Applicability of Novel Urinary Biomarkers for the Assessment of Renal Injury in Selected Occupational Groups in Sri Lanka: A Comparative Study with Conventional Markers
Abstract
:1. Introduction
2. Materials and Methods
2.1. Study Design and Participants
2.2. Data and Sample Collection
2.3. Sample Preparation and Analysis
2.4. Diagnostic Criteria
2.5. Statistical Analysis
2.6. Ethical Considerations
3. Results
3.1. Characteristics of the Study Participants
3.2. Novel Urinary Biomarkers
3.3. Conventional Markers
3.4. Assessment of Biomarker Performance
4. Discussion
5. Conclusions
Author Contributions
Funding
Institutional Review Board Statement
Informed Consent Statement
Data Availability Statement
Acknowledgments
Conflicts of Interest
References
- González-Quiroz, M.; Pearce, N.; Caplin, B.; Nitsch, D. What Do Epidemiological Studies Tell Us about Chronic Kidney Disease of Undetermined Cause in Meso-America? A Systematic Review and Meta-Analysis. Clin. Kidney J. 2018, 11, 496–506. [Google Scholar] [CrossRef] [Green Version]
- Athuraliya, N.T.C.; Abeysekera, T.D.J.; Amerasinghe, P.H.; Kumarasiri, R.; Bandara, P.; Karunaratne, U.; Milton, A.H.; Jones, A.L. Uncertain Etiologies of Proteinuric-Chronic Kidney Disease in Rural Sri Lanka. Kidney Int. 2011, 80, 1212–1221. [Google Scholar] [CrossRef] [Green Version]
- Gifford, F.J.; Gifford, R.M.; Eddleston, M.; Dhaun, N. Endemic Nephropathy around the World. Kidney Int. Rep. 2017, 2, 282–292. [Google Scholar] [CrossRef] [Green Version]
- Gunasekara, T.D.K.S.C.; De Silva, P.M.C.S.; Herath, C.; Siribaddana, S.; Siribaddana, N.; Jayasumana, C.; Jayasinghe, S.; Cardenas-Gonzalez, M.; Jayasundara, N. The Utility of Novel Renal Biomarkers in Assessment of Chronic Kidney Disease of Unknown Etiology (CKDu): A Review. Int. J. Environ. Res. Public. Health 2020, 17, 9522. [Google Scholar] [CrossRef] [PubMed]
- Wijkström, J.; Jayasumana, C.; Dassanayake, R.; Priyawardane, N.; Godakanda, N.; Siribaddana, S.; Ring, A.; Hultenby, K.; Söderberg, M.; Elinder, C.-G.; et al. Morphological and Clinical Findings in Sri Lankan Patients with Chronic Kidney Disease of Unknown Cause (CKDu): Similarities and Differences with Mesoamerican Nephropathy. PLoS ONE 2018, 13, e0193056. [Google Scholar] [CrossRef]
- Ruwanpathirana, T.; Senanayake, S.; Gunawardana, N.; Munasinghe, A.; Ginige, S.; Gamage, D.; Amarasekara, J.; Lokuketagoda, B.; Chulasiri, P.; Amunugama, S.; et al. Prevalence and Risk Factors for Impaired Kidney Function in the District of Anuradhapura, Sri Lanka: A Cross-Sectional Population-Representative Survey in Those at Risk of Chronic Kidney Disease of Unknown Aetiology. BMC Public Health 2019, 19, 763. [Google Scholar] [CrossRef] [PubMed]
