Sign in to use this feature.

Years

Between: -

Subjects

remove_circle_outline
remove_circle_outline
remove_circle_outline
remove_circle_outline
remove_circle_outline

Journals

Article Types

Countries / Regions

Search Results (100)

Search Parameters:
Keywords = CRRT

Order results
Result details
Results per page
Select all
Export citation of selected articles as:
17 pages, 1297 KB  
Article
Microbiological and Infection-Source Predictors of Mortality in Severe Sepsis Patients Undergoing Polymyxin B Hemoperfusion: A Seven-Year Real-World Cohort Study
by Wei-Hung Chang, Li-Kuo Kuo, Kuan-Pen Yu and Ting-Yu Hu
Life 2026, 16(1), 121; https://doi.org/10.3390/life16010121 - 13 Jan 2026
Viewed by 316
Abstract
Background: The microbiological landscape and infection-source profiles of severe sepsis in Asian ICUs differ markedly from Western cohorts and may influence the effectiveness and prognosis of adjunctive therapies such as polymyxin B hemoperfusion (PMX-HP). However, real-world data on how pathogen categories, multidrug resistance [...] Read more.
Background: The microbiological landscape and infection-source profiles of severe sepsis in Asian ICUs differ markedly from Western cohorts and may influence the effectiveness and prognosis of adjunctive therapies such as polymyxin B hemoperfusion (PMX-HP). However, real-world data on how pathogen categories, multidrug resistance (MDR), and infection sources affect outcomes in PMX-HP-treated patients are lacking. Methods: We conducted a retrospective cohort study in a tertiary medical ICU in Taiwan, including adult patients with severe sepsis or septic shock who received PMX-HP between 2013 and 2019. Microbiological data, infection sources, MDR profiles, organ support requirements, vasoactive–inotropic score (VIS), and mortality outcomes were retrieved from electronic records. Pathogen groups (Gram-negative, Gram-positive, fungal, no-growth), MDR status, and infection sources were analyzed for associations with 28-day, ICU, and hospital mortality. Results: Among 64 patients (mean age 66.1 years; 67.2% male), Gram-negative pathogens predominated (70.3%), with Escherichia coli (31.3%) and Klebsiella pneumoniae (21.9%) being the most frequently identified organisms. MDR organisms were isolated in 26.6% of patients. The most common infection sources were pneumonia (29.7%), intra-abdominal infection (18.8%), and urinary tract infection (17.2%). Gram-negative infections were associated with higher CRRT utilization (71.9% vs. 47.1%, p = 0.04) and higher VIS at 24 h. MDR status was significantly associated with early CRRT requirement (64.7% vs. 38.6%, p = 0.048), but not with 28-day mortality (52.9% vs. 43.2%, p = 0.42). No infection source was independently associated with mortality after adjustment for APACHE II, CRRT, and VIS. Instead, greater organ failure severity—particularly renal failure requiring CRRT—was strongly associated with mortality in this cohort. Conclusions: In PMX-HP-treated severe sepsis patients, Gram-negative predominance and MDR status were associated with increased organ support requirements but were not independently associated with mortality. Outcomes were primarily associated with overall illness severity rather than microbiological category. These findings highlight the importance of combining microbiological data with dynamic physiological markers for prognostic risk stratification in Asian ICUs. Full article
(This article belongs to the Special Issue Critical Issues in Intensive Care Medicine)
Show Figures

Figure 1

14 pages, 767 KB  
Article
Sequential Versus Non-Sequential Polymyxin B Hemoperfusion in Severe Sepsis and Septic Shock: A Real-World Cohort Analysis of Survival in an Asian ICU
by Wei-Hung Chang, Ting-Yu Hu and Li-Kuo Kuo
Diagnostics 2026, 16(1), 173; https://doi.org/10.3390/diagnostics16010173 - 5 Jan 2026
Cited by 1 | Viewed by 299
Abstract
Background: Severe sepsis and septic shock remain major causes of ICU mortality despite advances in critical care. Polymyxin B hemoperfusion (PMX-HP) is widely used in Asia for refractory endotoxemia, yet the optimal session strategy remains unclear. Methods: We retrospectively analyzed adult ICU patients [...] Read more.
Background: Severe sepsis and septic shock remain major causes of ICU mortality despite advances in critical care. Polymyxin B hemoperfusion (PMX-HP) is widely used in Asia for refractory endotoxemia, yet the optimal session strategy remains unclear. Methods: We retrospectively analyzed adult ICU patients with severe sepsis or septic shock treated with PMX-HP between 2013 and 2019 in a tertiary center in Taiwan. Patients were divided into sequential (≥2 sessions within 24 h) and non-sequential groups. The primary outcome was 28-day mortality; secondary outcomes included ICU and hospital mortality, length of stay, organ support, and vasoactive-inotropic score (VIS) changes. Results: Among 64 patients, 33 (51.6%) received sequential therapy. The 28-day mortality was 46.9%, with no difference between groups after adjustment for baseline severity. Patients receiving sequential PMX-HP had longer hospital stays and more frequent CRRT use, likely reflecting greater underlying disease severity rather than a causal effect of treatment sequencing. Conclusions: Multivariate analysis identified higher APACHE II score, positive VIS change, and CRRT requirement as independent predictors of mortality. Sequential therapy itself was not associated with improved outcomes. Prognosis in PMX-HP-treated patients is determined mainly by underlying severity and hemodynamic instability, underscoring the need for patient selection and biomarker-guided strategies rather than routine sequential use. Full article
(This article belongs to the Section Clinical Diagnosis and Prognosis)
Show Figures

