Sign in to use this feature.

Years

Between: -

Subjects

remove_circle_outline
remove_circle_outline
remove_circle_outline
remove_circle_outline
remove_circle_outline
remove_circle_outline
remove_circle_outline
remove_circle_outline

Journals

remove_circle_outline
remove_circle_outline
remove_circle_outline
remove_circle_outline
remove_circle_outline
remove_circle_outline

Article Types

Countries / Regions

remove_circle_outline
remove_circle_outline
remove_circle_outline
remove_circle_outline
remove_circle_outline
remove_circle_outline

Search Results (481)

Search Parameters:
Keywords = CYP2D7P

Order results
Result details
Results per page
Select all
Export citation of selected articles as:
14 pages, 1238 KB  
Article
Fermented Chinese Herbs Improved Egg Production, Egg Shell Quality, and Egg Yolk Cholesterol of Laying Hens by Regulating Estrogen, Lipid Metabolism, and Calcium Metabolism
by Xinyu Liu, Yue He, Yuhan Cao, Xin Wang, Ye Yang and Jiao Song
Animals 2025, 15(21), 3073; https://doi.org/10.3390/ani15213073 (registering DOI) - 23 Oct 2025
Abstract
The present study investigated the effects of fermented Chinese herbal (FCH) compounds on the egg production, egg shell quality, and egg yolk cholesterol of laying hens. A total of 1260 Hy-Line pink laying hens, 34 weeks old, were randomly divided into three groups, [...] Read more.
The present study investigated the effects of fermented Chinese herbal (FCH) compounds on the egg production, egg shell quality, and egg yolk cholesterol of laying hens. A total of 1260 Hy-Line pink laying hens, 34 weeks old, were randomly divided into three groups, with six replicates per group and 70 hens per replicate, as follows: the control group (CON group) was fed a diet without FCH compounds, and the 2% FCH group and the 3% FCH group were fed a diet supplemented with 2% FCH and 3% FCH, respectively. The results show that the FCH compound significantly increased the laying rate compared to the CON group (p < 0.05). Analyses of the serum biochemical indices showed that supplementation with FCH compound significantly decreased the levels of total cholesterol (TC), total triglyceride (TG), high-density lipoprotein cholesterol (HLDL-c), low-density lipoprotein cholesterol (LDL-c), very-low-density lipoprotein cholesterol (VLVL-c), aspartate transaminase (AST), and alanine aminotransferase (ALT) (p < 0.05) and increased the serum total bile acids, follicle-stimulating hormone (FSH), luteinizing hormone (LH), and 17-β-Estradiol (E2) levels (p < 0.05). The FCH group significantly increased the activity of superoxide dismutase (SOD) and total antioxidant capacity and decreased malondialdehyde (MDA) levels in the liver and uterus compared to the CON (p < 0.05). FCH supplementation was also associated with improved egg quality, seen through factors including enhanced yolk color, albumen height, Haugh unit score, eggshell strength, and thickness and reduced egg breaking rate and TC and TG contents in egg yolk. The gene expression analyses showed that FCH supplementation significantly increased the calcium metabolism-related gene expression (CaBP-D28k, NCX, VDR, CYP27B1, OPN, PMCA, CA2) in duodenum, kidney, and uterus tissues compared to the CON group (p < 0.05). FCH significantly repressed FAS and HMGCR mRNA expression and enhanced CYP7A1 mRNA expression in the liver (p < 0.05). These results indicate that diet supplementation with FCH compounds may improve egg quality by regulating reproductive hormones, lipid metabolism, and calcium metabolism. Full article
(This article belongs to the Section Animal Nutrition)
Show Figures

Figure 1

19 pages, 1253 KB  
Article
Enhancing Electron Transfer in Cytochrome P450 Systems: Insights from CYP119–Putidaredoxin Interface Engineering
by Akbota Kakimova and Nur Basak Surmeli
Catalysts 2025, 15(10), 1000; https://doi.org/10.3390/catal15101000 - 21 Oct 2025
Viewed by 56
Abstract
Cytochrome P450 enzymes (CYPs) are versatile biocatalysts capable of performing selective oxidation reactions valuable for industrial and pharmaceutical applications. However, their catalytic efficiency is often constrained by dependence on costly electron donors, the requirement for redox partners, and uncoupling reactions that divert reducing [...] Read more.
Cytochrome P450 enzymes (CYPs) are versatile biocatalysts capable of performing selective oxidation reactions valuable for industrial and pharmaceutical applications. However, their catalytic efficiency is often constrained by dependence on costly electron donors, the requirement for redox partners, and uncoupling reactions that divert reducing power toward reactive oxygen species. Improving electron transfer efficiency through optimized redox partner interactions is therefore critical for developing effective CYP-based biocatalysts. In this study, we investigated the interaction between CYP119, a thermophilic CYP from Sulfolobus acidocaldarius, and putidaredoxin (Pdx), the redox partner of P450cam. Using rational design and computational modeling with PyRosetta 3, 14 CYP119 variants were modeled and analyzed by docking simulations on the Rosie Docking Server. Structural analysis identified three key mutations (N34E, D77R, and N34E/D77R) for site-directed mutagenesis. These mutations (N34E, D77R, and N34E/D77R) enhanced Pdx binding affinity by 20-, 3-, and 12-fold, respectively, without affecting substrate binding. Catalytic assays using lauric acid and indirect assays to monitor electron transfer revealed that, despite improved complex formation, the N34E variant showed reduced electron transfer efficiency compared to D77R. These findings highlight the delicate balance between redox partner binding affinity and catalytic turnover, emphasizing that fine-tuning electron transfer interfaces are essential for engineering efficient CYP biocatalysts. Full article
(This article belongs to the Section Biocatalysis)
Show Figures