- Ranasinghe, A.V.; Kumara, G.W.G.P.; Karunarathna, R.H.; De Silva, A.P.; Sachintani, K.G.D.; Gunawardena, J.M.C.N.; Kumari, S.K.C.R.; Sarjana, M.S.F.; Chandraguptha, J.S.; De Silva, M.V.C. The Incidence, Prevalence and Trends of Chronic Kidney Disease and Chronic Kidney Disease of Uncertain Aetiology (CKDu) in the North Central Province of Sri Lanka: An Analysis of 30,566 Patients. BMC Nephrol. 2019, 20, 338. [Google Scholar] [CrossRef] [PubMed]
- Jayatilake, N.; Mendis, S.; Maheepala, P.; Mehta, F.R.; CKDu National Research Project Team. Chronic Kidney Disease of Uncertain Aetiology: Prevalence and Causative Factors in a Developing Country. BMC Nephrol. 2013, 14, 180. [Google Scholar] [CrossRef] [PubMed] [Green Version]
- Bonventre, J.V. Kidney Injury Molecule-1: A Translational Journey. Trans. Am. Clin. Climatol. Assoc. 2014, 125, 293–299; discussion 299. [Google Scholar] [PubMed]
- Vaidya, V.S.; Ozer, J.S.; Dieterle, F.; Collings, F.B.; Ramirez, V.; Troth, S.; Muniappa, N.; Thudium, D.; Gerhold, D.; Holder, D.J.; et al. Kidney Injury Molecule-1 Outperforms Traditional Biomarkers of Kidney Injury in Preclinical Biomarker Qualification Studies. Nat. Biotechnol. 2010, 28, 478–485. [Google Scholar] [CrossRef] [Green Version]
- Wanigasuriya, K.; Jayawardene, I.; Amarasiriwardena, C.; Wickremasinghe, R. Novel Urinary Biomarkers and Their Association with Urinary Heavy Metals in Chronic Kidney Disease of Unknown Aetiology in Sri Lanka: A Pilot Study. Ceylon Med. J. 2017, 62, 210–217. [Google Scholar] [CrossRef] [PubMed] [Green Version]
- Silva, P.M.C.S.D.; Abdul, K.S.M.; Eakanayake, E.M.D.V.; Jayasinghe, S.S.; Jayasumana, C.; Asanthi, H.B.; Perera, H.S.D.; Chaminda, G.G.T.; Chandana, E.P.S.; Siribaddana, S.H. Urinary Biomarkers KIM-1 and NGAL for Detection of Chronic Kidney Disease of Uncertain Etiology (CKDu) among Agricultural Communities in Sri Lanka. PLoS Negl. Trop. Dis. 2016, 10, e0004979. [Google Scholar] [CrossRef] [PubMed]
- Ratnayake, S.; Badurdeen, Z.; Nanayakkara, N.; Abeysekara, T.; Ratnatunga, N.; Kumarasiri, R. Screening for Chronic Kidney Disease of Uncertain Aetiology in Sri Lanka: Usability of Surrogate Biomarkers over Dipstick Proteinuria. BMC Nephrol. 2017, 18, 199. [Google Scholar] [CrossRef] [PubMed]
- Wasung, M.E.; Chawla, L.S.; Madero, M. Biomarkers of Renal Function, Which and When? Clin. Chim. Acta Int. J. Clin. Chem. 2015, 438, 350–357. [Google Scholar] [CrossRef]
- Laws, R.L.; Brooks, D.R.; Amador, J.J.; Weiner, D.E.; Kaufman, J.S.; Ramírez-Rubio, O.; Riefkohl, A.; Scammell, M.K.; López-Pilarte, D.; Sánchez, J.M.; et al. Biomarkers of Kidney Injury Among Nicaraguan Sugarcane Workers. Am. J. Kidney Dis. Off. J. Natl. Kidney Found. 2016, 67, 209–217. [Google Scholar] [CrossRef] [Green Version]
- Wesseling, C.; Aragón, A.; González, M.; Weiss, I.; Glaser, J.; Bobadilla, N.A.; Roncal-Jiménez, C.; Correa-Rotter, R.; Johnson, R.J.; Barregard, L. Kidney Function in Sugarcane Cutters in Nicaragua--A Longitudinal Study of Workers at Risk of Mesoamerican Nephropathy. Environ. Res. 2016, 147, 125–132. [Google Scholar] [CrossRef] [PubMed]
