Sign in to use this feature.

Years

Between: -

Subjects

remove_circle_outline
remove_circle_outline
remove_circle_outline
remove_circle_outline
remove_circle_outline
remove_circle_outline
remove_circle_outline
remove_circle_outline
remove_circle_outline

Journals

Article Types

Countries / Regions

Search Results (30)

Search Parameters:
Keywords = CKB

Order results
Result details
Results per page
Select all
Export citation of selected articles as:
23 pages, 6745 KB  
Article
Crushing Modeling and Crushing Characterization of Silage Caragana korshinskii Kom.
by Wenhang Liu, Zhihong Yu, Aorigele, Qiang Su, Xuejie Ma and Zhixing Liu
Agriculture 2025, 15(13), 1449; https://doi.org/10.3390/agriculture15131449 - 5 Jul 2025
Cited by 1 | Viewed by 518
Abstract
Caragana korshinskii Kom. (CKB), widely cultivated in Inner Mongolia, China, has potential for silage feed development due to its favorable nutritional characteristics, including a crude protein content of 14.2% and a neutral detergent fiber content below 55%. However, its vascular bundle fiber structure [...] Read more.
Caragana korshinskii Kom. (CKB), widely cultivated in Inner Mongolia, China, has potential for silage feed development due to its favorable nutritional characteristics, including a crude protein content of 14.2% and a neutral detergent fiber content below 55%. However, its vascular bundle fiber structure limits the efficiency of lactic acid conversion and negatively impacts silage quality, which can be improved through mechanical crushing. Currently, conventional crushing equipment generally suffers from uneven particle size distribution, high energy consumption, and low processing efficiency. In this study, a layered aggregate model was constructed using the discrete element method (DEM), and the Hertz–Mindlin with Bonding contact model was employed to characterize the heterogeneous mechanical properties between the epidermis and the core. Model accuracy was enhanced through reverse engineering and a multi-particle-size filling strategy. Key parameters were optimized via a Box–Behnken experimental design, with a core normal stiffness of 7.37 × 1011 N·m−1, a core shear stiffness of 9.46 × 1010 N·m−1, a core shear stress of 2.52 × 108 Pa, and a skin normal stiffness of 4.01 × 109 N·m−1. The simulated values for bending, tensile, and compressive failure forces had relative errors of less than 10% compared to experimental results. The results showed that rectangular hammers, due to their larger contact area and more uniform stress distribution, reduced the number of residual bonded contacts by 28.9% and 26.5% compared to stepped and blade-type hammers, respectively. Optimized rotational speed improved dynamic crushing efficiency by 41.3%. The material exhibited spatial heterogeneity, with the mass proportion in the tooth plate impact area reaching 43.91%, which was 23.01% higher than that in the primary hammer crushing area. The relative error between the simulation and bench test results for the crushing rate was 6.18%, and the spatial distribution consistency reached 93.6%, verifying the reliability of the DEM parameter calibration method. This study provides a theoretical basis for the structural optimization of crushing equipment, suppression of circulation layer effects, and the realization of low-energy, high-efficiency processing. Full article
(This article belongs to the Section Agricultural Technology)
Show Figures

Figure 1

18 pages, 3420 KB  
Article
Association Between Gut Microbiota and Chronic Kidney Disease: A Two-Sample Mendelian Randomization Study in a Chinese Population
by Wenjian Lin, Zixin Liang, Junxuan Fang, Yu Liu, Lei Lei, Jiawen Lin, Bin Xia, Zhihua Zheng, Jingqiu Yuan and Chun Tang
Biomedicines 2025, 13(6), 1397; https://doi.org/10.3390/biomedicines13061397 - 6 Jun 2025
Viewed by 1094
Abstract
Background: Population differences in gut microbiota composition and related metabolites may influence their potential causal relationship with chronic kidney disease (CKD); however, this relationship remains poorly understood in the Chinese population. Materials and Methods: We conducted a two-sample Mendelian randomization (MR) study using [...] Read more.
Background: Population differences in gut microbiota composition and related metabolites may influence their potential causal relationship with chronic kidney disease (CKD); however, this relationship remains poorly understood in the Chinese population. Materials and Methods: We conducted a two-sample Mendelian randomization (MR) study using summary statistics of 500 gut microbial features (9 phyla, 3 classes, 14 orders, 32 families, 95 genera, 248 species, and 99 gut metabolic modules (GMMs)) from the 4D-SZ (from Shenzhen, China) discovery cohort (n = 1539). CKD summary statistics were obtained from the China Kadoorie Biobank (CKB) (489 cases and 75,531 controls). Associations between gut microbiota and CKD were evaluated via inverse variance weighted, MR-Egger, weighted median, and MR-PRESSO. To validate our findings, we replicated the analyses in two independent East Asian CKD GWAS datasets: the Biobank of Japan (BBJ) dataset (2117 cases and 174,345 controls) and the J-Kidney-Biobank (JKB) dataset (382 cases and 3471 controls). We further validated the results via a meta-GWAS of BUN and eGFR in Biobank Japan (BBJ) and the Taiwan Biobank (TWB). Additionally, we analyzed 304 serum proteins from the Guangzhou Nutrition and Health Study (GNHS) and conducted mediation MR analyses to explore potential mediators. Result: At the locus-wide significance threshold, we identified 18 gut microbiome features associated with CKD onset in the China Kadoorie Biobank (CKB). Genus Alistipes (OR 1.02, 95% CI 1.00–1.03, p = 0.03) was associated with incident CKD risk in the JKB cohort. Species Bifidobacterium catenulatumBifidobacterium pseudocatenulatum complex (OR 1.0074, 95% CI 1.0070–1.0142, p = 0.01) was associated with incident CKD risk in a meta-GWAS of BUN. Sensitivity analyses, including Cochran’s Q test, MR-Egger intercept analysis, leave-one-out analysis, and funnel plots, yielded consistent results. Mediation analysis revealed that 26.7% (95% CI: 0.006–0.6700, p = 0.04) of the effect of Alistipes on CKD risk was mediated through the serum protein FBLN1. Conclusions: Our study provides Mendelian randomization-based evidence supporting a potential causal relationship between gut microbiota and CKD, highlighting the potential mediating role of FBLN1 in the association between genus Alistipes and CKD. Further studies are needed to explore whether and how genus Alistipes and FBLN1 contribute to CKD development. Full article
Show Figures