Graphical abstract

20 pages, 1105 KB  
Article
Does Genetic Variation in Detoxification Capacity Influence Hepatic Biomarker Responses to a Liver Support Supplementation Regimen?
by Markus Schauer, Susanne Mair, Michael Keiner, Christian Werner, Florian Kainz and Mohamad Motevalli
Int. J. Mol. Sci. 2025, 26(20), 10209; https://doi.org/10.3390/ijms262010209 - 20 Oct 2025
Viewed by 116
Abstract
Genetic polymorphisms contribute to inter-individual variation in liver detoxification, influencing susceptibility to exposures and responses to interventions. While urinary biomarkers reflect Phase II activity, the impact of genotype on supplementation response remains unclear. In a pilot, prospective, open-label cohort study, 30 Austrian adults [...] Read more.
Genetic polymorphisms contribute to inter-individual variation in liver detoxification, influencing susceptibility to exposures and responses to interventions. While urinary biomarkers reflect Phase II activity, the impact of genotype on supplementation response remains unclear. In a pilot, prospective, open-label cohort study, 30 Austrian adults completed an 8-week multi-ingredient liver support supplementation regimen (e.g., glutathione, N-acetylcysteine, α-lipoic acid). First-morning urine was collected at baseline and follow-up for measurement of D-glucaric acid, mercapturic acids, and creatinine. Dried blood spots were genotyped for polymorphisms in detoxification genes (CYP1A1, GSTM1, GSTP1, GSTT1, and NQO1), and participants were stratified into normal (NDC) or limited (LDC) detoxification capacity groups. Adherence was monitored through logs, mid-study interviews, and product counts. The intervention led to modest reductions in body weight (−0.87 kg, p < 0.05) and BMI (−0.31 kg/m2, p < 0.05), and significant increases in urinary D-glucaric acid (p < 0.05) and mercapturic acids (p < 0.01), with consistent responses across detoxification genotype groups (p > 0.05). The pattern of biomarker responses based on clinically defined categories did not differ significantly between the study groups (adjusted odds ratio = 2.88, p > 0.05). The observed increases in urinary biomarkers and reductions in weight and BMI are consistent with potential modulation of detoxification pathways following liver support supplementation, independent of genetic polymorphisms influencing detoxification capacity. Full article
Show Figures

Figure 1

16 pages, 883 KB  
Article
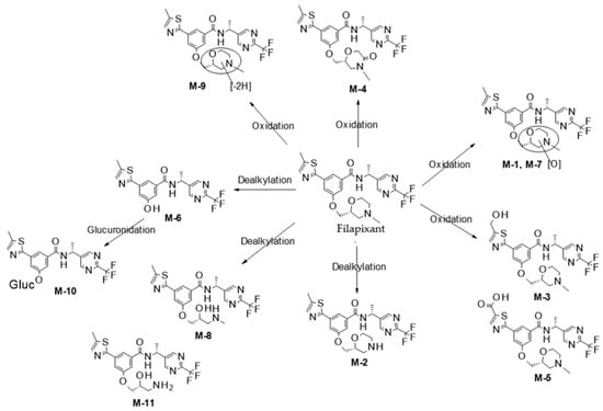
Investigation of the Relevance of CYP3A4 Inhibition on the Pharmacokinetics of the Novel P2X3 Antagonist Filapixant: Results of In Vitro Explorations and a Fixed-Sequence Clinical Trial with Itraconazole in Healthy Volunteers
by Klaus Francke, Antje Rottmann, Stefan Klein, Joachim Höchel and Christian Friedrich
Int. J. Mol. Sci. 2025, 26(20), 10177; https://doi.org/10.3390/ijms262010177 - 20 Oct 2025
Viewed by 98
Abstract
Hypersensitized P2X3 receptor signaling has been described to play a role in several disorders, including chronic cough. The goal of our in vitro and in vivo studies was to investigate the biotransformation and the influence of CYP3A4 inhibition on the pharmacokinetics of the [...] Read more.
Hypersensitized P2X3 receptor signaling has been described to play a role in several disorders, including chronic cough. The goal of our in vitro and in vivo studies was to investigate the biotransformation and the influence of CYP3A4 inhibition on the pharmacokinetics of the selective P2X3 antagonist filapixant. Metabolic turnover of filapixant in human liver microsomes and hepatocytes was moderate to high, indicating a complex metabolic pattern with mainly oxidative biotransformation. In recombinant CYP enzymes, depletion of filapixant was observed mainly with CYP3A4 and, to a significantly lesser extent, with CYP1A1, 2D6, 2J2, and 3A5. Drug depletion of [3H]filapixant and metabolite formation in human liver microsomes was significantly inhibited in the presence of strong CYP3A4 inhibitors, whereas other CYP isoform–selective inhibitors showed no or very minor effects. Co-administration of multiple daily doses of 200 mg itraconazole with 80 mg filapixant in humans increased the AUC and Cmax of filapixant to 4.01 and 1.89-fold, respectively, indicating that filapixant is a moderately sensitive CYP3A4 substrate. Co-administration of itraconazole also prolonged the half-life of filapixant from 12.1 h to 22.8 h. Overall, changes in AUC, Cmax, and half-life indicate that both the bioavailability and elimination of filapixant were affected. Filapixant was well tolerated alone and in combination with itraconazole. Full article
(This article belongs to the Special Issue Research on Drug Metabolism and Disposition)
Show Figures