- Sayanthooran, S.; Magana-Arachchi, D.N.; Gunerathne, L.; Abeysekera, T.D.J.; Sooriyapathirana, S.S. Upregulation of Oxidative Stress Related Genes in a Chronic Kidney Disease Attributed to Specific Geographical Locations of Sri Lanka. BioMed Res. Int. 2016, 2016, 7546265. [Google Scholar] [CrossRef] [Green Version]
- Low, S.; Chin, M.C.; Ma, S.; Heng, D.; Deurenberg-Yap, M. Rationale for Redefining Obesity in Asians. Ann. Acad. Med. Singap. 2009, 38, 66–69. [Google Scholar]
- Giles, T.D.; Berk, B.C.; Black, H.R.; Cohn, J.N.; Kostis, J.B.; Izzo, J.L.; Weber, M.A. Expanding the Definition and Classification of Hypertension. J. Clin. Hypertens. 2005, 7, 505–512. [Google Scholar] [CrossRef]
- Inker, L.A.; Eneanya, N.D.; Coresh, J.; Tighiouart, H.; Wang, D.; Sang, Y.; Crews, D.C.; Doria, A.; Estrella, M.M.; Froissart, M.; et al. New Creatinine- and Cystatin C-Based Equations to Estimate GFR without Race. N. Engl. J. Med. 2021, 385, 1737–1749. [Google Scholar] [CrossRef]
- Fernando, B.N.T.W.; Alli-Shaik, A.; Hemage, R.K.D.; Badurdeen, Z.; Hettiarachchi, T.W.; Abeysundara, H.T.K.; Abeysekara, T.D.J.; Wazil, A.; Rathnayake, S.; Gunaratne, J.; et al. Pilot Study of Renal Urinary Biomarkers for Diagnosis of CKD of Uncertain Etiology. Kidney Int. Rep. 2019, 4, 1401–1411. [Google Scholar] [CrossRef] [Green Version]
- Leibler, J.H.; Ramirez-Rubio, O.; Velázquez, J.J.A.; Pilarte, D.L.; Obeid, W.; Parikh, C.R.; Gadupudi, S.; Scammell, M.K.; Friedman, D.J.; Brooks, D.R. Biomarkers of Kidney Injury among Children in a High-Risk Region for Chronic Kidney Disease of Uncertain Etiology. Pediatr. Nephrol. Berl. Ger. 2021, 36, 387–396. [Google Scholar] [CrossRef] [PubMed]
- Orantes-Navarro, C.M.; Herrera-Valdés, R.; Almaguer-López, M.A.; Brizuela-Díaz, E.G.; Reed, N.P.A.-A.M.M.A.; Fuentes-de Morales, E.J.; Bayarre-Vea, H.D.; Calero-Brizuela, D.J.; Vela-Parada, X.F.; Zelaya-Quezada, S.M. Chronic Kidney Disease in Children and Adolescents in Salvadoran Farming Communities: NefroSalva Pediatric Study (2009–2011). MEDICC Rev. 2016, 18, 15. [Google Scholar] [CrossRef] [PubMed]
- Orantes, C.M.; Herrera, R.; Almaguer, M.; Brizuela, E.G.; Hernández, C.E.; Bayarre, H.; Amaya, J.C.; Calero, D.J.; Orellana, P.; Colindres, R.M.; et al. Chronic Kidney Disease and Associated Risk Factors in the Bajo Lempa Region of El Salvador: Nefrolempa Study, 2009. MEDICC Rev. 2011, 13, 14–22. [Google Scholar] [CrossRef] [PubMed]
- Torres, C.; Aragón, A.; González, M.; López, I.; Jakobsson, K.; Elinder, C.-G.; Lundberg, I.; Wesseling, C. Decreased Kidney Function of Unknown Cause in Nicaragua: A Community-Based Survey. Am. J. Kidney Dis. Off. J. Natl. Kidney Found. 2010, 55, 485–496. [Google Scholar] [CrossRef] [PubMed] [Green Version]
- Weiner, D.E.; McClean, M.D.; Kaufman, J.S.; Brooks, D.R. The Central American Epidemic of CKD. Clin. J. Am. Soc. Nephrol. CJASN 2013, 8, 504–511. [Google Scholar] [CrossRef] [PubMed]