Figure 1

15 pages, 533 KB  
Article
Structural Variants in Severe COVID-19: Clinical Impact Assessment
by Johanna Kämpe, Jesper Eisfeldt, Per Nordberg, Agneta Nordenskjöld, Magnus Nordenskjöld, Miklos Lipcsey, Michael Marks-Hultström, Robert Frithiof, Jonathan Grip, Olav Rooijackers, Hugo Zeberg and Anders Kämpe
COVID 2026, 6(1), 10; https://doi.org/10.3390/covid6010010 - 5 Jan 2026
Viewed by 274
Abstract
Background: Several genes and genomic regions have been implicated in COVID-19 susceptibility and severity, but their clinical relevance remains uncertain. We comprehensively assessed both copy number variants (CNVs) and single-nucleotide variants (SNVs) disrupting genes implicated in COVID-19 in a Swedish cohort of ICU-treated [...] Read more.
Background: Several genes and genomic regions have been implicated in COVID-19 susceptibility and severity, but their clinical relevance remains uncertain. We comprehensively assessed both copy number variants (CNVs) and single-nucleotide variants (SNVs) disrupting genes implicated in COVID-19 in a Swedish cohort of ICU-treated COVID-19 patients with detailed phenotype data. Methods: Patients (n = 301) with severe COVID-19 treated in intensive care units (ICU) between March 2020 and January 2021 at two large Swedish university hospitals were included. Whole exome sequencing (WES) was performed to identify both large copy number variations (CNVs) and single-nucleotide variants (SNVs), including small indels, using the Genome Analysis Toolkit (GATK) pipelines. We focused our analyses on variants disrupting coding genes implicated in severe COVID-19, but also assessed variants known to cause human disease. Results: We identified 11 rare CNVs and several SNVs potentially linked to severe COVID-19. Patients carrying a CNV spanning a COVID-19-implicated gene had higher levels of the heart failure marker NT-proBNP (median 4440 [1558–8160] vs. 1170 [329–3152], p = 0.017), worse renal function at ICU admission (p = 0.0026), and a higher need for continuous renal replacement therapy (CRRT) (28% vs. 10%, p = 0.045) compared to patients without a potentially damaging CNV. Conclusions: Although patients with a potentially damaging CNV or SNV exhibited some differences in cardiac and renal markers, our findings do not support broad genetic screening as a predictive tool for COVID-19 severity. Full article
(This article belongs to the Section Host Genetics and Susceptibility/Resistance)
Show Figures

Figure 1

12 pages, 1308 KB  
Article
Peak Lactate Within 24 h and Mortality in Septic Shock Patients Receiving Continuous Renal Replacement Therapy: A Real-World Cohort from an Asian ICU (2018–2020)
by Wei-Hung Chang, Ting-Yu Hu and Li-Kuo Kuo
Life 2026, 16(1), 62; https://doi.org/10.3390/life16010062 - 31 Dec 2025
Viewed by 384
Abstract
Background: Serum lactate is a key biomarker of tissue hypoperfusion and metabolic stress in sepsis. Although lactate clearance is widely recognized, many intensive care units record only a peak lactate within 24 h (pLac-24h). The prognostic value of pLac-24h among patients receiving blood [...] Read more.
Background: Serum lactate is a key biomarker of tissue hypoperfusion and metabolic stress in sepsis. Although lactate clearance is widely recognized, many intensive care units record only a peak lactate within 24 h (pLac-24h). The prognostic value of pLac-24h among patients receiving blood purification therapy remains unclear in Asian intensive care settings. Methods: We retrospectively analyzed the 2018–2020 ICU dataset from MacKay Memorial Hospital, Taiwan. Among 16,693 adult ICU admissions, 2506 patients received continuous renal replacement therapy (CRRT) as blood purification for severe sepsis or septic shock. Of these, 1264 (50.4%) had available pLac-24h data, and 27 (1.1%) also required extracorporeal membrane oxygenation (ECMO). The primary outcome was 28-day all-cause mortality. Multivariate logistic regression adjusted for age, sex, APACHE II score, infection source, and CRRT/ECMO use. Discrimination was evaluated by receiver operating characteristic (ROC) curves and decision-curve analysis. This analysis was conducted as a predefined sub-analysis of an institutional ICU database. Results: The mean age of the cohort was 65.7 ± 13.4 years, and 64.8% were male. Median pLac-24h was 5.1 mmol/L (IQR 3.2–8.6). The overall 28-day mortality among CRRT patients was 47.3%. Mortality rose progressively across pLac-24h quartiles (Q1–Q4: 28.9%, 39.4%, 54.7%, and 68.1%; p < 0.001). Each 1 mmol/L increase in pLac-24h independently predicted higher mortality (adjusted OR 1.18, 95% CI 1.10–1.26, p < 0.001). The area under the ROC curve for pLac-24h predicting 28-day mortality was 0.78 (95% CI 0.74–0.82), outperforming the APACHE II score (AUC 0.69, p = 0.02). Conclusions: In critically ill patients with septic shock undergoing CRRT, peak lactate within 24 h was a strong, independent predictor of 28-day mortality. pLac-24h offers a pragmatic, readily available prognostic indicator when serial lactate measurements are unavailable, supporting its integration into bedside risk assessment in real-world Asian ICU practice. Full article
(This article belongs to the Special Issue Acute Kidney Events in Intensive Care)
Show Figures

