The Relative Validity and Reproducibility of Food Frequency Questionnaires in the China Kadoorie Biobank Study
Abstract
:1. Introduction
2. Methods
2.1. FFQs in the CKB
2.2. Relative Validity and Reproducibility of FFQ
2.3. Study Population
2.4. Quality Control
2.5. Statistical Analyses
3. Results
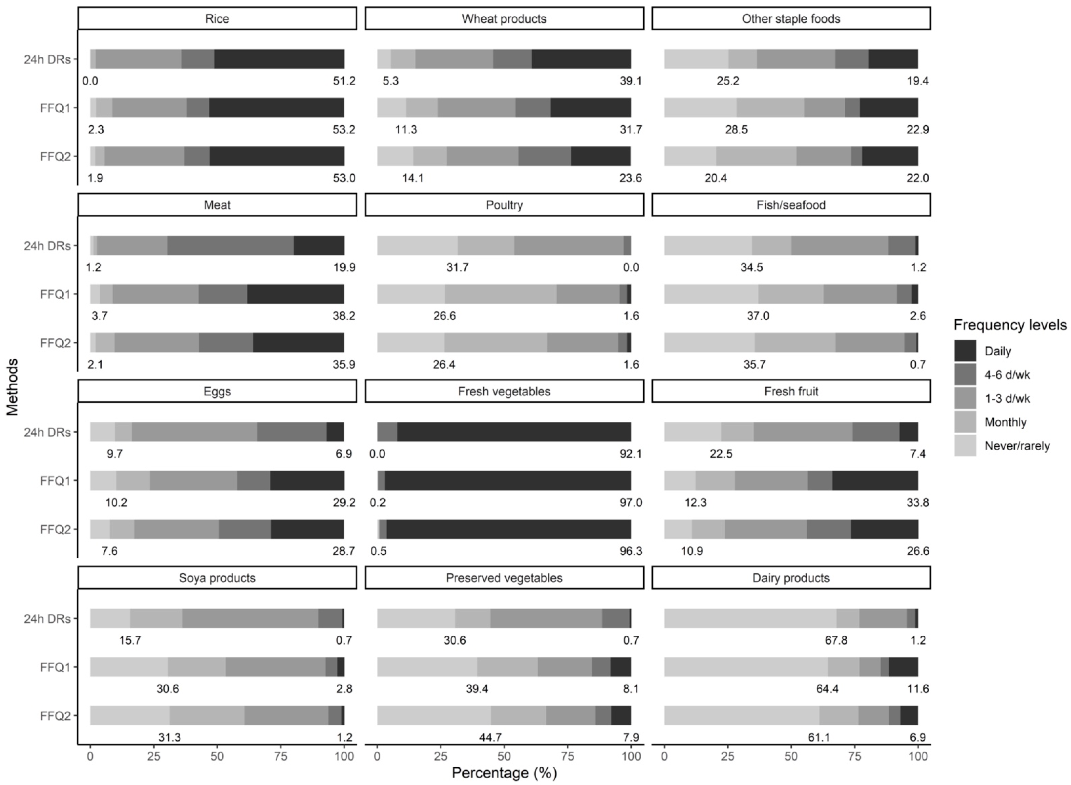
3.1. Relative Validity and Reproducibility of the Qualitative FFQ
3.2. Relative Validity and Reproducibility of the Quantitative FFQ
4. Discussion
5. Conclusions
Supplementary Materials
Author Contributions
Funding
Institutional Review Board Statement
Informed Consent Statement
Data Availability Statement
Acknowledgments
Conflicts of Interest
References
- Willett, W. Nutritional Epidemiology; Oxford University Press: Oxford, UK, 2012. [Google Scholar]
- Noethlings, U.; Hoffmann, K.; Bergmann, M.M.; Boeing, H. European Investigation into C, Nutrition. Portion size adds limited information on variance in food intake of participants in the EPIC-Potsdam study. J. Nutr. 2003, 133, 510–515. [Google Scholar] [CrossRef] [PubMed]
- Samet, J.M.; Humble, C.G.; Skipper, B.E. Alternatives in the collection and analysis of food frequency interview data. Am. J. Epidemiol. 1984, 120, 572–581. [Google Scholar] [CrossRef] [PubMed]
- Cade, J.; Thompson, R.; Burley, V.; Warm, D. Development, validation and utilisation of food-frequency questionnaires—A review. Public Health Nutr. 2002, 5, 567–587. (In English) [Google Scholar] [CrossRef] [PubMed] [Green Version]
- Hunter, D.J.; Sampson, L.; Stampfer, M.J.; Colditz, G.A.; Rosner, B.; Willett, W.C. Variability in portion sizes of commonly consumed foods among a population of women in the United States. Am. J. Epidemiol. 1988, 127, 1240–1249. (In English) [Google Scholar] [CrossRef]
- Zhao, W.-H.; Huang, Z.-P.; Zhang, X.; He, L.; Willett, W.; Wang, J.-L.; Hasegawa, K.; Chen, J.-S. Reproducibility and Validity of a Chinese Food Frequency Questionnaire. Biomed. Environ. Sci. 2010, 23, 1–38. [Google Scholar] [CrossRef]
- Shu, X.O.; Yang, G.; Jin, F.; Liu, D.; Kushi, L.; Wen, W.; Gao, Y.-T.; Zheng, W. Validity and reproducibility of the food frequency questionnaire used in the Shanghai Women’s Health Study. Eur. J. Clin. Nutr. 2004, 58, 17–23. Available online: https://www.nature.com/articles/1601738.pdf (accessed on 14 January 2022). [CrossRef] [Green Version]
