Sign in to use this feature.

Years

Between: -

Subjects

remove_circle_outline
remove_circle_outline
remove_circle_outline
remove_circle_outline

Journals

Article Types

Countries / Regions

Search Results (23)

Search Parameters:
Keywords = C-13 derivatives of berberine

Order results
Result details
Results per page
Select all
Export citation of selected articles as:
17 pages, 1738 KB  
Article
13-Decyl Berberine Derivative Is a Novel Mitochondria-Targeted Antioxidant and a Potent Inhibitor of Ferroptosis
by He Huan, Alisa A. Panteleeva, Ruben A. Simonyan, Armine V. Avetisyan, Natalia V. Sumbatyan, Konstantin G. Lyamzaev and Boris V. Chernyak
Cells 2025, 14(24), 1963; https://doi.org/10.3390/cells14241963 - 10 Dec 2025
Viewed by 786
Abstract
Berberine is a plant isoquinoline alkaloid widely used in traditional medicine for the therapy of diabetes, cardiovascular and other diseases. Ferroptosis, a regulated form of cell death driven by lipid peroxidation, is thought to contribute to the pathogenesis of various diseases associated with [...] Read more.
Berberine is a plant isoquinoline alkaloid widely used in traditional medicine for the therapy of diabetes, cardiovascular and other diseases. Ferroptosis, a regulated form of cell death driven by lipid peroxidation, is thought to contribute to the pathogenesis of various diseases associated with excessive oxidative stress. The therapeutic actions of berberine are mediated, at least in part, by its antioxidant effects. Here, we report that the lipophilic berberine derivative 13-decyl berberine (C10Berb) is a mitochondria-targeted antioxidant that exhibits superior ferroptosis inhibition compared to native berberine in H9c2 cardiomyocytes and human fibroblasts. C10Berb efficiently accumulates in mitochondria, suppressing both mitochondrial lipid peroxidation, reactive oxygen species formation, and lipofuscin accumulation at concentrations markedly lower than berberine. Mechanistic studies indicate that the anti-ferroptotic effect of C10Berb is independent of AMPK or Nrf2 activation and is primarily due to its direct antioxidant activity in mitochondria. In isolated cardiac mitochondria, C10Berb potently inhibited lipid peroxidation induced by either reactive oxygen species produced in the electron transport chain or artificial free radical initiators. These results support the hypothesis that mitochondrial lipid peroxidation is critical for ferroptosis and highlight the potential of mitochondria-targeted berberine derivatives as promising therapeutic agents for conditions associated with ferroptotic cell death. Full article
Show Figures

