Sign in to use this feature.

Years

Between: -

Subjects

remove_circle_outline
remove_circle_outline
remove_circle_outline
remove_circle_outline
remove_circle_outline
remove_circle_outline
remove_circle_outline
remove_circle_outline
remove_circle_outline

Journals

remove_circle_outline
remove_circle_outline
remove_circle_outline
remove_circle_outline
remove_circle_outline
remove_circle_outline
remove_circle_outline
remove_circle_outline
remove_circle_outline
remove_circle_outline
remove_circle_outline
remove_circle_outline
remove_circle_outline
remove_circle_outline
remove_circle_outline
remove_circle_outline

Article Types

Countries / Regions

remove_circle_outline
remove_circle_outline
remove_circle_outline
remove_circle_outline
remove_circle_outline
remove_circle_outline

Search Results (2,870)

Search Parameters:
Keywords = CO combustion

Order results
Result details
Results per page
Select all
Export citation of selected articles as:
24 pages, 5376 KB  
Article
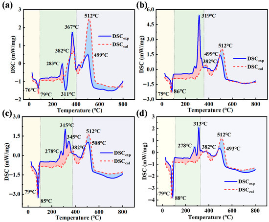
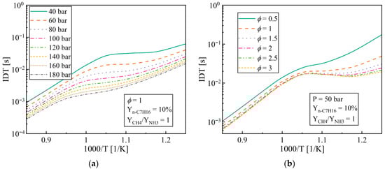
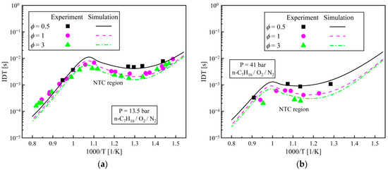
Combustion Reaction Investigation of Marine Engine Mixed Fuel of Methane/Ammonia/Diesel
by Jingmin Rui, Haibin Li, Jing Zhao, Xiuyuan Bai, Ce Zhang, Zhongjie Shi, Dehai Li, Junpeng Xin, Dongsheng Dong and Longlong Jiang
Processes 2026, 14(3), 461; https://doi.org/10.3390/pr14030461 (registering DOI) - 28 Jan 2026
Abstract
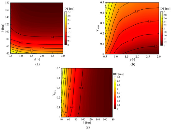
The utilization of low- and zero-carbon fuels in internal combustion engines is gaining increasing interest. In marine engine applications, the co-combustion of methane and ammonia has emerged as a promising strategy for reducing carbon emissions. In this work, a chemical kinetic mechanism for [...] Read more.
The utilization of low- and zero-carbon fuels in internal combustion engines is gaining increasing interest. In marine engine applications, the co-combustion of methane and ammonia has emerged as a promising strategy for reducing carbon emissions. In this work, a chemical kinetic mechanism for n-heptane/methane/ammonia blended fuel was developed and validated. Using this mechanism, sensitivity and chemical kinetic analyses were performed to explore the ignition characteristics of the fuel mixture. The results indicate that at an initial temperature of 1000 K, reaction R152 (C7H15-2 = CH3 + C6H12) exerts the strongest inhibiting effect on ignition. C7H15-2 is a major low-reactivity intermediate generated during n-heptane decomposition, and the accumulation of such intermediates contributes to the negative temperature coefficient (NTC) behavior. A cross-reaction between CH4 and NH3, R111 (CH4 + NH2 = CH3 + NH3), was identified, which impedes the smooth progression of oxidation. Elevated temperatures, oxygen-rich conditions, and higher ammonia blending ratios promote the formation of NO. The production of N2O is primarily governed by reaction R105 (NH + NO = N2O + H), whose rate increases with the NH3 molar fraction. Consumption of N2O occurs mainly via reactions R92 (N2O + H = N2 + OH) and R94 (N2O (+M) = N2 + O (+M)), both of which occur later than its formation through R105, indicating that N2O consumption is more sensitive to temperature. Full article
(This article belongs to the Special Issue Advances in Alternative Fuel Engines and Combustion Technology)
Show Figures