Figure 1

21 pages, 3518 KB  
Review
Structural and Pharmacological Insights into Propranolol: An Integrated Crystallographic Perspective
by Adrianna Witczyńska, Łukasz Fijałkowski, Dagmara Mirowska-Guzel, Kamila Blecharz-Klin and Alicja Nowaczyk
Int. J. Mol. Sci. 2025, 26(20), 10080; https://doi.org/10.3390/ijms262010080 - 16 Oct 2025
Viewed by 160
Abstract
Propranolol is a non-selective β-adrenergic receptor antagonist widely used in cardiovascular and neurological therapy. Its naphthalene-based structure contributes to its high lipophilicityand central nervous system penetration. Clinically, propranolol is indicated for hypertension, arrhythmias, anxiety, migraine, and other conditions. It undergoes extensive hepatic metabolism [...] Read more.
Propranolol is a non-selective β-adrenergic receptor antagonist widely used in cardiovascular and neurological therapy. Its naphthalene-based structure contributes to its high lipophilicityand central nervous system penetration. Clinically, propranolol is indicated for hypertension, arrhythmias, anxiety, migraine, and other conditions. It undergoes extensive hepatic metabolism via cytochrome P450 enzymes, notably CYP2D6, with a significant first-pass effect limiting oral bioavailability. This review integrates pharmacological profiling with crystallographic analysis to explore propranolol’s molecular interactions and therapeutic versatility. High-resolution crystal structures of the human β2-adrenergic receptor (hβ2-AR), particularly PDB ID: 6PS5 obtained via serial femtosecond crystallography (SFX), reveal key binding determinants responsible for receptor affinity and antagonism. Comparative structural analysis with other β-blockers—alprenolol, timolol, and carvedilol—highlights how variations in aromatic and heterocyclic frameworks influence pharmacokinetics and receptor selectivity. Superimposition results (RMSD: 0.032 for propranolol–alprenolol, 0.078 for propranolol–carvedilol, and 1.078 for propranolol–timolol) quantitatively illustrate molecular similarity and divergence. The enantioselective behavior of propranolol is also discussed, with the S-enantiomer showing greater receptor affinity and pharmacological potency than the R-form. Beyond canonical β-adrenergic targets, propranolol interacts with non-canonical proteins such as the cellulase enzyme Cel7A and lactoferrin, suggesting off-target effects and novel therapeutic potential. These findings underscore the importance of propranolol’s amphiphilic character, stereochemistry, and electrostatic properties in shaping its pharmacological profile. Overall, the integration of crystallographic data with pharmacological insights supports the rational design of next-generation β-adrenergic ligands with enhanced selectivity, bioavailability, and clinical efficacy. Full article
(This article belongs to the Special Issue Drug Design and Development for Neurological Diseases)
Show Figures

Figure 1

19 pages, 866 KB  
Article
Novel Variants and Clinical Heterogeneity in Pediatric Calcium Metabolism Disorders Identified Through High-Yield Tiered Genetic Testing in a Taiwanese Cohort
by Ting-Yu Kang, Yen-Yin Chou, Yu-Ming Chang, Yu-Wen Pan and Meng-Che Tsai
Medicina 2025, 61(10), 1861; https://doi.org/10.3390/medicina61101861 - 16 Oct 2025
Viewed by 257
Abstract
Background and Objectives: Inherited disorders of calcium metabolism are rare pediatric conditions with diverse manifestations, including seizures, growth impairment, and renal or skeletal complications. Precise molecular diagnosis is crucial for effective management and informed genetic counseling. This study aimed to develop a [...] Read more.
Background and Objectives: Inherited disorders of calcium metabolism are rare pediatric conditions with diverse manifestations, including seizures, growth impairment, and renal or skeletal complications. Precise molecular diagnosis is crucial for effective management and informed genetic counseling. This study aimed to develop a systematic diagnostic approach, broaden the mutational spectrum, and characterize initial clinical features. Material and Methods: We retrospectively analyzed 13 pediatric cases at a tertiary center in southern Taiwan (2020–2025). Clinical, biochemical, and imaging data were reviewed. Genetic testing followed a tiered strategy to identify copy number variations and single-nucleotide variants. Variants were classified according to the ACMG/AMP guidelines and assessed by in silico tools. Results: The pediatric cohort (8 males, 5 females) had a median diagnostic age of 2 years and a mean follow-up of 7.7 years. Hypoparathyroidism was most common (n = 7), followed by PTH resistance (n = 3), hyperparathyroidism (n = 1), calcipenic rickets (n = 1), and syndromic hypercalcemia (n = 1). Genetic diagnoses were established in 12 children and one parent, involving CASR, GNAS, PRKAR1A, CYP27B1, and KMT2D. Two novel variants were identified (CASR p.Val836Ile and GNAS c.719-30A>T). Phenotypic heterogeneity included incomplete penetrance in autosomal dominant hypocalcemia and variable multisystem involvement in syndromic cases. Conclusions: A stepwise genetic testing strategy achieved a high diagnostic yield in pediatric calcium metabolism disorders. The discovery of novel and population-specific variants expands the mutational spectrum, supporting precision medicine in pediatric endocrinology. Full article
(This article belongs to the Section Pediatrics)
Show Figures

