Sign in to use this feature.

Years

Between: -

Subjects

remove_circle_outline
remove_circle_outline
remove_circle_outline
remove_circle_outline
remove_circle_outline
remove_circle_outline
remove_circle_outline
remove_circle_outline
remove_circle_outline

Journals

Article Types

Countries / Regions

Search Results (42)

Search Parameters:
Keywords = CKDu

Order results
Result details
Results per page
Select all
Export citation of selected articles as:
21 pages, 1135 KB  
Article
Measuring Environmental Chemical Burden with Wristbands: Implications for Kidney Health Among Women in Rural Guatemala
by Jaime Butler-Dawson, Grant Erlandson, Diana Jaramillo, Karely Villarreal Hernandez, Laura Calvimontes, Lyndsay Krisher, Miranda Dally, Stephen Brindley, Daniel Pilloni, Alex Cruz, Alison K. Bauer, Richard J. Johnson, Lee S. Newman, Joshua Schaeffer, John L. Adgate, Kim A. Anderson and Katherine A. James
Toxics 2025, 13(9), 761; https://doi.org/10.3390/toxics13090761 - 8 Sep 2025
Viewed by 525
Abstract
Chronic kidney disease of unknown origin (CKDu) is a public health concern, particularly in agricultural communities, with multiple environmental exposures hypothesized as potential contributors. This study employed a targeted exposure assessment using personal silicone wristbands to characterize chemical exposures among women living and [...] Read more.
Chronic kidney disease of unknown origin (CKDu) is a public health concern, particularly in agricultural communities, with multiple environmental exposures hypothesized as potential contributors. This study employed a targeted exposure assessment using personal silicone wristbands to characterize chemical exposures among women living and working in CKDu-affected regions of Guatemala. Participants wore wristbands for seven days, passively sampling air and dermal exposures. Overall, 45 wristbands were collected from 37 female participants (19 sugarcane workers and 18 community members). Of the 1530 chemicals measured using a single semi-quantitative method, 103 were detected, with an average of 27 chemicals per wristband (range: 16–40). Polycyclic aromatic hydrocarbon (PAH) levels were higher in community members’ wristbands, whereas workers exhibited higher exposure to pesticides (i.e., pendimethalin and fipronil). Workers had worse kidney function compared to community members, with almost half of the workers having an estimated glomerular filtration rate, eGFR, <90 mL/min/1.73 m2. Correlations were observed between kidney function markers and specific chemicals, with the strongest correlation between albumin-to-creatinine ratio and pyrene levels (ρ = 0.57, p < 0.01) among workers. Women in agricultural regions of Guatemala experience widespread exposure to diverse environmental chemicals, some of which may contribute to kidney function decline. Full article
Show Figures

Figure 1

18 pages, 5815 KB  
Article
Novel Lipid Biomarkers of Chronic Kidney Disease of Unknown Etiology Based on Urinary Small Extracellular Vesicles: A Pilot Study of Sugar Cane Workers
by Jie Zhou, Kevin J. Kroll, Jaime Butler-Dawson, Lyndsay Krisher, Abdel A. Alli, Chris Vulpe and Nancy D. Denslow
Metabolites 2025, 15(8), 523; https://doi.org/10.3390/metabo15080523 - 2 Aug 2025
Viewed by 786
Abstract
Background/Objectives: Chronic kidney disease of unknown etiology (CKDu) disproportionately affects young male agricultural workers who are otherwise healthy. There is a scarcity of biomarkers for early detection of this type of kidney disease. We hypothesized that small extracellular vesicles (sEVs) released into urine [...] Read more.
Background/Objectives: Chronic kidney disease of unknown etiology (CKDu) disproportionately affects young male agricultural workers who are otherwise healthy. There is a scarcity of biomarkers for early detection of this type of kidney disease. We hypothesized that small extracellular vesicles (sEVs) released into urine may provide novel biomarkers. Methods: We obtained two urine samples at the start and the end of a workday in the fields from a limited set of workers with and without kidney impairment. Isolated sEVs were characterized for size, surface marker expression, and purity and, subsequently, their lipid composition was determined by mass spectrometry. Results: The number of particles per ml of urine normalized to osmolality and the size variance were larger in workers with possible CKDu than in control workers. Surface markers CD9, CD63, and CD81 are characteristic of sEVs and a second set of surface markers suggested the kidney as the origin. Differential expression of CD25 and CD45 suggested early inflammation in CKDu workers. Of the twenty-one lipids differentially expressed, several were bioactive, suggesting that they may have essential functions. Remarkably, fourteen of the lipids showed intermediate expression values in sEVs from healthy individuals with acute creatinine increases after a day of work. Conclusions: We identified twenty-one possible lipid biomarkers in sEVs isolated from urine that may be able to distinguish agricultural workers with early onset of CKDu. Differentially expressed surface proteins in these sEVs suggested early-stage inflammation. This pilot study was limited in the number of workers evaluated, but the approach should be further evaluated in a larger population. Full article
Show Figures