Figure 1

11 pages, 1288 KB  
Article
Outcomes of MagLev LVAD Support in Patients Requiring Preoperative Continuous Renal Replacement Therapy
by Christopher L. He, Clayton J. Rust, Ian M. Kusher, Sally El Sammak, Ailin Tang, Joshua D. Preston, Supreet S. Randhawa, Michael E. Halkos, Muath M. Bishawi, Mani A. Daneshmand and Joshua L. Chan
J. Clin. Med. 2025, 14(23), 8502; https://doi.org/10.3390/jcm14238502 - 30 Nov 2025
Viewed by 413
Abstract
Background/Objectives: Acute Kidney Injury (AKI) requiring continuous renal replacement therapy (CRRT) has historically been a contraindication for left ventricular assist device (LVAD) implantation. However, advancements in magnetically levitated (MagLev) LVADs warrant reevaluation. Methods: A retrospective review of adult LVAD recipients at [...] Read more.
Background/Objectives: Acute Kidney Injury (AKI) requiring continuous renal replacement therapy (CRRT) has historically been a contraindication for left ventricular assist device (LVAD) implantation. However, advancements in magnetically levitated (MagLev) LVADs warrant reevaluation. Methods: A retrospective review of adult LVAD recipients at a tertiary center (2009–2024) was performed. Patients were stratified by preoperative CRRT status and LVAD type. Baseline characteristics and perioperative morbidity, Kaplan–Meier survival estimates, restrictive mean survival time (RMST), and Cox proportional hazards models were assessed. Results: Among 312 MagLev LVAD recipients, 22 (7.1%) required preoperative CRRT. Compared to non-CRRT patients, the CRRT group had higher illness severity (INTERMACS 1 or 2: 95% vs. 71%, p = 0.019). Despite this, preoperative CRRT was not associated with worse mortality within the MagLev cohort at 30 days (9.1% vs. 7.9%), 1 year (18.2% vs. 17.9%), or 2 years (31.8% vs. 20.7%; p = 0.31). RMST at 1 year was also similar (305 vs. 311 days; p = 0.85). In contrast, patients on CRRT receiving non-MagLev devices had significantly worse outcomes, with 30-day, 1-year, and 2-year mortality rates of 57.1%, 71.4%, and 78.6%, respectively. RMST analysis showed a 170-day survival advantage at 1 year for MagLev vs. non-MagLev CRRT patients (p < 0.01). Conclusions: In this single-center cohort, preoperative CRRT was not associated with higher mortality among MagLev LVAD recipients and may challenge traditional contraindications against LVAD therapy. Further investigations using larger cohorts are necessary to further evaluate these findings and delineate patient subgroups that may derive the greatest clinical benefit. Full article
(This article belongs to the Special Issue Patient-Oriented Treatments for Heart Failure)
Show Figures

Figure 1

19 pages, 1652 KB  
Article
Impact of Continuous Renal Replacement Therapy on Outcomes in Septic Shock Patients Receiving Polymyxin B Hemoperfusion: A Retrospective Cohort Study
by Wei-Hung Chang, Sheng Hsiung Yang, Hsiu-Fang Shen, Ting-Yu Hu and Wen-Jui Wu
Biomedicines 2025, 13(12), 2904; https://doi.org/10.3390/biomedicines13122904 - 27 Nov 2025
Cited by 1 | Viewed by 922
Abstract
Background: Polymyxin B hemoperfusion (PMX-HP) is increasingly used as an adjunctive therapy for severe sepsis and septic shock, yet the prognostic significance of continuous renal replacement therapy (CRRT) and vasoactive-inotropic score (VIS) dynamics under real-world ICU practice remains unclear. This study aimed to [...] Read more.
Background: Polymyxin B hemoperfusion (PMX-HP) is increasingly used as an adjunctive therapy for severe sepsis and septic shock, yet the prognostic significance of continuous renal replacement therapy (CRRT) and vasoactive-inotropic score (VIS) dynamics under real-world ICU practice remains unclear. This study aimed to evaluate whether CRRT requirement and hemodynamic responses to PMX-HP influence short-term mortality among critically ill patients. Methods: We conducted a retrospective cohort study of 64 ICU patients in Taiwan with severe sepsis or septic shock who received PMX-HP. Clinical characteristics, illness severity, VIS measurements before and after PMX-HP, organ-support therapies, and outcomes—including 28-day mortality, ICU and hospital mortality, and lengths of stay—were analyzed. Patients were stratified by CRRT use, and multivariate logistic regression was performed to identify independent predictors of 28-day mortality. Results: Among 64 patients (mean age 66 years; 67% male), 67.2% received CRRT and the overall 28-day mortality was 46.9%. CRRT users exhibited higher crude mortality and higher APACHE II scores. Survivors were younger and had lower baseline severity. Hemodynamic trajectories differed substantially: VIS increased after PMX-HP more frequently in non-survivors than survivors. In multivariate analysis, post-PMX-HP VIS elevation and higher APACHE II were independent predictors of 28-day mortality, whereas CRRT requirement was not an independent determinant. Conclusions: In this real-world cohort, PMX-HP did not significantly reduce mortality. Illness severity and inadequate vasopressor improvement, rather than CRRT use, primarily determined outcomes. VIS elevation following PMX-HP may serve as an early indicator of poor hemodynamic recovery in septic shock. Full article
(This article belongs to the Section Molecular and Translational Medicine)
Show Figures