| Characteristics | Fisherfolk (n = 40) | Paddy Farmers (n = 40) | Sugarcane Farmers (n = 40) | Factory Workers (n = 33) | Plantation Workers (n = 35) | CKDu Patients (n = 40) |
|---|---|---|---|---|---|---|
| Demographic characteristics | ||||||
| Age/years † | 47 (37–54) | 46 (32–55) | 50 (36–62) | 37 (29–46) | 47 (39–56) | 53 (47–65) |
| Gender Male Female | 27 (67.5) 13 (32.5) | 12 (30.0) 19 (70.0) | 24 (60.0) 16 (40.0) | 21 (63.6) 12 (36.4) | 16 (45.7) 19 (54.3) | 26 (65.0) 14 (35.0) |
| Clinical characteristics | ||||||
| BMI/kgm−2 † | 23.7 (22.1–26.7) | 21.7 (19.4–25.6) | 20.2 (17.3–22.9) | 19.9 (18.6–22.6) | 20.8 (18.4–24.6) | 23.5 (22.0–26.0) |
| Obesity ⁑ | 5 (12.5) | 5 (12.5) | 1 (2.5) | 1 (3.0) | 2 (5.7) | 1 (2.5) |
| Diabetes mellitus ⁑ | 5 (12.5) * | 3 (7.5) * | 0 * | 0 * | 2 (5.7) * | 21 (52.5) |
| Hypertension ⁑ | 6 (15.0) * | 3 (7.5) * | 5 (12.5) * | 0 * | 4 (11.4) * | 12 (30.0) |
| Lifestyle-related characteristics | ||||||
| Agrochemical Exposure ⁑ | 0 | 40 (100.0) | 32 (80.0) | 0 | 22 (62.9) | 28 (70.0) |
| Drinking water quality ⁑ Low Medium High | 0 29 (72.5) 11 (27.5) | 20 (50.0) 19 (47.5) 21 (52.5) | 6 (15.0) 34 (85.0) 6 (15.0) | 2 (6.0) 22 (66.7) 11 (33.3) | 4 (11.4) 31 (88.6) 0 | 0 28 (70.0) 12 (30.0) |
| Smoking ⁑ | 6 (15.0) | 2 (5.0) | 18 (45.0) | 17 (51.2) | 15 (42.9) | 1 (2.5) |
| Alcohol consumption ⁑ | 19 (47.5) | 10 (25.0) | 15 (37.5) | 17 (51.5) | 22 (42.9) | 3 (2.5) |
| Study Group | KIM-1 (ng/mg Cr) | NGAL (ng/mg Cr) |
|---|---|---|
| Fisherfolk | 0.665 (0.428–0.945) | 1.155 (0.653–1.715) |
| Paddy farmers | 0.585 (0.373–0.910) | 2.515 (1.498–4.380) |
| Sugarcane farmers | 0.490 (0.383–0.703) | 1.420 (0.998–1.910) |
| factory workers | 1.625 (0.500–2.418) | 1.710 (0.733–5.470) |
| Plantation workers | 0.67 (0.490–0.840) | 1.060 (0.690–1.600) |
| CKDu patients | 5.242 (4.298–8.800) | 22.41 (4.630–154.300) |
| Clinical Parameters | Fisherfolk (n = 40) | Paddy Farmers (n = 40) | Sugarcane Farmers (n = 40) | Factory Workers (n = 33) | Plantation Workers (n = 35) | CKDu Patients (n = 40) |
|---|---|---|---|---|---|---|
| ACR (mg/g) | 4.455 (2.885–7.645) | 3.945 (2.755–7.110) | 3.640 (2.415–18.88) | 4.600 (2.323–7.613) | 3.350 (2.430–6.350) | 1105.00 (227–2458) |
| eGFR (mL/min/1.73 m2) | 100.7 (89.1–105.3) | 106.0 (88.5–122.7) | 86.7 (59.0–118.2) | 115.1 (108.4–131.3) | 107.7 (90.3–123.5) | 20.0 (9.9–34.8) |
| SCr (mg/dL) | 1.130 (1.02–1.228) | 1.010 (0.670–1.263) | 0.725 (0.590–1.243) | 0.950 (0.880–1.030) | 0.760 (0.670–0.960) | 3.990 (2.150–9.035) |
| SCys-C (mg/L) | 0.810 (0.693–0.903) | 0.770 (0.578–0.855) | 1.110 (0.760–1.440) | 0.710 (0.590–0.828) | 0.830 (0.710–1.090) | 2.510 (1.715–3.443) |
| BUN (mg/dL) | 21.00 (17.95–24.10) | 10.00 (8.40–12.70) | 23.70 (16.95–29.45) | 23.90 (20.48–32.15) | 26.30 (22.50–34.30) | 46.65 (26.28–73.73) |