Graphical abstract

14 pages, 1362 KB  
Article
Distinctive Patterns of Trace Elements in Chronic Kidney Disease of Uncertain Etiology: Comparative Analysis Across Multiple Control Groups
by Buddhi N. T. Fernando, Nishantha Nanayakkara, Rohana Chandrajith, Hemalika T. K. Abeysundara and Dulanjali Herath
Kidney Dial. 2025, 5(1), 11; https://doi.org/10.3390/kidneydial5010011 - 19 Mar 2025
Viewed by 711
Abstract
Chronic kidney disease of uncertain etiology (CKDu) has emerged with growing evidence linking it to environmental exposures. This case–control study aimed to evaluate serum and urine trace elements (TEs) in CKDu patients, comparing them with those from control groups from endemic and non-endemic [...] Read more.
Chronic kidney disease of uncertain etiology (CKDu) has emerged with growing evidence linking it to environmental exposures. This case–control study aimed to evaluate serum and urine trace elements (TEs) in CKDu patients, comparing them with those from control groups from endemic and non-endemic regions. TEs were analyzed in 406 participants (CKDu = 75, endemic CKD (ECKD) = 82, non-endemic CKD (NECKD) = 85, endemic control (EC) = 79, non-endemic control (NEC) = 85 using Inductively Coupled Plasma Mass Spectrometry. Means ± standard deviations were compared via the t-test and categorical variables by the chi-square test. Compared to non-endemic groups, Al, Mn, Ni, Cu, Cd, and Ba in serum and urine were significantly higher in endemic areas. CKDu patients showed elevated serum V, Cr, Zn, As, and U and urinary Cr, Mn, Fe, Co, Ni, and Rb compared to ECKD. Compared to NEC, CKDu patients had higher serum Zn, As, and Ba and urinary Al, Cr, Mn, Fe, Co, Ni, and Cu. Significant increases in serum V, Zn, As, Cd, Ba, and U and urinary V, Cr, Mn, Co, Ni, Rb, and Sr were noted in CKDu vs. NECKD. Elevated serum Al, Cr, Mn, Fe, Co, etc., and urinary Be, V, Zn, Se, etc., were observed in EC vs. CKDu. Urinary TEs positively correlated with eGFR, suggesting tubular dysfunction or prolonged exposure. Serum Se, a known reno-protective TE, was low in CKDu and ECKD. This study highlights that TE levels were high not only due to exposure but also depending on kidney health. Identified group-specific TEs may be causative in CKDu, having adverse health outcomes in some groups while potentially being protective in healthy groups. Full article
Show Figures

Figure 1

26 pages, 2700 KB  
Review
Chronic Kidney Disease of Unknown Etiology: A Global Health Threat in Rural Agricultural Communities—Prevalence, Suspected Causes, Mechanisms, and Prevention Strategies
by Zineb Ben Khadda, Haitam Lahmamsi, Yahya El Karmoudi, Said Ezrari, Laila El Hanafi and Tarik Sqalli Houssaini
Pathophysiology 2024, 31(4), 761-786; https://doi.org/10.3390/pathophysiology31040052 - 9 Dec 2024
Cited by 6 | Viewed by 6774
Abstract
Chronic Kidney Disease of Unknown Etiology (CKDu) is a worldwide hidden health threat that is associated with progressive loss of kidney functions without showing any initial symptoms until reaching end-stage renal failure, eventually leading to death. It is a growing health problem in [...] Read more.
Chronic Kidney Disease of Unknown Etiology (CKDu) is a worldwide hidden health threat that is associated with progressive loss of kidney functions without showing any initial symptoms until reaching end-stage renal failure, eventually leading to death. It is a growing health problem in Asia, Central America, Africa, and the Middle East, with identified hotspots. CKDu disease mainly affects young men in rural farming communities, while its etiology is not related to hypertension, kidney stones, diabetes, or other known causes. The main suspected causal factors are heat-stress, dehydration, exposure to agrochemicals, heavy metals and use of hard water, infections, mycotoxins, nephrotoxic agents, altitude, and genetic factors. This review gives an overview of CKDu and sheds light on its medical history, geographic distribution, and worldwide prevalence. It also summarizes the suspected causal factors, their proposed mechanisms of action, as well as the main methods used in the CKDu prior detection and surveillance. In addition, mitigation measures to reduce the burden of CKDu are also discussed. Further investigation utilizing more robust study designs would provide a better understanding of the risk factors linked to CKDu and their comparison between affected regions. Full article
Show Figures