- Villegas, R.; Yang, G.; Liu, D.; Xiang, Y.-B.; Cai, H.; Zheng, W.; Shu, X.O. Validity and reproducibility of the food-frequency questionnaire used in the Shanghai men’s health study. Br. J. Nutr. 2007, 97, 993–1000. (In English) [Google Scholar] [CrossRef] [Green Version]
- Hu, F.B.; Satija, A.; Rimm, E.B.; Spiegelman, D.; Sampson, L.; Rosner, B.; Camargo, C.A.; Stampfer, M.; Willett, W.C. Diet Assessment Methods in the Nurses’ Health Studies and Contribution to Evidence-Based Nutritional Policies and Guidelines. Am. J. Public Health 2016, 106, 1567–1572. [Google Scholar] [CrossRef]
- Bohlscheid-Thomas, S.; Hoting, I.; Boeing, H.; Wahrendorf, J. Reproducibility and relative validity of energy and macronutrient intake of a food frequency questionnaire developed for the German part of the EPIC project. European Prospective Investigation into Cancer and Nutrition. Int. J. Epidemiol. 1997, 26 (Suppl. 1), S71–S81. (In English) [Google Scholar] [CrossRef] [Green Version]
- Chen, Z.; Lee, L.; Chen, J.; Collins, R.; Wu, F.; Guo, Y.; Linksted, P.; Peto, R. Cohort profile: The Kadoorie Study of Chronic Disease in China (KSCDC). Int. J. Epidemiol. 2005, 34, 1243–1249. [Google Scholar] [CrossRef] [Green Version]
- Chen, Z.; Chen, J.; Collins, R.; Guo, Y.; Peto, R.; Wu, F.; Li, L.; on behalf of the China Kadoorie Biobank (CKB) Collaborative Group. China Kadoorie Biobank of 0.5 million people: Survey methods, baseline characteristics and long-term follow-up. Int. J. Epidemiol. 2011, 40, 1652–1666. [Google Scholar] [CrossRef] [PubMed] [Green Version]
- Zhang, C.X.; Ho, S.C. Validity and reproducibility of a food frequency Questionnaire among Chinese women in Guangdong province. Asia Pac. J. Clin. Nutr. 2009, 18, 240–250. (In English) [Google Scholar] [PubMed]
- National Institute of Nutrition and Health, China CDC. China Food Composition 2002, 1st ed.; Medical University Press: Beijing, China, 2002. [Google Scholar]
- National Institute of Nutrition and Health, China CDC. China Food Composition, 2nd ed.; Medical University Press: Beijing, China, 2009. [Google Scholar]
- Lombard, M.J.; Steyn, N.P.; Charlton, K.E.; Senekal, M. Application and interpretation of multiple statistical tests to evaluate validity of dietary intake assessment methods. Nutr. J. 2015, 14, 40. [Google Scholar] [CrossRef] [PubMed] [Green Version]
