Sign in to use this feature.

Years

Between: -

Subjects

remove_circle_outline
remove_circle_outline
remove_circle_outline
remove_circle_outline
remove_circle_outline
remove_circle_outline
remove_circle_outline
remove_circle_outline
remove_circle_outline

Journals

Article Types

Countries / Regions

Search Results (227)

Search Parameters:
Keywords = CFD-DEM coupling

Order results
Result details
Results per page
Select all
Export citation of selected articles as:
28 pages, 2199 KB  
Review
Simulation of Energetic Powder Processing: A Comprehensive Review
by Zhengliang Yang, Dashun Zhang, Liqin Miao, Suwei Wang, Wei Jiang, Gazi Hao and Lei Xiao
Symmetry 2026, 18(1), 156; https://doi.org/10.3390/sym18010156 - 14 Jan 2026
Abstract
Energetic powder processing includes comminution, sieving, drying, conveying, mixing, and packaging, all of which determine product performance and safety. With growing requirements for efficiency and reliability, numerical simulation has become essential for analyzing mechanisms, optimizing parameters, and supporting equipment design. This review summarizes [...] Read more.
Energetic powder processing includes comminution, sieving, drying, conveying, mixing, and packaging, all of which determine product performance and safety. With growing requirements for efficiency and reliability, numerical simulation has become essential for analyzing mechanisms, optimizing parameters, and supporting equipment design. This review summarizes recent progress in simulation techniques such as the discrete element method (DEM), computational fluid dynamics (CFD), and multi-scale coupling while also evaluating their predictive capabilities and limitations across various unit operations and safety concerns such as electrostatic hazards. It, thus, establishes the core “property–parameter–performance” relationships and clarifies mechanisms in multiphase flow, energy transfer, and charge accumulation, and highlights the role of symmetry in improving simulation efficiency. By highlighting persistent challenges, this work lays a foundation for future research, guiding the development of theoretical frameworks and practical solutions for advanced powder processing. Full article
(This article belongs to the Special Issue Symmetry in Multiphase Flow Modeling)
28 pages, 6125 KB  
Article
Experimental Study on Optimization of Gravel Packing Parameters for Sand Control in Unconsolidated Sandstone Reservoirs
by Peng Du, Hairui Guo, Youkeren An and Yiqun Zhang
J. Mar. Sci. Eng. 2026, 14(2), 139; https://doi.org/10.3390/jmse14020139 - 9 Jan 2026
Viewed by 116
Abstract
Offshore unconsolidated sandstone reservoirs suffer from severe sand production, which impairs wellbore stability and productivity. This study evaluates gravel packing in light-oil unconsolidated sandstone reservoirs in the Weizhou field. This paper conducts visual sand-control experiments to compare screens and gravel packs, and to [...] Read more.
Offshore unconsolidated sandstone reservoirs suffer from severe sand production, which impairs wellbore stability and productivity. This study evaluates gravel packing in light-oil unconsolidated sandstone reservoirs in the Weizhou field. This paper conducts visual sand-control experiments to compare screens and gravel packs, and to quantify the effects of gravel size, packing thickness, packing density, and clay content on sand-retention behavior. On this basis, a coupled CFD–DEM model was developed to simulate sand transport and plugging within the gravel pack. Results show that gravel packing rapidly forms a stable bridging structure, reaching stabilized production 38.1% earlier than the screen and reducing sand production by 74.4%, while maintaining a stable pressure difference and limiting fine-sand breakthrough. Low-viscosity oil enhances sand carrying, increasing the stabilized pressure difference by 12% relative to water. For the low-clay fine reservoir, gravel sizes of 3–6 times the median sand size, packing thickness ≥ 25 mm, and packing density of 90–95% provide a balance between permeability and sand control. Numerical simulations identify a four-stage plugging process—initiation, surface accumulation, deep filling, and equilibrium—offering pore-scale support for the experimental observations. This study offers technical and theoretical guidance for the optimization of gravel-pack sand control in offshore light-oil unconsolidated sandstone reservoirs. Full article
(This article belongs to the Section Ocean Engineering)
Show Figures