Figure 1

23 pages, 4462 KB  
Article
Synergic Origin and Evolution of TDS, Mg and Fluoride in Groundwater as Relative to Chronic Kidney Disease of Unknown Etiology (CKDu) in Sri Lanka
by K. S. G. S. Priyadarshanee, Zhonghe Pang, E. A. N. V. Edirisinghe, H. M. T. G. A. Pitawala, J. D. C. Gunasekara, W. M. G. S. Wijesooriya, Yinlei Hao, Yifan Bao and Jiao Tian
Water 2024, 16(11), 1606; https://doi.org/10.3390/w16111606 - 4 Jun 2024
Cited by 2 | Viewed by 2108
Abstract
The rural population in the Dry Zone of Sri Lanka is largely affected by Chronic Kidney Disease of Unknown etiology (CKDu). According to the multidisciplinary research carried out so far, quality of groundwater is considered one of the possible causative factors for CKDu. [...] Read more.
The rural population in the Dry Zone of Sri Lanka is largely affected by Chronic Kidney Disease of Unknown etiology (CKDu). According to the multidisciplinary research carried out so far, quality of groundwater is considered one of the possible causative factors for CKDu. Therefore, assessment of the quality of groundwater being used for drinking and its evolution mechanism is the key to identifying the linkage between CKDu and drinking water. This study aimed to perform a detailed investigation on groundwater sources using isotopic, chemical, and hydrogeological methods in the CKDu-endemic (site A) and the control area (sedimentary formation—site B) in the Malwathu Oya basin and the control areas in the Malala Oya basin (site C) selected for a systematic comparison. Our investigation shows that elevated levels of TDS, magnesium, and fluoride in the shallow groundwater affected by climatic, geochemical, and hydrogeological processes may contribute to the CKDu in the Dry Zone of Sri Lanka. All the groundwater samples analysed have exceeded the hardness threshold. Prominent Mg hardness proportion together with excess F in the CKDu endemic area may produce nephrotoxic MgF2 complexes that may trigger renal damage. In contrast, NaF complexes in the CKDu control area leads to reduction of F toxicity in the human body. Elevated F and Mg2+ are found in site A, low F and high Mg2+ in site B, and either combinations of low F and low Mg2+, high F and low Mg2+, or low F with high Mg2+ in site C. TDS, hardness, Mg2+, Na+, and F are formed with different mechanisms in the three selected areas. The primary process that regulates the evolution of groundwater types and contents in sites A and C is the weathering of silicates. Similarly, in site A, carbonate dissolution and reverse ion exchange are quite strong. Cation exchange and evaporite dissolution are more pronounced in site C. Shallow groundwaters are evapo-concentrated, hence their quality deteriorates more significantly than the deep groundwater in the CKDu endemic area. Dilution decreases the ion content in site A while evaporite dissolution increases it in site C after the rainy season. Evaporation and seawater mixing affect the quality of groundwater in site B. It is also found that a statistically significant difference exists in the F/Na+, F/Mg2+, and F/Ca2+ between the endemic and control areas. Intensive rock weathering combined with desorption has added excess F to the groundwater in site A, while cation exchange and fluorite dissolution are contributing factors in site C. Full article
(This article belongs to the Topic Advances in Hydrogeological Research)
Show Figures

Figure 1

15 pages, 5593 KB  
Perspective
Chronic Tubulointerstitial Nephropathy of Agricultural Communities
by Sourabh Sharma, Neha Sharma, Urmila Anandh and Swarnalata Gowrishankar
Kidney Dial. 2023, 3(2), 229-243; https://doi.org/10.3390/kidneydial3020021 - 2 Jun 2023
Cited by 1 | Viewed by 3158
Abstract
Chronic interstitial nephritis in agricultural communities is an emerging public health concern affecting numerous agricultural communities in tropical countries, including regions in India, with a significant impact on the health and well-being of affected individuals. The affected individuals suffer from various psychosocial, nutritional, [...] Read more.
Chronic interstitial nephritis in agricultural communities is an emerging public health concern affecting numerous agricultural communities in tropical countries, including regions in India, with a significant impact on the health and well-being of affected individuals. The affected individuals suffer from various psychosocial, nutritional, and metabolic challenges due to organ failure, which affects their quality of life. The etiology remains poorly understood, and various risk factors, which include various environmental and occupational hazards, have been implicated in its development. The recent discovery of lysosomal proximal tubulopathy has reignited interest in its pathogenesis. Along with the representative feature of chronic interstitial nephritis, changes suggestive of tubular injury have also been reported. It is suggested to use the term “chronic tubulointerstitial nephropathy of agricultural community” instead of chronic interstitial nephritis of the agricultural communities. Chronic tubulointerstitial nephropathy in agricultural communities is a slowly progressive disease that initially does not cause any symptoms in patients and most patients have a delayed onset of symptoms. Several diagnostic criteria have been introduced over the past years and one introduced by the Ministry of Health of Sri Lanka is widely used. The management of this chronic illness is no different from other causes of chronic interstitial nephritis and our focus should be on implementing various preventive strategies to reduce its incidence in agricultural communities and protect the health and well-being of agricultural workers. By disseminating knowledge about chronic tubulointerstitial nephropathy in agricultural communities, we can contribute to the development of evidence-based interventions to reduce the burden of the disease on affected communities. Moreover, we would like to sensitize physicians to this entity to increase awareness and identify potential endemic areas in various agricultural communities. Full article
Show Figures