Figure 1

16 pages, 411 KB  
Article
The Influence of Berberine on Vascular Function Parameters, Among Them VEGF, in Individuals with MAFLD: A Double-Blind, Randomized, Placebo-Controlled Trial
by Anna Koperska, Ewa Miller-Kasprzak, Agnieszka Seraszek-Jaros, Katarzyna Musialik, Paweł Bogdański and Monika Szulińska
Nutrients 2025, 17(22), 3585; https://doi.org/10.3390/nu17223585 - 16 Nov 2025
Viewed by 1566
Abstract
Background: Metabolically Associated Fatty Liver Disease (MAFLD) is a prevalent liver disorder closely tied to metabolic dysfunction, insulin resistance, and chronic low-grade inflammation. Vascular Endothelial Growth Factor (VEGF) may have a dual interesting role in MAFLD pathophysiology—supporting vascular repair in early stages, but [...] Read more.
Background: Metabolically Associated Fatty Liver Disease (MAFLD) is a prevalent liver disorder closely tied to metabolic dysfunction, insulin resistance, and chronic low-grade inflammation. Vascular Endothelial Growth Factor (VEGF) may have a dual interesting role in MAFLD pathophysiology—supporting vascular repair in early stages, but potentially contributing to fibrosis in later stages. In this study, berberine (BBR), a plant-derived isoquinoline alkaloid, exhibits multiple beneficial properties, including anti-inflammatory, antioxidant, and endothelial-protective effects, on the study group, perhaps by influencing VEGF concentration. Objective: This study aimed to investigate the effectiveness of BBR in addressing vascular function parameters linked to MAFLD, particularly its impact on serum VEGF levels and arterial stiffness. Methods: This randomized, double-blind, placebo-controlled clinical trial enrolled seventy individuals with MAFLD who were overweight or obese. Participants were randomly assigned in a 1:1 ratio to receive either BBR (1500 mg/day) or a placebo orally for 12 weeks. The following parameters were assessed pre- and post-intervention: VEGF, brachial SBP (Systolic Blood Pressure)/DBP (Diastolic Blood Pressure), MAP (Mean Arterial Pressure), AIx (Augmentation Index), AP (Aortic Pressure), number of waveforms, Pulse Pressure (PP), PWV (Pulse Wave Velocity), and PWA-SP/PWA-DP (Pulse Wave Analysis Systolic/Diastolic Pressure). The results for the metabolic parameters—FLI (Fatty Liver Index)—and anthropometric parameters—BMI (Body Mass Index), fat mass corp—and laboratory parameters, among them, hsCRP (high-sensitivity C-reactive protein), were published by us earlier. Results: In the BBR-treated cohort, VEGF concentrations demonstrated a statistically significant increase following the intervention, rising from a baseline mean of 456.23 ± 307.61 pg/mL to 561.22 ± 389.77 pg/mL (p < 0.0001). In the BBR group, a significant reduction in PWA-SP was observed after 12 weeks of supplementation (134.85 ± 16.26 vs. 124.46 ± 13.47 mmHg, p < 0.0001). No statistically significant differences were observed in the parameters determining arterial stiffness in the BBR and placebo groups. In the BBR group, delta VEGF correlated negatively with delta FLI; no such associations were observed in the placebo group. Changes in PWV were consistent and significantly correlated with changes in brachial SBP/DBP, PWA-SP, PWA-DP, and MAP. No serious adverse events were reported, and BBR was well tolerated. Conclusions: BBR appears to be a safe and promising adjunct in MAFLD therapy, potentially exerting reparative effects through VEGF modulation and vascular support. Further research is warranted to confirm its long-term impact and elucidate underlying protective mechanisms. Full article
(This article belongs to the Special Issue Botanicals and Nutritional Approaches in Metabolic Disorders)
Show Figures

Figure 1

22 pages, 5463 KB  
Article
Berberine Hydrochloride Reduces the Intracellular Survival of Salmonella Typhimurium by Enhancing Host Autophagic Flux Through the Inhibition of the Type III Secretion System
by Jianan Huang, Jiaxing Lu, Conghui Wu, Sidi Chen, Tianyuan Chang, Lei Xu, Xihui Shen, Qadir Bakhsh, Baofu Qin, Weidong Qian and Yao Wang
Biomolecules 2025, 15(11), 1589; https://doi.org/10.3390/biom15111589 - 13 Nov 2025
Viewed by 934
Abstract
Salmonella Typhimurium, a significant intracellular foodborne pathogen, regulates host cell autophagy to achieve its own survival by injecting effector proteins into host cells via its type III secretion system (T3SS). Berberine hydrochloride (BH), an isoquinoline alkaloid derived from medicinal plants such as Coptis [...] Read more.
Salmonella Typhimurium, a significant intracellular foodborne pathogen, regulates host cell autophagy to achieve its own survival by injecting effector proteins into host cells via its type III secretion system (T3SS). Berberine hydrochloride (BH), an isoquinoline alkaloid derived from medicinal plants such as Coptis chinensis, has demonstrated potential antibacterial and immunomodulatory properties. However, the mechanisms by which BH combats S. Typhimurium by enhancing host autophagic flux through the inhibition of the type III secretion system remain to be fully elucidated. Here, we found that BH disrupts biofilm formation of S. Typhimurium, significantly inhibits the expression of genes associated with T3SS, and robustly enhances autophagy activity in macrophages infected with the pathogen. In a mouse model (C57BL/6 female 20 ± 1 g/mouse), BH significantly improved survival rates, reduced bacterial loads in tissues, and alleviated pathological damage. Molecular docking studies revealed that BH binds to key T3SS proteins, including SipB, SseA, and SsrB. These findings indicate that BH holds promise as a potentially effective therapeutic strategy for combating S. Typhimurium infections. Full article
(This article belongs to the Special Issue Antibiotic Resistance Mechanisms and Their Potential Solutions)
Show Figures