Figure 1

14 pages, 937 KB  
Article
Association of MASLD with Baseline and New-Onset Liver Function Test Elevation in Medical ICU Patients
by Ali Karataş, Kamil İnci, Nazlıhan Boyacı Dündar, Gülbin Aygencel, Melda Türkoğlu, Ali Osman Taş, Beril Avcı, Cansu Gedik and Mehmet Cindoruk
Medicina 2025, 61(12), 2092; https://doi.org/10.3390/medicina61122092 - 24 Nov 2025
Viewed by 464
Abstract
Background and Objectives: Metabolic dysfunction-associated steatotic liver disease (MASLD) is highly prevalent and may influence the outcome of critical illness. Although abnormal liver function tests (LFTs) are frequent in the intensive care unit (ICU), the contribution of MASLD to organ-specific hepatic vulnerability [...] Read more.
Background and Objectives: Metabolic dysfunction-associated steatotic liver disease (MASLD) is highly prevalent and may influence the outcome of critical illness. Although abnormal liver function tests (LFTs) are frequent in the intensive care unit (ICU), the contribution of MASLD to organ-specific hepatic vulnerability and mortality remains unclear. This study aimed to evaluate whether pre-existing metabolic dysfunction-associated steatotic liver disease (MASLD) is associated with baseline and new-onset liver function test (LFT) abnormalities and with intensive care unit (ICU) outcomes in non-cirrhotic medical ICU patients. Materials and Methods: We conducted a retrospective cohort study of adult non-cirrhotic patients admitted to a tertiary medical ICU between December 2020 and December 2023, who underwent hepatobiliary ultrasonography within six months before admission. MASLD was defined as hepatic steatosis with ≥1 cardiometabolic risk factor. The baseline and 72 h LFTs, injury patterns, and ICU outcomes were compared between MASLD and non-MASLD patients. Logistic regression was used to identify the independent predictors of new-onset LFT elevation and ICU mortality. Results: Among 609 patients, MASLD was diagnosed in 240 (39.4%). LFT elevation at admission was more frequent in patients with MASLD (52% vs. 39%, p = 0.03), driven mainly by higher alkaline phosphatase (ALP). At 72 h, ALP (96 [67–146] vs. 85 [60–137]) and gamma-glutamyl transferase (GGT) (50 [27–123] vs. 42 [20–100]) levels remained higher in patients with MASLD (p < 0.01), although rates of new-onset LFT elevation were similar (p > 0.05). Compared to non-MASLD patients, those with MASLD more often required invasive mechanical ventilation (IMV) (64% vs. 33%), central venous catheterization (70% vs. 44%), CRRT (28% vs. 10%), blood product replacement (50% vs. 28%), and developed nosocomial infections (44% vs. 29%) (p < 0.05 for all); however, MASLD was not an independent predictor of mortality. The independent risk factors for mortality were IMV, shock, and higher APACHE II scores. Conclusions: common among medical ICU patients and is associated with a cholestatic biochemical profile and poor ICU outcomes. However, early hepatic injury and ICU mortality are primarily determined by systemic severity and organ support requirements, not the MASLD itself. Full article
(This article belongs to the Section Gastroenterology & Hepatology)
Show Figures

Figure 1

13 pages, 1262 KB  
Case Report
Early CytoSorb Hemoadsorption in a Neutropenic Acute Myeloid Leukemia Patient with Carbapenem-Resistant Pseudomonas Septic Shock and ARDS
by Wei-Hung Chang, Ting-Yu Hu and Li-Kuo Kuo
Diseases 2025, 13(12), 382; https://doi.org/10.3390/diseases13120382 - 24 Nov 2025
Viewed by 548
Abstract
Neutropenic patients with acute myeloid leukemia (AML) are at high risk for severe, multidrug-resistant infections. Sepsis due to carbapenem-resistant Pseudomonas aeruginosa (CRPA) in this population often leads to septic shock and acute respiratory distress syndrome (ARDS), with historically poor outcomes. CytoSorb™ hemoadsorption has [...] Read more.
Neutropenic patients with acute myeloid leukemia (AML) are at high risk for severe, multidrug-resistant infections. Sepsis due to carbapenem-resistant Pseudomonas aeruginosa (CRPA) in this population often leads to septic shock and acute respiratory distress syndrome (ARDS), with historically poor outcomes. CytoSorb™ hemoadsorption has been proposed as an adjunctive therapy for refractory septic shock, but evidence in hematologic malignancies remains limited. This report describes a 29-year-old male with newly diagnosed AML complicated by neutropenic fever, bacteremia due to CRPA, and subsequent hospital-acquired pneumonia progressing to ARDS. Despite multiple antibiotic regimens and aggressive intensive care management, including mechanical ventilation, prone positioning, and continuous renal replacement therapy (CRRT), the patient developed refractory septic shock with persistent lactic acidosis and elevated inflammatory markers. Early adjunctive CytoSorb hemoadsorption was initiated, guided by maximal CytoScore criteria, as part of a comprehensive supportive strategy. Following CytoSorb therapy, the patient demonstrated transient hemodynamic and biochemical improvement; however, profound neutropenia and multi-organ failure persisted. Microbiological clearance of CRPA was not achieved; given confirmed colistin susceptibility and unknown carbapenemase mechanism, a salvage combination of colistin plus ceftazidime–avibactam was employed. Transient hemodynamic improvement was observed after CytoSorb initiation; however, cytokine assays were not performed, and microbiological clearance was not achieved, precluding any mechanistic attribution to CytoSorb. This case highlights the complexity of managing CRPA sepsis and ARDS in neutropenic AML patients, and the challenges in attributing observed clinical improvement to CytoSorb therapy in the context of multiple simultaneous interventions. The absence of cytokine assays (e.g., IL-6, TNF-α) precludes any mechanistic attribution of observed changes to cytokine adsorption, and interpretation should remain descriptive rather than causal. Observed transient changes occurred amid simultaneous interventions (broad-spectrum antibiotics, CRRT, prone ventilation, corticosteroids, and filgrastim), precluding attribution to any single therapy, including CytoSorb. Given the fatal outcome and persistent CRPA positivity, the clinical impact of this observation is limited, and the generalizability of a single-case report is restricted. Cautious interpretation is warranted, and CytoSorb may be considered as part of a comprehensive care bundle rather than as a standalone solution. Alternative tetracycline-based combinations were reviewed but not adopted under our center’s salvage protocol for this XDR presentation. Future studies are warranted to clarify its clinical benefit and optimal timing in this population. Full article
Show Figures