Figure 1

26 pages, 5532 KB  
Article
Numerical Investigation of Horizontal Wellbore Hole Cleaning with a Flexible Drill Pipe Using the CFD–DEM
by Qizhong Tian, Yusha Fan, Yuan Lin, Peiwen Lin, Xinghui Tan, Haojie Si and Haocai Huang
Processes 2026, 14(2), 211; https://doi.org/10.3390/pr14020211 - 7 Jan 2026
Viewed by 180
Abstract
Efficient cutting transport is crucial in challenging drilling environments such as ultra-short-radius horizontal wells. Flexible drill pipes, designed for complex wellbore geometries, offer a potential solution. However, the cutting transport behavior within them remains poorly understood. To improve wellbore cleaning and drilling efficiency, [...] Read more.
Efficient cutting transport is crucial in challenging drilling environments such as ultra-short-radius horizontal wells. Flexible drill pipes, designed for complex wellbore geometries, offer a potential solution. However, the cutting transport behavior within them remains poorly understood. To improve wellbore cleaning and drilling efficiency, this study investigates the underlying transport mechanisms. The investigation employs a coupled CFD-DEM approach to model cutting transport in flexible drill pipes. This method combines fluid dynamics and particle motion simulations to analyze the interaction between drilling fluid and cuttings, evaluating the impact of factors such as rotational speed, flow rate, and fluid properties on cleaning efficiency. The results indicate that increasing the flow rate at a constant rotational speed significantly reduces the cutting concentration. Nevertheless, beyond a critical flow rate of 1.5 m/s, further increases yield diminishing returns in cleaning efficiency due to transport capacity saturation. In contrast, increasing the rotational speed at a fixed flow rate of 1.42 m/s has a less pronounced effect on cutting transport and increases frictional torque, thereby reducing energy efficiency. Higher rotational speeds primarily enhance the suspension of fine cuttings, with minimal impact on larger particles. Additionally, the rheological properties of the drilling fluid play a key role. A higher flow behavior index increases viscosity near the wellbore, improving transport performance. Conversely, a higher consistency index enhances the fluid’s carrying capacity but increases annular pressure drop, which imposes greater demands on pump capacity. Thus, optimal drilling performance requires balancing pressure losses and cleaning efficiency through comprehensive parameter optimization. Full article
(This article belongs to the Section Petroleum and Low-Carbon Energy Process Engineering)
Show Figures

Figure 1

23 pages, 5151 KB  
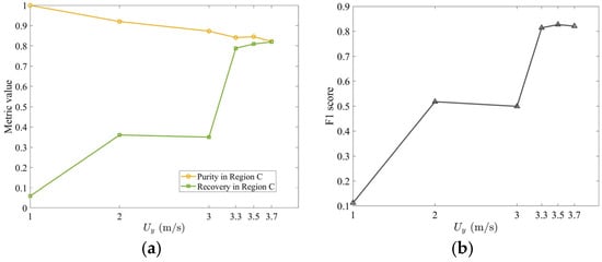
Article
Adaptive Pneumatic Separation Based on LGDNet Visual Perception for a Representative Fibrous–Granular Mixture
by Shan Jiang, Rifeng Wang, Sichuang Yang, Lulu Li, Hengchi Si, Xiulong Gao, Xuhong Chen, Lin Chen and Haihong Pan
Machines 2026, 14(1), 66; https://doi.org/10.3390/machines14010066 - 5 Jan 2026
Viewed by 169
Abstract
Pneumatic separation can exhibit unstable performance when the feed composition fluctuates while operating parameters remain fixed. This work investigates a perception-informed airflow regulation approach, demonstrated on a representative fibrous–granular mixture case study. We propose LGDNet, a lightweight visual ratio estimation network (0.08 M [...] Read more.
Pneumatic separation can exhibit unstable performance when the feed composition fluctuates while operating parameters remain fixed. This work investigates a perception-informed airflow regulation approach, demonstrated on a representative fibrous–granular mixture case study. We propose LGDNet, a lightweight visual ratio estimation network (0.08 M parameters) built with Ghost-based operations and learned grouped channel convolution (LGCC), to estimate mixture composition from dense images. A dedicated 21-class dataset (0–100% in 5% increments) containing approximately 21,000 augmented images was constructed for training and evaluation. LGDNet achieves a Top-1 accuracy of 66.86%, an interval accuracy of 74.10% within a ±5% tolerance, and an MAE of 4.85, with an average inference latency of 28.25 ms per image under the unified benchmark settings. To assess the regulation mechanism, a coupled CFD–DEM simulation model of a zigzag air classifier was built and used to compare a regime-dependent airflow policy with a fixed-velocity baseline under representative prescribed inlet ratios. Under high impurity loading (r=70%), the dynamic policy improves product purity by approximately 1.5 percentage points in simulation. Together, the real-image perception evaluation and the mechanism-level simulation study suggest the feasibility of using visual ratio estimation to inform airflow adjustment; broader generalization and further on-site validation on real equipment will be pursued in future work. Full article
(This article belongs to the Section Automation and Control Systems)
Show Figures

