Study on Particle Wear Mechanism of Slurry Pumps Based on Computational Fluid Dynamics-Discrete Element Method Coupling
Abstract
1. Introduction
2. Mathematical Model
2.1. Fluid Control Equations
2.2. Particle Motion Equation
2.3. Wear Model
3. Numerical Simulation Setup and Model Validation
3.1. Slurry Pump Fluid Domain Modeling
3.2. Mesh Partitioning and Irrelevance Verification
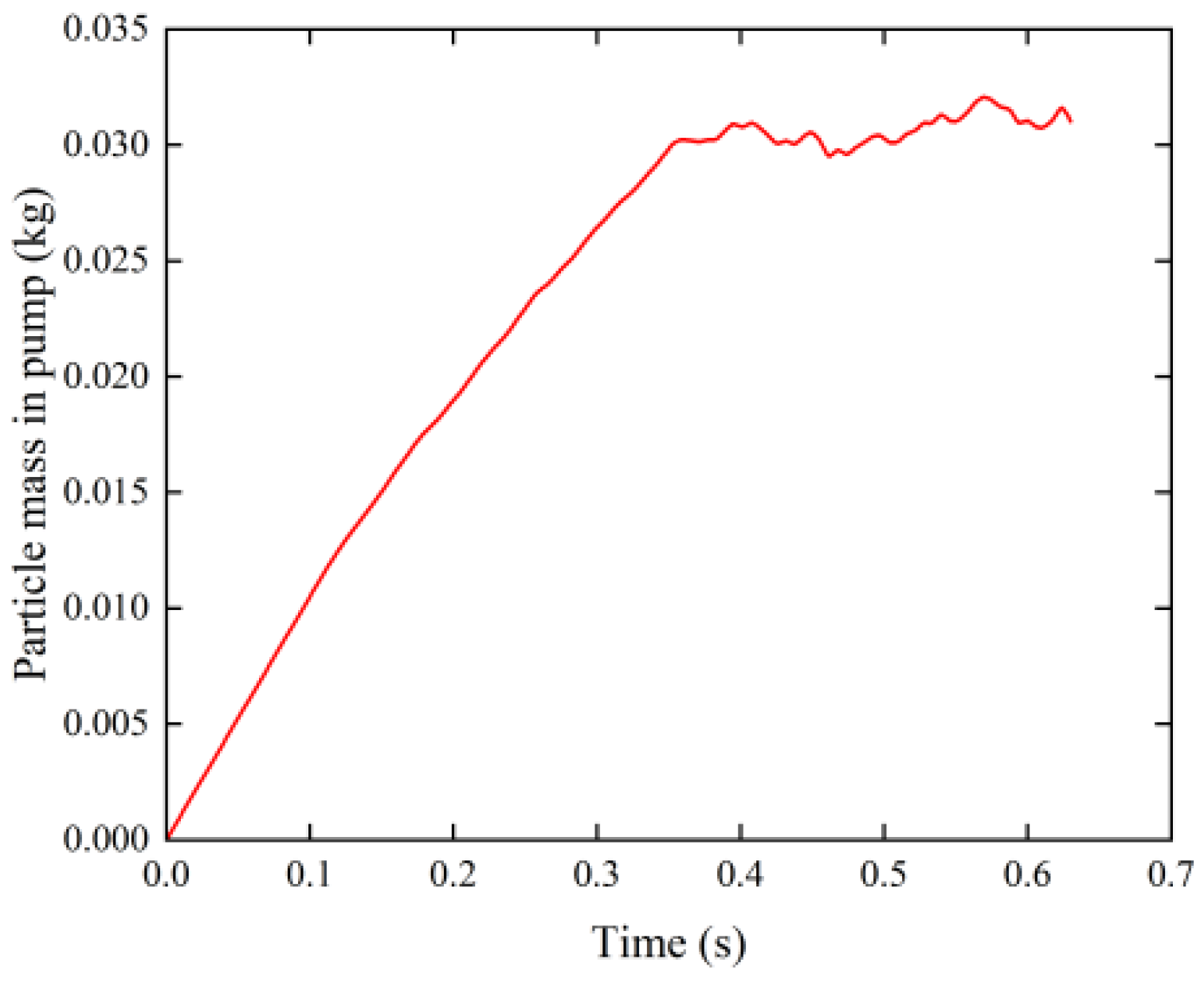
3.3. Time-Invariance Verification
3.4. Numerical Simulation Method
3.5. Boundary Condition Setup
3.6. Model Validation
4. Results Analysis and Discussion
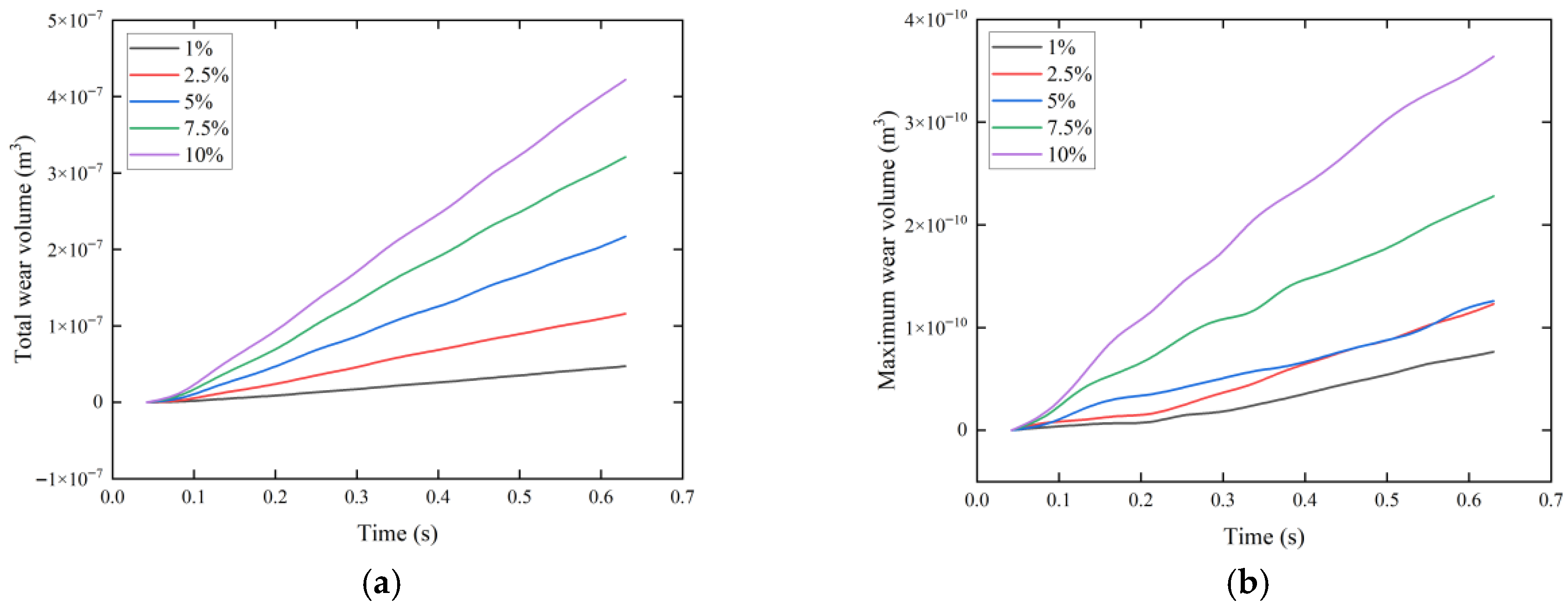
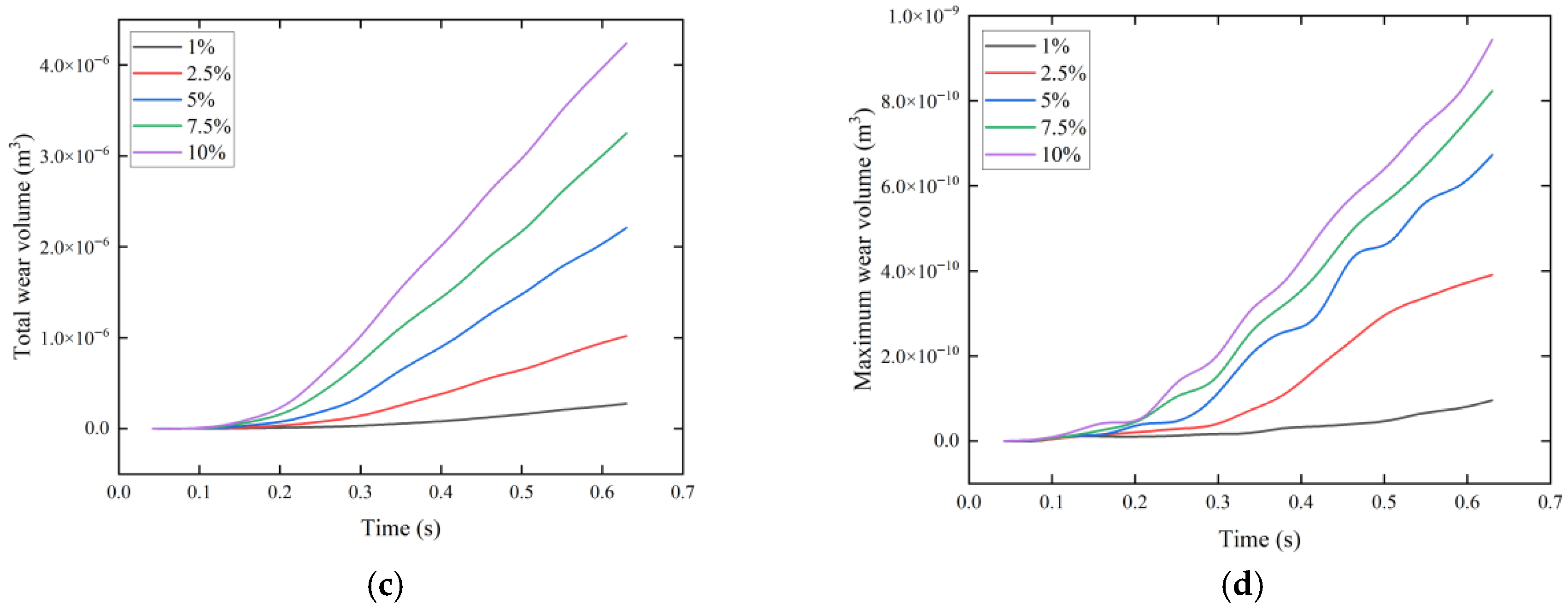
4.1. Effect of Particle Concentration on Wear of Slurry Pump Flow-Through Components
4.2. Effect of Particle Size on Wear of Slurry Pump Flow Components
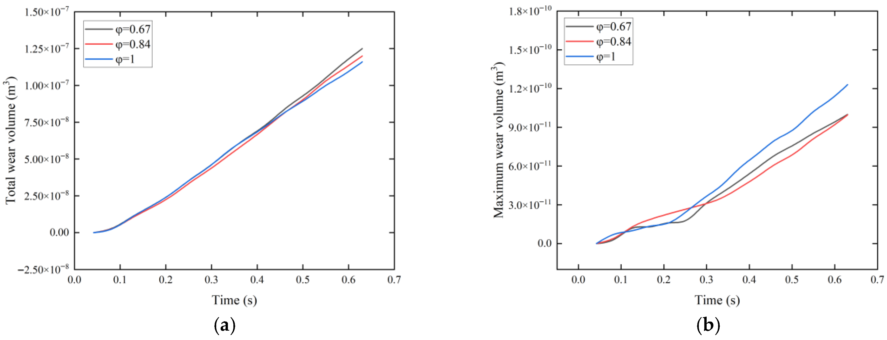
4.3. Effect of Particle Shape on Wear of Slurry Pump Flow Components
5. Conclusions
- (1)
- Experimental results from the closed wear test rig demonstrate that the established numerical simulation method accurately replicates the wear behavior of slurry pumps;
- (2)
- As particle concentration increases, wear on the impeller and volute progressively intensifies. The mid-root region of the blades, the left side of the volute, and Sections II and III exhibit more pronounced effects from particle concentration. The collision frequency between particles and the wall surface shows a linear upward trend;
- (3)
- Total impeller wear significantly intensifies with increasing particle size, while the presence of mixed particles partially mitigates the wear effect of large particles on the impeller. Particles of 1.5 mm exhibit relatively stable trajectories under the combined effects of fluid drag and inertial forces, causing the most severe localized wear on the impeller. The total and maximum wear on the volute peak at a particle size of 1 mm. The addition of larger particles significantly exacerbates both total and localized wear on the volute;