Figure 1

15 pages, 4456 KB  
Article
Interaction Effects and Engineering Applications of Multi-Source Organic Liquid Waste Co-Incineration in Cement Kilns
by Zhanlong Song, Zhongyuan Yang, Xinxin Wei, Fusen Zhang, Yingping Pang, Xujiang Wang, Xiqiang Zhao, Yanpeng Mao and Wenlong Wang
Energies 2026, 19(3), 678; https://doi.org/10.3390/en19030678 (registering DOI) - 28 Jan 2026
Abstract
Efficient and harmless disposal of multi-source organic liquid waste is a key requirement in current environmental protection. Herein, we employ high-temperature tube furnaces, small-scale rotary kilns, and industrial rotary kilns as test platforms, focusing on high-temperature conditions (>1200 °C) in existing industrial kilns. [...] Read more.
Efficient and harmless disposal of multi-source organic liquid waste is a key requirement in current environmental protection. Herein, we employ high-temperature tube furnaces, small-scale rotary kilns, and industrial rotary kilns as test platforms, focusing on high-temperature conditions (>1200 °C) in existing industrial kilns. Systematic studies on combustion characteristics, pollutant emission laws, and disposal adaptability were conducted. We aim to clarify the intrinsic correlations between co-incineration behaviors, pollutant generation, and disposal feasibility for the co-incineration of multi-source organic liquid waste in cement kilns. The results demonstrate significant interaction effects during the co-incineration of multi-source organic liquids, which reduces combustion energy consumption and improves operational safety. The “micro-explosion” effect generated by high-temperature incineration is the key to regulating pollutant emissions, with CO emissions of only 6.71%. Tests on small and industrial rotary kilns indicate that co-disposal of liquid waste in cement kilns does not affect the stable operation of the kiln or the quality of the cement clinker, and pollutant emissions meet industrial standards. This work can provide a scientific basis and technical support for large-scale, efficient, and clean disposal of organic liquid waste in industrial cement kilns. Full article
Show Figures

Figure 1

20 pages, 3087 KB  
Article
Catalytic Combustion Characteristics for Removal of High-Concentration Volatile Organic Compounds (VOCs)
by Tae-Jin Kang, Hyun-Ji Kim, Jieun Lee, Jin-Hee Lee, Hyo-Sik Kim, Jin-Ho Kim, No-Kuk Park, Soo Chool Lee and Suk-Hwan Kang
Atmosphere 2026, 17(2), 137; https://doi.org/10.3390/atmos17020137 - 27 Jan 2026
Abstract
The conventional treatment of high-concentration volatile organic compounds (VOCs) relies on energy-intensive dilution to avoid explosion risks. This study proposes an efficient catalytic combustion process treating VOCs directly within the explosive range while recovering reaction heat using Pt/γ-Al2O3-based catalysts [...] Read more.
The conventional treatment of high-concentration volatile organic compounds (VOCs) relies on energy-intensive dilution to avoid explosion risks. This study proposes an efficient catalytic combustion process treating VOCs directly within the explosive range while recovering reaction heat using Pt/γ-Al2O3-based catalysts promoted with La and Ce. Catalysts (0.05–0.5 wt% Pt) were synthesized via impregnation and characterized using FE-SEM, BET, and XRD. Catalytic combustion experiments at VOC concentrations up to 13,000 ppm showed combustion initiation below 200 °C, achieving 83–99% conversions at 300 °C with complete oxidation to CO2. Although 5 vol.% moisture significantly inhibited low-temperature activity through competitive adsorption, La and Ce promoters (10 wt%) effectively overcame this limitation by increasing surface area (up to 194.93 m2/g) and oxygen mobility. The Ce-promoted catalyst demonstrated superior water tolerance, achieving complete conversion at 200–210 °C due to its high Oxygen Storage Capacity (OSC). Bench-scale validation using a 1 Nm3/h system confirmed industrial feasibility. Operating at 220 °C with 13,000 ppm toluene for 100 h, the catalyst maintained >99.98% conversion with negligible deactivation and THC emissions below 2 ppm. The double-jacket heat exchanger effectively managed reaction heat (limiting temperature rise to ~20 °C) and recovered it as steam. Compared to Regenerative Thermal Oxidation, this Regenerative Catalytic Oxidation approach reduced emissions and energy consumption. This work demonstrates a robust “combustion-with-recovery” strategy for high-concentration VOC treatment, offering a sustainable alternative with high efficiency, stability, and safe energy-integrated operation. Full article
Show Figures