Figure 1

20 pages, 4153 KB  
Article
A CFD–DEM Study on Non-Spherical Cutting Transport in Extended-Reach Wells Under Rotary Drilling
by Zhaoyu Pang, Yanhan Liu, Bingxuan Li, Mengmeng Zhou, Yi Wu, Yi Sun and Xianzhi Song
Processes 2026, 14(1), 165; https://doi.org/10.3390/pr14010165 - 4 Jan 2026
Viewed by 148
Abstract
To investigate the accumulation and transport behavior of non-spherical particles during rotary drilling in extended-reach horizontal wells, a CFD–DEM numerical simulation study was carried out based on actual field drilling parameters. The effects of flow rate, drillpipe rotation speed, drilling fluid viscosity, and [...] Read more.
To investigate the accumulation and transport behavior of non-spherical particles during rotary drilling in extended-reach horizontal wells, a CFD–DEM numerical simulation study was carried out based on actual field drilling parameters. The effects of flow rate, drillpipe rotation speed, drilling fluid viscosity, and particle shape on cutting transport were systematically analyzed in terms of spatial distribution of particle concentration, microscopic movement velocity of particles, and annular pressure drop. A dimensionless pressure-drop–flow-pattern chart was then constructed to characterize the coupled flow–particle transport behavior. The results indicate that flow rate, rotation speed, viscosity, and cutting shape all markedly affect the transition from a stationary cutting bed to suspended transport. Increasing the flow rate, rotation speed, and viscosity promotes hole cleaning. However, once these parameters exceed a certain threshold, further improvements in cutting removal are accompanied by a sharp increase in annular pressure drop. The final Π–DPD dimensionless chart was developed, which can be used for rotary drilling parameter optimization in extended-reach wells, and Π ≈ (2.5–3.1) × 104 is recommended as the preferred range. Full article
Show Figures

Figure 1

26 pages, 6559 KB  
Article
Effects of Short, Flexible Fibers on Clogging and Erosion in a Sewage Pump
by Shuihua Zheng, Yiliang Li, Liuming Wang, Zenan Sun, Xueyan Zhao and Cheng Zhang
Water 2026, 18(1), 114; https://doi.org/10.3390/w18010114 - 2 Jan 2026
Viewed by 245
Abstract
Sewage pumps often handle complex multiphase flows containing rigid solid particles and flexible fibrous debris. These fibers can deform, entangle, and alter the flow, leading to clogging and the uneven erosion of pump components. In this study, we use coupled CFD–DEM simulations (validated [...] Read more.
Sewage pumps often handle complex multiphase flows containing rigid solid particles and flexible fibrous debris. These fibers can deform, entangle, and alter the flow, leading to clogging and the uneven erosion of pump components. In this study, we use coupled CFD–DEM simulations (validated by experiments) to analyze how short flexible fibers move within a model sewage pump and how they influence pump erosion. We show that fibers injected near the inlet center tend to remain in the impeller region longer, especially as fiber diameter increases, causing greater contact with the impeller surface. When fibers coexist with sand-like particles, fibers become trapped near the impeller inlet and deflect incoming particles, creating additional collisions and irregular erosion patterns. In general, fibers alone induce minimal erosion, but their interaction with particles substantially amplifies impeller wear, producing more random pitting as fiber concentration rises. These findings highlight how fiber–particle interactions must be considered for reliable pump operation and design. Full article
(This article belongs to the Special Issue Hydrodynamics in Pumping and Hydropower Systems, 2nd Edition)
Show Figures