Figure 1

14 pages, 623 KB  
Article
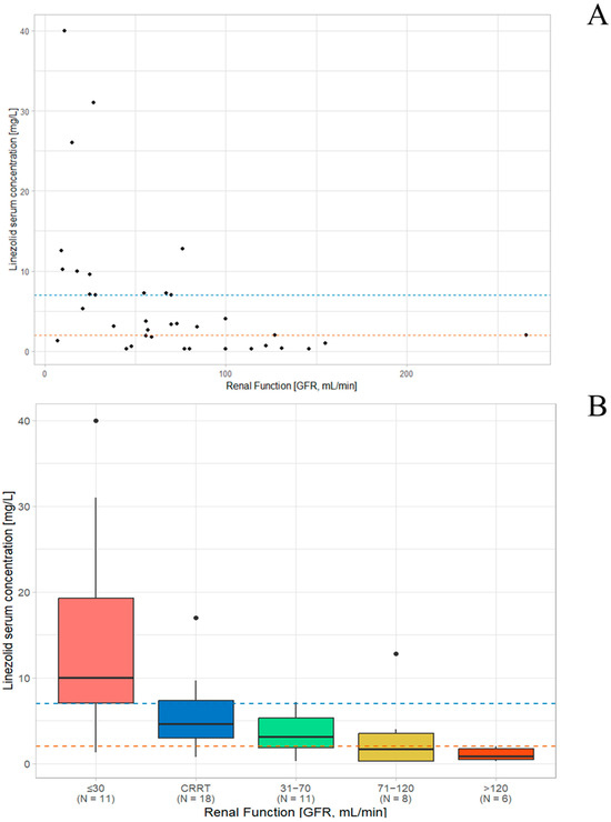
Linezolid Serum Concentration Variability Among Critically Ill Patients Based on Renal Function and Continuous Renal Replacement Therapy Administration
by Stefano Agliardi, Beatrice Brunoni, Gianluca Gazzaniga, Leonardo Baggio, Riccardo Giossi, Greta Guarnieri, Stefania Paccagnini, Matteo Laratta, Thomas Langer, Sara Santambrogio, Gianpaola Monti, Romano Danesi, Francesco Scaglione, Arianna Pani and Roberto Fumagalli
Antibiotics 2025, 14(12), 1188; https://doi.org/10.3390/antibiotics14121188 - 21 Nov 2025
Viewed by 654
Abstract
Background: Linezolid standard dosing is typically applied in ICU without adjustments, even in renal impairment. This study examines serum concentration variability by renal function or CRRT administration in patients receiving 1200 mg/day of linezolid. Methods: This retrospective, single-center, non-randomized observational study was conducted [...] Read more.
Background: Linezolid standard dosing is typically applied in ICU without adjustments, even in renal impairment. This study examines serum concentration variability by renal function or CRRT administration in patients receiving 1200 mg/day of linezolid. Methods: This retrospective, single-center, non-randomized observational study was conducted at Niguarda Hospital (Milan, Italy) on data from the two-year period 2023–2024. ICU patients receiving linezolid, with a renal function determination and trough TDM performed at steady-state were included and stratified by renal function or CRRT status. Results: 54 patients were included, with 18 (33%) undergoing CRRT (CVVH). CRRT patients presented higher median linezolid concentrations (4.6 mg/L) than non-CRRT patients (3.2 mg/L), and a lower risk of underdosing (17% vs. 39%). CRRT patients showed significantly lower concentrations (4.6 mg/L vs. 10 mg/L, p = 0.007) than non-CRRT patients with renal function ≤ 30 mL/min, with fewer out-of-range levels (39% vs. 91%, p = 0.008) and overdosing (22% vs. 73%, p = 0.018). A significant inverse correlation was found between renal function and linezolid levels (Spearman’s rho = −0.61, p < 0.001), with CRRT patients exhibiting concentrations comparable to those of individuals with moderately impaired renal function. Continuous infusion resulted in significantly higher median concentrations (7.2 mg/L) than extended infusion (2.7 mg/L), with an increased risk of overdosing (47% vs. 17%; p = 0.018). Conclusions: After standard-dosing administration, linezolid levels vary widely in critically ill patients. Renal function significantly affects pharmacokinetics: severe impairment increases overdose risk, while ARC may cause underdosing. Standard-dosing appears adequate in CRRT patients, with levels similar to moderate-impairment. Continuous infusion aids target attainment in normal or ARC patients but raises overdose risk in severe impairment. TDM-based personalized dosing seems crucial to optimize therapy and reduce toxicity or failure. Full article
Show Figures