Graphical abstract

30 pages, 3967 KB  
Article
Integrated Evaluation of Ship Performance and Emission Reduction in Solid Oxide Fuel Cell–Based Hybrid Marine Systems
by Ahmed G. Elkafas and Hassan M. Attar
J. Mar. Sci. Eng. 2026, 14(3), 255; https://doi.org/10.3390/jmse14030255 - 26 Jan 2026
Viewed by 39
Abstract
This study presents a first-of-its-kind investigation into retrofitting domestic vessels with a novel hybrid system integrating a Solid Oxide Fuel Cell (SOFC) and an Internal Combustion Engine (ICE). Using a Lake Ferry and an Island Ferry as case studies, three power-sharing scenarios (10–20% [...] Read more.
This study presents a first-of-its-kind investigation into retrofitting domestic vessels with a novel hybrid system integrating a Solid Oxide Fuel Cell (SOFC) and an Internal Combustion Engine (ICE). Using a Lake Ferry and an Island Ferry as case studies, three power-sharing scenarios (10–20% SOFC contribution) were examined for cruise and port operations. The results show that increasing the SOFC power share enhances overall system efficiency, reducing daily fuel energy consumption by up to 9% while achieving SOFC efficiencies of 58–60% in port. The design analysis confirms the physical retrofit feasibility for both vessels, with all scenarios occupying 72–92% of available machinery space. However, increasing the SOFC share from 10% to 15–20% raised total system weight by 10–20% and volume by 12–27%. Economically, the system demonstrates strong viability for high-utilization vessels, with Levelized Cost of Energy (LCOE) values of 236–248 EUR/MWh, while the sensitivity analysis highlights the SOFC capital cost as the dominant economic driver. Environmentally, the hybrid system achieves annual CO2 reductions of 46–51% and NOx reductions of 51–62% compared to conventional diesel systems, with zero NOx emissions in port. The SOFC-ICE hybrid system proves to be a robust transitional pathway for maritime decarbonization, particularly for vessels with significant port-side operating hours. Full article
(This article belongs to the Special Issue Ship Performance and Emission Prediction)
Show Figures

Figure 1

22 pages, 3421 KB  
Article
Design, Simulation, and Manufacture of a Detector for High Concentrations of C3H8 Gas Based on the Electrical Response of the CoSb2O6 Oxide: A Prospectus for Industrial Safety
by Alex Guillen Bonilla, José Trinidad Guillen Bonilla, Héctor Guillen Bonilla, Lucia Ivonne Juárez Amador, Juan Carlos Estrada Gutiérrez, Antonio Casillas Zamora, Maricela Jiménez Rodríguez and María Eugenia Sánchez Morales
Technologies 2026, 14(2), 80; https://doi.org/10.3390/technologies14020080 - 26 Jan 2026
Viewed by 25
Abstract
In industrial combustion processes, high concentrations of propane (C3H8) gas are employed. Therefore, developing gas-detecting devices that operate under high concentrations, elevated temperatures, and short response times is crucial. This paper presents the design, simulation, and construction of a [...] Read more.
In industrial combustion processes, high concentrations of propane (C3H8) gas are employed. Therefore, developing gas-detecting devices that operate under high concentrations, elevated temperatures, and short response times is crucial. This paper presents the design, simulation, and construction of a novel propane (C3H8) gas detector. The design was based on the dynamic electrical response of a gas sensor fabricated with cobalt antimoniate (CoSb2O6). The simulation considered the device structure and programming criteria, and the final prototype was constructed according to the sensor response, design parameters, and operating principles. Design, simulation, and fabrication results were in concordance, confirming the correct operation of the detector at high gas concentrations. A mathematical model was derived from the sensor’s electrical response, establishing a resistance value that allowed a two-second response time. This resistance was used to adapt the signal between the gas sensor and the PIC18F2550 microcontroller. Input/output signals, safety criteria, and functionality principles were considered in the programming device. The resulting propane (C3H8) gas detector operates at 300 °C, detects high C3H8 concentrations, and achieves a 2 s response time, making it ideal for industrial applications where combustion monitoring is essential. Full article
(This article belongs to the Section Manufacturing Technology)
Show Figures