Figure 1

15 pages, 1786 KB  
Article
Identification and Association of CYP2R1, CYP27B1, and GC Gene Polymorphisms with Vitamin D Deficiency in Apparently Healthy Population and in Silico Analysis of the Binding Pocket of Vitamin D3
by Saima Manzoor, Asifa Majeed, Palvasha Waheed and Amir Rashid
Curr. Issues Mol. Biol. 2025, 47(10), 849; https://doi.org/10.3390/cimb47100849 - 15 Oct 2025
Viewed by 244
Abstract
Vitamin D deficiency is highly prevalent in Pakistan, but there is limited data on its genetic aspects. This case–control pilot study aimed to determine the association of rs782153744, rs200183599, rs118204011, and rs28934604 with vitamin D deficiency along rs7041 which has been studied in [...] Read more.
Vitamin D deficiency is highly prevalent in Pakistan, but there is limited data on its genetic aspects. This case–control pilot study aimed to determine the association of rs782153744, rs200183599, rs118204011, and rs28934604 with vitamin D deficiency along rs7041 which has been studied in our population. The DNA of a total of 600 subjects (300 cases and 300 controls) was extracted and genotyped by tetra ARMS PCR, followed by Sanger DNA sequencing of exon 4 of the CYP2R1 and CYP27B1 genes and exon 8 of the GC gene. SNP Stat was employed to analyze the data, while logistic regression was used to calculate the p-values and odds ratios (ORs). The R package version R studio (2025.05.1) Build 513 was used to statistically analyze rs782153744. In silico modeling of wild and mutant CYP2R1 and GC proteins was performed in Swiss-Model, Swiss-Dock, Discovery Studio, and PyMol using 3c6g and IJ78 as templates to perform binding pocket analysis of vitamin D3. The rs782153744 showed a protective association in the additive (OR: 0.15, 95% CI: 0.08–0.27, p-value < 0.001), recessive (OR: 0.19, 95% CI: 0.10–0.33, p-value < 0.001), and dominant (OR: 0.19, CI = 0.10–0.33, p-value < 0.001) models, while GC rs7041 (T > A, T > G) displayed a p-value < 0.0001 across all genetic models. Sanger sequencing yielded insignificant results, and the SNPs rs200183599, rs118204011, and rs28934604 had no significant association with vitamin D deficiency. The molecular pocket analysis of wild and mutant CYP2R1 proteins carrying rs782153744 polymorphisms revealed no changes. GC proteins carrying the rs7041 polymorphism revealed a shift in their 3D and 2D configuration, as well as a change in the amino acid residue of the binding pocket of VD3. The risk-associated rs7041 and protective rs782153744 variants back genetic screening for vitamin D deficiency risk stratification, allowing targeted supplementation in predisposed subjects and assisting in formulating a genotype-specific therapeutic approach. Full article
(This article belongs to the Collection Bioinformatics Approaches to Biomedicine)
Show Figures