Figure 1

17 pages, 571 KB  
Review
Personalized Parenteral Nutrition in Critically Ill Patients Undergoing Continuous Renal Replacement Therapy: A Comprehensive Framework for Clinical Practice
by Nicola Sinatra, Antonino Maniaci, Giuseppe Cuttone, Tarek Senussi Testa, Simona Tutino, Daniele Salvatore Paternò, Alessandro Girombelli, Giovanni Ippati, Giorgia Caputo, Massimiliano Sorbello and Luigi La Via
J. Pers. Med. 2025, 15(11), 545; https://doi.org/10.3390/jpm15110545 - 9 Nov 2025
Viewed by 2015
Abstract
Critically ill patients receiving continuous renal replacement therapy (CRRT) face distinct nutritional challenges requiring specialized parenteral nutrition (PN) strategies. This review synthesizes current evidence with clinical expertise to provide a comprehensive nutritional framework for this population. Key findings reveal that CRRT significantly impacts [...] Read more.
Critically ill patients receiving continuous renal replacement therapy (CRRT) face distinct nutritional challenges requiring specialized parenteral nutrition (PN) strategies. This review synthesizes current evidence with clinical expertise to provide a comprehensive nutritional framework for this population. Key findings reveal that CRRT significantly impacts nutrient homeostasis through daily losses of amino acids (14–22 g), water-soluble vitamins, and trace elements via the extracorporeal circuit. Results from observational studies demonstrate that higher protein targets (1.8–2.5 g/kg/day) are necessary to achieve positive nitrogen balance, while energy prescriptions must subtract “hidden” calories from citrate anticoagulation (3–4 kcal/mmol) and propofol (1.1 kcal/mL). Clinical outcome data, though primarily observational, indicate that achieving nutritional adequacy correlates with reduced ICU stays (average reduction 2.1–3.4 days), shorter mechanical ventilation duration, and improved functional recovery. Evidence supports that early PN prescription when indicated, coupled with systematic consideration of therapy modality, extracorporeal losses, oral intake capacity, and mobilization status, optimizes nutritional support. We conclude that successful implementation requires: (1) dynamic adjustment based on CRRT parameters, (2) integration with enteral nutrition when feasible, (3) regular metabolic monitoring, (4) multidisciplinary collaboration, and (5) structured protocols. Future research using point-of-care analysis and AI-driven support systems is needed to establish evidence-based guidelines in this specialized population. Full article
(This article belongs to the Special Issue Advancing Anesthesia and Pain Control Through Precision Medicine)
Show Figures

Figure 1

21 pages, 1102 KB  
Review
Research Progress on Signalling Pathways Related to Sepsis-Associated Acute Kidney Injury in Children
by Zhenkun Zhang, Meijun Sheng, Yiyao Bao and Chao Tang
Curr. Issues Mol. Biol. 2025, 47(11), 888; https://doi.org/10.3390/cimb47110888 - 27 Oct 2025
Viewed by 1625
Abstract
Sepsis-associated acute kidney injury (SA-AKI) is a prevalent and life-threatening complication in critically ill children, contributing to high mortality rates (up to 30%) and long-term renal dysfunction in pediatric intensive care units. This review synthesizes recent advances in the signalling pathways underlying SA-AKI, [...] Read more.
Sepsis-associated acute kidney injury (SA-AKI) is a prevalent and life-threatening complication in critically ill children, contributing to high mortality rates (up to 30%) and long-term renal dysfunction in pediatric intensive care units. This review synthesizes recent advances in the signalling pathways underlying SA-AKI, emphasizing pediatric-specific mechanisms, biomarkers, and therapeutic targets. This review covers inflammatory cascades via TLR/NF-κB leading to cytokine storms (IL-6, TNF-α); apoptosis and necrosis involving mitochondrial Bcl-2 dysregulation and OLFM4; and emerging processes like pyroptosis (NF-κB-mediated), metabolic reprogramming (choline deficiency and Nrf2-mitophagy), and novel routes such as cGAS-STING and TGF-β signalling. Biomarkers like urinary OLFM4, DKK3, NGAL, and serum suPAR, alanine, and Penkid enable early diagnosis and risk stratification, with models like PERSEVERE-II enhancing prognostic accuracy. Therapeutic strategies include fluid optimization, renal replacement therapies (CRRT, SLED-f), and pathway-targeted interventions such as choline supplementation, oXiris for cytokine removal, Humanin for immunomodulation, and investigational cGAS-STING inhibitors. Despite progress, challenges persist in translating animal models to pediatric trials and addressing heterogeneity. Integrating multi-omics and precision medicine holds promise for improving outcomes, underscoring the need for multicenter studies in children. Full article
(This article belongs to the Section Biochemistry, Molecular and Cellular Biology)
Show Figures