Figure 1

25 pages, 2254 KB  
Perspective
Perspectives on Cleaner-Pulverized Coal Combustion: The Evolving Role of Combustion Modifiers and Biomass Co-Firing
by Sylwia Włodarczak, Andżelika Krupińska, Zdzisław Bielecki, Marcin Odziomek, Tomasz Hardy, Mateusz Tymoszuk, Marek Pronobis, Paweł Lewiński, Jakub Sobieraj, Dariusz Choiński, Magdalena Matuszak and Marek Ochowiak
Energies 2026, 19(3), 633; https://doi.org/10.3390/en19030633 - 26 Jan 2026
Viewed by 41
Abstract
The article presents an extensive review of modern technological solutions for pulverized coal combustion, with emphasis on combustion modifiers and biomass co-firing. It highlights the role of coal in the national energy system and the need for its sustainable use in the context [...] Read more.
The article presents an extensive review of modern technological solutions for pulverized coal combustion, with emphasis on combustion modifiers and biomass co-firing. It highlights the role of coal in the national energy system and the need for its sustainable use in the context of energy transition. The pulverized coal combustion process is described, along with factors influencing its efficiency, and a classification of modifiers that improve combustion parameters. Both natural and synthetic modifiers are analyzed, including their mechanisms of action, application examples, and catalytic effects. Special attention is given to the synergy between transition metal compounds (Fe, Cu, Mn, Ce) and alkaline earth oxides (Ca, Mg), which enhances energy efficiency, flame stability, and reduces emissions of CO, SO2, and NOx. The article also examines biomass-coal co-firing as a technology supporting energy sector decarbonization. Co-firing reduces greenhouse gas emissions and increases the reactivity of fuel blends. The influence of biomass type, its share in the mixture, and processing methods on combustion parameters is discussed. Finally, the paper identifies directions for further technological development, including nanocomposite combustion modifiers and intelligent catalysts integrating sorption and redox functions. These innovations offer promising potential for improving energy efficiency and reducing the environmental impact of coal-fired power generation. Full article
(This article belongs to the Section I2: Energy and Combustion Science)
Show Figures

Figure 1

34 pages, 7114 KB  
Article
CFD Analysis of Equivalence Ratio Effects on Combustion and Emissions in a Methanol–Diesel Dual-Fuel Marine Engine
by Van Chien Pham, Van Vang Le, Jae-Hyuk Choi and Won-Ju Lee
Energies 2026, 19(3), 626; https://doi.org/10.3390/en19030626 - 25 Jan 2026
Viewed by 201
Abstract
Methanol is a promising alternative marine fuel due to its favorable combustion characteristics and potential to reduce exhaust emissions under increasingly stringent International Maritime Organization (IMO) regulations. This study presents a three-dimensional computational fluid dynamics (CFD) analysis of a four-stroke, medium-speed marine engine [...] Read more.
Methanol is a promising alternative marine fuel due to its favorable combustion characteristics and potential to reduce exhaust emissions under increasingly stringent International Maritime Organization (IMO) regulations. This study presents a three-dimensional computational fluid dynamics (CFD) analysis of a four-stroke, medium-speed marine engine operating in methanol–diesel dual-fuel (DF) mode. Simulations were performed using AVL FIRE for a MAN B&W 6H35DF engine, covering the in-cylinder process from intake valve closing to exhaust valve opening. Nine operating cases were investigated, including seven methanol–diesel DF cases with equivalence ratios (Φ) from 0.18 to 0.30, one methane–diesel DF case (Φ = 0.22), and one pure diesel baseline. A power-matched condition (IMEP ≈ 20 bar) enabled consistent comparison among fueling strategies. The results show that methanol–diesel DF operation reduces peak in-cylinder pressure, heat-release rate, turbulent kinetic energy, and wall heat losses compared with diesel operation. At low to moderate Φ, methanol DF combustion significantly suppresses nitric oxide (NO), soot, and carbon monoxide (CO emissions), while carbon dioxide (CO2) emissions increase with Φ and approach diesel levels under power-matched conditions. These results highlight methanol’s potential as a viable low-carbon fuel for marine engines. Full article
(This article belongs to the Section I2: Energy and Combustion Science)
Show Figures