Figure 1

15 pages, 2762 KB  
Article
Creation of Genetically Modified Adipocytes for Tissue Engineering: Creatine Kinase B Overexpression Leads to Stimulated Glucose Uptake and Mitochondrial Potential Growth, but Lowered Lipid Synthesis
by Svetlana Michurina, Irina Beloglazova, Margarita Agareva, Natalia Alekseeva, Yelena Parfyonova and Iurii Stafeev
Life 2025, 15(5), 753; https://doi.org/10.3390/life15050753 - 8 May 2025
Viewed by 1070
Abstract
Background: The global burden of obesity and type 2 diabetes mellitus is a significant contributor to mortality and disability in the modern world. In this regard, the modification of adipocyte metabolism has been identified as a promising approach to develop new genetic and [...] Read more.
Background: The global burden of obesity and type 2 diabetes mellitus is a significant contributor to mortality and disability in the modern world. In this regard, the modification of adipocyte metabolism has been identified as a promising approach to develop new genetic and cellular engineering therapeutics. In this study, we activate the expression of creatine kinase B (CKB), a key enzyme of a non-canonical futile cycle and the regulator of energy storage, to promote catabolic processes in mature adipocytes. Methods: The protein-coding sequence of CKB was amplified by PCR from Mus musculus brain mRNA. Lentiviral transduction was used to transfer the CKB sequence into mature adipocytes. Adipocyte metabolism was analyzed by radioisotope monitoring of labeled [3H]-2-deoxyglucose and [14C]-glucose. Confocal microscopy was applied to estimate lipid droplets morphology (BODIPY493/503 dye), mitochondrial membrane potential (JC-1 dye), and thermogenesis (ERthermAC dye). Results: After lentiviral delivery of the CKB-coding sequence, CKB mRNA level increased 75-fold and protein expression fivefold. CKB overexpression does not cause significant changes in lipid droplet morphology. Despite this, enhanced glucose uptake and reduced lipid synthesis under adrenergic stimulation are detected during CKB overexpression. CKB causes an increase in mitochondrial potential with no effect on thermogenesis in adipocytes. Conclusions: In this study, we have shown that CKB overexpression in mature adipocytes allows us to obtain adipocytes with high glucose uptake, potency of ATP synthesis, and suppressed lipogenesis. These genetically modified cells may potentially exhibit a favorable metabolic effect in the context of excessive nutrient utilization. Full article
Show Figures