Figure 1

19 pages, 1106 KB  
Article
Effects of n-3 Long-Chain Polyunsaturated Fatty Acid and Vitamin D Supplementation on Transcriptional Profiles of Human Lung Organoids
by Mina Ali, Martin Steen Mortensen, Ole Bæk, Nicklas Brustad, Tingting Wang, Liang Chen, Min Kim, Casper-Emil Tingskov Pedersen, Trevor D. Lawley, Athanasios Pasias, Jakub Sedzinski, Jakob Stokholm, Klaus Bønnelykke and Bo Chawes
Metabolites 2025, 15(10), 670; https://doi.org/10.3390/metabo15100670 - 14 Oct 2025
Viewed by 246
Abstract
Background/Objectives: Randomized clinical trials (RCTs) suggest that n-3 long-chain polyunsaturated fatty acids (n-3 LCPUFA) and high-dose vitamin D supplementation during pregnancy may protect against childhood asthma. However, the underlying mechanisms remain unclear. Methods: To explore the transcriptional effects of various concentrations of n-3 [...] Read more.
Background/Objectives: Randomized clinical trials (RCTs) suggest that n-3 long-chain polyunsaturated fatty acids (n-3 LCPUFA) and high-dose vitamin D supplementation during pregnancy may protect against childhood asthma. However, the underlying mechanisms remain unclear. Methods: To explore the transcriptional effects of various concentrations of n-3 LCPUFA and vitamin D supplementation on in utero lung development, we cultured human lung organoids derived from BILX and SEHP human-induced pluripotent stem cell lines at the Sanger Institute (Cambridge, UK). The organoids were treated with either no supplementation, or low (0.01 µL/mL) or high (0.1 µL/mL) concentrations of n-3 LCPUFA, as well as no supplementation, or low (5 pM) or high (50 pM) concentrations of vitamin D. Organoids were matured for 50 days, with foregut spheroids embedded in Matrigel and later re-embedded individually to ensure robust growth. We then assessed the impact of these supplementations using RNA sequencing. Results: RNA sequencing of four replicates per condition (36 total samples) revealed that n-3 LCPUFA supplementation had a more substantial impact on gene regulation than vitamin D (differentially expressed genes, n = 907 vs. n = 23). CPT1A and ANGPTL4 genes were highly expressed in media cultured with a high concentration of n-3 LCPUFA, while CYP24A1 was among the highly expressed genes in media cultured with a high concentration of vitamin D. Enrichment analysis showed activation of PPAR pathways, suggesting that n-3 LCPUFA supplementation may protect against asthma by regulating lipid metabolism and inflammation. Conclusions: We identified several genes and pathways that may provide insights into the biological effects of n-3 LCPUFA and vitamin D supplementation on asthma pathophysiology. Full article
Show Figures

Graphical abstract

22 pages, 4769 KB  
Article
Interactions of Linalool and Linalyl Acetate with Selected Dog Cytochrome P450 (CYP) Proteins Identified by In Silico Drug Discovery Followed by Molecular Docking Analysis
by Raquel Rodrigues Soares-Santos, Arun Kumar Jaiswal, Renata Cristina Mendes Ferreira, Vasco Ariston de Carvalho Azevedo, Flávia Figueira Aburjaile and Benito Soto-Blanco
Pharmaceuticals 2025, 18(10), 1499; https://doi.org/10.3390/ph18101499 - 6 Oct 2025
Viewed by 401
Abstract
Background: Cytochrome P450 (CYP450) enzymes play a central role in the metabolism of xenobiotics, including plant-derived compounds such as terpenoids. Objectives: This study aimed to predict the molecular interactions of linalool (LIN) and linalyl acetate (LINAct), major constituents of lavender essential oil, [...] Read more.
Background: Cytochrome P450 (CYP450) enzymes play a central role in the metabolism of xenobiotics, including plant-derived compounds such as terpenoids. Objectives: This study aimed to predict the molecular interactions of linalool (LIN) and linalyl acetate (LINAct), major constituents of lavender essential oil, with the canine CYP2B11, CYP2C21, and CYP2D15 isoforms, using in silico approaches. Methods: Three-dimensional (3D) models of the target enzymes were generated through homology modeling using SWISS-MODEL and validated based on global model quality estimate (GMQE) and QMEAN Z-score metrics. Ligand structures were optimized in the Molecular Operating Environment (MOE), and pharmacophoric features were analyzed. Molecular docking simulations were performed using AutoDock Vina, followed by visualization of interactions in MOE. Results: LIN and LINAct exhibit favorable binding affinities with all three isoforms, suggesting their potential as substrates or modulators. Hydrogen bonding and hydrophobic interactions were the predominant forces stabilizing the ligand–enzyme complexes. Conclusions: These findings provide a computational basis for understanding the hepatic metabolism of LIN and LINAct in dogs, offering preliminary insights into the role of specific CYP isoforms in their biotransformation. Full article
Show Figures