- (4)
- Lower particle sphericity correlates with more severe total wear on both impeller and volute. Maximum impeller wear shows a positive correlation with sphericity—higher sphericity leads to more pronounced localized wear. For the volute, localized wear peaks at a sphericity of φ = 0.84.The sphericity model employed in this study does not account for the complex shapes of real particles. Therefore, subsequent work will focus on developing irregular particle models that more closely approximate actual geometries, thereby further elucidating the influence of real particle shapes on wear distribution and mechanisms.
Author Contributions
Funding
Data Availability Statement
Conflicts of Interest
References
- Wang, Y.; Tao, R.; Han, C.; Li, W.; He, T.; Zhu, Z. Numerical study on flow and wear characteristics of dense fine particle solid–liquid two-phase flow in centrifugal pump. AIP Adv. 2022, 12, 045109. [Google Scholar] [CrossRef]
- Jiang, L.; Bai, L.; Xue, P.; Peng, G.; Zhou, L. Two-way coupling simulation of solid-liquid two-phase flow and wear experiments in a slurry pump. J. Mar. Sci. Eng. 2022, 10, 57. [Google Scholar] [CrossRef]
- Hong, S.; Peng, G.; Chang, H.; Yu, D.; Ji, G.; Ma, L.; Wang, Z. Numerical study of erosion characteristics in U-shaped elbow and slurry pump. Phys. Fluids 2024, 36, 073343. [Google Scholar] [CrossRef]
- Singh, J. A review on mechanisms and testing of wear in slurry pumps, pipeline circuits, and hydraulic turbines. J. Tribol. 2021, 143, 090801. [Google Scholar] [CrossRef]
- Tang, C.; You-Chao, Y.; Peng-Zhan, L.; Youn-Jea, K. Prediction of abrasive and impact wear due to multi-shaped particles in a centrifugal pump via CFD-DEM coupling method. Energies 2021, 14, 2391. [Google Scholar] [CrossRef]