Figure 1

37 pages, 2985 KB  
Review
Multiphysics Modelling and Optimization of Hydrogen-Based Shaft Furnaces: A Review
by Yue Yu, Feng Wang, Xiaodong Hao, Heping Liu, Bin Wang, Jianjun Gao and Yuanhong Qi
Processes 2026, 14(1), 138; https://doi.org/10.3390/pr14010138 - 31 Dec 2025
Viewed by 483
Abstract
Hydrogen-based direct reduction (H-DR) represents an environmentally benign and energy-efficient alternative in ironmaking that has significant industrial potential. This study reviews the current status of H-DR shaft furnaces and accompanying hydrogen-rich reforming technologies (steam and autothermal reforming), assessing the three dominant numerical frameworks [...] Read more.
Hydrogen-based direct reduction (H-DR) represents an environmentally benign and energy-efficient alternative in ironmaking that has significant industrial potential. This study reviews the current status of H-DR shaft furnaces and accompanying hydrogen-rich reforming technologies (steam and autothermal reforming), assessing the three dominant numerical frameworks used to analyze these processes: (i) porous medium continuum models, (ii) the Eulerian two-fluid model (TFMs), and (iii) coupled computational fluid dynamics (CFD)–discrete element method (DEM) models. The respective trade-offs in terms of computational cost and model accuracy are critically compared. Recent progress is evaluated from an engineering standpoint in four key areas: optimization of the pellet bed structure and gas distribution, thermal control of the reduction zone, sensitivity analysis of operating parameters, and industrial-scale model validation. Current limitations in predictive accuracy, computational efficiency, and plant-level transferability are identified, and possible mitigation strategies are discussed. Looking forward, high-fidelity multi-physics coupling, advanced mesoscale descriptions, AI-accelerated surrogate models, and rigorous uncertainty quantification can facilitate effective scalable and intelligent application of hydrogen-based shaft furnace simulations. Full article
(This article belongs to the Section Chemical Processes and Systems)
Show Figures

Figure 1

22 pages, 6286 KB  
Article
Kinematics and Dynamics Behaviour of Milling Media in Vertical Spiral Stirred Mill Based on DEM-CFD Coupling
by Ruijie Gu, Wenzhe Wu, Shuaifeng Zhao, Zhenyu Ma, Qiang Wang, Zhenzhong Qin and Yan Wang
Minerals 2026, 16(1), 24; https://doi.org/10.3390/min16010024 - 24 Dec 2025
Viewed by 204
Abstract
The kinematic and dynamic characteristics of the grinding media during the wet grinding process are investigated using a coupled Discrete Element Method (DEM)–Computational Fluid Dynamics (CFD) approach. Firstly, a coupled DEM-CFD model of the vertical spiral agitator mill is established and validated with [...] Read more.
The kinematic and dynamic characteristics of the grinding media during the wet grinding process are investigated using a coupled Discrete Element Method (DEM)–Computational Fluid Dynamics (CFD) approach. Firstly, a coupled DEM-CFD model of the vertical spiral agitator mill is established and validated with experimental torque measurements. Subsequently, a velocity analysis model is established using the vector decomposition method. The cylinder is then divided into multiple regions along its radial and axial directions. The effects of spiral agitator rotational speed, diameter, pitch, and media filling level are investigated with respect to the circumferential velocity, axial velocity, collision frequency, effective energy between media, and energy loss of the grinding media. The average effective energy between media is an innovative metric for evaluating the grinding effect. The results indicate that the peripheral region of the spiral agitator demonstrates superior kinematic and dynamic performance. The rotational speed of the spiral agitator exerts a highly significant influence on the kinematic and dynamic characteristics of the media. With a maximum rise of 0.2 m/s in circumferential velocity and a 16.7 J gain in total energy. The media filling level demonstrates a negligible influence on media kinematics, while it profoundly affects dynamic properties, evidenced by a substantial increase of 83.09 J in the total media–media energy. As the diameter increases, the peak media circumferential velocity shifts outward, and the total media–media energy rises by 5.4 J. The spiral agitator pitch has a minimal impact on both the kinematic and dynamic characteristics of the media. Full article
(This article belongs to the Section Mineral Processing and Extractive Metallurgy)
Show Figures

