-UVB-induced damage and premature aging in HaCaT keratinocytes. Full article
(This article belongs to the Section Cosmetic Formulations)
Show Figures

Graphical abstract

22 pages, 6094 KB  
Article
Susceptibility to Secondary Bacterial Infections in Growing Rabbits Exposed to Ochratoxin A and Protected or Not by Herbal Supplements
by Kalina Zhivkova, Stoycho Stoev, Vladimir Petrov and Vesselin Ivanov
Toxins 2025, 17(10), 507; https://doi.org/10.3390/toxins17100507 - 15 Oct 2025
Viewed by 887
Abstract
The protective effects of the herbal feed supplements Silybum marianum, Silymarin, Withania somnifera, and Centella asiatica against ochratoxin A (OTA) toxicity were studied in 48 New Zealand White rabbits (37-day-old) during an 80-day experiment. OTA was given at 2 ppm, whereas Silybum [...] Read more.
The protective effects of the herbal feed supplements Silybum marianum, Silymarin, Withania somnifera, and Centella asiatica against ochratoxin A (OTA) toxicity were studied in 48 New Zealand White rabbits (37-day-old) during an 80-day experiment. OTA was given at 2 ppm, whereas Silybum marianum, Silymarin, Withania somnifera, and Centella asiatica were given at feed levels of 5000 ppm, 25,000 ppm, 4000 ppm, and 4600 ppm, respectively. All rabbits were immunized against Rabbit Hemorrhagic Disease Virus (RHDV). OTA was found to induce an immunosuppressive effect on the humoral immune response. Reliable protection against OTA-provoked immunosuppression by Silimarin and Withania somnifera was found. The OTA-induced immunosuppression was responsible for secondary bacterial infection (pasteurellosis) and the death of two rabbits from the OTA-exposed group and one rabbit each from the groups protected with Silybum marianum and Centella asiatica. A decreased body weight was found in rabbits exposed to OTA, but the decrease was slighter in the rabbits protected with herbal supplements. The target organs damaged by OTA exposure were the liver, kidneys, and spleen, while weaker lesions were found in other internal organs, except in the cases of secondary pasteurellosis, in which the strongest damage was found in the lung. All investigated herbal supplements appeared to have stronger protective effects against OTA-induced damage to the kidneys and liver, with slightly protective effects observed in the lungs, myocardium, spleen, brain, intestine, testicles, and ovaries. Full article
(This article belongs to the Section Mycotoxins)
Show Figures

Figure 1

15 pages, 992 KB  
Article
Triterpene and Caffeoylquinic Acid Constituents Contribute to the Cognitive-Enhancing, but Not Anxiolytic, Effects of a Water Extract of Centella asiatica in Aged Mice
by Wyatt Hack, Lucas Kuhnau, Jesus Martinez, Luke C. Marney, Jaewoo Choi, Arshia R. Sohal, Seiji Koike, Thuan Nguyen, Claudia S. Maier, Amala Soumyanath and Nora E. Gray
Nutrients 2025, 17(19), 3171; https://doi.org/10.3390/nu17193171 - 8 Oct 2025
Viewed by 1172
Abstract
Background/objectives: A water extract of the plant Centella asiatica (CAW) has been shown to improve cognitive deficits in aged mice when administered for 5 weeks in drinking water. However, the contribution of the constituent compounds within CAW to the beneficial effects of the [...] Read more.
Background/objectives: A water extract of the plant Centella asiatica (CAW) has been shown to improve cognitive deficits in aged mice when administered for 5 weeks in drinking water. However, the contribution of the constituent compounds within CAW to the beneficial effects of the extract remains unelucidated. This study evaluated the effects of triterpene (TT) and caffeoylquinic acids (CQA) found within CAW, on learning, cognitive flexibility, memory, and anxiety-like behaviors in aged C57BL6 mice. Methods: Eighteen-month-old male and female C57BL6 mice were administered either TT, CQA, or the combination (TT+CQA) in their drinking water for a total of 5 weeks, at concentrations corresponding to their presence in CAW. During the final two weeks of treatment learning, executive function, memory, and anxiety were assessed. Results: Aged mice of both sexes showed significant improvement in learning when treated with TT and CQA separately and in combination. Treatment with TT also improved cognitive flexibility in aged mice of both sexes, but CQA and the combination of TT+CQA did not alter cognitive flexibility in aged male mice. There was no effect on recognition memory or anxiety in any of the treatment groups (TT, CQA, TT+CQA) relative to mice treated with the vehicle control although there was a trend towards improved recognition memory with TT treatment. Conclusions: These results suggest that the TT and CQA present in CAW likely contribute to its previously reported amelioration of age-related cognitive changes, especially in learning and cognitive flexibility, while other constituents may be responsible for CAW’s anxiolytic effects. Full article
Show Figures