Figure 1

26 pages, 5166 KB  
Article
Impact of Isoquinoline Alkaloids on the Intestinal Barrier in a Colonic Model of Campylobacter jejuni Infection
by Anna Duda-Madej, Przemysław Gagat, Jerzy Wiśniewski, Szymon Viscardi and Paweł Krzyżek
Int. J. Mol. Sci. 2025, 26(21), 10634; https://doi.org/10.3390/ijms262110634 - 31 Oct 2025
Cited by 2 | Viewed by 575
Abstract
Phytotherapy is a growing field of modern medicine, offering natural alternatives with multidirectional pharmacological effects. Among plant-derived bioactive compounds, isoquinoline alkaloids exhibit antioxidant, anti-inflammatory, and antimicrobial properties. Our in vitro model of campylobacteriosis confirmed that berberine reduces pathological changes in colonocytes not only [...] Read more.
Phytotherapy is a growing field of modern medicine, offering natural alternatives with multidirectional pharmacological effects. Among plant-derived bioactive compounds, isoquinoline alkaloids exhibit antioxidant, anti-inflammatory, and antimicrobial properties. Our in vitro model of campylobacteriosis confirmed that berberine reduces pathological changes in colonocytes not only through its direct antibacterial (minimum inhibitory concentration for pure berberine against Campylobacter jejuni was 64 μg/mL) and anti-biofilm (fourfold reduction in C. jejuni biomass) effects, but also through its protective effect on the morphostructure and secretory profile of host cells exposed to bacterial components. Furthermore, berberine stabilized intercellular junction proteins, modulated bile acid and arachidonic acid metabolism, and supported host-protective signaling pathways. These findings indicate that berberine acts through a dual mechanism—directly reducing bacterial virulence while enhancing intestinal barrier integrity and metabolic homeostasis. In summary, berberine appears to be a multifunctional phytochemical in the development of new strategies for the prevention and treatment of C. jejuni-induced gastrointestinal infections and epithelial barrier dysfunctions. The protective effect we have demonstrated may contribute to alleviating the phenomenon of “leaky gut,” commonly associated with campylobacteriosis. Full article
(This article belongs to the Special Issue Intestinal Diseases and Gut Microbiota)
Show Figures

Figure 1

19 pages, 3594 KB  
Article
Berberine Extends Lifespan in C. elegans Through Multi-Target Synergistic Antioxidant Effects
by Yingshuo Bei, Ting Wang and Shuwen Guan
Antioxidants 2025, 14(4), 450; https://doi.org/10.3390/antiox14040450 - 9 Apr 2025
Cited by 3 | Viewed by 3489
Abstract
Aging is a process of gradual functional decline in complex physiological systems and is closely related to the occurrence of various diseases. Berberine, a bioactive alkaloid derived from Coptis chinensis (Huanglian), has emerged as a promising candidate for anti-aging interventions. This study comprehensively [...] Read more.
Aging is a process of gradual functional decline in complex physiological systems and is closely related to the occurrence of various diseases. Berberine, a bioactive alkaloid derived from Coptis chinensis (Huanglian), has emerged as a promising candidate for anti-aging interventions. This study comprehensively investigated the lifespan-extending effects and molecular mechanisms of berberine in C. elegans through integrated approaches including lifespan assays, locomotor activity analysis, oxidative stress challenges, and transcriptomic profiling. Furthermore, genetic models of mutant and transgenic worms were employed to delineate their interactions with the insulin/IGF-1 signaling (IIS) pathway. Our results demonstrate that berberine extended the mean lifespan of wild-type worms by 27%. By activating transcription factors such as DAF-16/FOXO, HSF-1, and SKN-1/NRF2, berberine upregulated antioxidant enzyme expression, reduced lipofuscin accumulation, and improved stress resistance. Transcriptomic analysis revealed significant changes in lipid metabolism-related genes, particularly in pathways involving fatty acid synthesis, degradation, and sphingolipid metabolism. These findings establish that berberine exerts multi-target anti-aging effects through coordinated activation of stress-responsive pathways and metabolic optimization, providing mechanistic insights for developing natural product-based geroprotective strategies. Full article
Show Figures

Figure 1

8 pages, 386 KB  
Communication
Synthesis of Tetrahydroberberine N,N-Derived O-Acetamides
by Ivan Vasil’evich Nechepurenko, Nina Ivanovna Komarova and Nariman Faridovich Salakhutdinov
Molbank 2024, 2024(3), M1865; https://doi.org/10.3390/M1865 - 13 Aug 2024
Viewed by 1681
Abstract
The reaction of berberine derivatives containing at the O-9 position N,N-disubstituted acetamide fragments with sodium borohydride in methanol at 0 °C leads to a mild reduction of the “C” cycle with the formation of corresponding tetrahydroberberine derivatives with moderate to good yields. Full article
(This article belongs to the Section Natural Product Chemistry)
Show Figures