Figure 1

13 pages, 1102 KB  
Article
Children with Genetically Confirmed Hereditary Spastic Paraplegia: A Single-Center Experience
by Seyda Besen, Yasemin Özkale, Murat Özkale, Sevcan Tuğ Bozdoğan, Özlem Alkan, Serdar Ceylaner and İlknur Erol
Children 2025, 12(10), 1332; https://doi.org/10.3390/children12101332 - 4 Oct 2025
Viewed by 373
Abstract
Objective: The classification of hereditary spastic paraplegia (HSP) is based on genetics, and the number of genetic loci continues to increase with new genetic descriptions. Additionally, the number of new variants in known mutations continues to increase. In this paper, we aim to [...] Read more.
Objective: The classification of hereditary spastic paraplegia (HSP) is based on genetics, and the number of genetic loci continues to increase with new genetic descriptions. Additionally, the number of new variants in known mutations continues to increase. In this paper, we aim to report our experience with genetically confirmed HSPs. Methods: We retrospectively evaluated 10 consecutive children with genetically confirmed HSPs. Results: In this study, we identified six novel mutations, including spastic paraplegia 11 (SPG11), glucosylceramidase beta 2 (GBA2), chromosome 19 open reading frame 12 (C19orf12), 1 in each of the Cytochrome P450 family 7 subfamily B member 1 (CYP7B1) genes, and two different mutations in the intropomyosin-receptor kinase fused gene (TFG) gene. We also identified different clinical phenotypes associated with known mutations. Conclusions: Heterozygous mutations with GBA2 and SPG11 mutation-related HSP are reported for the first time, expanding the known inheritance patterns. We report a novel homozygous chromosome 19 open reading frame 12 (C19orf12) mutation resulting in iron accumulation in the brain, broadening the genetic variants and clinical findings. We determine the first Turkish patients with carnitine palmitoyltransferase IC (CPT1C) and TFG gene mutation-related pure HSP. A pure form of HSP with two novel TFG gene mutations is also identified for the first time. We report the first Turkish patient with kinase D-interacting substrate of 220 kDa (KIDINS220) gene, broadening the clinical spectrum of KIDINS220 variant-related disorders to encompass certain HSPs. Moreover, a novel variant in the oxysterol7-hydroxylase (CYP7B1) gene is reported, expanding the genetic variants and clinical findings relating to SPG5. Full article
(This article belongs to the Section Pediatric Neurology & Neurodevelopmental Disorders)
Show Figures

Figure 1

15 pages, 1129 KB  
Article
Building Sub-Saharan African PBPK Populations Reveals Critical Data Gaps: A Case Study on Aflatoxin B1
by Orphélie Lootens, Marthe De Boevre, Sarah De Saeger, Jan Van Bocxlaer and An Vermeulen
Toxins 2025, 17(10), 493; https://doi.org/10.3390/toxins17100493 - 3 Oct 2025
Viewed by 936
Abstract
Physiologically based pharmacokinetic (PBPK) models allow to simulate the behaviour of compounds in diverse physiological populations. However, the categorization of individuals into distinct populations raises questions regarding the classification criteria. In previous research, simulations of the pharmacokinetics of the mycotoxin aflatoxin B1 (AFB1), [...] Read more.
Physiologically based pharmacokinetic (PBPK) models allow to simulate the behaviour of compounds in diverse physiological populations. However, the categorization of individuals into distinct populations raises questions regarding the classification criteria. In previous research, simulations of the pharmacokinetics of the mycotoxin aflatoxin B1 (AFB1), were performed in the black South African population, using PBPK modeling. This study investigates the prevalence of clinical CYP450 phenotypes (CYP2B6, CYP2C9, CYP2C19, CYP2D6, CYP3A4/5) across Sub-Saharan Africa (SSA), to determine the feasibility of defining SSA as a single population. SSA was subdivided into Central, East, South and West Africa. The phenotype data were assigned to the different regions and a fifth SSA group was composed of all regions’ weighted means. Available data from literature only covered 7.30% of Central, 56.9% of East, 38.9% of South and 62.9% of West Africa, clearly indicating critical data gaps. A pairwise proportion test was performed between the regions on enzyme phenotype data. When achieving statistical significance (p < 0.05), a Cohen’s d-test was performed to determine the degree of the difference. Next, per region populations were built using SimCYP starting from the available SSA based SouthAfrican_Population FW_Custom population, supplemented with the phenotype data from literature. Simulations were performed using CYP probe substrates in all populations, and derived PK parameters (Cmax, Tmax, AUCss and CL) were plotted in bar charts. Significant differences between the African regions regarding CYP450 phenotype frequencies were shown for CYP2B6, CYP2C19 and CYP2D6. Limited regional data challenge the representation of SSA populations in these models. The scarce availability of in vivo data for SSA regions restricted the ability to fully validate the developed PBPK populations. However, observed literature data from specific SSA regions provided partial validation, indicating that SSA populations should ideally be modelled at a regional level rather than as a single entity. The findings, emerging from the initial AFB1-focused PBPK work, underscore the need for more extensive and region-specific data to enhance model accuracy and predictive value across SSA. Full article
(This article belongs to the Special Issue Mycotoxins in Food and Feeds: Human Health and Animal Nutrition)
Show Figures