| SUA (mg/dL) | 5.385 (4.925–6.850) | 4.445 (3.185–5.288) | 5.545 (4.090–6.753) | 3.850 (3.353–4.745) | 5.060 (4.140–6.410) | 6.295 (5.258–7.593) |
| ACR ≥ 30 mg/g | 3 (7.5) †,* | 2 (5.0) †,* | 9 (22.5) † | 1 (3.0) †,* | 1 (2.9) †,* | 40 (100) |
| eGFR < 60 mL/min/1.73 m2 | 2 (5.0) †,* | 3 (7.5) †,* | 10 (25.0) † | 1 (3.0) †,* | 5 (14.3) † | 40 (100) |
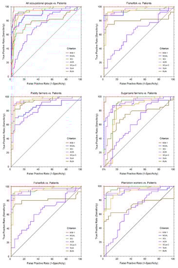
| Parameter | ROC Parameters | FF vs. PT | SW vs. PT | SF vs. PT | PF vs. PT | EW vs. PT | Overall |
|---|---|---|---|---|---|---|---|
| SCr (mg/dL) | AUC (95% CI) | 0.942 (0.88–1.00) | 0.977 (0.94–1.01) | 0.891 (0.82–0.97) | 0.947 (0.89–0.99) | 0.978 (0.95–1.00) | 0.944 (0.90–0.98) |
| Cutoff | 1.41 | 1.30 | 1.38 | 1.65 | 1.14 | 1.21 | |
| Sensitivity | 0.92 | 0.93 | 0.92 | 0.90 | 0.95 | 0.93 | |
| Specificity | 0.95 | 1.00 | 0.80 | 0.93 | 0.94 | 0.81 | |
| SCys-C (mg/L) | AUC (95% CI) | 0.955 (0.91–1.00) | 0.985 (0.97–1.00) | 0.807 (0.70–0.91) | 0.95 (0.90–0.99) | 0.935 (0.88–0.99) | 0.920 (0.88–0.96) |
| Cutoff | 0.98 | 1.09 | 1.42 | 0.97 | 1.11 | 1.09 | |
| Sensitivity | 0.95 | 0.93 | 0.88 | 0.95 | 0.92 | 0.93 | |
| Specificity | 0.88 | 0.97 | 0.75 | 0.88 | 0.80 | 80.7 | |
| ACR (mg/g) | AUC (95% CI) | 0.954 (0.90–1.00) | 0.963 (0.92–1.07) | 0.926 (0.87–0.98) | 0.959 (0.91–1.00) | 0.96 (0.91–1.01) | 0.949 (0.90–0.99) |
| Cutoff | 8.64 | 12.71 | 28.21 | 13.28 | 10.60 | 8.55 | |
| Sensitivity | 0.92 | 0.92 | 0.90 | 0.92 | 0.92 | 0.93 | |
| Specificity | 0.83 | 0.88 | 0.78 | 0.93 | 0.80 | 0.77 | |
| BUN (mg/dL) | AUC (95% CI) | 0.807 (0.69–0.92) | 0.757 (0.64–0.87) | 0.707 (0.59–0.83) | 0.942 (0.89–0.99) | 0.731 (0.61–0.85) | 0.789 (0.69–0.89) |
| Cutoff | 20.85 | 37.25 | 37.00 | 13.55 | 38 | 24.5 | |
| Sensitivity | 0.80 | 0.62 | 0.62 | 0.92 | 0.62 | 0.8 | |
| Specificity | 0.48 | 0.88 | 0.83 | 0.80 | 0.91 | 0.69 | |
| SUA (mg/dL) | AUC (95% CI) | 0.639 (0.52–0.76) | 0.904 (0.84–0.97) | 0.637 (0.52–0.76) | 0.851 (0.77–0.93) | 0.688 (0.57–0.81) | 0.738 (0.66–0.82) |
| Cutoff | 6.94 | 5.37 | 7.00 | 5.79 | 6.41 | 4.76 | |
| Sensitivity | 0.38 | 0.72 | 0.38 | 0.62 | 0.50 | 0.90 | |
| Specificity | 0.78 | 0.91 | 0.78 | 0.88 | 0.80 | 0.45 | |
| KIM-1 (ng/mgCr) | AUC (95% CI) | 0.998 (0.99–1.00) | 0.910 (0.84–0.98) | 0.875 (0.79–0.97) | 0.975 (0.93–1.02) | 0.999 (0.99–1.00) | 0.988 (0.98–1.00) |
| Cutoff | 2.608 | 3.352 | 2.984 | 2.928 | 2.291 | 2.76 | |
| Sensitivity | 1.00 | 0.92 | 1.00 | 1.00 | 1.00 | 1.00 | |
| Specificity | 0.98 | 0.76 | 0.78 | 0.95 | 0.97 | 0.96 | |
| NGAL (ng/mgCr) | AUC (95% CI) | 0.936 (0.87–1.00) | 0.777 (0.67–0.88) | 0.923 (0.86–0.99) | 0.819 (0.72–0.92) | 0.863 (0.78–0.95) | 0.893 (0.82–0.96) |
| Cutoff | 1.54 | 10.88 | 1.59 | 7.58 | 7.36 | 3.12 | |
| Sensitivity | 0.95 | 0.12 | 0.90 | 0.68 | 0.70 | 0.88 | |
| Specificity | 0.75 | 0.88 | 0.75 | 0.93 | 0.86 | 0.82 |
| Predictor Variable | KIM-1 | NGAL | ACR | eGFR | ||||
|---|---|---|---|---|---|---|---|---|