- Duan, A.; Lin, Z.; Chen, D.; Li, Y. A review on the hydraulic performance and erosion wear characteristic of the centrifugal slurry pump. Particuology 2024, 95, 370–392. [Google Scholar] [CrossRef]
- Peng, G.; Fan, F.; Zhou, L.; Huang, X.; Ma, J. Optimal hydraulic design to minimize erosive wear in a centrifugal slurry pump impeller. Eng. Fail. Anal. 2021, 120, 105105. [Google Scholar] [CrossRef]
- Chandel, S.; Singh, S.N.; Seshadri, V. Experimental study of erosion wear in a centrifugal slurry pump using coriolis wear test rig. Part. Sci. Technol. 2012, 30, 179–195. [Google Scholar] [CrossRef]
- Hong, S.; Hu, X. Optimization of impeller of deep-sea mining pump for erosive wear reduction based on response surface methodology. Mar. Georesources Geotechnol. 2023, 41, 295–311. [Google Scholar] [CrossRef]
- Kang, C.; Cao, Q.; Teng, S.; Liu, H.; Ding, K. Wear characteristics of a centrifugal pump transporting solid–liquid mixture: An experimental and numerical study. Ain Shams Eng. J. 2024, 15, 102277. [Google Scholar] [CrossRef]
- Tandel, R.R.; Patel, R.N.; Jain, S.V. Correlation development of erosive wear and silt erosion failure mechanisms for pump as turbine. Eng. Fail. Anal. 2023, 153, 107610. [Google Scholar] [CrossRef]
- Wang, Y.; Li, W.; He, T.; Han, C.; Zhu, Z.; Lin, Z. The effect of solid particle size and concentrations on internal flow and external characteristics of the dense fine particles solid–liquid two-phase centrifugal pump under low flow condition. AIP Adv. 2021, 11, 085309. [Google Scholar] [CrossRef]
- Dong, W.; Li, S.C.; He, F.; Fan, X.G.; Li, P.X. Effect of variable conditions on transient flow in a solid–liquid two-phase centrifugal pump. Phys. Fluids 2024, 36, 073340. [Google Scholar] [CrossRef]
- Na, S.J.; Kim, Y.S.; Jeon, E.S. Analysis of erosion minimization for a slurry pump using discrete phase model simulations. Appl. Sci. 2022, 12, 1597. [Google Scholar] [CrossRef]