Graphical abstract

32 pages, 15541 KB  
Article
Coupled CFD–DEM Modeling of Sinkhole Development Due to Exfiltration from Buried Pipe Defects
by Jun Xu, Bryce Vaughan and Fei Wang
Eng 2025, 6(12), 365; https://doi.org/10.3390/eng6120365 - 14 Dec 2025
Viewed by 253
Abstract
Leakage from defective buried pipelines can lead to progressive soil erosion and void formation, ultimately resulting in ground collapse or sinkhole development. To better understand the underlying mechanisms of this process, this research utilizes a coupled computational fluid dynamics (CFD)–discrete element method (DEM) [...] Read more.
Leakage from defective buried pipelines can lead to progressive soil erosion and void formation, ultimately resulting in ground collapse or sinkhole development. To better understand the underlying mechanisms of this process, this research utilizes a coupled computational fluid dynamics (CFD)–discrete element method (DEM) modeling approach to investigate soil erosion processes driven by water leakage from defective underground pipelines. The numerical model captures fluid–particle interactions at both macroscopic and microscopic scales, providing detailed insights into erosion initiation, void zone evolution, and particle transport dynamics under varying hydraulic and geometric conditions. Parametric studies were conducted to evaluate the effects of exfiltration pressure, defect size, and particle diameter on erosion behavior. Results show that erosion intensity and particle migration increase with hydraulic pressure up to a threshold, beyond which compaction and particle bridging reduce sustained transport. The intermediate defect size (12.7 mm) consistently produced the most continuous and stable erosion channels, while smaller and larger defects exhibited localized or asymmetric detachment patterns. Particle size strongly influenced erosion susceptibility, with finer grains mobilized more readily under the same flow conditions. The CFD–DEM simulations successfully reproduce the nonlinear and self-reinforcing nature of internal erosion, revealing how hydraulic gradients and particle rearrangement govern the transition from local detachment to large-scale cavity development. These findings advance the understanding of subsurface instability mechanisms around leaking pipelines and provide a physically consistent CFD–DEM framework that aligns well with published studies. The model effectively reproduces the key stages of erosion observed in the literature, offering a valuable tool for assessing erosion-induced risks and for designing preventive measures to protect buried infrastructure. Full article
(This article belongs to the Special Issue Fluid-Structure Interaction in Civil Engineering)
Show Figures

Figure 1

24 pages, 4686 KB  
Article
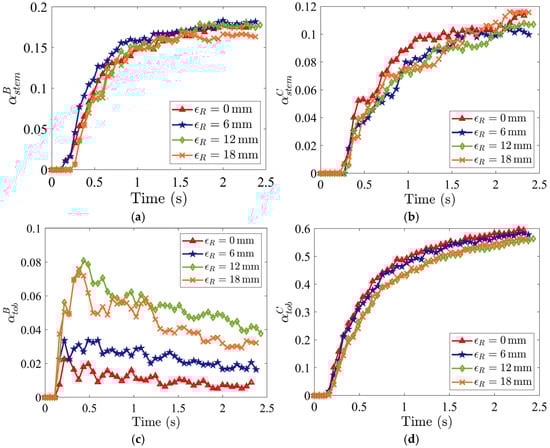
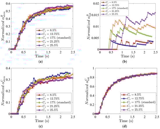
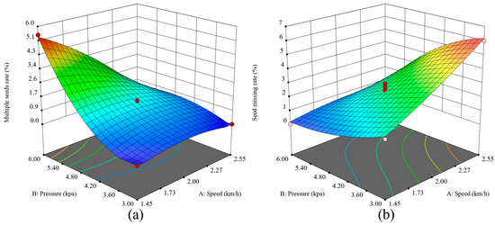
Parameter Calibration and Experimentation of the Discrete Element Model for Mixed Seeds of Vetch (Vicia villosa) and Oat (Avena sativa) in a Pneumatic Seed Drilling System
by Yu Fu, Dewei Wang, Xufeng Wang, Long Wang, Jianliang Hu, Xingguang Chi and Mao Ji
Appl. Sci. 2025, 15(24), 13048; https://doi.org/10.3390/app152413048 - 11 Dec 2025
Viewed by 195
Abstract
This paper focuses on mixed seeds of Vicia villosa and Avena sativa, with their discrete element model and contact parameters being systematically calibrated and validated to provide reliable theoretical support for the structural design and parameter optimization of the air-assisted seed delivery [...] Read more.
This paper focuses on mixed seeds of Vicia villosa and Avena sativa, with their discrete element model and contact parameters being systematically calibrated and validated to provide reliable theoretical support for the structural design and parameter optimization of the air-assisted seed delivery system. The physical properties of both seed types, including triaxial dimensions, density, moisture content, Poisson’s ratio, and shear modulus, were first measured. The Hertz–Mindlin (no slip) contact model and the multi-sphere aggregation method were employed to construct the discrete element models of Vicia villosa and Avena sativa, with preliminary calibration of the intrinsic model parameters. Poisson’s ratio, elastic modulus, collision restitution coefficient, static friction coefficient, and rolling friction coefficient between the seeds and PLA plastic plate were determined through uniaxial compression, free fall, inclined sliding, and inclined rolling tests. Each test was repeated five times, and the calibration criterion for contact parameters was based on minimizing the relative error between simulation and experimental results. Based on this, experiments on the packing angle of mixed seeds, steepest slope, and a three-factor quadratic rotational orthogonal combination were conducted. The inter-seed collision restitution coefficient, static friction coefficient, and rolling friction coefficient were set as the experimental factors. A total of 23 treatments were designed with repetitions at the center point, and a regression model was established for the relative error of the packing angle with respect to each factor. Based on the measured packing angle of 28.01° for the mixed seeds, the optimal contact parameter combination for the mixed seed pile was determined to be: inter-seed collision restitution coefficient of 0.312, static friction coefficient of 0.328, and rolling friction coefficient of 0.032. The relative error between the simulated packing angle and the measured value was 1.32%. The calibrated inter-seed contact parameters were further coupled into the EDEM–Fluent gas–solid two-phase flow model. Simulations and bench verification tests were carried out under nine treatment combinations, corresponding to three fan speeds (20, 25, and 30 m·s−1) and three total transport efficiencies (12.5, 17.5, and 22.5 g·s−1), with the consistency coefficient of seed distribution in each row being the main evaluation variable. The results showed that the deviation in the consistency coefficient of seed distribution between the simulation and experimental measurements ranged from 1.24% to 3.94%. This indicates that the calibrated discrete element model for mixed seeds and the EDEM–Fluent coupled simulation can effectively reproduce the air-assisted seed delivery process under the conditions of Vicia villosa and Avena sativa mixed sowing, providing reliable parameters and methodological support for the structural design of seeders and DEM-CFD coupled simulations in legume–grass mixed sowing systems. Full article
(This article belongs to the Section Agricultural Science and Technology)
Show Figures