Figure 1

11 pages, 356 KB  
Article
Association between the Polymorphisms rs2070744, 4b/a and rs1799983 of the NOS3 Gene with Chronic Kidney Disease of Uncertain or Non-Traditional Etiology in Mexican Patients
by Alejandro Marín-Medina, José Juan Gómez-Ramos, Norberto Mendoza-Morales and Luis Eduardo Figuera-Villanueva
Medicina 2023, 59(5), 829; https://doi.org/10.3390/medicina59050829 - 24 Apr 2023
Cited by 2 | Viewed by 2861
Abstract
Background and Objectives: Chronic Kidney Disease of uncertain or non-traditional etiology (CKDnT) is a form of chronic kidney disease of undetermined etiology (CKDu) and is not associated with traditional risk factors. The aim of this study was to investigate the association of [...] Read more.
Background and Objectives: Chronic Kidney Disease of uncertain or non-traditional etiology (CKDnT) is a form of chronic kidney disease of undetermined etiology (CKDu) and is not associated with traditional risk factors. The aim of this study was to investigate the association of polymorphisms rs2070744, 4b/a and rs1799983 of the NOS3 gene with CKDnT in Mexican patients. Materials and Methods: We included 105 patients with CKDnT and 90 controls. Genotyping was performed by PCR-RFLP’s, genotypic and allelic frequencies were determined and compared between the two groups using χ2 analysis, and differences were expressed as odd ratios with 95% confidence intervals (CI). Values of p < 0.05 were considered statistically significant. Results: Overall, 80% of patients were male. The rs1799983 polymorphism in NOS3 was found to be associated with CKDnT in the Mexican population (p = 0.006) (OR = 0.397; 95% CI, 0.192–0.817) under a dominant model. The genotype frequency was significantly different between the CKDnT and control groups (χ2 = 8.298, p = 0.016). Conclusions: The results of this study indicate that there is an association between the rs2070744 polymorphism and CKDnT in the Mexican population. This polymorphism can play an important role in the pathophysiology of CKDnT whenever there is previous endothelial dysfunction. Full article
(This article belongs to the Special Issue Chronic Kidney Disease and Mineral Bone Disorders)
17 pages, 506 KB  
Review
Advances in Chronic Kidney Disease in Africa
by Brian L. Rayner, Erika S. W. Jones, Bianca Davidson and Nicola Wearne
Appl. Sci. 2023, 13(8), 4924; https://doi.org/10.3390/app13084924 - 14 Apr 2023
Cited by 10 | Viewed by 10265
Abstract
Africa, particularly sub-Sharan Africa (SSA), faces major challenges in respect to chronic kidney disease (CKD). There is a rising prevalence due to the combined effects of hypertension, diabetes, and human immunodeficiency virus (HIV) (and the interaction between them) and the effect of apolipoprotein [...] Read more.
Africa, particularly sub-Sharan Africa (SSA), faces major challenges in respect to chronic kidney disease (CKD). There is a rising prevalence due to the combined effects of hypertension, diabetes, and human immunodeficiency virus (HIV) (and the interaction between them) and the effect of apolipoprotein L1 (APOL1) variants on the susceptibility to CKD. Epidemiological data on the prevalence of CKD are of low-to-medium quality, and reliable data are urgently needed for health planning. Furthermore, there are important deficiencies in creatinine-based equations in underestimating the prevalence of CKD in Africa, and evidence suggests that cystatin C based equations are more reliable. There is a changing spectrum of HIV related CKD with the greater availability of antiretroviral treatment. Major clinical trials using SGLT2 inhibitors have signalled a major advance in the treatment of CKD, especially in relation to type 2 diabetes, but the affordability, availability, and relevance to the African population is not established. The importance of the effects of hypertension in pregnancy and pregnancy related acute kidney injury on CKD and the newer concept of CKD of unknown cause (CKDu) are highlighted. Hypertension remains a dominant cause of CKD in Africa, and newer information suggests that the most appropriate treatment to control blood pressure and thus prevent CKD is the combination of either amlodipine plus a thiazide diuretic or angiotensin converting enzyme (ACE) inhibitor. Full article
Show Figures