Figure 1

16 pages, 468 KB  
Article
Exploring the Readiness of Critical Care in Implementing Continuous Renal Replacement Therapy in Hail Hospitals, Saudi Arabia: Findings for Acute Kidney Injury Patient Care Improvement
by Sameer A. Alkubati, Abdulaziz A. Alfaraaj, Mokhtar A. Almoliky, Salman H. Alsaqri, Khalil A. Saleh and Bahia Galal Siam
Healthcare 2025, 13(18), 2320; https://doi.org/10.3390/healthcare13182320 - 16 Sep 2025
Viewed by 989
Abstract
Background/Objectives: Continuous renal replacement therapy (CRRT) is a critical intervention for managing acute kidney injury (AKI) in critically ill patients. Critical care nurses (CCNs) play a pivotal role in its implementation, requiring adequate knowledge, a positive attitude, and practice proficiency. This study aimed [...] Read more.
Background/Objectives: Continuous renal replacement therapy (CRRT) is a critical intervention for managing acute kidney injury (AKI) in critically ill patients. Critical care nurses (CCNs) play a pivotal role in its implementation, requiring adequate knowledge, a positive attitude, and practice proficiency. This study aimed to assess the levels and factors affecting CCNs’ knowledge, attitudes, and practices (KAPs) regarding the care of patients receiving CRRT in Hail Hospitals, Saudi Arabia. Methods: A cross-sectional study was conducted with 190 registered CCNs from the critical care units of Hail Hospitals, Saudi Arabia, from March to May 2025. Data were collected using a sociodemographic characteristics sheet and the knowledge, attitudes, and practices questionnaire on CRRT. Non-parametric statistical tests (Mann–Whitney U, Kruskal–Wallis, and Spearman’s correlation tests) were used to determine the relationships between variables. A multiple linear regression analysis was used to explore the factors affecting the study variables. Results: The majority of CCNs had a high level of knowledge regarding CRRT management (66.3%), followed by moderate (21.1%) and low (16.6%) levels. Additionally, the majority had a high level of attitude regarding CRRT management (74.7%), followed by moderate (18.4%) and low (6.9%) levels. The majority of CCNs had a high level of practice regarding CRRT management (66.8%), followed by low (23.7%) and moderate (9.5%) levels. There was a significant positive correlation between CCNs’ knowledge, attitudes (rs = 0.230, p < 0.001), and practices (rs = 0.192, p < 0.001). Additionally, there was a significant positive correlation between CCNs’ attitudes and practices (r = 0.419, p < 0.001). Multiple linear regression revealed a significant model (p  <  0.001) when sociodemographic and work-related factors were analyzed as predictors of CCNs’ levels of knowledge, attitudes, and practices regarding CRRT: Having more experience, working with a nurse-to-patient ratio of 1:2, and frequently using CVVHDF as a CRRT modality were significant factors for higher knowledge levels when compared to the reference categories. In addition, having a bachelor’s degree and frequently using CVVHD, CVVHDF, or SCUF as a CRRT modality were significant factors for higher attitude levels regarding CRRT when compared to the reference categories. Having a bachelor’s degree and frequently using CVVHD or CVVHDF as a CRRT modality were significant factors for higher practice levels regarding CRRT when compared to the reference categories. Conclusions: CCNs in Hail Hospitals self-reported high levels of knowledge, attitudes, and practices regarding CRRT management, followed by moderate levels. Targeted educational programs, standardized protocols, and organizational support are recommended to improve CCN care for CRRT and to optimize patient outcomes. Full article
Show Figures

Figure 1

16 pages, 358 KB  
Article
Clinical Characteristics and Outcomes of Patients Admitted in Cardiac Intensive Care Unit with Cardiogenic Shock: A Single-Center Study
by Konstantinos C. Siaravas, Aidonis Rammos, Aris Bechlioulis, Christos D. Floros, Eftychia Papaioannou, Ioanna Samara, Ilektra Stamou, Petros Kalogeras, Spyridon Athanasios Sioros, Vasilis Bouratzis, Lampros Lakkas, Christos S. Katsouras, Katerina K. Naka and Lampros K. Michalis
Diseases 2025, 13(9), 302; https://doi.org/10.3390/diseases13090302 - 13 Sep 2025
Viewed by 1015
Abstract
Background: Cardiogenic shock (CS) is a life threatening condition marked by inadequate tissue perfusion due to impaired cardiac output. Despite advances in diagnosis and management, mortality remains unacceptably high. Objective: This prospective, single-center observational study aimed to characterize the clinical profile, management strategies, [...] Read more.
Background: Cardiogenic shock (CS) is a life threatening condition marked by inadequate tissue perfusion due to impaired cardiac output. Despite advances in diagnosis and management, mortality remains unacceptably high. Objective: This prospective, single-center observational study aimed to characterize the clinical profile, management strategies, and short- and long-term outcomes of patients with CS. Methods: Seventy patients (SCAI stages B–E) admitted to the Cardiac Intensive Care Unit (CICU) of a tertiary university hospital over a 24-month period were enrolled. Demographic, clinical, hemodynamic, echocardiographic, and biochemical data were collected. The primary outcomes were in-hospital, 1-month, and 1-year mortality. Secondary outcomes included the use of mechanical circulatory support (MCS), mechanical ventilation (MV), and continuous renal replacement therapy (CRRT). Results: Acute myocardial infarction-related CS (AMI-CS) and heart failure-related CS (HF-CS) accounted for 64% of cases. The overall in-hospital mortality was 49%. SCAI stage C was independently associated with higher mortality at all time points compared with stage B. Key predictors of mortality included higher SCAI stage, elevated lactate and creatinine levels, and reduced cardiac output. Intra-aortic balloon pump (IABP) use was more frequent in AMI-CS. Conclusions: CS continues to be associated with poor prognosis, particularly in patients with higher SCAI stages. Standardized clinical pathways and national registries are urgently needed to guide evidence-based and resource-appropriate care. Full article
(This article belongs to the Special Issue Cardiovascular Risk Stratification in Hypertension)
Show Figures