Figure 1

39 pages, 16563 KB  
Article
Innovative Amino-Functionalization of Pyrido[2,3-d]pyrimidine Scaffolds for Broad Therapeutic Applications Supported by Computational Analyses
by Hagar S. El-Hema, Haitham E. Shehata, Mohamed A. Hawata, Eman S. Nossier, Ahmed F. El-Sayed, Najla A. Altwaijry, Asmaa Saleh, Modather F. Hussein, Amr Sabry and Adel A.-H. Abdel-Rahman
Pharmaceuticals 2025, 18(10), 1472; https://doi.org/10.3390/ph18101472 - 30 Sep 2025
Viewed by 787
Abstract
Background: Derivatives of Pyrido[2,3-d]pyrimidine-6-carboxylate are promising multi-target scaffolds. This study focused on synthesizing 16 amino-functionalized derivatives and evaluating their dual anticancer and antibacterial activities, supported by mechanistic and computational analyses. Objectives: Design and synthesize derivatives, evaluate cytotoxicity against HeLa, HepG-2, and [...] Read more.
Background: Derivatives of Pyrido[2,3-d]pyrimidine-6-carboxylate are promising multi-target scaffolds. This study focused on synthesizing 16 amino-functionalized derivatives and evaluating their dual anticancer and antibacterial activities, supported by mechanistic and computational analyses. Objectives: Design and synthesize derivatives, evaluate cytotoxicity against HeLa, HepG-2, and MCF-7 (selectivity against WI-38), investigate EGFRWT and EGFRT790M inhibition, assess cell cycle, apoptosis, and migration effects, antibacterial efficacy against E. coli and P. aeruginosa, and perform in silico ADMET, docking, molecular dynamics, DFT, and antiviral predictions. Methods: Synthesized 16 derivatives; tested for cytotoxicity, EGFR inhibition, cell cycle, apoptosis, migration; assessed antibacterial activity; performed ADMET profiling, molecular docking, molecular dynamics, and DFT calculations. Results: Derivatives 1, 2, and 7 showed highest cytotoxicity (IC50 = 3.98–17.52 μM; WI-38 IC50 = 64.07–81.65 μM). Compound 1 potently inhibited EGFRWT (IC50 = 0.093 μM) and EGFRT790M (IC50 = 0.174 μM), induced G0/G1 arrest (74.86%) and apoptosis (26.37%), and reduced MCF-7 migration (69.63%). Moderate antibacterial activity observed (MIC = 50 μg/mL). ADMET indicated favorable pharmacokinetics, low CYP inhibition, negative mutagenicity, and oral toxicity class III. Molecular dynamics confirmed stable binding (EGFRWT RMSD 3 Å; EGFRT790M 3.5–4.6 Å) with persistent hydrogen bonds. In silico antiviral evaluation suggested strong binding to HCV NS5A (–9.36 kcal/mol), SARS-CoV-2 Mpro (–9.82 kcal/mol), and E.coli DNA gyrase (–10.25 kcal/mol). Conclusions: Compound 1 exhibits dual anticancer and antibacterial activity, supported by mechanistic and computational analyses, highlighting pyrido[2,3-d]pyrimidines as promising multi-target therapeutic scaffolds. Full article
Show Figures

Figure 1

27 pages, 3604 KB  
Article
Predicting Survival in Bevacizumab-Treated Colorectal Cancer: Personalized Mathematical Models Based on Clinical and Angiogenic Biomarkers
by Diana Cornelia Moisuc, Mihai Vasile Marinca, Bogdan Gafton, Daniela Constantinescu, Petru Cianga and Mariana Pavel-Tanasa
Int. J. Mol. Sci. 2025, 26(19), 9332; https://doi.org/10.3390/ijms26199332 - 24 Sep 2025
Viewed by 508
Abstract
Aberrant activation of proangiogenic signaling pathways, particularly the vascular endothelial growth factor (VEGF) axis, drives neovascularization and tumor progression in colorectal cancer (CRC). Bevacizumab targets VEGF-A-mediated angiogenesis, but the lack of validated predictive biomarkers limits personalized treatment. In this prospective study, we evaluated [...] Read more.
Aberrant activation of proangiogenic signaling pathways, particularly the vascular endothelial growth factor (VEGF) axis, drives neovascularization and tumor progression in colorectal cancer (CRC). Bevacizumab targets VEGF-A-mediated angiogenesis, but the lack of validated predictive biomarkers limits personalized treatment. In this prospective study, we evaluated a panel of circulating angiogenic biomarkers combined with clinical parameters, using mathematical models to predict survival in metastatic CRC patients treated with bevacizumab and chemotherapy. Low VEGF-A and VEGF-D levels, together with high bFGF, were associated with improved overall survival (OS). A logistic regression model incorporating these biomarkers, regional lymph node invasion, and primary tumor resection status showed significant prognostic accuracy (p < 0.001). Incorporating CypA further refined the model, identifying patients with low VEGF-A, VEGF-D, and CypA, and high VEGF-C and PlGF, as having the most favorable OS. These findings demonstrate that integrating clinical and circulating biomarker data can improve individualized risk assessment and support personalized therapeutic strategies for CRC patients receiving bevacizumab. Full article
Show Figures