Figure 1

16 pages, 2971 KB  
Article
Metabolic Features of Increased Gut Permeability, Inflammation, and Altered Energy Metabolism Distinguish Agricultural Workers at Risk for Mesoamerican Nephropathy
by Nathan H. Raines, Dominick A. Leone, Cristina O’Callaghan-Gordo, Oriana Ramirez-Rubio, Juan José Amador, Damaris Lopez Pilarte, Iris S. Delgado, Jessica H. Leibler, Nieves Embade, Rubén Gil-Redondo, Chiara Bruzzone, Maider Bizkarguenaga, Madeleine K. Scammell, Samir M. Parikh, Oscar Millet, Daniel R. Brooks and David J. Friedman
Metabolites 2023, 13(3), 325; https://doi.org/10.3390/metabo13030325 - 22 Feb 2023
Cited by 10 | Viewed by 2671
Abstract
Mesoamerican nephropathy (MeN) is a form of chronic kidney disease found predominantly in young men in Mesoamerica. Strenuous agricultural labor is a consistent risk factor for MeN, but the pathophysiologic mechanism leading to disease is poorly understood. We compared the urine metabolome among [...] Read more.
Mesoamerican nephropathy (MeN) is a form of chronic kidney disease found predominantly in young men in Mesoamerica. Strenuous agricultural labor is a consistent risk factor for MeN, but the pathophysiologic mechanism leading to disease is poorly understood. We compared the urine metabolome among men in Nicaragua engaged in sugarcane harvest and seed cutting (n = 117), a group at high risk for MeN, against three referents: Nicaraguans working less strenuous jobs at the same sugarcane plantations (n = 78); Nicaraguans performing non-agricultural work (n = 102); and agricultural workers in Spain (n = 78). Using proton nuclear magnetic resonance, we identified 136 metabolites among participants. Our non-hypothesis-based approach identified distinguishing urine metabolic features in the high-risk group, revealing increased levels of hippurate and other gut-derived metabolites and decreased metabolites related to central energy metabolism when compared to referent groups. Our complementary hypothesis-based approach, focused on nicotinamide adenine dinucleotide (NAD+) related metabolites, and revealed a higher kynurenate/tryptophan ratio in the high-risk group (p = 0.001), consistent with a heightened inflammatory state. Workers in high-risk occupations are distinguishable by urinary metabolic features that suggest increased gut permeability, inflammation, and altered energy metabolism. Further study is needed to explore the pathophysiologic implications of these findings. Full article
(This article belongs to the Section Endocrinology and Clinical Metabolic Research)
Show Figures

Figure 1

17 pages, 1115 KB  
Review
Factors Associated with Chronic Kidney Disease of Unknown Etiology (CKDu): A Systematic Review
by Swetalina Nayak, Tanveer Rehman, Kripalini Patel, Pujarini Dash, Alice Alice, Srikanta Kanungo, Subrata Kumar Palo and Sanghamitra Pati
Healthcare 2023, 11(4), 551; https://doi.org/10.3390/healthcare11040551 - 13 Feb 2023
Cited by 13 | Viewed by 6523
Abstract
(1) Background: Despite ample research, the factors, specific causes, and pathways associated with chronic kidney disease of unknown etiology (CKDu) remain elusive. Therefore, we performed a systematic review to explore the potential etiologies for the development of CKDu globally. (2) Methods: A systematic [...] Read more.
(1) Background: Despite ample research, the factors, specific causes, and pathways associated with chronic kidney disease of unknown etiology (CKDu) remain elusive. Therefore, we performed a systematic review to explore the potential etiologies for the development of CKDu globally. (2) Methods: A systematic literature review was conducted using databases CINAHL, Cochrane Library, Embase, Google Scholar, MEDLINE, and PsycINFO on the specific causes and pathophysiology related to CKDu from inception until April 2021. Study selection, data extraction of included articles, and quality appraisal were assessed. The narrative approach was used to summarize and comprehend the findings. (3) Results: Our study included 25 studies, considering 38,351 participants. Twelve studies were case–control, ten were cross-sectional, and three were cohort designs. All articles were from low-and middle-income countries (LMICs). The findings suggest 12 factors are associated with CKDu. Most studies (n = 8) identified farming and water sources as the factors related to CKDu, with heavy metal toxicity coming in second (n = 7). (4) Conclusion: The systematic review reported various factors associated with CKDu, from which most studies reported farming, water sources, and heavy metal poisoning. Considering the findings, the study recommends future strategies and public health initiatives to prevent the epidemiological/environmental factors contributing to CKDu. Full article
Show Figures