Figure 1

18 pages, 7915 KB  
Article
Characterization of an Activated Metabolic Transcriptional Program in Hepatoblastoma Tumor Cells Using scRNA-seq
by Claudia Monge, Raquel Francés, Agnès Marchio, Pascal Pineau, Christophe Desterke and Jorge Mata-Garrido
Int. J. Mol. Sci. 2024, 25(23), 13044; https://doi.org/10.3390/ijms252313044 - 4 Dec 2024
Cited by 3 | Viewed by 2193
Abstract
Hepatoblastoma is the most common primary liver malignancy in children, with metabolic reprogramming playing a critical role in its progression due to the liver’s intrinsic metabolic functions. Enhanced glycolysis, glutaminolysis, and fatty acid synthesis have been implicated in hepatoblastoma cell proliferation and survival. [...] Read more.
Hepatoblastoma is the most common primary liver malignancy in children, with metabolic reprogramming playing a critical role in its progression due to the liver’s intrinsic metabolic functions. Enhanced glycolysis, glutaminolysis, and fatty acid synthesis have been implicated in hepatoblastoma cell proliferation and survival. In this study, we screened for altered overexpression of metabolic enzymes in hepatoblastoma tumors at tissue and single-cell levels, establishing and validating a hepatoblastoma tumor expression metabolic score using machine learning. Starting from the Mammalian Metabolic Enzyme Database, bulk RNA sequencing data from GSE104766 and GSE131329 datasets were analyzed using supervised methods to compare tumors versus adjacent liver tissue. Differential expression analysis identified 287 significantly regulated enzymes, 59 of which were overexpressed in tumors. Functional enrichment in the KEGG metabolic database highlighted a network enriched in amino acid metabolism, as well as carbohydrate, steroid, one-carbon, purine, and glycosaminoglycan metabolism pathways. A metabolic score based on these enzymes was validated in an independent cohort (GSE131329) and applied to single-cell transcriptomic data (GSE180665), predicting tumor cell status with an AUC of 0.98 (sensitivity 0.93, specificity 0.94). Elasticnet model tuning on individual marker expression revealed top tumor predictive markers, including FKBP10, ATP1A2, NT5DC2, UGT3A2, PYCR1, CKB, GPX7, DNMT3B, GSTP1, and OXCT1. These findings indicate that an activated metabolic transcriptional program, potentially influencing epigenetic functions, is observed in hepatoblastoma tumors and confirmed at the single-cell level. Full article
(This article belongs to the Section Molecular Oncology)
Show Figures

Figure 1

13 pages, 12336 KB  
Article
The Construction of an Extreme Radiation-Resistant Perchlorate-Reducing Bacterium Using Deinococcus deserti Promoters
by Shanhou Chen, Zichun Tan, Binqiang Wang, Hong Xu, Ye Zhao, Bing Tian, Yuejin Hua and Liangyan Wang
Int. J. Mol. Sci. 2024, 25(21), 11533; https://doi.org/10.3390/ijms252111533 - 27 Oct 2024
Viewed by 2051
Abstract
Perchlorate is one of the major inorganic pollutants in the natural environment and the living environment, which is toxic to organisms and difficult to degrade due to its special structure. As previously reported, the Phoenix Mars lander detected approximately 0.6% perchlorate in the [...] Read more.
Perchlorate is one of the major inorganic pollutants in the natural environment and the living environment, which is toxic to organisms and difficult to degrade due to its special structure. As previously reported, the Phoenix Mars lander detected approximately 0.6% perchlorate in the Martian soil, indicating challenges for Earth-based life to survive there. Currently, biological approaches using dissimilatory perchlorate-reducing bacteria (DPRB) are the most promising methods for perchlorate degradation. However, the majority of DPRB exhibit limited radiation resistance, rendering them unsuitable for survival on Mars. In this study, we obtained the transcriptome data of Deinococcus deserti, and predicted and identified multiple constitutive expression promoters of D. deserti with varying activities. The top-five most active promoters were separately fused to specific genes involved in the degradation of perchlorate from DPRB Dechloromonas agitata CKB, and transformed into Deinococcus radiodurans R1, forming a novel dissimilatory perchlorate-reducing bacterium, R1−CKB. It exhibited both efficient perchlorate degradation capability and strong radiation resistance, potentially offering a valuable tool for the further enhancement of the Martian atmosphere in the future. Full article
(This article belongs to the Collection Feature Papers in Molecular Microbiology)
Show Figures