Figure 1

16 pages, 2014 KB  
Article
Flow Mechanisms and Parameter Influence in Drill Pipe Pullback Gravel Packing: A Numerical Study on Horizontal Wells
by Haoxian Shi, Mengjia Cai, Jiudong Shi, Jiaxin Sun, Hang Zhou, Fanfan Qin, Wenwei Xie, Zhichao Liu, Lixia Li, Yanjiang Yu and Fulong Ning
J. Mar. Sci. Eng. 2025, 13(12), 2349; https://doi.org/10.3390/jmse13122349 - 10 Dec 2025
Viewed by 244
Abstract
Drill pipe pullback gravel packing is a novel sand control method for marine natural gas hydrate reservoirs, enabling rapid and uniform filling by synchronizing fluid injection with pipe retraction. However, the complex liquid–solid two-phase flow mechanisms and parameter sensitivities in this dynamic process [...] Read more.
Drill pipe pullback gravel packing is a novel sand control method for marine natural gas hydrate reservoirs, enabling rapid and uniform filling by synchronizing fluid injection with pipe retraction. However, the complex liquid–solid two-phase flow mechanisms and parameter sensitivities in this dynamic process remain unclear. To address this gap, a coupled Computational Fluid Dynamics and Discrete Element Method (CFD-DEM) approach is adopted in accordance with the trial production requirements in the South China Sea. This investigation systematically analyzes the relative contributions of injection rate (0.8–2.2 m3/min) and sand-carrying ratio (30–60%) to the packing effectiveness. Additionally, the effects of carrier fluid viscosity and drill pipe pullback speed are explored. Results show that injection rate and sand-carrying ratio positively affect performance, with sand-carrying ratio as the decisive factor, exhibiting an impact approximately 73 times greater than that of the injection rate. Optimal parameters in this study are injection rate of 2.2 m3/min and sand-carrying ratio of 60%, which yield the highest gravel volume fraction and stable bed height. Furthermore, it is also found that while increasing carrier fluid viscosity improves bed height, excessive viscosity hinders particle settling and compaction. Similarly, a trade-off exists for the pullback speed to balance packing density and pipe burial risks. These findings provide a theoretical basis for optimizing sand control operations in hydrate trial productions. Full article
(This article belongs to the Section Geological Oceanography)
Show Figures