- Masson, L.F.; Mcneill, G.; Tomany, J.O.; Simpson, J.; Peace, H.; Wei, L.; Grubb, D.; Bolton-Smith, C. Statistical approaches for assessing the relative validity of a food-frequency questionnaire: Use of correlation coefficients and the kappa statistic. Public Health Nutr. 2003, 6, 313–321. [Google Scholar] [CrossRef]
- Cui, Q.; Xia, Y.; Wu, Q.; Chang, Q.; Niu, K.; Zhao, Y. A meta-analysis of the reproducibility of food frequency questionnaires in nutritional epidemiological studies. Int. J. Behav. Nutr. Phys. Act. 2021, 18, 12. [Google Scholar] [CrossRef]
- Qin, C.; Yu, C.; Du, H.; Guo, Y.; Bian, Z.; Lyu, J.; Zhou, H.; Tan, Y.; Chen, J.; Chen, Z.; et al. Differences in diet intake frequency of adults: Findings from half a million people in 10 areas in China. Zhonghua Liu Xing Bing Xue Za Zhi 2015, 36, 911–916. Available online: https://www.ncbi.nlm.nih.gov/pubmed/26814852 (accessed on 14 January 2022).
- Qin, C.; Lv, J.; Guo, Y.; Bian, Z.; Si, J.; Yang, L.; Chen, Y.; Zhou, Y.; Zhang, H.; Liu, J.; et al. Associations of egg consumption with cardiovascular disease in a cohort study of 0.5 million Chinese adults. Heart 2018, 104, 1756–1763. [Google Scholar] [CrossRef] [Green Version]
- Lv, J.; Yu, C.; Guo, Y.; Bian, Z.; Yang, L.; Chen, Y.; Tang, X.; Zhang, W.; Qian, Y.; Huang, Y.; et al. Adherence to Healthy Lifestyle and Cardiovascular Diseases in the Chinese Population. J. Am. Coll. Cardiol. 2017, 69, 1116–1125. [Google Scholar] [CrossRef]
- Du, H.; Li, L.; Bennett, D.; Guo, Y.; Key, T.J.; Bian, Z.; Sherliker, P.; Gao, H.; Chen, Y.; Yang, L.; et al. Fresh Fruit Consumption and Major Cardiovascular Disease in China. N. Engl. J. Med. 2016, 374, 1332–1343. [Google Scholar] [CrossRef]
- Kaaks, R.; Slimani, N.; Riboli, E. Pilot phase studies on the accuracy of dietary intake measurements in the EPIC project: Overall evaluation of results. European Prospective Investigation into Cancer and Nutrition. Int. J. Epidemiol. 1997, 26 (Suppl. 1), S26–S36. (In English) [Google Scholar] [CrossRef] [Green Version]
- Liu, B.; Young, H.; Crowe, F.L.; Benson, V.S.; Spencer, E.A.; Key, T.J.; Appleby, P.N.; Beral, V. Development and evaluation of the Oxford WebQ, a low-cost, web-based method for assessment of previous 24 h dietary intakes in large-scale prospective studies. Public Health Nutr. 2011, 14, 1998–2005. [Google Scholar] [CrossRef] [PubMed] [Green Version]