Figure 1

24 pages, 3277 KB  
Article
A Comparison of White and Yellow Seminal Plasma Phosphoproteomes Obtained from Turkey (Meleagris gallopavo) Semen
by Katarzyna T. Rafalska, Aleksandra Orzołek, Joanna Ner-Kluza and Paweł Wysocki
Int. J. Mol. Sci. 2024, 25(18), 9941; https://doi.org/10.3390/ijms25189941 - 14 Sep 2024
Cited by 1 | Viewed by 2227
Abstract
Seminal plasma is rich in proteins originating from various male reproductive organs. The phosphorylation of these proteins can significantly impact sperm motility, capacitation, and acrosome reaction. Phosphoproteomics identifies, catalogues, and characterizes phosphorylated proteins. The phosphoproteomic profiling of seminal plasma offers valuable insights into [...] Read more.
Seminal plasma is rich in proteins originating from various male reproductive organs. The phosphorylation of these proteins can significantly impact sperm motility, capacitation, and acrosome reaction. Phosphoproteomics identifies, catalogues, and characterizes phosphorylated proteins. The phosphoproteomic profiling of seminal plasma offers valuable insights into the molecular mechanisms that influence semen quality and male fertility. Thus, the aim of this study was a phosphoproteomic analysis of white and yellow turkey seminal plasma. The experimental material consisted of 100 ejaculates from BIG-6 turkeys between 39 and 42 weeks of age. The collected white and yellow turkey seminal plasmas were analyzed for total protein content; the activity of selected enzymes, i.e., alkaline phosphatase (ALP), acid phosphatase (ACP), superoxide dismutase (SOD), glutathione peroxidase (GPx), and catalase (CAT); and the content of reduced glutathione (GSH) and malondialdehyde (MDA). Phosphoproteins were isolated from white and yellow seminal fluids, and the resulting protein fractions were separated by SDS-PAGE and Western blotting. Phosphorylated residues were immunodetected, and the isolated phosphoproteins were identified (nano LC-MS/MS). Yellow seminal plasmas were characterized by higher levels of total protein, GSH, and MDA, as well as higher levels of ALP, ACP, and GPx activity. There were no significant differences in the activity of SOD and CAT. A total of 113 phosphoproteins were identified in turkey seminal fluids. The functional analysis demonstrated that these phosphoproteins were mainly involved in oocyte fertilization, organization and metabolism of the actin cytoskeleton, amplification of the intracellular signal transduction pathway, general regulation of transport, vesicular transport, proteome composition of individual cellular compartments, and the organization and localization of selected cellular components and macromolecules. Increased phosphorylation of the fractions containing proteins encoded by SPARC, PPIB, TRFE, QSOX1, PRDX1, PRDX6, and FASN genes in white plasmas and the proteins encoded by CKB, ORM2, APOA1, SSC5D, RAP1B, CDC42, FTH, and TTH genes in yellow plasmas was observed based on differences in the optical density of selected bands. The obtained results indicate that the phosphorylation profiles of turkey seminal plasma proteins vary depending on the type of ejaculate. Full article
(This article belongs to the Section Biochemistry)
Show Figures

Figure 1

10 pages, 882 KB  
Article
Genetic Foundation of Male Spur Length and Its Correlation with Female Egg Production in Chickens
by Anqi Chen, Xiaoyu Zhao, Xiurong Zhao, Gang Wang, Xinye Zhang, Xufang Ren, Yalan Zhang, Xue Cheng, Xiaofan Yu, Huie Wang, Menghan Guo, Xiaoyu Jiang, Xiaohan Mei, Guozhen Wei, Xue Wang, Runshen Jiang, Xing Guo, Zhonghua Ning and Lujiang Qu
Animals 2024, 14(12), 1780; https://doi.org/10.3390/ani14121780 - 13 Jun 2024
Cited by 1 | Viewed by 1746
Abstract
Spurs, which mainly appear in roosters, are protrusions near the tarsometatarsus on both sides of the calves of chickens, and are connected to the tarsometatarsus by a bony core. As a male-biased morphological characteristic, the diameter and length of spurs vary significantly between [...] Read more.
Spurs, which mainly appear in roosters, are protrusions near the tarsometatarsus on both sides of the calves of chickens, and are connected to the tarsometatarsus by a bony core. As a male-biased morphological characteristic, the diameter and length of spurs vary significantly between different individuals, mainly related to genetics and age. As a specific behavior of hens, egg-laying also varies greatly between individuals in terms of traits such as age at first egg (AFE), egg weight (EW), and so on. At present, there are few studies on chicken spurs. In this study, we investigated the inheritance pattern of the spur trait in roosters with different phenotypes and the correlations between spur length, body weight at 18 weeks of age (BW18), shank length at 18 weeks of age (SL18), and the egg-laying trait in hens (both hens and roosters were from the same population and were grouped according to their family). These traits related to egg production included AFE, body weight at first egg (BWA), and first egg weight (FEW). We estimated genetic parameters based on pedigree and phenotype data, and used variance analysis to calculate broad-sense heritability for correcting the parameter estimation results. The results showed that the heritability of male left and right spurs ranged from 0.6 to 0.7. There were significant positive correlations between left and right spur length, BW18, SL18, and BWA, as well as between left and right spur length and AFE. We selected 35 males with the longest spurs and 35 males with the shortest spurs in the population, and pooled them into two sets to obtain the pooled genome sequencing data. After genome-wide association and genome divergency analysis by FST, allele frequency differences (AFDs), and XPEHH methods, we identified 7 overlapping genes (CENPE, FAT1, FAM149A, MANBA, NFKB1, SORBS2, UBE2D3) and 14 peak genes (SAMD12, TSPAN5, ENSGALG00000050071, ENSGALG00000053133, ENSGALG00000050348, CNTN5, TRPC6, ENSGALG00000047655,TMSB4X, LIX1, CKB, NEBL, PRTFDC1, MLLT10) related to left and right spur length through genome-wide selection signature analysis and a genome-wide association approach. Our results identified candidate genes associated with chicken spurs, which helps to understand the genetic mechanism of this trait and carry out subsequent research around it. Full article
(This article belongs to the Section Animal Genetics and Genomics)
Show Figures