- Guo, X.; Shi, G.; Xiao, Y.; Chai, H.; Lv, W.; Fu, J. Construction of solid-liquid two-phase flow and wear rate prediction model in multiphase pump based on mixture model-discrete phase model combination method. J. Mar. Sci. Eng. 2024, 12, 1773. [Google Scholar] [CrossRef]
- Ji, Y.Y.; Yang, Z.Z.; Zhang, Y.L.; Zhang, K.Y. Numerical Prediction of the Influence of Particle Properties on the Hydraulic Performance and Wear of a Self-Priming Pump. Energy Sci. Eng. 2025, 13, 2672–2694. [Google Scholar] [CrossRef]
- Wang, Y.; Han, C.; Zhou, Y.; Lin, Z.; Ma, J.; Li, X.; Zhang, W. Wear characteristics of dense fine particles solid-liquid two-phase fluid centrifugal pump with open impellers. Shock. Vib. 2021, 2021, 6635630. [Google Scholar] [CrossRef]
- Peng, G.; Huang, X.; Zhou, L.; Zhou, G.; Zhou, H. Solid-liquid two-phase flow and wear analysis in a large-scale centrifugal slurry pump. Eng. Fail. Anal. 2020, 114, 104602. [Google Scholar] [CrossRef]
- Wu, G.; Weng, Y.; Zhou, F.; Chen, M.; Fan, H. Investigation of sediment erosion characteristics of large-flow and high-power centrifugal pumps. South-North Water Transf. Water Sci. Technol. 2024, 22, 1–11. [Google Scholar] [CrossRef]
- Li, Y.; Zeng, X.; Lv, W.; He, Z. Centrifugal pump wear for solid–liquid two-phase flows based on computational fluid dynamics–discrete element method coupling. Adv. Mech. Eng. 2020, 12, 1687814020937951. [Google Scholar] [CrossRef]
- Li, Y.; Zhang, H.; Lin, Z.; He, Z.; Xiang, J.; Su, X. Relationship between wear formation and large-particle motion in a pipe bend. R. Soc. Open Sci. 2019, 6, 181254. [Google Scholar] [CrossRef]
- Archard, J. Contact and rubbing of flat surfaces. J. Appl. Phys. 1953, 24, 981–988. [Google Scholar] [CrossRef]