Figure 1

19 pages, 883 KB  
Article
Smokers, a Way of Harnessing Broadleaf Wood as a Non-Standard Biofuel
by Alessio Ilari, Davide Di Giacinto, Ester Foppa Pedretti, Daniele Duca, Elena Leoni, Thomas Gasperini, Lucia Olivi and Kofi Armah Boakye-Yiadom
Appl. Sci. 2026, 16(3), 1200; https://doi.org/10.3390/app16031200 - 23 Jan 2026
Viewed by 137
Abstract
Residential barbecuing is becoming increasingly popular worldwide, especially in cities, where it is not only a leisure activity but also an important social and cultural practice. Consequently, the number of grills and smokers in use continues to grow. This study evaluated the environmental [...] Read more.
Residential barbecuing is becoming increasingly popular worldwide, especially in cities, where it is not only a leisure activity but also an important social and cultural practice. Consequently, the number of grills and smokers in use continues to grow. This study evaluated the environmental performance of a household wood-pellet barbecue dual-function smoker/grill using a life cycle assessment (LCA) approach. The functional units selected were per cooking time (1 h) and per unit of energy delivered (1 kWh) at different cooking settings on the smoker. The results show that most of the impacts, including global warming potential (GWP) and resource use, originate from the production of the smoker itself, whereas emissions released during combustion, especially NOx, are the main contributors to impacts such as acidification and smog formation. The GWP per hour of operation ranged from 0.44 to 0.63 kg CO2 eq. From an operational perspective, cooking at intermediate temperatures (between 110 and 175 °C) generally leads to lower impacts per hour than very low-temperature smoking. When considering entire meals, meat typically accounts for most of the total impact, with the smoker’s contribution comparatively small. Overall, the study provides a useful reference and shows that both equipment design and food choices play a role in barbecue sustainability. Full article
(This article belongs to the Special Issue Innovative Engineering Technologies for the Agri-Food Sector)
16 pages, 4905 KB  
Article
Numerical Simulation Study on Interaction and Burnout Characteristics of Coal Blending Combustion in a 200 MW Tangential Firing Boiler Under O2/CO2 Atmosphere
by Kang Bie, Lun Ma, Zetao Ma and Jie Shu
Sustainability 2026, 18(3), 1183; https://doi.org/10.3390/su18031183 - 23 Jan 2026
Viewed by 115
Abstract
A numerical simulation is conducted to investigate the interaction and burnout characteristics of mixed coal under O2/CO2 atmosphere in a 200 MW tangential firing boiler. Multiple models are utilized to simulate the flow and combustion processes inside the furnace, and [...] Read more.
A numerical simulation is conducted to investigate the interaction and burnout characteristics of mixed coal under O2/CO2 atmosphere in a 200 MW tangential firing boiler. Multiple models are utilized to simulate the flow and combustion processes inside the furnace, and a three-dimensional full-furnace model is constructed using an improved Weighted-Sum-of-Gray-Gases (WSGG) model. Using two types of coal and their mixed coal, the combustion of mixed coal under four O2/CO2 atmospheres is examined. Results show that there exists a significant interactive effect of promoting ignition and inhibiting burnout between difficult-to-ignite coal and easy-to-ignite coal. Increasing the proportion of easy-to-ignite coal helps improve the ignition performance of mixed coal. With a high proportion of easy-to-ignite coal, the oxygen-grabbing ability is enhanced. Increasing the inlet oxygen concentration can facilitate coal ignition and effectively enhance the burnout rate of difficult-to-ignite coal, mitigating the adverse effects of burnout inhibition. Among five typical oxidant-stream distribution methods, the positive pagoda oxidant-stream distribution can satisfy the combustion requirements of each layer, achieve relatively high burnout rates for difficult-to-ignite coal and mixed coal, and demonstrate the optimal comprehensive combustion performance. The findings can provide valuable references for optimizing oxygen-enriched combustion in boilers, thereby promoting the sustainability of coal-fired power generation. Full article
Show Figures