- Boeing, H.; Bohlscheid-Thomas, S.; Voss, S.; Schneeweiss, S.; Wahrendorf, J. The relative validity of vitamin intakes derived from a food frequency questionnaire compared to 24-h recalls and biological measurements: Results from the EPIC pilot study in Germany. European Prospective Investigation into Cancer and Nutrition. Int. J. Epidemiol. 1997, 26 (Suppl. 1), S82–S90. [Google Scholar] [CrossRef] [PubMed] [Green Version]
- Bradbury, K.E.; Young, H.J.; Guo, W.; Key, T.J. Dietary assessment in UK Biobank: An evaluation of the performance of the touchscreen dietary questionnaire. J. Nutr. Sci. 2018, 7, e6. [Google Scholar] [CrossRef] [PubMed] [Green Version]
- Goldbohm, R.A.; van’t Veer, P.; van den Brandt, P.A.; van’t Hof, M.A.; Brants, H.A.; Sturmans, F.; Hermus, R.J. Reproducibility of a food frequency questionnaire and stability of dietary habits determined from five annually repeated measurements. Eur. J. Clin. Nutr. 1995, 49, 420–429. Available online: https://www.ncbi.nlm.nih.gov/pubmed/7656885 (accessed on 14 January 2022). [PubMed]
- Tsubono, Y.; Nishino, Y.; Fukao, A.; Hisamichi, S.; Tsugane, S. Temporal change in the reproducibility of a self-administered food frequency questionnaire. Am. J. Epidemiol. 1995, 142, 1231–1235. [Google Scholar] [CrossRef] [PubMed]
- Sim, J.; Wright, C.C. The kappa statistic in reliability studies: Use, interpretation, and sample size requirements. Phys. Ther. 2005, 85, 257–268. [Google Scholar] [CrossRef] [Green Version]

| Regions | Age Group | Qualitative FFQ | Quantitative FFQ | ||||
|---|---|---|---|---|---|---|---|
| Men | Women | Overall | Men | Women | Overall | ||
| Qingdao (Urban) | <50 | 0 | 8 | 97 | 0 | 8 | 89 |
| 50–59 | 12 | 10 | 9 | 9 | |||
| ≥60 | 29 | 38 | 29 | 34 | |||
| Sichuan (Rural) | <50 | 17 | 24 | 108 | 17 | 24 | 101 |
| 50–59 | 18 | 17 | 18 | 14 | |||
| ≥60 | 19 | 13 | 19 | 9 | |||
| Henan (Rural) | <50 | 33 | 22 | 119 | 33 | 22 | 118 |
| 50–59 | 17 | 19 | 17 | 18 | |||
| ≥60 | 13 | 15 | 13 | 15 | |||
| Zhejiang (Rural) | <50 | 19 | 16 | 108 | 19 | 16 | 108 |
| 50–59 | 18 | 19 | 18 | 18 | |||
| ≥60 | 20 | 16 | 20 | 16 | |||
| Overall | 215 | 217 | 432 | 212 | 203 | 416 | |
| Food Groups | Weighted Kappa | Adjusted Spearman | Cross-Classification | |||
|---|---|---|---|---|---|---|
| Same Groups | Adjacent Groups | Extreme Groups | Others | |||
| Rice | 0.88 | 0.54 | 76.0 | 19.1 | 0.2 | 4.8 |
| Wheat products | 0.80 | 0.37 | 46.2 | 35.1 | <0.1 | 18.8 |
| Other staple foods | 0.80 | 0.23 | 39.7 | 40.2 | 0.9 | 19.3 |