| β | p | β | p | β | p | β | p | |
| Age | −0.048 | 0.354 | −0.094 | 0.174 | −0.069 | 0.255 | −0.163 | 0.002 |
| Gender | 0.06 | 0.264 | −0.003 | 0.967 | −0.32 | 0.612 | −0.04 | 0.491 |
| BMI | 0.032 | 0.535 | −0.05 | 0.462 | 0.041 | 0.494 | 0.012 | 0.829 |
| Occupation | 0.415 | <0.0001 | 0.207 | 0.002 | 0.292 | <0.0001 | −2.08 | <0.0001 |
| Hypertension | 0.259 | <0.0001 | 0.093 | 0.272 | 0.368 | <0.0001 | −0.487 | <0.0001 |
| Diabetes mellitus | 0.182 | 0.001 | 0.233 | <0.0001 | 0.085 | 0.226 | 0.014 | 0.827 |
| Quality of Drinking water | −0.05 | 0.385 | −0.029 | 0.707 | 0.008 | 0.905 | 0.039 | 0.535 |
| Agrochemical exposure | −0.09 | 0.881 | −0.078 | 0.339 | 0.007 | 0.922 | 0.079 | 0.224 |
| Smoking | −0.073 | 0.163 | −0.06 | 0.392 | −0.137 | 0.015 | 0.045 | 0.43 |
| Alcohol consumption | 0.157 | 0.001 | 0.091 | 0.216 | −0.064 | 0.324 | 0.097 | 0.099 |
Publisher’s Note: MDPI stays neutral with regard to jurisdictional claims in published maps and institutional affiliations. |
© 2022 by the authors. Licensee MDPI, Basel, Switzerland. This article is an open access article distributed under the terms and conditions of the Creative Commons Attribution (CC BY) license (https://creativecommons.org/licenses/by/4.0/).
Share and Cite
Ekanayake, E.M.D.V.; Gunasekara, T.D.K.S.C.; De Silva, P.M.C.S.; Jayasinghe, S.; Chandana, E.P.S.; Jayasundara, N. Applicability of Novel Urinary Biomarkers for the Assessment of Renal Injury in Selected Occupational Groups in Sri Lanka: A Comparative Study with Conventional Markers. Int. J. Environ. Res. Public Health 2022, 19, 5264. https://doi.org/10.3390/ijerph19095264
Ekanayake EMDV, Gunasekara TDKSC, De Silva PMCS, Jayasinghe S, Chandana EPS, Jayasundara N. Applicability of Novel Urinary Biomarkers for the Assessment of Renal Injury in Selected Occupational Groups in Sri Lanka: A Comparative Study with Conventional Markers. International Journal of Environmental Research and Public Health. 2022; 19(9):5264. https://doi.org/10.3390/ijerph19095264
Chicago/Turabian StyleEkanayake, E. M. D. V., T. D. K. S. C. Gunasekara, P. Mangala C. S. De Silva, Sudheera Jayasinghe, E. P. S. Chandana, and Nishad Jayasundara. 2022. "Applicability of Novel Urinary Biomarkers for the Assessment of Renal Injury in Selected Occupational Groups in Sri Lanka: A Comparative Study with Conventional Markers" International Journal of Environmental Research and Public Health 19, no. 9: 5264. https://doi.org/10.3390/ijerph19095264
APA StyleEkanayake, E. M. D. V., Gunasekara, T. D. K. S. C., De Silva, P. M. C. S., Jayasinghe, S., Chandana, E. P. S., & Jayasundara, N. (2022). Applicability of Novel Urinary Biomarkers for the Assessment of Renal Injury in Selected Occupational Groups in Sri Lanka: A Comparative Study with Conventional Markers. International Journal of Environmental Research and Public Health, 19(9), 5264. https://doi.org/10.3390/ijerph19095264