Figure 1

14 pages, 3486 KB  
Article
Asiatic Acid from Centella asiatica as a Potent EGFR Tyrosine Kinase Inhibitor with Anticancer Activity in NSCLC Cells Harboring Wild-Type and T790M-Mutated EGFR
by Chaiwat Monmai, Sahachai Sabuakham, Wachirachai Pabuprapap, Waraluck Chaichompoo, Apichart Suksamrarn and Panupong Mahalapbutr
Biomolecules 2025, 15(10), 1410; https://doi.org/10.3390/biom15101410 - 3 Oct 2025
Viewed by 1305
Abstract
Lung cancer is a leading cause of cancer mortality worldwide. Targeted therapies with epidermal growth factor receptor (EGFR) tyrosine kinase inhibitors (TKIs) represent a significant advance in the management of lung cancer. However, their long-term efficacy is often limited by acquired resistance, particularly [...] Read more.
Lung cancer is a leading cause of cancer mortality worldwide. Targeted therapies with epidermal growth factor receptor (EGFR) tyrosine kinase inhibitors (TKIs) represent a significant advance in the management of lung cancer. However, their long-term efficacy is often limited by acquired resistance, particularly due to the T790M mutation, highlighting the need for novel EGFR-TKIs. Although compounds derived from Centella asiatica have demonstrated anticancer potential, their role in EGFR inhibition has not yet been reported. In this study, we investigated the inhibitory activity of two primary constituents, asiaticoside and asiatic acid, against wild-type and double-mutant (L858R/T790M) EGFR, as well as the anticancer effects of the more potent compound in lung cancer cells. A kinase activity assay revealed that asiatic acid potently inhibited both wild-type and double-mutant EGFR, whereas asiaticoside showed minimal inhibitory activity. Molecular docking demonstrated that asiatic acid bound to the ATP-binding pocket of both EGFR forms with binding energies superior to those of erlotinib and osimertinib. Treatment with asiatic acid significantly (i) reduced viability of A549 and H1975 cells while remaining non-toxic to BEAS-2B normal lung cells, (ii) enhanced cancer cell apoptosis, (iii) suppressed extracellular signal-regulated kinase (ERK) and protein kinase B (Akt) signaling pathways, and (iv) inhibited EGFR activation in A549 and H1975 cells. These results suggest that asiatic acid is a promising lead compound for anticancer drug development. Full article
Show Figures

Figure 1

17 pages, 2628 KB  
Article
In Vitro Characterization of Centella asiatica Extracellular Vesicles and Their Skin Repair Effects in a UVB-Irradiated Mouse Model
by Tsong-Min Chang, Chung-Chin Wu, Huey-Chun Huang, Shr-Shiuan Wang, Ching-Hua Chuang, Pei-Lun Kao, Wei-Hsuan Tang, Luke Tzu-Chi Liu, Wei-Yin Qiu, Ivona Percec, Charles Chen and Tsun-Yung Kuo
Int. J. Mol. Sci. 2025, 26(18), 8982; https://doi.org/10.3390/ijms26188982 - 15 Sep 2025
Cited by 1 | Viewed by 2312
Abstract
This study characterized extracellular vesicles (EVs) isolated from medicinal herb Centella asiatica tissue culture and investigated their therapeutic properties using in vitro assays and a ultraviolet (UV)-induced damage mouse model. EVs were isolated from C. asiatica tissue culture and characterized by nanoparticle tracking [...] Read more.
This study characterized extracellular vesicles (EVs) isolated from medicinal herb Centella asiatica tissue culture and investigated their therapeutic properties using in vitro assays and a ultraviolet (UV)-induced damage mouse model. EVs were isolated from C. asiatica tissue culture and characterized by nanoparticle tracking analysis, and cytotoxicity, antioxidant, anti-melanin, and anti-inflammation properties were evaluated by in vitro assays. C. asiatica EVs were found to contain high levels of polyphenols and mitigate hydrogen peroxide-induced intracellular reactive oxygen species (ROS). The EVs were further able to reduce intracellular melanin content and tyrosinase activity. They exhibited anti-inflammatory effects by downregulating the expression of pro-inflammatory genes, COX2, as well as nitric oxide production. In the UV-induced photodamage mouse model, gels with or without EVs were applied to the UV-damaged site, skin appearance was observed daily, and skin histopathology was analyzed on day 7. In mice with UV-induced skin damage, the daily application of C. asiatica EV gel reduced skin epidermis thickness and inflammation compared to UV-only or blank gel at seven days after UV irradiation. The beneficial effects of C. asiatica EVs on skin quality warrant further studies as promising agents in skin care applications. Full article
(This article belongs to the Section Bioactives and Nutraceuticals)
Show Figures