- Cai, W.; Xia, X.; Li, X.; Chen, X.; Xu, Z.; Liu, G. Numerical investigation of subcritical and supercritical carbon dioxide fluidized beds using two fluid model and discrete element method. J. Supercrit. Fluids 2023, 199, 105942. [Google Scholar] [CrossRef]
- Wang, Y.; He, T.; Ding, Q.; Gao, P.; Tao, R.; Zhu, Z. Analysis of internal flow and wear characteristics of binary mixture particles in centrifugal pump based on CFD-DEM. Processes 2022, 10, 681. [Google Scholar] [CrossRef]
- Brazhenko, V.; Mochalin, I. Terminal velocity and drag coefficient of a smooth steel sphere moving in the water-filled vertical and inclined glass pipe (Newton regime). Powder Technol. 2024, 446, 120120. [Google Scholar] [CrossRef]
- Huilin, L.; Gidaspow, D. Hydrodynamics of binary fluidization in a riser: CFD simulation using two granular temperatures. Chem. Eng. Sci. 2003, 58, 3777–3792. [Google Scholar] [CrossRef]
- Haider, A.; Levenspiel, O. Drag coefficient and terminal velocity of spherical and nonspherical particles. Powder Technol. 1989, 58, 63–70. [Google Scholar] [CrossRef]
- Zhou, J.W.; Liu, Y.; Liu, S.Y.; Du, C.L.; Li, J.P. Effects of particle shape and swirling intensity on elbow erosion in dilute-phase pneumatic conveying. Wear 2017, 380, 66–77. [Google Scholar] [CrossRef]























| Parameters | Value | Unit |
|---|---|---|
| Pump inlet diameter | 38 | mm |
| Pump outlet diameter | 25 | mm |
| Impeller inlet diameter | 43 | mm |
| Impeller outlet diameter | 160 | mm |
| Volute base circle diameter | 170 | mm |
| Number of blades | 5 |
| Scheme | Number of Meshs |
|---|---|
| 1 | 329,086 |
| 2 | 433,723 |
| 3 | 576,519 |
| 4 | 693,593 |
| 5 | 880,137 |
| Materials | Density | Young’s Modulus | Poisson’s Ratio |
|---|---|---|---|
| 316 L stainless steel | 7.98 g/cm3 | 193 GPa | 0.3 |
| Natural rubber | 0.95 g/cm3 | 10 MPa | 0.49 |
| Sand particles | 2.65 g/cm3 | 80 GPa | 0.17 |
| Interaction | Coefficient of Restitution | Coefficient of Kinetic Friction | Coefficient of Static Friction |