Figure 1

13 pages, 2950 KB  
Article
Phospho-DIGE Identified Phosphoproteins Involved in Pathways Related to Tumour Growth in Endometrial Cancer
by Valeria Capaci, Giorgio Arrigoni, Lorenzo Monasta, Michelangelo Aloisio, Giulia Rocca, Giovanni Di Lorenzo, Danilo Licastro, Federico Romano, Giuseppe Ricci and Blendi Ura
Int. J. Mol. Sci. 2023, 24(15), 11987; https://doi.org/10.3390/ijms241511987 - 26 Jul 2023
Cited by 7 | Viewed by 2383
Abstract
Endometrial cancer (EC) is the most common gynecologic malignancy of the endometrium. This study focuses on EC and normal endometrium phosphoproteome to identify differentially phosphorylated proteins involved in tumorigenic signalling pathways which induce cancer growth. We obtained tissue samples from 8 types I [...] Read more.
Endometrial cancer (EC) is the most common gynecologic malignancy of the endometrium. This study focuses on EC and normal endometrium phosphoproteome to identify differentially phosphorylated proteins involved in tumorigenic signalling pathways which induce cancer growth. We obtained tissue samples from 8 types I EC at tumour stage 1 and 8 normal endometria. We analyzed the phosphoproteome by two-dimensional differential gel electrophoresis (2D-DIGE), combined with immobilized metal affinity chromatography (IMAC) and mass spectrometry for protein and phosphopeptide identification. Quantities of 34 phosphoproteins enriched by the IMAC approach were significantly different in the EC compared to the endometrium. Validation using Western blotting analysis on 13 patients with type I EC at tumour stage 1 and 13 endometria samples confirmed the altered abundance of HBB, CKB, LDHB, and HSPB1. Three EC samples were used for in-depth identification of phosphoproteins by LC-MS/MS analysis. Bioinformatic analysis revealed several tumorigenic signalling pathways. Our study highlights the involvement of the phosphoproteome in EC tumour growth. Further studies are needed to understand the role of phosphorylation in EC. Our data shed light on mechanisms that still need to be ascertained but could open the path to a new class of drugs that could hinder EC growth. Full article
Show Figures

Figure 1

21 pages, 9871 KB  
Article
Age and Composition of Columbite-Tantalite Group Minerals in the Spodumene Pegmatite from the Chakabeishan Deposit, Northern Tibetan Plateau and Their Implications
by Wenli Sun, Zhidan Zhao, Xuanxue Mo, Chunjing Wei, Guochen Dong, Xiaowei Li, Wanming Yuan, Tao Wang, Shuang Yang, Bingzhang Wang, Tong Pan, Jie Han, Hongliang Cao, Yan Tang and Liangliang Zhang
Minerals 2023, 13(2), 201; https://doi.org/10.3390/min13020201 - 30 Jan 2023
Cited by 15 | Viewed by 3564
Abstract
The Chakabeishan (CKBS) deposit is the first pegmatite-type Li-Be deposit discovered in the eastern North Qaidam Tectonic Belt (NQTB) of Tibetan Plateau. The correct understanding of its petrogenesis and the precise determination of its formation age are of great significance for further regional [...] Read more.
The Chakabeishan (CKBS) deposit is the first pegmatite-type Li-Be deposit discovered in the eastern North Qaidam Tectonic Belt (NQTB) of Tibetan Plateau. The correct understanding of its petrogenesis and the precise determination of its formation age are of great significance for further regional prospecting and the discovery of new economically valuable rare-metal deposits. Therefore, a systematic study of texture, major-element composition, and U-Pb dating of columbite-tantalite group minerals (CGMs) in the spodumene pegmatite dyke from the CKBS deposit was undertaken. Three types of CGMs were identified, including concentric oscillatory ferrocolumbite (CGMs-1), homogeneous ferrocolumbite (CGMs-2), and irregular ferrotantalite (minor manganocolumbite) with abundant early ferrocolumbite replacement remnants (CGMs-3). The zoning patterns and chemical compositions in the CGMs record the complex evolutionary history of their host pegmatite from the magmatic stage (CGMs-1, disequilibrium crystallization) to the magmatic-hydrothermal transition stage (CGMs-2, equilibrium crystallization) and then to the late metasomatic stage (CGMs-3, replacement/re-equilibrium). CGMs U-Pb dating results suggest that the spodumene pegmatite dyke (No.15) emplaced at 230.1 ± 2.6 Ma. Subsequently, it experienced fluid metasomatism at 221 ± 5.3 Ma. Based on the new age data and published geochronological data, it can be concluded that the spodumene pegmatite dykes in the CKBS deposit formed in an oceanic subduction-related setting, representing a new metallogenic event in western China. Except for the CKBS deposit, a large number of rare-metal pegmatite dykes have also been discovered in the eastern NQTB, indicating that the eastern NQTB may be an important potential rare-metal metallogenic belt that should be explored in detail and arouse painstaking attention. Full article
Show Figures