Figure 1

33 pages, 2301 KB  
Article
Antimicrobial and Antibiofilm Activities of Some Antioxidant 3,4-Dihydroxyphenyl-Thiazole-Coumarin Hybrid Compounds: In Silico and In Vitro Evaluation
by Daniel Ungureanu, Gabriel Marc, Mihaela Niculina Duma, Radu Tamaian, Dan Cristian Vodnar, Brîndușa Tiperciuc, Cristina Moldovan, Ioana Ionuț, Anca Stana and Ovidiu Oniga
Antibiotics 2025, 14(9), 943; https://doi.org/10.3390/antibiotics14090943 - 18 Sep 2025
Viewed by 689
Abstract
Background/Objectives: In this study, we aimed to investigate the antimicrobial and antibiofilm activity of seven hydroxyphenyl-thiazolyl-coumarin hybrid compounds with antioxidant properties (1ag), previously reported by our group. Methods: The compounds were evaluated in vitro through MIC, MBC, [...] Read more.
Background/Objectives: In this study, we aimed to investigate the antimicrobial and antibiofilm activity of seven hydroxyphenyl-thiazolyl-coumarin hybrid compounds with antioxidant properties (1ag), previously reported by our group. Methods: The compounds were evaluated in vitro through MIC, MBC, and MFC determinations, and percentage of biofilm (BF) inhibition and in silico, respectively, through molecular docking, molecular dynamics simulations, and ADMETox prediction. Results: All compounds showed antibacterial and antifungal activities. In terms of antibacterial activity, all the compounds were active on Pseudomonas aeruginosa (MICs = 15.62–31.25 μg/mL), Enterococcus faecalis (MICs = 15.62–31.25 μg/mL), and Staphylococcus aureus (MICs = 62.5–125 μg/mL). Regarding the antifungal activity, the effect against Candida albicans was similar to fluconazole (MIC = 15.62 μg/mL), compounds 1b and 1g being the most active against Aspergillus brasiliensis (MIC = 15.62 μg/mL). Furthermore, all compounds were both bactericidal and fungicidal. Regarding the antibiofilm activity, compounds 1dg showed superior P. aeruginosa BF inhibition compared to gentamicin. The in vitro results for the antibacterial activity were well correlated with the observations drawn in the molecular docking studies, where the best binding affinities (BAs) were observed against P. aeruginosa PAO1 GyrB subunit, and the molecular dynamics simulations confirmed the antibacterial mechanism of compounds 1a, 1b, 1d, 1f, and 1g through GyrB subunit inhibition. Regarding the antifungal activity, all compounds showed better BAs than fluconazole against CYP51 in all instances. ADMETox predictions concluded that all the compounds could have low gastrointestinal absorption and reduced risk of pharmacokinetic interactions. Conclusions: The investigated compounds bring novelty into the actual research due to their dual antibacterial and antibiofilm activity against biofilm-associated P. aeruginosa infections. Full article
(This article belongs to the Special Issue Discovery and Design of New Antimicrobial Agents)
Show Figures

Figure 1

19 pages, 1238 KB  
Review
Pharmacogenetics and the Response to Antidepressants in Major Depressive Disorder
by Amanda Gollo Bertollo, Ricieri Mocelin and Zuleide Maria Ignácio
Pharmaceuticals 2025, 18(9), 1360; https://doi.org/10.3390/ph18091360 - 11 Sep 2025
Viewed by 1156
Abstract
Purpose: Genetic polymorphisms within specific genes play a role in both the genetic predisposition to Major Depressive Disorder (MDD) and the variation observed in responses to antidepressant treatments. Pharmacogenetics examines how these polymorphisms affect medication response. This review highlights significant disparities in the [...] Read more.
Purpose: Genetic polymorphisms within specific genes play a role in both the genetic predisposition to Major Depressive Disorder (MDD) and the variation observed in responses to antidepressant treatments. Pharmacogenetics examines how these polymorphisms affect medication response. This review highlights significant disparities in the pharmacogenetic influences on antidepressant response, with a focus on ethnic and sex-based differences. Methods: This review synthesizes findings from a comprehensive literature search conducted between 2000 and 2025. It utilized databases such as PubMed, Scopus, and Web of Science, using search terms including “pharmacogenetics”, “antidepressants”, “Major Depressive Disorder”, “CYP450”, “neuroplasticity”, and “genetic variations”. This review integrates pharmacogenetics with neurotransmitters and their transporters, neuroplasticity, growth factors, and the cytochrome P450 family, providing promising insights for personalized MDD treatment strategies. We analyzed and synthesized findings from over 50 relevant studies, focusing on those with a clear emphasis on genetic associations with antidepressant efficacy and adverse effects. Results: Pharmacogenetic analysis facilitates personalized antidepressant prescriptions by identifying key genetic variants that influence treatment outcomes. Specifically, variations in CYP2D6 and CYP2C19 can significantly impact drug metabolism and tolerability. A high percentage of patients with non-normal metabolizer phenotypes are predisposed to adverse drug reactions or ineffective responses. Furthermore, this review identifies significant ethnic and sex-based disparities in treatment response. For example, the L allele of the 5-HTTLPR polymorphism confers a higher likelihood of response and remission following SSRI treatment in white people compared to Asians. Additionally, in women, specific 5-HTTLPR polymorphisms have a more pronounced influence on mood and MDD pathophysiology, with a significant reduction in mood in response to tryptophan depletion. Conclusions: Integrating pharmacogenetic insights, encompassing genetic factors, neurotransmitter pathways, neuroplasticity, and the influence of ethnicity and sex, is crucial for developing personalized antidepressant treatment strategies. This will ultimately optimize patient recovery and minimize adverse effects. Full article
(This article belongs to the Special Issue Treatment and Molecular Mechanisms of Depression)
Show Figures

Graphical abstract

Back to TopTop