Figure 1

32 pages, 9779 KB  
Article
Cinnamon-Mediated Silver Nanoparticles and Beta-Carotene Nanocarriers in Alginate Dressings for Wound Healing Applications
by Anca Elena Țăin (Anastasiu), Alexandra Cătălina Bîrcă, Monica Sânziana Nedelcu, Alina Maria Holban, Adelina-Gabriela Niculescu, Alexandru Mihai Grumezescu and Ariana Hudiță
Gels 2025, 11(9), 738; https://doi.org/10.3390/gels11090738 - 15 Sep 2025
Viewed by 1165
Abstract
The natural wound healing process is often insufficient to restore tissue integrity in the case of chronic wounds, particularly when skin disruption is accompanied by pathological complications. The severity of these wounds is frequently exacerbated by persistent inflammation and the formation of bacterial [...] Read more.
The natural wound healing process is often insufficient to restore tissue integrity in the case of chronic wounds, particularly when skin disruption is accompanied by pathological complications. The severity of these wounds is frequently exacerbated by persistent inflammation and the formation of bacterial biofilms, which significantly hinder skin regeneration. In this study, a pharmaceutical hydrogel-based wound dressing was developed and evaluated, incorporating silver nanoparticles synthesized with cinnamon essential oil that serves as both a stabilizer and antimicrobial agent, polymeric beta-carotene nanoparticles, and Centella asiatica extract. The work details the synthesis of both types of nanoparticles, their integration into an alginate-based matrix, and the subsequent formulation of composite dressings. The influence of each therapeutic agent on the morphology and structural characteristics of the dressings was demonstrated, along with the evaluation of their antimicrobial performance against both Gram-positive and Gram-negative bacterial strains. The antimicrobial effects observed within the first 24 h, critical for wound dressing application, highlight the potential of the developed materials for effective chronic wound management. A comprehensive set of analyses was performed to characterize the synthesized nanostructures and the final dressings. These included XRD, FTIR, SEM, EDS, and DLS. Additionally, swelling and degradation tests were conducted to assess hydrogel performance, while antimicrobial and antibiofilm activities were tested against Staphylococcus aureus and Escherichia coli over a 24-h period. The biocompatibility screening of the alginate-based wound dressings was performed on human keratinocyte cells and revealed that the incorporation of beta-carotene and Centella asiatica into alginate-based wound dressings effectively mitigates silver-induced cytotoxicity and oxidative stress and determines the development of highly biocompatible wound dressings. This paper presents an alginate hydrogel co-loaded with Ag nanoparticles, BC@PVP, and Centella asiatica extract that balances antimicrobial efficacy with cytocompatibility. Pairing silver with natural antioxidant/anti-inflammatory components mitigates cell stress while retaining broad activity, and the nanoparticle choice tunes pore architecture to optimize moisture and exudate control in chronic wounds. Full article
Show Figures

Figure 1

37 pages, 1750 KB  
Review
Multi-Target Pharmacological Effects of Asiatic Acid: Advances in Structural Modification and Novel Drug Delivery Systems
by Xiaofan Dong, Tianyi Wang, Chenjia Gao, Yulong Cui and Lingjun Li
Molecules 2025, 30(18), 3688; https://doi.org/10.3390/molecules30183688 - 10 Sep 2025
Viewed by 1883
Abstract
Asiatic acid is an ursane-type pentacyclic triterpenoid compound extracted from the Umbelliferae plant Centella asiatica. Studies have shown that asiatic acid exhibits a wide range of pharmacological activities, including anti-tumor, anti-inflammatory, hypoglycemic, antimicrobial, neuroprotective, and wound healing effects. Asiatic acid is currently [...] Read more.
Asiatic acid is an ursane-type pentacyclic triterpenoid compound extracted from the Umbelliferae plant Centella asiatica. Studies have shown that asiatic acid exhibits a wide range of pharmacological activities, including anti-tumor, anti-inflammatory, hypoglycemic, antimicrobial, neuroprotective, and wound healing effects. Asiatic acid is currently used in clinical settings in the form of tablets, capsules, and ointments, primarily for treating inflammation as well as burns, keloids, and other skin disorders. However, its poor water solubility, rapid metabolism, and low oral bioavailability have limited its clinical application for other diseases. Therefore, improving its water solubility and bioavailability is a prerequisite for addressing the limitations of asiatic acid in clinical use. This review summarizes the pharmacological mechanisms of action of asiatic acid and explains the reasons for its limited clinical application. This review describes methods to improve bioavailability through structural modifications of asiatic acid and the development of new formulations. It also focuses on enhancing the pharmacological effects of asiatic acid through the development and utilization of novel formulations such as nanoformulations and hydrogel formulations, providing a theoretical basis for the clinical translation of asiatic acid and the further research and development of asiatic acid-based drugs. Full article
(This article belongs to the Special Issue Bioactive Compounds: Applications and Benefits for Human Health)
Show Figures

Figure 1

Back to TopTop