Figure 1

23 pages, 4719 KB  
Article
Numerical Study on the Combustion Process of the First Cycle of Diesel Engine Start-Up Based on Target Torque Control
by Yingshu Liu, Degang Li, Miao Yang, Hao Zhang, Liang Guo, Dawei Qu, Yun Zhang and Xuedong Lin
Energies 2026, 19(3), 595; https://doi.org/10.3390/en19030595 - 23 Jan 2026
Viewed by 86
Abstract
During the diesel engine start-up phase, low rotational speed and coolant temperature result in poor fuel atomization and prolonged ignition delay. This impedes the in-cylinder combustion process and directly impacts the engine’s emission performance. As the first combustion cycle during the starting process, [...] Read more.
During the diesel engine start-up phase, low rotational speed and coolant temperature result in poor fuel atomization and prolonged ignition delay. This impedes the in-cylinder combustion process and directly impacts the engine’s emission performance. As the first combustion cycle during the starting process, the initial starting cycle significantly influences subsequent combustion cycles and overall starting performance. This paper proposes a target-torque-based control strategy for fuel injection quantity during the starting process. It optimally determines the target acceleration curve for the starting process, thereby calculating the optimal fuel injection quantity for the initial starting cycle. Based on this, a combustion system simulation model of the diesel engine was established using the 3D CFD software AVL FIRE v2010. The simulation investigated the impact of first injection speed on the combustion process and performance of the first firing cycle under different ambient temperatures: normal temperature (20 °C), low temperature (5 °C), and cold start (−10 °C). The results indicate that the optimal first cycle injection quantities under normal, low, and cold start conditions are 17.3 mg, 18.5 mg, and 20.4 mg, respectively. The impact of first injection speed on the first firing cycle combustion process primarily manifests in the mixture formation rate and time, and higher speeds do not necessarily yield better results. The optimal first injection speeds at normal temperature (20 °C), low temperature (5 °C), and cold start (−10 °C) were 220 r/min, 240 r/min, and 220 r/min, respectively. Corresponding indicated thermal efficiencies were 30.74%, 28.67%, and 28.7%, with relatively low emissions of pollutants such as CO, NOx, and HC. Full article
(This article belongs to the Section I2: Energy and Combustion Science)
Show Figures

Figure 1

13 pages, 1671 KB  
Article
Experimental Study of Hydrogen Combustion and Emissions for a Self-Developed Microturbine
by István Péter Kondor
Energies 2026, 19(3), 577; https://doi.org/10.3390/en19030577 - 23 Jan 2026
Viewed by 99
Abstract
This paper presents an experimental investigation of hydrogen enrichment effects on combustion behavior and exhaust emissions in a self-developed micro gas turbine fueled with a propane–butane mixture. Hydrogen was blended with the base fuel in volume fractions of 0–30%, and combustion was examined [...] Read more.
This paper presents an experimental investigation of hydrogen enrichment effects on combustion behavior and exhaust emissions in a self-developed micro gas turbine fueled with a propane–butane mixture. Hydrogen was blended with the base fuel in volume fractions of 0–30%, and combustion was examined under unloaded operating conditions at three global equivalence ratios (ϕ = 0.7, 1.1, and 1.3). The global equivalence ratio (ϕ) is defined as the ratio of the actual fuel–air ratio to the corresponding stoichiometric fuel–air ratio, with ϕ < 1 representing lean, ϕ = 1 stoichiometric, and ϕ > 1 fuel-rich operating conditions. The micro gas turbine is based on an automotive turbocharger coupled with a custom-designed counterflow combustion chamber developed specifically for alternative gaseous fuel research. Exhaust gas emissions of CO, CO2, and NOx were measured using a laboratory-grade FTIR analyzer (Horiba Mexa FTIR Horiba Ltd., Kyoto, Japan), while combustion chamber temperature was monitored with thermocouples. The results show that hydrogen addition significantly influences flame stability, combustion temperature, and emission characteristics. Increasing the hydrogen fraction led to a pronounced reduction in CO emissions across all equivalence ratios, indicating enhanced oxidation kinetics and improved combustion completeness. CO2 concentrations decreased monotonically with hydrogen enrichment due to the reduced carbon content of the blended fuel and the shift of combustion products toward higher H2O fractions. In contrast, NOx emissions increased with increasing hydrogen content for all tested equivalence ratios, which is attributed to elevated local flame temperatures, enhanced reaction rates, and the formation of locally near-stoichiometric zones in the compact combustor. A slight reduction in NOx at low hydrogen fractions was observed under near-stoichiometric conditions, suggesting a temporary shift toward a more distributed combustion regime. Overall, the findings demonstrate that hydrogen–propane–butane blends can be stably combusted in a micro gas turbine without major operational issues under unloaded conditions. While hydrogen addition offers clear benefits in terms of CO reduction and carbon-related emissions, effective NOx mitigation strategies will be essential for future high-hydrogen microturbine applications. Full article
(This article belongs to the Section A5: Hydrogen Energy)
Show Figures