| Meat | 0.61 | 0.34 | 41.3 | 49.3 | <0.1 | 9.4 |
| Poultry | 0.64 | 0.25 | 43.7 | 44.7 | <0.1 | 11.6 |
| Fish/seafood | 0.73 | 0.59 | 47.7 | 41.8 | <0.1 | 10.4 |
| Eggs | 0.65 | 0.49 | 34.6 | 44.7 | 0.5 | 20.3 |
| Fresh vegetables | 0.06 * | 0.02 * | 89.3 | 10.1 | 0.4 | 0.3 |
| Fresh fruit | 0.72 | 0.53 | 31.4 | 41.3 | 2.2 | 25.2 |
| Soya products | 0.65 | 0.36 | 39.8 | 38.7 | <0.1 | 21.6 |
| Preserved vegetables | 0.81 | 0.39 | 38.5 | 27.5 | 0.9 | 33.3 |
| Dairy products | 0.75 | 0.47 | 58.1 | 22.6 | 1.3 | 18.0 |
| Food Groups | Weighted Kappa | Adjusted Spearman | Cross-classification | |||
|---|---|---|---|---|---|---|
| Same Groups | Adjacent Groups | Extreme Groups | Others | |||
| Rice | 0.90 | 0.56 | 75.9 | 17.1 | 0.7 | 6.3 |
| Wheat products | 0.81 | 0.43 | 46.5 | 37.3 | <0.1 | 16.3 |
| Other staple foods | 0.85 | 0.28 | 47.7 | 32.2 | 2.3 | 17.8 |
| Meat | 0.77 | 0.36 | 49.3 | 33.8 | 0.7 | 16.2 |
| Poultry | 0.62 | 0.26 | 46.1 | 40.7 | <0.1 | 13.2 |
| Fish/seafood | 0.75 | 0.49 | 53.2 | 34.3 | 0.5 | 12.1 |
| Eggs | 0.77 | 0.41 | 39.4 | 32.9 | 1.4 | 26.4 |
| Fresh vegetables | −0.01 * | −0.03 * | 93.3 | 5.3 | 0.7 | 0.7 |
| Fresh fruit | 0.81 | 0.42 | 41.2 | 30.1 | 3.5 | 25.2 |
| Soya products | 0.65 | 0.17 | 35.6 | 38.0 | 0.5 | 25.9 |
| Preserved vegetables | 0.75 | 0.31 | 39.4 | 32.6 | 2.5 | 25.5 |
| Dairy products | 0.82 | 0.39 | 57.4 | 22.2 | 5.3 | 15.1 |
| Food Groups | Median (Interquartile) g/d | Wilcoxon Test 1st vs. 2nd FFQ | ||
|---|---|---|---|---|
| 24 h DRs | 1st Quantitative FFQ | 2nd Quantitative FFQ | ||
| Original groups | ||||
| Rice | 91.5 (46.3–199.9) | 103.6 (28.6–300.0) | 107.1 (39.3–250.0) | 0.46 |
| Wheat products | 74.9 (11.9–194.4) | 42.9 (23.2–107.1) * | 42.9 (8.9–100.0) * | 0.03 * |
| Other staple foods | 24.8 (0.8–72.3) | 10.7 (0.0–50.0) * | 14.3 (7.1–50.0) | 0.05 * |
| Meat | 45.0 (25.6–67.7) | 50.0 (28.6–100.0) | 50.0 (28.6–100.0) * | 0.12 |
| Poultry | 6.2 (0.0–16.6) | 7.1 (0.0–14.3) | 7.1 (0.0–28.6) * | 0.08 |
| Fish/seafood | 8.3 (0.0–31.0) | 7.1 (0.0–28.6) | 7.1 (0.0–28.6) | 0.84 |
| Eggs | 29.6 (13.3–55.0) | 15.7 (15.7–55.0) | 31.4 (15.7–55.0) | 0.15 |
| Fresh vegetables | 33.3 (6.7–106.1) | 57.1 (14.3–107.1) * | 57.1 (28.6–142.9) * | 0.63 |
| Fresh fruit | 228.3 (66.4–306.3) | 200.0 (150.0–300.0) * | 200.0 (150.0–300.0) * | 0.29 |
| Split groups | ||||
| Soya products (excluding liquids) | 13.3 (4.2–28.8) | 7.1 (0.0–28.6) * | 7.1 (0.0–28.6) * | 0.19 |