Figure 1

20 pages, 10140 KB  
Article
Road Collapse Induced by Pipeline Leakage in Water-Rich Sand: Experiments and Computational Fluid Dynamics-Discrete Element Method Simulations
by Niannian Wang, Peijia Yang, Xingyi Wang, Jiaqing Zheng and Hongyuan Fang
Water 2025, 17(23), 3400; https://doi.org/10.3390/w17233400 - 28 Nov 2025
Viewed by 615
Abstract
To investigate the mechanism of road collapse induced by structural defects in underground drainage/sewerage pipelines in water-rich sands, laboratory physical model tests were conducted to reproduce the macroscopic development of surface subsidence. A computational fluid dynamics-discrete element method (CFD-DEM) model was then established [...] Read more.
To investigate the mechanism of road collapse induced by structural defects in underground drainage/sewerage pipelines in water-rich sands, laboratory physical model tests were conducted to reproduce the macroscopic development of surface subsidence. A computational fluid dynamics-discrete element method (CFD-DEM) model was then established and validated against the tests to assess its reliability. Using the validated model, we examined the effects of defect size and groundwater level on the progression of groundwater-ingress-driven internal erosion and tracked the evolution of vertical stress and intergranular contacts around the pipe. Results show that internal erosion proceeds through three stages—initial erosion, slow settlement, and collapse—culminating in an inverted-cone collapse pit. After leakage onset, the vertical stress in the surrounding soil exhibits a short-lived surge followed by a decline on both sides above the pipe. The number of intergranular contacts decreases markedly; erosion propagates preferentially in the horizontal direction, where the reduction in contacts is most pronounced. Within the explored range, higher groundwater levels and larger defects accelerate surface settlement and yield deeper and wider collapse pits. Meanwhile, soil anisotropy strengthens with increasing groundwater level but peaks and then slightly relaxes as defect size grows. These qualitative findings improve understanding of the leakage-induced failure mechanism of buried pipelines and offer references for discussions on monitoring, early warning, and risk awareness of road collapses. Full article
(This article belongs to the Section Hydrogeology)
Show Figures

Figure 1

30 pages, 4260 KB  
Article
Numerical Investigation of Sediment Settling and Deposition Characteristics in Layered Backfilling Using a Trailing Suction Hopper Dredger
by Zhi Liu, Hongwen Zheng, Chuliang Wang, Mingjie Yu, Dongliang Meng, Tao Sun and Wei Wei
Processes 2025, 13(12), 3847; https://doi.org/10.3390/pr13123847 - 28 Nov 2025
Viewed by 398
Abstract
Trailing suction hopper dredgers (TSHDs) are widely used in port subgrade reinforcement and land reclamation layered backfilling, with construction quality relying on sediment settling paths and deposition characteristics. To tackle the lack of guidance on key parameters like bottom door opening, sailing speed, [...] Read more.
Trailing suction hopper dredgers (TSHDs) are widely used in port subgrade reinforcement and land reclamation layered backfilling, with construction quality relying on sediment settling paths and deposition characteristics. To tackle the lack of guidance on key parameters like bottom door opening, sailing speed, and related problems, a multiphase settling model based on coupled CFD–DEM is developed. This model analyzes sediment particle settling trajectories, distribution patterns, and uniformity responses under different conditions. Through orthogonal simulations of bottom door openings (22%, 50%, 100%) and sailing speeds (0.02, 0.045, 0.07 kn), the coupling relationships among particle settling velocity, main deposition layer thickness, and spatial extension are revealed, clarifying how parameter variations affect deposition uniformity and coverage. The results indicate that, relative to a small opening (22%), a moderate bottom door opening (50%) simultaneously increases layer thickness and markedly improves deposition uniformity (minimum uniformity index), whereas a very large opening (100%) further increases thickness at the expense of a modest loss of uniformity relative to the moderate case; higher sailing speeds cause long-range migration and local deposition irregularities. Engineering validation using field data from the Junyang 1 TSHD in the Manila Pasay project shows that a moderate bottom door opening of about 15% (selected based on the 22–50% simulation trend), combined with a medium sailing speed of about 0.4 kn, achieves a good balance between thickness control and uniformity. A coupled multi-physics analysis framework and a parameter–response map are established, systematically revealing the influence of operational parameters on sediment settling and deposition uniformity and providing quantitative support for TSHD backfilling operations. Full article
(This article belongs to the Section Particle Processes)
Show Figures