Figure 1

14 pages, 726 KB  
Article
Prevalence and Geographic Distribution of Self-Reported Chronic Kidney Disease and Potential Risk Factors in Central America
by Erika Figueroa-Solis, David Gimeno Ruiz de Porras, Marianela Rojas-Garbanzo, Lawrence Whitehead, Kai Zhang and George L. Delclos
Int. J. Environ. Res. Public Health 2023, 20(2), 1308; https://doi.org/10.3390/ijerph20021308 - 11 Jan 2023
Cited by 5 | Viewed by 3435
Abstract
Background: Cases for chronic kidney disease of unknown etiology (CKDu) are increasing in specific disease hotspots located in rural agricultural communities over Central America. The goal of the study was to estimate the prevalence and geographic distribution of self-reported work-related CKD and associated [...] Read more.
Background: Cases for chronic kidney disease of unknown etiology (CKDu) are increasing in specific disease hotspots located in rural agricultural communities over Central America. The goal of the study was to estimate the prevalence and geographic distribution of self-reported work-related CKD and associated risk factors for CKDu by industry sector in Central America. Methods: We calculated the prevalence and distribution of self-reported CKD, work-related CKD, and suspected CKDu risk factors among the 9032 workers in the Second Central American Survey of Working Conditions and Health (II ECCTS, 2018). We mapped the distribution of suspected CKDu risk factors to work-related CKDu and weather conditions using average annual temperatures. Results: The primary and secondary industry sectors showed the highest proportion of males, suspected CKDu risk factors, and work-related CKD. Age (30–49 years: OR = 2.38, 95% CI 1.03–5.51), ethnicity (mestizo: OR, 7.44, 95% CI: 2.14–25.82), and exposure to high physical work demands (OR = 2.45, 95% CI: 1.18–5.09) were associated with work-related CKD. The majority of work-related CKD were reported in the western parts of Honduras and Nicaragua, in hot temperature regions, and overlapped with those areas with a high density of CKDu risk factors. Finally, some areas clustered CKDu risk factors without any work-related CKD points, mainly in the western part of Guatemala. Conclusion: Our findings supplement prior CKDu findings regarding a high prevalence of work-related CKD among 30- to 49-year-old mestizo males in the primary and secondary sectors, in hot temperature areas, in the central and western region, and overlapping with persons reporting two or more CKDu risk factors. Moreover, several geographic areas with CKDu risk factor clusters had no reported work-related CKD. These areas represent new industries and sectors to be monitored for possible future increases of CKDu cases. Full article
(This article belongs to the Section Occupational Safety and Health)
Show Figures

Figure 1

12 pages, 1022 KB  
Article
Evaluating Serum RBP4 as an Auxiliary Biomarker for CKDu Diagnosis
by Hannah L. F. Swa, Buddhi N. T. Fernando, Shakila Premarathna, Asfa Alli-Shaik, Zeid Badurdeen, Jayantha Gunarathna and Nishantha Nanayakkara
Kidney Dial. 2022, 2(4), 576-587; https://doi.org/10.3390/kidneydial2040052 - 3 Nov 2022
Cited by 3 | Viewed by 2807
Abstract
Background: A chronic interstitial disease, chronic kidney disease of uncertain etiology (CKDu), has emerged as a notable contributor to the CKD burden in rural Sri Lanka. Most therapeutic and diagnostic approaches to CKD focus on glomerular diseases, and thus are not fully applicable [...] Read more.
Background: A chronic interstitial disease, chronic kidney disease of uncertain etiology (CKDu), has emerged as a notable contributor to the CKD burden in rural Sri Lanka. Most therapeutic and diagnostic approaches to CKD focus on glomerular diseases, and thus are not fully applicable to CKDu. Serum proteins, specifically those with the profile of markers representing different facets of a disease, are beneficial for a comprehensive evaluation of diseases, and hence in CKD. Our aim was to identify the role of serum-retinol-binding protein 4 (RBP4), a marker of the proximal tubule, in the diagnosis of CKDu. Methods: Definite CKDu cases were recruited from the renal clinic in Girandurukotte and Wilgamuwa (endemic regions). Healthy controls were recruited from Mandaramnuwara (nonendemic area). The levels of RBP4 and creatinine in serum were measured. An immunoassay (ELISA) was performed on the serum samples. The stages of CKD/ CKDu were classified according to eGFR. Results: Serum RBP4 was significantly increased in CKDu patients compared to CKD patients and healthy controls. The results show that the ratio of normalized serum RBP4 to serum creatine (S.cr) acts as a better competitive marker for CKDu (AUC 0.762, sensitivity 0.733) than CKD (AUC 0.584, sensitivity 0.733) when compared against healthy controls. Furthermore, the RBP4:S.cr ratio showed higher discriminating power (AUC 0.743) between CKDu and CKD, suggesting that the RBP4: S.cr ratio has potential as a serum marker to differentiate CKDu from CKDu. Conclusion: The RBP4: S.cr ratio was identified as a plausible indicator for differentiating CKDu from CKD with >70% sensitivity and specificity. Therefore, it could be used in the evaluation of the tubular interstitial involvement of CKD. Full article
Show Figures