| Soymilk | 0.0 (0.0–0.0) | 0.0 (0.0–0.0) | 0.0 (0.0–0.0) * | 0.28 |
| Salted vegetables | 4.2 (0.0–11.3) | 3.6 (0.0–14.3) * | 0.0 (0.0–3.6) * | <0.05 * |
| Pickled vegetables | 0.0 (0.0–0.0) | 0.0 (0.0–3.6) * | 0.0 (0.0–0.0) * | 0.51 |
| Milk | 0.0 (0.0–20.0) | 0.0 (0.0–17.9) | 0.0 (0.0–17.9) | 0.49 |
| Yoghurt | 0.0 (0.0–0.0) | 0.0 (0.0–0.0) | 0.0 (0.0–0.0) | 0.28 |
| Other dairy foods | 0.0 (0.0–0.0) | 0.0 (0.0–0.0) | 0.0 (0.0–0.0) | 0.43 |
| Added groups | ||||
| Dried vegetables | 0.9 (0.0–2.8) | 3.6 (0.0–7.1) * | 3.6 (0.0–7.1) * | 0.06 |
| Pure fruit/vegetable juiceǂ | - | 0.0 (0.0–0.0) | 0.0 (0.0–0.0) | 0.11 |
| Carbonated soft drinks | 0.0 (0.0–0.0) | 0.0 (0.0–0.0) * | 0.0 (0.0–0.0) * | 0.14 |
| Other cold soft drinks | 0.0 (0.0–0.0) | 0.0 (0.0–0.0) | 0.0 (0.0–0.0) * | 0.03 * |
| Food Groups | Adjusted Spearman | Weighted Kappa | Cross-Classification | ||
|---|---|---|---|---|---|
| Same Tertile | Adjacent Tertile | Opposite Tertile | |||
| Original groups | |||||
| Rice | 0.42 | 0.79 | 67.5 | 31.9 | 0.6 |
| Wheat products | 0.34 | 0.71 | 57.9 | 41.4 | 0.7 |
| Other staple foods | 0.15 | 0.71 | 54.1 | 38.7 | 7.2 |
| Meat | 0.32 | 0.68 | 47.9 | 39.1 | 13.1 |
| Poultry | 0.26 | 0.66 | 47.9 | 41.8 | 10.4 |
| Fish/seafood | 0.42 | 0.72 | 55.8 | 38.8 | 5.4 |
| Eggs | 0.41 | 0.69 | 52.0 | 39.2 | 8.9 |
| Fresh vegetables | 0.14 | 0.57 | 38.3 | 44.0 | 17.8 |
| Fresh fruit | 0.48 | 0.71 | 54.5 | 39.0 | 6.6 |
| Split groups | |||||
| Soya products (excluding liquids) | 0.27 | 0.63 | 44.2 | 42.6 | 13.2 |
| Soymilk | 0.27 | - | - | - | - |
| Salted vegetables | 0.30 | 0.81 | 54.0 | 22.5 | 23.6 |
| Pickled vegetables | 0.69 | - | - | - | - |
| Milk | 0.43 | - | - | - | - |
| Yoghurt | 0.36 | - | - | - | - |
| Other dairy foods | 0.31 | - | - | - | - |
| Added groups | |||||
| Dried vegetables | 0.04 * | - | 36.2 | 41.5 | 22.4 |
| Pure fruit/vegetable juiceǂ | - | - | - | - | - |
| Carbonated soft drinks | 0.05 * | - | - | - | - |
| Other cold soft drinks | 0.18 | - | - | - | - |
| Food Groups | Adjusted Spearman | Weighted Kappa | Cross-Classification | ||
|---|---|---|---|---|---|
| Same Tertile | Adjacent Tertile | Opposite Tertile | |||
| Original groups | |||||
| Rice | 0.40 | 0.79 | 71.6 | 28.1 | 0.2 |
| Wheat products | 0.31 | 0.75 | 58.9 | 39.4 | 1.7 |
| Other staple foods | 0.15 | 0.72 | 57.0 | 34.6 | 8.4 |