Figure 1

18 pages, 2465 KB  
Article
The Usefulness of Serum Brain Damage Biomarkers in Detection and Evaluation of Hypoxic Ischemic Encephalopathy in Calves with Perinatal Asphyxia
by Mahmut Ok, Amir Naseri, Mehmet Burak Ates, Merve Ider, Kamil Uney, Mutlu Sevinc, Fatih Hatipoglu, Ramazan Yildiz, Alper Erturk, Nuri Baspinar and Suleyman Serhat Iyigun
Animals 2022, 12(22), 3223; https://doi.org/10.3390/ani12223223 - 21 Nov 2022
Cited by 6 | Viewed by 3416
Abstract
The purpose of the present study was to determine hypoxic brain damage in calves with perinatal asphyxia using brain-specific damage biomarkers. Ten healthy and 25 calves with perinatal asphyxia were enrolled in the study. Clinical examination, neurological status score, and laboratory analysis were [...] Read more.
The purpose of the present study was to determine hypoxic brain damage in calves with perinatal asphyxia using brain-specific damage biomarkers. Ten healthy and 25 calves with perinatal asphyxia were enrolled in the study. Clinical examination, neurological status score, and laboratory analysis were performed at admission, 24, 48, and 72 h. Serum concentrations of ubiquitin carboxy-terminal hydrolysis 1 (UCHL1), calcium-binding protein B (S100B), adrenomodullin (ADM), activitin A (ACTA), neuron-specific enolase (NSE), glial fibrillary acidic protein (GFAP) and creatine kinase-brain (CK-B) were measured. Histopathological and immunohistochemical examinations of the brain tissue were performed in 13 nonsurvivor calves. The neurological status score of the calves with asphyxia was significantly (p < 0.05) lower. Mix metabolic-respiratory acidosis and hypoxemia were detected in calves with asphyxia. Serum UCHL1 and S100B were significantly (p < 0.05) increased, and NSE, ACTA, ADM, and CK-B were decreased (p < 0.05) in calves with asphyxia. Histopathological and immunohistochemical examinations confirmed the development of mild to severe hypoxic-ischemic encephalopathy. In conclusion, asphyxia and hypoxemia caused hypoxic-ischemic encephalopathy in perinatal calves. UCHL1 and S100B concentrations were found to be useful markers for the determination of hypoxic-ischemic encephalopathy in calves with perinatal asphyxia. Neurological status scores and some blood gas parameters were helpful in mortality prediction. Full article
(This article belongs to the Section Veterinary Clinical Studies)
Show Figures

Figure 1

15 pages, 1489 KB  
Article
Research on the Influence of Socially Regulated Learning on Online Collaborative Knowledge Building in the Post COVID-19 Period
by Jia Lu, Xiaohui Chen, Xiaodan Wang, Rong Zhong and Hanxi Wang
Sustainability 2022, 14(22), 15345; https://doi.org/10.3390/su142215345 - 18 Nov 2022
Cited by 11 | Viewed by 2665
Abstract
Online teaching has become an important initiative to maintain normal educational order in the post COVID-19 period. However, learners face multiple challenges in the online learning process, which cannot be successfully carried out without the support of socially regulated learning (SoRL). This study [...] Read more.
Online teaching has become an important initiative to maintain normal educational order in the post COVID-19 period. However, learners face multiple challenges in the online learning process, which cannot be successfully carried out without the support of socially regulated learning (SoRL). This study designed SoRL intervention strategies from the perspective of shared metacognitive scripts. A total of 77 undergraduate students participated in this study and were randomly assigned into experimental and control groups. The students in the experimental group received an SoRL intervention, and the students in the control group learned with the traditional online collaborative learning approach. The results showed that there was variability in the supply of SoRL intervention scripts and the actual selection status of the learners. The regulation foci activated in this study were time management, content monitoring, and atmosphere activation. Atmosphere activation drove collaborative learning activities to continue. Time management and content monitoring drove collaborative knowledge building (CKB) to a deeper level. This study is of great significance in revealing the impact mechanism of SoRL on CKB. Full article
(This article belongs to the Section Sustainable Education and Approaches)
Show Figures