Graphical abstract

17 pages, 1894 KB  
Article
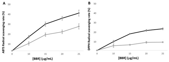
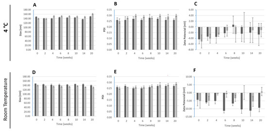
Improving the Antimicrobial Potency of Berberine for Endodontic Canal Irrigation Using Polymeric Nanoparticles
by Célia Marques, Liliana Grenho, Maria Helena Fernandes and Sofia A. Costa Lima
Pharmaceutics 2024, 16(6), 786; https://doi.org/10.3390/pharmaceutics16060786 - 9 Jun 2024
Cited by 6 | Viewed by 2815
Abstract
To address the challenges posed by biofilm presence and achieve a substantial reduction in bacterial load within root canals during endodontic treatment, various irrigants, including nanoparticle suspensions, have been recommended. Berberine (BBR), a natural alkaloid derived from various plants, has demonstrated potential applications [...] Read more.
To address the challenges posed by biofilm presence and achieve a substantial reduction in bacterial load within root canals during endodontic treatment, various irrigants, including nanoparticle suspensions, have been recommended. Berberine (BBR), a natural alkaloid derived from various plants, has demonstrated potential applications in dentistry treatments due to its prominent antimicrobial, anti-inflammatory, and antioxidant properties. This study aimed to produce and characterize a novel polymeric nanoparticle of poly (lactic-co-glycolic acid) (PLGA) loaded with berberine and evaluate its antimicrobial activity against relevant endodontic pathogens, Enterococcus faecalis, and Candida albicans. Additionally, its cytocompatibility using gingival fibroblasts was assessed. The polymeric nanoparticle was prepared by the nanoprecipitation method. Physicochemical characterization revealed spheric nanoparticles around 140 nm with ca, −6 mV of surface charge, which was unaffected by the presence of BBR. The alkaloid was successfully incorporated at an encapsulation efficiency of 77% and the designed nanoparticles were stable upon 20 weeks of storage at 4 °C and 25 °C. Free BBR reduced planktonic growth at ≥125 μg/mL. Upon incorporation into PLGA nanoparticles, 20 μg/mL of [BBR]-loaded nanoparticles lead to a significant reduction, after 1 h of contact, of both planktonic bacteria and yeast. Sessile cells within biofilms were also considered. At 30 and 40 μg/mL, [BBR]-loaded PLGA nanoparticles reduced the viability of the sessile endodontic bacteria, upon 24 h of exposure. The cytotoxicity of BBR-loaded nanoparticles to oral fibroblasts was negligible. The novel berberine-loaded polymeric nanoparticles hold potential as a promising supplementary approach in the treatment of endodontic infections. Full article
Show Figures

Graphical abstract

14 pages, 7541 KB  
Article
Synthesis of New Derivatives of Berberine Canagliflozin and Study of Their Antibacterial Activity and Mechanism
by Jinsheng Li, Xueli Hou, Jinlong Xiao, Li Zhu, Yujie Deng, Ziyi Li, Zijian Zhao, Zhenghong Luo and Hao Wei
Molecules 2024, 29(1), 273; https://doi.org/10.3390/molecules29010273 - 4 Jan 2024
Cited by 4 | Viewed by 4138
Abstract
The isoquinoline alkaloid berberine, derived from Coptidis rhizoma, exhibits antibacterial, hypoglycemic, and anti-inflammatory properties. Canagliflozin is a sodium–glucose cotransporter 2 (SGLT2) inhibitor. We synthesized compounds B9OC and B9OBU by conjugating canagliflozin and n-butane at the C9 position of berberine, aiming to develop antimicrobial [...] Read more.
The isoquinoline alkaloid berberine, derived from Coptidis rhizoma, exhibits antibacterial, hypoglycemic, and anti-inflammatory properties. Canagliflozin is a sodium–glucose cotransporter 2 (SGLT2) inhibitor. We synthesized compounds B9OC and B9OBU by conjugating canagliflozin and n-butane at the C9 position of berberine, aiming to develop antimicrobial agents for combating bacterial infections worldwide. We utilized clinically prevalent pathogenic bacteria, namely Staphylococcus aureus, Escherichia coli, and Pseudomonas aeruginosa, to investigate the antibacterial efficacy of B9OC. This was accomplished through the determination of the MIC80 values, analysis of bacterial growth curves, evaluation of biofilm formation using crystal violet staining, assessment of impact on bacterial proteins via SDS-PAGE analysis, and observation of alterations in bacterial morphology utilizing field emission scanning electron microscopy. Meanwhile, the ADMET of compound B9OC was predicted using a computer-aided method. The findings revealed that B9OC exhibited lower minimal inhibitory concentrations against all three bacteria compared to berberine alone or in combination with canagliflozin. The minimal inhibitory concentrations (MICs) of B9OC against the three experimental strains were determined to be 0.035, 0.258, and 0.331 mM. However, B9OBu exhibited a lower level of antimicrobial activity compared to berberine. The compound B9OC exhibits a broad spectrum of antibacterial activity by disrupting the integrity of bacterial cell walls, leading to cellular rupture and the subsequent degradation of intracellular proteins. Full article
Show Figures