Figure 1

14 pages, 398 KB  
Review
Hemoadsorption in Children with Cytokine Storm Using the Jafron HA330 and HA380 Cartridges
by Kamila Azenova and Vitaliy Sazonov
J. Clin. Med. 2025, 14(18), 6359; https://doi.org/10.3390/jcm14186359 - 9 Sep 2025
Viewed by 1543
Abstract
Background: A cytokine storm can lead to organ dysfunction and death in critically ill children. Extracorporeal hemoperfusion aims to reduce hyperinflammation by filtering out mid-range cytokines (e.g., IL-6), but pediatric data remain limited. Methods: We conducted a narrative review with PRISMA-guided screening of [...] Read more.
Background: A cytokine storm can lead to organ dysfunction and death in critically ill children. Extracorporeal hemoperfusion aims to reduce hyperinflammation by filtering out mid-range cytokines (e.g., IL-6), but pediatric data remain limited. Methods: We conducted a narrative review with PRISMA-guided screening of PubMed, Scopus, and Google Scholar for pediatric reports of HA330/HA380 from January 2020 to June 2025. Due to heterogeneity in populations, circuits, and outcome timing, the results were synthesized descriptively. Three studies met the inclusion criteria: a prospective series of 12 patients with septic shock using HA330, a single case of a pediatric heart transplant with HA380 during cardiopulmonary bypass, and a retrospective comparative cohort study of Pediatric Intensive Care Unit (PICU) oncology patients on continuous renal replacement therapy (CRRT) comparing HA330 (n = 11) versus CytoSorb (n = 10). Results: Three studies involving 23 pediatric patients were analyzed. The median age was 8 years, and 56.5% of patients were male. Most patients underwent hemoadsorption with HA330 via continuous renal replacement therapy (CRRT) or continuous venovenous hemodiafiltration (CVVHDF). Post-treatment reductions were noted in interleukin-6 (IL-6) (mean −69.6%), C-reactive protein (CRP) (−59.0%), and procalcitonin (PCT) (−70.4%). Severity scores (Pediatric Logistic Organ Dysfunction-2 (PELOD-2), Pediatric Risk of Mortality-3 (PRISM-3), and Pediatric Sequential Organ Failure Assessment (pSOFA) improved significantly (p = 0.002). The mean PICU stay was 15.6 days. The survival rate was 87%, and no hemoadsorption-related adverse events were reported. Conclusions: HA330/380 hemoadsorption is a safe and potentially effective treatment for pediatric cytokine storms, reducing inflammation and improving clinical status. However, larger, standardized studies are needed to confirm these findings and guide clinical use. Full article
(This article belongs to the Special Issue Clinical Insights into Pediatric Critical Care)
Show Figures

Figure 1

13 pages, 908 KB  
Case Report
Too Late to Reverse: An Atypical Postpartum Case of Acute Necrotizing Pancreatitis with Refractory ARDS Despite ECMO Support
by Mihaly Veres, Sanziana Flamind Oltean, Sorin Pascanu, Mihaela Butiulca, Oana Elena Branea, Alexandra Elena Lazar and Bianca Liana Grigorescu
Life 2025, 15(9), 1347; https://doi.org/10.3390/life15091347 - 26 Aug 2025
Cited by 1 | Viewed by 1184
Abstract
During pregnancy and in the postpartum period, several diseases may arise or become exacerbated. Acute pancreatitis incidence during pregnancy is similar to the general population but increases in the first two years after delivery. This case report describes the evolution of necrotizing acute [...] Read more.
During pregnancy and in the postpartum period, several diseases may arise or become exacerbated. Acute pancreatitis incidence during pregnancy is similar to the general population but increases in the first two years after delivery. This case report describes the evolution of necrotizing acute pancreatitis in a 30-year-old woman five months postpartum, with an atypical debut of acute pancreatitis, where the high levels of triglycerides caused by hormonal changes in the late postpartum period overlapped with an underlying hyperlipemia. Despite aggressive, multidisciplinary care, including surgical necrosectomy, continuous renal replacement therapy (CRRT), protective ventilation, and venovenous extracorporeal membrane oxygenation (VV-ECMO), the prognosis was influenced by the hormonal changes both secondary to hypothalamic–pituitary–adrenal dysregulation and the postpartum hormonal changes, leading to an altered inflammatory response, evolution to MODS, ultimately resulting in death. The case highlights the complex interplay between postpartum immune and hormonal changes and the systemic inflammatory response of pancreatitis, emphasizing the critical need for postpartum-specific guidelines in managing acute pancreatitis, particularly regarding early risk stratification in order to prevent this pathology and its complications. Full article
(This article belongs to the Special Issue Critical Issues in Intensive Care Medicine)
Show Figures

Figure 1

Back to TopTop