Figure 1

16 pages, 2357 KB  
Article
The Catalytic Subunit of Schizosaccharomyces pombe CK2 (Cka1) Negatively Regulates RNA Polymerase II Transcription through Phosphorylation of Positive Cofactor 4 (PC4)
by Diego A. Rojas, Fabiola Urbina, Aldo Solari and Edio Maldonado
Int. J. Mol. Sci. 2022, 23(16), 9499; https://doi.org/10.3390/ijms23169499 - 22 Aug 2022
Cited by 2 | Viewed by 2688
Abstract
Positive cofactor 4 (PC4) is a transcriptional coactivator that plays important roles in transcription and DNA replication. In mammals, PC4 is phosphorylated by CK2, and this event downregulates its RNA polymerase II (RNAPII) coactivator function. This work describes the effect of fission yeast [...] Read more.
Positive cofactor 4 (PC4) is a transcriptional coactivator that plays important roles in transcription and DNA replication. In mammals, PC4 is phosphorylated by CK2, and this event downregulates its RNA polymerase II (RNAPII) coactivator function. This work describes the effect of fission yeast PC4 phosphorylation on RNAPII transcription in a cell extract, which closely resembles the cellular context. We found that fission yeast PC4 is strongly phosphorylated by the catalytic subunit of CK2 (Cka1), while the regulatory subunit (Ckb1) downregulates the PC4 phosphorylation. The addition of Cka1 to an in vitro transcription assay can diminish the basal transcription from the Ad-MLP promoter; however, the addition of recombinant fission yeast PC4 or Ckb1 can stimulate the basal transcription in a cell extract. Fission yeast PC4 is phosphorylated in a domain which has consensus phosphorylation sites for CK2, and two serine residues were identified as critical for CK2 phosphorylation. Mutation of one of the serine residues in PC4 does not completely abolish the phosphorylation; however, when the two serine residues are mutated, CK2 is no longer able to phosphorylate PC4. The mutant which is not phosphorylated is able to stimulate transcription even though it is previously phosphorylated by Cka1, while the wild type and the point mutant are inactivated by Cka1 phosphorylation, and they cannot stimulate transcription by RNAPII in cell extracts. Those results demonstrate that CK2 can regulate the coactivator function of fission yeast PC4 and suggests that this event could be important in vivo as well. Full article
Show Figures

Figure 1

12 pages, 597 KB  
Article
The Prospective Associations of Lipid Metabolism-Related Dietary Patterns with the Risk of Diabetes in Chinese Adults
by Qi Liu, Qiaorui Wen, Jun Lv, Zumin Shi, Yu Guo, Pei Pei, Huaidong Du, Ling Yang, Yiping Chen, Xiaofang Zhang, Dan Schmidt, Sam Sansome, Junshi Chen, Canqing Yu, Zhengming Chen, Liming Li and on behalf of the China Kadoorie Biobank (CKB) Collaborative Group
Nutrients 2022, 14(5), 980; https://doi.org/10.3390/nu14050980 - 25 Feb 2022
Cited by 5 | Viewed by 3425
Abstract
Background: This study aimed to identify lipid metabolism-related dietary patterns with reduced rank regression (RRR) among Chinese adults and examine their associations with incident diabetes. Methods: We derived lipid metabolism-related dietary patterns using an RRR with 21 food groups as predictors as well [...] Read more.
Background: This study aimed to identify lipid metabolism-related dietary patterns with reduced rank regression (RRR) among Chinese adults and examine their associations with incident diabetes. Methods: We derived lipid metabolism-related dietary patterns using an RRR with 21 food groups as predictors as well as total cholesterol, low-density lipoprotein (LDL) cholesterol, high-density lipoprotein (HDL) cholesterol, triglycerides, body mass index (BMI), and waist circumference from the responses of 17,318 participants from the second resurvey of the China Kadoorie Biobank (CKB). The dietary scores were calculated for the entire cohort. We followed up 479,207 participants for diabetes incidence from the baseline and used multivariable Cox regression models to estimate the hazard ratios (HRs) and 95% confidence intervals (CIs). Results: Two lipid metabolism-related dietary patterns were extracted. The dietary pattern—characterized by high intakes of fish, poultry, and other staples as well as fresh fruit and vegetables—was correlated with a higher BMI, waist circumference, and LDL cholesterol. Participants in the highest quintile (Q5) had a 44% increased risk of diabetes incidence when compared with those in the lowest quintile (Q1) (HR = 1.44; 95% CI: 1.31–1.59). Conclusions: A dietary pattern characterized by high intakes of both animal and plant foods was related to obesity and dyslipidemia and could increase the risk of diabetes incidence. Full article
(This article belongs to the Special Issue Dietary Patterns and Cardiovascular Disease Risk in Asia)
Show Figures