Figure 1

13 pages, 1938 KB  
Article
HuNoV Non-Structural Protein P22 Induces Maturation of IL-1β and IL-18 and N-GSDMD-Dependent Pyroptosis through Activating NLRP3 Inflammasome
by Nini Chen, Peiyu Chen, Yanhe Zhou, Sidong Chen, Sitang Gong, Ming Fu and Lanlan Geng
Vaccines 2023, 11(5), 993; https://doi.org/10.3390/vaccines11050993 - 17 May 2023
Cited by 9 | Viewed by 2605
Abstract
Norovirus infection is the leading cause of foodborne gastroenteritis worldwide, causing more than 200,000 deaths each year. As a result of a lack of reproducible and robust in vitro culture systems and suitable animal models for human norovirus (HuNoV) infection, the pathogenesis of [...] Read more.
Norovirus infection is the leading cause of foodborne gastroenteritis worldwide, causing more than 200,000 deaths each year. As a result of a lack of reproducible and robust in vitro culture systems and suitable animal models for human norovirus (HuNoV) infection, the pathogenesis of HuNoV is still poorly understood. In recent years, human intestinal enteroids (HIEs) have been successfully constructed and demonstrated to be able to support the replication of HuNoV. The NLRP3 inflammasome plays a key role in host innate immune responses by activating caspase1 to facilitate IL-1β and IL-18 secretion and N-GSDMD-driven apoptosis, while NLRP3 inflammasome overactivation plays an important role in the development of various inflammatory diseases. Here, we found that HuNoV activated enteric stem cell-derived human intestinal enteroids (HIEs) NLRP3 inflammasome, which was confirmed by transfection of Caco2 cells with full-length cDNA clones of HuNoV. Further, we found that HuNoV non-structural protein P22 activated the NLRP3 inflammasome and then matured IL-1β and IL-18 and processed the cleavage of gasdermin-D (GSDMD) to N-GSDMD, leading to pyroptosis. Besides, berberine (BBR) could ameliorate the pyroptosis caused by HuNoV and P22 by inhibiting NLRP3 inflammasome activation. Together, these results reveal new insights into the mechanisms of inflammation and cell death caused by HuNoV and provide potential treatments. Full article
Show Figures