Figure 1

24 pages, 5039 KB  
Article
Study of the Formation Mechanism of Velocity Differences Among Paddy Grains Within Centrifugal Hullers Using CFD-DEM Coupling
by Hao Li, Haonan Gao, Dan Zhao, Ze Sun, Xinlei Wang, Xianle Li and Hanlin Yu
Agriculture 2025, 15(22), 2380; https://doi.org/10.3390/agriculture15222380 - 18 Nov 2025
Viewed by 455
Abstract
The impact velocity of the grains is a critical factor affecting the hulling efficiency in centrifugal hullers. However, significant differences in velocity are observed among paddy grains following acceleration by the impeller. Therefore, elucidating the mechanism responsible for these velocity differences is essential [...] Read more.
The impact velocity of the grains is a critical factor affecting the hulling efficiency in centrifugal hullers. However, significant differences in velocity are observed among paddy grains following acceleration by the impeller. Therefore, elucidating the mechanism responsible for these velocity differences is essential for improving hulling performance. This study employed coupled CFD-DEM simulations to analyse the kinematic behaviour of paddy grains. The results demonstrate that velocity differences among grains are prevalent within centrifugal hullers and adversely affect hulling efficiency. These differences primarily arise from tangential collisions between grains and blades prior to acceleration, as well as axial collisions during the acceleration phase. The jumping degree (Sv) quantifies the relative motion between paddy grains and blades in the normal direction. Velocity differences decrease significantly as the jumping degree approaches unity. Furthermore, a tilted curvature blade was developed to mitigate velocity differences. Computational analysis and simulation determined that a blade curvature of 300 mm combined with a 20° tilt angle achieved the most substantial reduction in velocity differences. This optimised configuration improves hulling efficiency by 4.5% compared to the original blade design. This modification is expected to substantially facilitate the optimisation of centrifugal huller designs. Full article
Show Figures

Figure 1

16 pages, 3507 KB  
Article
Optimization of Flushing Fluid Plugging Theory Based on Plugging Experiments and Simulations
by Wei Shi, Shifeng Zhang, Chao Peng, Lian Zhang, Chenjing Dou, Xiaojian Zhang and Yan Zhuang
Processes 2025, 13(11), 3639; https://doi.org/10.3390/pr13113639 - 10 Nov 2025
Cited by 1 | Viewed by 326
Abstract
During sand cleanout operations in shale oil horizontal wells, severe wellbore leakage occurs due to incompatibility between plugging particles and the formation, resulting in a failure to establish circulation. This study determined the optimal plugging theory for the target formation characteristics through laboratory [...] Read more.
During sand cleanout operations in shale oil horizontal wells, severe wellbore leakage occurs due to incompatibility between plugging particles and the formation, resulting in a failure to establish circulation. This study determined the optimal plugging theory for the target formation characteristics through laboratory leakage sealing tests and numerical simulations such as fluid–discrete element coupling (CFD-DEM). The results show the following: Plugging experiments indicated that the Vickers criterion achieved the best performance, with an invasion depth of 9 mm, followed by the Ideal Packing Theory, at 12 mm, while the D90 rule performed the worst, with an invasion depth of 13 mm. The simulations results from the CFD-DEM coupling model demonstrated that the Vickers criterion achieves the most effective plugging performance, followed by the Ideal Packing Theory, with the D90 rule exhibiting the least effectiveness. This indirectly validates the rationality and effectiveness of the Vickers criterion in configuring particle sizes for plugging materials. Finally, sand-packed-tube displacement experiments demonstrate that the Vickers criterion yields the lowest permeability and optimal plugging performance, further validating its rationality and effectiveness in configuring particle sizes for plugging materials. This research provides crucial technical support for the safe and efficient development of shale oil horizontal wells, effectively reduces operational costs, and holds significant importance for advancing technological progress in shale oil extraction. Full article
(This article belongs to the Topic Petroleum and Gas Engineering, 2nd edition)
Show Figures

Figure 1

Back to TopTop