Figure 1

22 pages, 5497 KB  
Article
Numerical Study of Combustion in a Methane–Hydrogen Co-Fired W-Shaped Radiant Tube Burner
by Daun Jeong, Seongbong Ha, Jeongwon Seo, Jinyeol Ahn, Dongkyu Lee, Byeongyun Bae, Jongseo Kwon and Gwang G. Lee
Energies 2026, 19(2), 557; https://doi.org/10.3390/en19020557 - 22 Jan 2026
Viewed by 78
Abstract
Three-dimensional computational fluid dynamics (CFD) simulation was performed using the eddy-dissipation concept coupled with detailed hydrogen oxidation kinetics and a reduced two-step methane mechanism for a newly proposed W-shaped radiant tube burner (RTB). The effects of the hydrogen volume fraction (0–100%) and excess [...] Read more.
Three-dimensional computational fluid dynamics (CFD) simulation was performed using the eddy-dissipation concept coupled with detailed hydrogen oxidation kinetics and a reduced two-step methane mechanism for a newly proposed W-shaped radiant tube burner (RTB). The effects of the hydrogen volume fraction (0–100%) and excess air ratio (0%, 10%, 20%) on the flame morphology, temperature distribution, and NOX emissions are systematically analyzed. The results deliver three main points. First, a flame-shape transformation was identified in which the near-injector flame changes from a triangular attached mode to a splitting mode as the mixture reactivity increases with the transition occurring at a characteristic laminar flame speed window of about 0.33 to 0.36 m/s. Second, NOX shows non-monotonic behavior with dilution, and 10% excess air can produce higher NOX than 0% or 20% because OH radical enhancement locally promotes thermal NO pathways despite partial cooling. Third, a multi-parameter coupling strategy was established showing that hydrogen enrichment raises the maximum gas temperature by roughly 100 to 200 K from 0% to 100% H2, while higher excess air improves axial temperature uniformity and can suppress NOX if over-dilution is avoided. These findings provide a quantitative operating map for balancing stability, uniform heating, and NOX–CO trade-offs in hydrogen-enriched industrial RTBs. Full article
Show Figures

Figure 1

15 pages, 4702 KB  
Article
Alkaline Element Leaching from Fly Ash for Direct CO2 Fixation
by Lingjin Zhu, Yahu Yao, Chuncheng Cai, Rongqiang Qiao, Xilin Ji, Yazhou Zhang, Zhennan Niu, Shengqi Zhou, Yingshuang Zhang, Baiye Li and Zhiyi Zhang
Processes 2026, 14(2), 370; https://doi.org/10.3390/pr14020370 - 21 Jan 2026
Viewed by 96
Abstract
Fly ash (FA), a major by-product of coal combustion, has long been regarded as a challenging industrial solid waste. Its inherent abundance of alkaline-earth oxides positioned it as a promising candidate for CO2 sequestration through mineral carbonation. This study systematically investigated the [...] Read more.
Fly ash (FA), a major by-product of coal combustion, has long been regarded as a challenging industrial solid waste. Its inherent abundance of alkaline-earth oxides positioned it as a promising candidate for CO2 sequestration through mineral carbonation. This study systematically investigated the effects of key operational parameters, including time, stirring rate, ultrasonic treatment, and solid-to-liquid ratio, on the leaching efficiency of calcium ions and subsequent CO2 fixation. Ultrasonic treatment, a solid-to-liquid ratio of 1:7, a stirring speed of 600 rpm, and 7% monoethanolamine (MEA) collectively enhanced the calcium leaching efficiency (χe) to 16.7%, thereby supplying a substantial reservoir of calcium ions for CO2 fixation. Additionally, the CO2 injection into fly ash slurry and the slurry spraying into CO2 gas were investigated to optimize reactor configurations. The latter method demonstrated superior performance, attaining a CO2 fixation efficiency of 7.23%. This corresponds to a carbonation conversion efficiency (ηc) of approximately 44.5%, indicating that nearly half of the leached calcium ions were successfully converted into stable carbonates. Advanced characterization techniques (SEM-EDS, XRD, FTIR) confirmed the formation of stable carbonates and highlighted the role of additives in enhancing reactivity. The environmental benefit of this approach is addressing fly ash wastes and transforming fly ash into a CO2 fixation material. These findings provided critical insights for calcium leaching and CO2 fixation of fly ash. Full article
(This article belongs to the Section Petroleum and Low-Carbon Energy Process Engineering)
Show Figures