Figure 1

16 pages, 6952 KB  
Article
A Comparative Study of the Inhibitory Action of Berberine Derivatives on the Recombinant Protein FtsZ of E. coli
by Angela Di Somma, Carolina Canè, Natalie Paola Rotondo, Maria Maddalena Cavalluzzi, Giovanni Lentini and Angela Duilio
Int. J. Mol. Sci. 2023, 24(6), 5674; https://doi.org/10.3390/ijms24065674 - 16 Mar 2023
Cited by 21 | Viewed by 4021
Abstract
Medicinal plants belonging to the genus Berberis may be considered an interesting source of drugs to counteract the problem of antimicrobial multiresistance. The important properties associated with this genus are mainly due to the presence of berberine, an alkaloid with a benzyltetrahydroisoquinoline structure. [...] Read more.
Medicinal plants belonging to the genus Berberis may be considered an interesting source of drugs to counteract the problem of antimicrobial multiresistance. The important properties associated with this genus are mainly due to the presence of berberine, an alkaloid with a benzyltetrahydroisoquinoline structure. Berberine is active against both Gram-negative and Gram-positive bacteria, influencing DNA duplication, RNA transcription, protein synthesis, and the integrity of the cell surface structure. Countless studies have shown the enhancement of these beneficial effects following the synthesis of different berberine analogues. Recently, a possible interaction between berberine derivatives and the FtsZ protein was predicted through molecular docking simulations. FtsZ is a highly conserved protein essential for the first step of cell division in bacteria. The importance of FtsZ for the growth of numerous bacterial species and its high conservation make it a perfect candidate for the development of broad-spectrum inhibitors. In this work, we investigate the inhibition mechanisms of the recombinant FtsZ of Escherichia coli by different N-arylmethyl benzodioxolethylamines as berberine simplified analogues appropriately designed to evaluate the effect of structural changes on the interaction with the enzyme. All the compounds determine the inhibition of FtsZ GTPase activity by different mechanisms. The tertiary amine 1c proved to be the best competitive inhibitor, as it causes a remarkable increase in FtsZ Km (at 40 μM) and a drastic reduction in its assembly capabilities. Moreover, a fluorescence spectroscopic analysis carried out on 1c demonstrated its strong interaction with FtsZ (Kd = 26.6 nM). The in vitro results were in agreement with docking simulation studies. Full article
(This article belongs to the Collection Feature Papers Collection in Biochemistry)
Show Figures

Figure 1

14 pages, 3526 KB  
Article
Berberine-Based Carbon Quantum Dots Improve Intestinal Barrier Injury and Alleviate Oxidative Stress in C57BL/6 Mice with 5-Fluorouracil-Induced Intestinal Mucositis by Enhancing Gut-Derived Short-Chain Fatty Acids Contents
by Liang Wu, Yue Xi, Man Yan, Chang Sun, Jiajun Tan, Jiayuan He, Haitao Li and Dongxu Wang
Molecules 2023, 28(5), 2148; https://doi.org/10.3390/molecules28052148 - 24 Feb 2023
Cited by 12 | Viewed by 3274
Abstract
This study aims to evaluate the effect of berberine-based carbon quantum dots (Ber-CDs) on improving 5-fluorouracil (5-FU)-induced intestinal mucositis in C57BL/6 mice, and explored the mechanisms behind this effect. Thirty-two C57BL/6 mice were divided into four groups: normal control (NC), 5-FU-induced intestinal mucositis [...] Read more.
This study aims to evaluate the effect of berberine-based carbon quantum dots (Ber-CDs) on improving 5-fluorouracil (5-FU)-induced intestinal mucositis in C57BL/6 mice, and explored the mechanisms behind this effect. Thirty-two C57BL/6 mice were divided into four groups: normal control (NC), 5-FU-induced intestinal mucositis model (5-FU), 5-FU + Ber-CDs intervention (Ber-CDs), and 5-FU + native berberine intervention (Con-CDs). The Ber-CDs improved body weight loss in 5-FU-induced mice with intestinal mucositis compared to the 5-FU group. The expressions of IL-1β and NLRP3 in spleen and serum in Ber-CDs and Con-Ber groups were significantly lower than those in the 5-FU group, and the decrease was more significant in the Ber-CDs group. The expressions of IgA and IL-10 in the Ber-CDs and Con-Ber groups were higher than those in the 5-FU group, but the up-regulation was more significant in the Ber-CDs group. Compared with the 5-FU group, the relative contents of Bifidobacterium, Lactobacillus and the three main SCFAs in the colon contents were significantly increased the Ber-CDs and Con-Ber groups. Compared with the Con-Ber group, the concentrations of the three main short-chain fatty acids in the Ber-CDs group were significantly increased. The expressions of Occludin and ZO-1 in intestinal mucosa in the Ber-CDs and Con-Ber groups were higher than those in the 5-FU group, and the expressions of Occludin and ZO-1 in the Ber-CDs group were more higher than that in the Con-Ber group. In addition, compared with the 5-FU group, the damage of intestinal mucosa tissue in the Ber-CDs and Con-Ber groups were recovered. In conclusion, berberine can attenuate intestinal barrier injury and oxidative stress in mice to mitigate 5-fluorouracil-induced intestinal mucositis, moreover, the above effects of Ber-CDs were more significant than those of native berberine. These results suggest that Ber-CDs may be a highly effective substitute for natural berberine. Full article
(This article belongs to the Special Issue Nanomedicines: Advanced Design and Therapeutic Applications)
Show Figures