Figure 1

17 pages, 3607 KB  
Article
Baicalin Targets HSP70/90 to Regulate PKR/PI3K/AKT/eNOS Signaling Pathways
by Yinzhu Hou, Zuqing Liang, Luyu Qi, Chao Tang, Xingkai Liu, Jilin Tang, Yao Zhao, Yanyan Zhang, Tiantian Fang, Qun Luo, Shijun Wang and Fuyi Wang
Molecules 2022, 27(4), 1432; https://doi.org/10.3390/molecules27041432 - 21 Feb 2022
Cited by 11 | Viewed by 3996
Abstract
Baicalin is a major active ingredient of traditional Chinese medicine Scutellaria baicalensis, and has been shown to have antiviral, anti-inflammatory, and antitumor activities. However, the protein targets of baicalin have remained unclear. Herein, a chemical proteomics strategy was developed by combining baicalin-functionalized [...] Read more.
Baicalin is a major active ingredient of traditional Chinese medicine Scutellaria baicalensis, and has been shown to have antiviral, anti-inflammatory, and antitumor activities. However, the protein targets of baicalin have remained unclear. Herein, a chemical proteomics strategy was developed by combining baicalin-functionalized magnetic nanoparticles (BCL-N3@MNPs) and quantitative mass spectrometry to identify the target proteins of baicalin. Bioinformatics analysis with the use of Gene Ontology, STRING and Ingenuity Pathway Analysis, was performed to annotate the biological functions and the associated signaling pathways of the baicalin targeting proteins. Fourteen proteins in human embryonic kidney cells were identified to interact with baicalin with various binding affinities. Bioinformatics analysis revealed these proteins are mainly ATP-binding and/or ATPase activity proteins, such as CKB, HSP86, HSP70-1, HSP90, ATPSF1β and ACTG1, and highly associated with the regulation of the role of PKR in interferon induction and the antiviral response signaling pathway (P = 10−6), PI3K/AKT signaling pathway (P = 10−5) and eNOS signaling pathway (P = 10−4). The results show that baicalin exerts multiply pharmacological functions, such as antiviral, anti-inflammatory, antitumor, and antioxidant functions, through regulating the PKR and PI3K/AKT/eNOS signaling pathways by targeting ATP-binding and ATPase activity proteins. These findings provide a fundamental insight into further studies on the mechanism of action of baicalin. Full article
Show Figures

Graphical abstract

11 pages, 630 KB  
Article
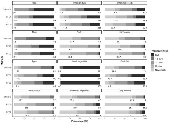
The Relative Validity and Reproducibility of Food Frequency Questionnaires in the China Kadoorie Biobank Study
by Chenxi Qin, Yu Guo, Pei Pei, Huaidong Du, Ling Yang, Yiping Chen, Xi Shen, Zumin Shi, Lu Qi, Junshi Chen, Zhengming Chen, Canqing Yu, Jun Lv and Liming Li
Nutrients 2022, 14(4), 794; https://doi.org/10.3390/nu14040794 - 14 Feb 2022
Cited by 42 | Viewed by 4947
Abstract
Background: Short versions of qualitative and quantitative food frequency questionnaires (FFQs) are widely used to assess usual food intake. However, fewer studies evaluated their relative validity and reproducibility in the Chinese population. Methods: This study compared 12-day 24-h dietary recalls with qualitative and [...] Read more.
Background: Short versions of qualitative and quantitative food frequency questionnaires (FFQs) are widely used to assess usual food intake. However, fewer studies evaluated their relative validity and reproducibility in the Chinese population. Methods: This study compared 12-day 24-h dietary recalls with qualitative and quantitative FFQs designed by the China Kadoorie Biobank (CKB) study to assess the relative validity. Two FFQs were administered in the second and third seasons and compared to evaluate the reproducibility. Statistical tests included Spearman correlation coefficients, weighted kappa, and cross-classification. Results: A total of 432 participants were eligible after stratifying by age, sex, and four regions. In the validation of qualitative FFQ, adjusted Spearman coefficients were between 0.23 and 0.59, and weighted kappa coefficients ranged from 0.61 to 0.88, except for fresh vegetables. The percentage of correct classification was highest in fresh vegetables and lowest in fresh fruit, but the percentages of extreme classification were below 3.0%. Corresponding Spearman and kappa coefficients for the reproducibility were 0.17–0.56 and 0.62–0.90. Furthermore, the correct classification constituted between 35.6 and 93.3% of all participants. Regarding the relative validity of the quantitative FFQ, Spearman coefficients ranged from 0.14 to 0.69 in addition to dried vegetables and carbonated soft drinks. For items with more than two-thirds of total participants consumed, weighted kappa coefficients were from 0.57 to 0.79; correct classification percentages were between 34.6% and 67.5%. Spearman and kappa coefficients for the reproducibility of the quantitative FFQ were 0.15–0.71 and 0.60–0.86, respectively; correct classification percentages varied from 47.8% to 71.6%. Conclusion: Most food items from the qualitative FFQ showed acceptable or even good relative validity and reproducibility in the CKB study. Likewise, major food items in the quantitative FFQ were valid and reproducible, but poor performances of dried vegetables and carbonated soft drinks indicated the need for modification and validation in future research. Full article
(This article belongs to the Section Nutritional Epidemiology)
Show Figures

Figure 1

Back to TopTop