|---|---|---|---|
| Particles and particles | 0.5 | 0.15 | 0.01 |
| Particles and natural rubber | 0.3 | 0.3 | 0.01 |
| Particles and 316 L stainless steel | 0.45 | 0.27 | 0.01 |
| Number | Particle Size Ratio |
|---|---|
| PR1 | 1:1:1 |
| PR2 | 1:1:2 |
| PR3 | 1:2:1 |
| PR4 | 2:1:1 |
Disclaimer/Publisher’s Note: The statements, opinions and data contained in all publications are solely those of the individual author(s) and contributor(s) and not of MDPI and/or the editor(s). MDPI and/or the editor(s) disclaim responsibility for any injury to people or property resulting from any ideas, methods, instructions or products referred to in the content. |
© 2026 by the authors. Licensee MDPI, Basel, Switzerland. This article is an open access article distributed under the terms and conditions of the Creative Commons Attribution (CC BY) license.
Share and Cite
Xue, M.; Peng, J.; Ku, X.; Dong, G. Study on Particle Wear Mechanism of Slurry Pumps Based on Computational Fluid Dynamics-Discrete Element Method Coupling. Lubricants 2026, 14, 38. https://doi.org/10.3390/lubricants14010038
Xue M, Peng J, Ku X, Dong G. Study on Particle Wear Mechanism of Slurry Pumps Based on Computational Fluid Dynamics-Discrete Element Method Coupling. Lubricants. 2026; 14(1):38. https://doi.org/10.3390/lubricants14010038
Chicago/Turabian StyleXue, Meng, Jianjun Peng, Xiangchen Ku, and Guanhua Dong. 2026. "Study on Particle Wear Mechanism of Slurry Pumps Based on Computational Fluid Dynamics-Discrete Element Method Coupling" Lubricants 14, no. 1: 38. https://doi.org/10.3390/lubricants14010038
APA StyleXue, M., Peng, J., Ku, X., & Dong, G. (2026). Study on Particle Wear Mechanism of Slurry Pumps Based on Computational Fluid Dynamics-Discrete Element Method Coupling. Lubricants, 14(1), 38. https://doi.org/10.3390/lubricants14010038