Figure 1

6 pages, 1169 KB  
Communication
Synthesis of a Novel 9-O Berberine Derivative and Evaluation of Its Hypoglycemic Effect
by Elizaveta D. Gladkova, Nicolae Valutsa, Sergey A. Borisov, Mikhail V. Khvostov, Olga A. Luzina, Tatiana G. Tolstikova and Nariman F. Salakhutdinov
Molbank 2023, 2023(1), M1597; https://doi.org/10.3390/M1597 - 24 Feb 2023
Viewed by 2255
Abstract
Berberine is a phytogenic isoquinoline alkaloid which demonstrates several pharmacological effects, including a hypoglycemic effect. Its medical use is limited by its very low bioavailability. Synthesizing new berberine derivatives might help in overcoming this problem. In this work, we report on the synthesis [...] Read more.
Berberine is a phytogenic isoquinoline alkaloid which demonstrates several pharmacological effects, including a hypoglycemic effect. Its medical use is limited by its very low bioavailability. Synthesizing new berberine derivatives might help in overcoming this problem. In this work, we report on the synthesis and biological evaluation of a novel berberine 9-O-derivative. At an oral dose of 25 mg/kg, the compound demonstrated hypoglycemic activity in an oral glucose tolerance test performed using C57BL/6 mice. Full article
Show Figures

Figure 1

14 pages, 180716 KB  
Article
9-N-n-alkyl Berberine Derivatives: Hypoglycemic Activity Evaluation
by Mikhail V. Khvostov, Elizaveta D. Gladkova, Sergey A. Borisov, Marina S. Fedotova, Nataliya A. Zhukova, Mariya K. Marenina, Yulia V. Meshkova, Nicolae Valutsa, Olga A. Luzina, Tatiana G. Tolstikova and Nariman F. Salakhutdinov
Pharmaceutics 2023, 15(1), 44; https://doi.org/10.3390/pharmaceutics15010044 - 22 Dec 2022
Cited by 4 | Viewed by 2823
Abstract
Several novel 9-N-n-alkyl derivatives of berberine (C5, C7, C10, C12) were synthesized. They were analyzed in vitro and in vivo for their hypoglycemic activity. In vitro studies showed that the derivatives with shorter alkyl substitutes at concentrations ranging from 2.5 to 10 μM [...] Read more.
Several novel 9-N-n-alkyl derivatives of berberine (C5, C7, C10, C12) were synthesized. They were analyzed in vitro and in vivo for their hypoglycemic activity. In vitro studies showed that the derivatives with shorter alkyl substitutes at concentrations ranging from 2.5 to 10 μM were able to stimulate glucose consumption by HepG2 cells more prominently than the derivatives with longer substitutes (C10 and C12). All compounds demonstrated a better effect compared to berberine. Their impact on cells’ viability also depended on the alkyl substitutes length, but in this case, C10 and C12 derivatives demonstrated the best results. A similar correlation was also found in the OGTT, where the C5 derivative demonstrated a pronounced hypoglycemic effect at a dose of 15 mg/kg and C12 was less effective. This compound was further investigated in C57BL/6Ay mice for four weeks and was administered at a dose of 15 mg/kg. Pronounced effect of C12 on carbohydrate metabolism in mice was discovered: there was a decrease in fasting glucose levels and an increase in glucose tolerance in OGTT on the 14th and 28th days of the experiment. However, at the end of the experiment, signs of hepatosis exacerbation and an increase in the content of hepatic aminotransferases in blood were found. Full article
(This article belongs to the Special Issue Drugs and Drug Delivery for Diabetes Mellitus Treatment)
Show Figures