| Meat | 0.32 | 0.68 | 54.3 | 36.3 | 9.4 |
| Poultry | 0.21 | 0.65 | 50.7 | 36.1 | 13.2 |
| Fish/seafood | 0.39 | 0.71 | 55.3 | 36.8 | 7.9 |
| Eggs | 0.41 | 0.69 | 47.1 | 42.3 | 10.6 |
| Fresh vegetables | 0.16 | 0.60 | 45.0 | 40.9 | 14.2 |
| Fresh fruit | 0.50 | 0.75 | 49.8 | 37.5 | 12.7 |
| Split groups | |||||
| Soya products (excluding liquids) | 0.26 | 0.62 | 42.1 | 42.8 | 15.1 |
| Soymilk | 0.26 | - | - | - | - |
| Salted vegetables | 0.38 | 0.86 | 51.4 | 19.5 | 29.1 |
| Pickled vegetables | 0.71 | - | - | - | - |
| Milk | 0.38 | - | - | - | - |
| Yoghurt | 0.35 | - | - | - | - |
| Other dairy foods | 0.39 | - | - | - | - |
| Added groups | |||||
| Dried vegetables | 0.06 * | - | 47.8 | 36.8 | 15.4 |
| Pure fruit/vegetable juice | - | - | - | - | - |
| Carbonated soft drinks | 0.04 * | - | - | - | - |
| Other cold soft drinks | 0.22 | - | - | - | - |
Publisher’s Note: MDPI stays neutral with regard to jurisdictional claims in published maps and institutional affiliations. |
© 2022 by the authors. Licensee MDPI, Basel, Switzerland. This article is an open access article distributed under the terms and conditions of the Creative Commons Attribution (CC BY) license (https://creativecommons.org/licenses/by/4.0/).
Share and Cite
Qin, C.; Guo, Y.; Pei, P.; Du, H.; Yang, L.; Chen, Y.; Shen, X.; Shi, Z.; Qi, L.; Chen, J.; et al. The Relative Validity and Reproducibility of Food Frequency Questionnaires in the China Kadoorie Biobank Study. Nutrients 2022, 14, 794. https://doi.org/10.3390/nu14040794
Qin C, Guo Y, Pei P, Du H, Yang L, Chen Y, Shen X, Shi Z, Qi L, Chen J, et al. The Relative Validity and Reproducibility of Food Frequency Questionnaires in the China Kadoorie Biobank Study. Nutrients. 2022; 14(4):794. https://doi.org/10.3390/nu14040794
Chicago/Turabian StyleQin, Chenxi, Yu Guo, Pei Pei, Huaidong Du, Ling Yang, Yiping Chen, Xi Shen, Zumin Shi, Lu Qi, Junshi Chen, and et al. 2022. "The Relative Validity and Reproducibility of Food Frequency Questionnaires in the China Kadoorie Biobank Study" Nutrients 14, no. 4: 794. https://doi.org/10.3390/nu14040794
APA StyleQin, C., Guo, Y., Pei, P., Du, H., Yang, L., Chen, Y., Shen, X., Shi, Z., Qi, L., Chen, J., Chen, Z., Yu, C., Lv, J., & Li, L. (2022). The Relative Validity and Reproducibility of Food Frequency Questionnaires in the China Kadoorie Biobank Study. Nutrients, 14(4), 794. https://doi.org/10.3390/nu14040794