Figure 1

10 pages, 4700 KB  
Case Report
Carbon Monoxide Poisoning in Putrefied Corpses: A Difficult Diagnosis
by Francesco Gabrielli, Francesco Calabrò, Lorenzo Franceschetti, Silvio Chericoni and Valentina Bugelli
Forensic Sci. 2026, 6(1), 5; https://doi.org/10.3390/forensicsci6010005 - 21 Jan 2026
Viewed by 104
Abstract
Background. Determining the cause and manner of death in scenes involving multiple and putrified bodies found in the same environment is a real challenge for forensic pathologists. While common scenarios include fires, vehicle crashes, and natural disasters, one of the most common causes [...] Read more.
Background. Determining the cause and manner of death in scenes involving multiple and putrified bodies found in the same environment is a real challenge for forensic pathologists. While common scenarios include fires, vehicle crashes, and natural disasters, one of the most common causes is drug intoxication or poisoning, and the scene must be carefully evaluated based on circumstantial evidence. Carbon monoxide (CO) (also called “the silent killer”) remains one of the leading agents capable of producing simultaneous fatalities. In multi-body scenes, distinguishing between homicide–suicide, double suicide, and accidental deaths adds further complexity. The aim of this study is to highlight the limitations of toxicological and pathological investigations in advanced putrefaction and to emphasize the role of scene investigation in the interpretation of suspected CO-related deaths. Methods. The authors report a case of suspected CO intoxication involving two bodies in an advanced stage of decomposition recovered from the same room. The scene investigation, coupled with the presence of a malfunctioning combustion source, raised suspicion of CO exposure; however, analytical interpretation was severely constrained by the altered condition of biological samples. Results. Advanced decomposition magnifies these challenges. Putrefactive changes can mimic traumatic injuries, hide hypostasis, and compromise both macroscopic and microscopic evaluations due to autolysis and gas formation. Toxicological investigations are frequently hindered by the degradation or absence of key biological matrices such as blood, cavity fluids, or vitreous humor, rendering carboxyhaemoglobin quantification unreliable or impossible. These limitations may lead to incorrect medico-legal conclusions. Conclusions. Determining the cause and manner of death in complex multi-body scenes requires careful evaluation of circumstantial evidence and scene investigation, particularly when advanced decomposition compromises biological analyses and toxicological interpretation. Full article
Show Figures

Figure 1

17 pages, 1796 KB  
Article
Ultrasonic–Laser Hybrid Treatment for Cleaning Gasoline Engine Exhaust: An Experimental Study
by Bauyrzhan Sarsembekov, Madi Issabayev, Nursultan Zharkenov, Altynbek Kaukarov, Isatai Utebayev, Akhmet Murzagaliyev and Baurzhan Zhamanbayev
Vehicles 2026, 8(1), 22; https://doi.org/10.3390/vehicles8010022 - 20 Jan 2026
Viewed by 251
Abstract
Vehicle exhaust gases remain one of the key sources of atmospheric air pollution and pose a serious threat to ecosystems and public health. This study presents an experimental investigation into reducing the toxicity of gasoline internal combustion engine exhaust using ultrasonic waves and [...] Read more.
Vehicle exhaust gases remain one of the key sources of atmospheric air pollution and pose a serious threat to ecosystems and public health. This study presents an experimental investigation into reducing the toxicity of gasoline internal combustion engine exhaust using ultrasonic waves and infrared (IR) laser exposure. An original hybrid system integrating an ultrasonic emitter and an IR laser module was developed. Four operating modes were examined: no treatment, ultrasound only, laser only, and combined ultrasound–laser treatment. The concentrations of CH, CO, CO2, and O2, as well as exhaust gas temperature, were measured at idle and under operating engine speeds. The experimental results show that ultrasound provides a substantial reduction in CO concentration (up to 40%), while IR laser exposure effectively decreases unburned hydrocarbons CH (by 35–40%). The combined treatment produces a synergistic effect, reducing CH and CO by 38% and 43%, respectively, while increasing the CO2 fraction and decreasing O2 content, indicating more complete post-oxidation of combustion products. The underlying physical mechanisms responsible for the purification were identified as acoustic coagulation of particulates, oxidation, and photodissociation of harmful molecules. The findings support the hypothesis that combined ultrasonic and laser treatment can enhance real-time exhaust gas purification efficiency. It is demonstrated that physical treatment of the gas phase not only lowers the persistence of by-products but also promotes more complete oxidation processes within the flow. Full article
(This article belongs to the Special Issue Intelligent Mobility and Sustainable Automotive Technologies)
Show Figures

Figure 1

Back to TopTop