Figure 1

16 pages, 2816 KB  
Article
Geochemistry of Groundwater in the Semi-Arid Crystalline Terrain of Sri Lanka and Its Health Implications among Agricultural Communities
by W. A. Charitha Udeshani, Nadeesha H. Koralegedara, S. K. Gunatilake, Si-Liang Li, Xiangyu Zhu and Rohana Chandrajith
Water 2022, 14(20), 3241; https://doi.org/10.3390/w14203241 - 14 Oct 2022
Cited by 12 | Viewed by 3691
Abstract
Chronic kidney disease with uncertain etiology (CKDu) is an emerging health problem in Sri Lanka, particularly among the dry-zone farming communities that use groundwater for drinking. We investigated the quality of groundwater in an area where both high- and low-prevalence clusters of CKDu [...] Read more.
Chronic kidney disease with uncertain etiology (CKDu) is an emerging health problem in Sri Lanka, particularly among the dry-zone farming communities that use groundwater for drinking. We investigated the quality of groundwater in an area where both high- and low-prevalence clusters of CKDu have been recorded. Eighty-four groundwater and five surface water samples, covering the selected region, were collected and analyzed for both major anions and cations. The groundwater in the region is mainly of the Ca-Mg-HCO3 type, probably due to the long residence time in fractured hard rock aquifers in this region. Irrespective of the CKDu prevalence, over 50% of samples exceeded the recommended limits for EC/TDS, alkalinity, hardness, and Mg2+ content in groundwater. Water hardness in CKDu clusters was dominated by Mg2+. High fluoride content up to 4.0 mg/L was also found in most groundwater samples from the region. The water quality index (WQI) values indicated that 42% of the groundwater samples in regions with no or low CKDu prevalence and 49% of the samples in regions with high prevalence were poor in quality. The spatial distribution of WQI and fluoride concentration overlapped, indicating the direct influence of fluoride on the groundwater quality in the study region. In addition, regions with higher WQI values overlapped with the CKDu hotspots, indicating the direct impact of groundwater quality on the disease prevalence in the studied river basin. The WQI can be used to effectively demarcate areas with possible groundwater-related health effects in the dry-zone regions of Sri Lanka. Full article
Show Figures

Figure 1

14 pages, 4183 KB  
Article
Metals and Metallothionein Expression in Relation to Progression of Chronic Kidney Disease of Unknown Etiology (CKDu) in Sri Lanka
by S. H. Nandana P. Gunawickrama, A. Rajith N. Silva, P. G. Chandra L. Nanayakkara, K. B. Suneetha Gunawickrama, J. M. Kithsiri B. Jayasekara and Naduviladath V. Chandrasekharan
Diseases 2022, 10(2), 34; https://doi.org/10.3390/diseases10020034 - 12 Jun 2022
Cited by 2 | Viewed by 3288
Abstract
Chronic kidney disease of unknown etiology was investigated for metal relations in an endemic area by a cross-sectional study with CKD stages G1, G2, G3a, G3b, G4, G5 (ESRD), and endemic and nonendemic controls (EC and NEC) as groups. Subjects with the medical [...] Read more.
Chronic kidney disease of unknown etiology was investigated for metal relations in an endemic area by a cross-sectional study with CKD stages G1, G2, G3a, G3b, G4, G5 (ESRD), and endemic and nonendemic controls (EC and NEC) as groups. Subjects with the medical diagnosis were classified into groups by eGFR (SCr, CKD-EPI) and UACR of the study. It determined 24 metals/metalloids in plasma (ICPMS) and metallothionein (MT) mRNA in blood (RT-PCR). MT1A at G3b and MT2A throughout G2–G5 showed increased transcription compared to NEC (ANOVA, p < 0.01). Both MT1A and MT2A remained metal-responsive as associations emerged between MT2A and human MT inducer Cr (in EC: r = 0.54, p < 0.05, n = 14), and between MT1A and MT2A (in EC pooled with G1–G5: r = 0.58, p < 0.001, n = 110). Human MT (hMT)-inducers, namely Zn, Cu, As, Pb, and Ni; Σ hMT-inducers; 14 more non-inducer metals; and Σ MT-binding metals remained higher (p < 0.05) in EC as compared to NEC. Declining eGFR or CKD progression increased the burden of Be, Mg, Al, V, Co, Ni, Rb, Cs, Ba, Mn, Zn, Sr, Σ hMT-inducers, and Σ MT-binding metals in plasma, suggesting an MT role in the disease. MT1A/2A mRNA followed UACR (PCA, Dendrogram: similarity, 57.7%). The study provides evidence that proteinuric chronic renal failure may increase plasma metal levels where blood MT2A could be a marker. Full article
Show Figures

Figure 1

15 pages, 1867 KB  
Article
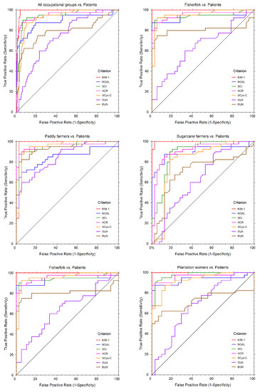
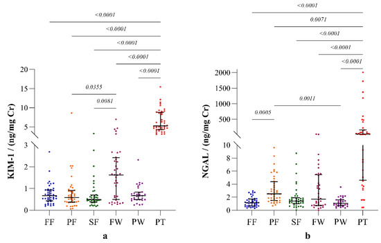
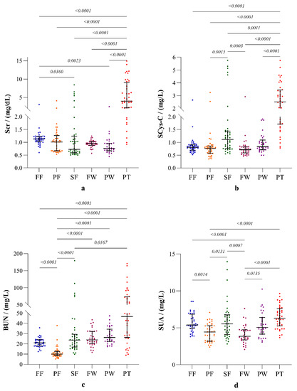
Applicability of Novel Urinary Biomarkers for the Assessment of Renal Injury in Selected Occupational Groups in Sri Lanka: A Comparative Study with Conventional Markers
by E. M. D. V. Ekanayake, T. D. K. S. C. Gunasekara, P. Mangala C. S. De Silva, Sudheera Jayasinghe, E. P. S. Chandana and Nishad Jayasundara
Int. J. Environ. Res. Public Health 2022, 19(9), 5264; https://doi.org/10.3390/ijerph19095264 - 26 Apr 2022
Cited by 3 | Viewed by 2670
Abstract
Screening approaches with more robust biomarkers, are of the utmost importance in the characterization of renal injuries, particularly among communities with high burdens of chronic kidney disease of uncertain etiology (CKDu). The present study aimed to assess the utility of two emerging biomarkers: [...] Read more.
Screening approaches with more robust biomarkers, are of the utmost importance in the characterization of renal injuries, particularly among communities with high burdens of chronic kidney disease of uncertain etiology (CKDu). The present study aimed to assess the utility of two emerging biomarkers: kidney injury molecule (KIM-1) and neutrophil gelatinase-associated lipocalin (NGAL) in predicting renal injury in different occupational groups in Sri Lanka. A cross-sectional study was conducted with six occupational groups (n = 188): fisherfolk (FF), paddy farmers (PF), sugarcane farmers (SF), factory workers (FW) and plantation workers (PW) to assess the predictive performance of KIM-1 and NGAL against a CKDu patient (PT) group (n = 40). The median KIM-1 levels of the study groups; FF, PF, SF, FW, PW and PT were 0.67, 0.59, 0.49, 1.62, 0.67 and 5.24 ng/mgCr, respectively, while the median NGAL levels were 1.16, 2.52, 1.42, 1.71, 1.06 and 22.41 ng/mgCr respectively. In ROC analysis to predict CKDu susceptibility, the area under the curve for KIM-1 ranged from 0.88 to 0.99 for the study groups, and in overall analysis, the sensitivity and specificity were 100% and 96%, respectively, for a cutoff value of 2.76 ng/mgCr. Similarly, for NGAL the range of AUC was 0.78–0.94, and a cutoff value of 3.12 ng/mgCr produced 88% sensitivity and 82% specificity. Compared with conventional markers, KIM-1 was the best biomarker for the characterization of renal injury in the participants of the occupational groups. With further validations, KIM-1 may be adopted as a prognostic marker to identify early renal injury and CKDu susceptibilities in community screening. Full article
Show Figures

Figure 1

Back to TopTop