Figure 1

25 pages, 4002 KB  
Article
Conjugates of Chloramphenicol Amine and Berberine as Antimicrobial Agents
by Julia A. Pavlova, Andrey G. Tereshchenkov, Pavel A. Nazarov, Dmitrii A. Lukianov, Dmitry A. Skvortsov, Vladimir I. Polshakov, Byasilya F. Vasilieva, Olga V. Efremenkova, Mikhail Y. Kaiumov, Alena Paleskava, Andrey L. Konevega, Olga A. Dontsova, Ilya A. Osterman, Alexey A. Bogdanov and Natalia V. Sumbatyan
Antibiotics 2023, 12(1), 15; https://doi.org/10.3390/antibiotics12010015 - 22 Dec 2022
Cited by 13 | Viewed by 5360
Abstract
In order to obtain antimicrobial compounds with improved properties, new conjugates comprising two different biologically active agents within a single chimeric molecule based on chloramphenicol (CHL) and a hydrophobic cation were synthesized and studied. Chloramphenicol amine (CAM), derived from the ribosome-targeting antibiotic CHL, [...] Read more.
In order to obtain antimicrobial compounds with improved properties, new conjugates comprising two different biologically active agents within a single chimeric molecule based on chloramphenicol (CHL) and a hydrophobic cation were synthesized and studied. Chloramphenicol amine (CAM), derived from the ribosome-targeting antibiotic CHL, and the plant isoquinoline alkaloid berberine (BER) are connected by alkyl linkers of different lengths in structures of these conjugates. Using competition binding, double reporter system, and toeprinting assays, we showed that synthesized CAM-Cn-BER compounds bound to the bacterial ribosome and inhibited protein synthesis like the parent CHL. The mechanism of action of CAM-C5-BER and CAM-C8-BER on the process of bacterial translations was similar to CHL. Experiments with bacteria demonstrated that CAM-Cn-BERs suppressed the growth of laboratory strains of CHL and macrolides-resistant bacteria. CAM-C8-BER acted against mycobacteria and more selectively inhibited the growth of Gram-positive bacteria than the parent CHL and the berberine derivative lacking the CAM moiety (CH3-C8-BER). Using a potential-sensitive fluorescent probe, we found that CAM-C8-BER significantly reduced the membrane potential in B. subtilis cells. Crystal violet assays were used to demonstrate the absence of induction of biofilm formation under the action of CAM-C8-BER on E. coli bacteria. Thus, we showed that CAM-C8-BER could act both on the ribosome and on the cell membrane of bacteria, with the alkylated berberine fragment of the compound making a significant contribution to the inhibitory effect on bacterial growth. Moreover, we showed that CAM-Cn-BERs did not inhibit eukaryotic translation in vitro and were non-toxic for eukaryotic cells. Full article
(This article belongs to the Section Antibiofilm Strategies)
Show Figures

Figure 1

16 pages, 3167 KB  
Article
Probing the Efficiency of 13-Pyridylalkyl Berberine Derivatives to Human Telomeric G-Quadruplexes Binding: Spectroscopic, Solid State and In Silico Analysis
by Carla Bazzicalupi, Alessandro Bonardi, Tarita Biver, Marta Ferraroni, Francesco Papi, Matteo Savastano, Paolo Lombardi and Paola Gratteri
Int. J. Mol. Sci. 2022, 23(22), 14061; https://doi.org/10.3390/ijms232214061 - 14 Nov 2022
Cited by 5 | Viewed by 2776
Abstract
The interaction between the series of berberine derivatives 15 (NAX071, NAX120, NAX075, NAX077 and NAX079) and human telomeric G-quadruplexes (G4), which are able to inhibit the Telomerase enzyme’s activity in malignant cells, was investigated. The derivatives bear a pyridine moiety connected [...] Read more.
The interaction between the series of berberine derivatives 15 (NAX071, NAX120, NAX075, NAX077 and NAX079) and human telomeric G-quadruplexes (G4), which are able to inhibit the Telomerase enzyme’s activity in malignant cells, was investigated. The derivatives bear a pyridine moiety connected by a hydrocarbon linker of varying length (n = 1–5, with n number of aliphatic carbon atoms) to the C13 position of the parent berberine. As for the G4s, both bimolecular 5′-TAGGGTTAGGGT-3′ (Tel12) and monomolecular 5′-TAGGGTTAGGGTTAGGGTTAGGG-3′ (Tel23) DNA oligonucleotides were considered. Spectrophotometric titrations, melting tests, X-ray diffraction solid state analysis and in silico molecular dynamics (MD) simulations were used to describe the different systems. The results were compared in search of structure–activity relationships. The analysis pointed out the formation of 1:1 complexes between Tel12 and all ligands, whereas both 1:1 and 2:1 ligand/G4 stoichiometries were found for the adduct formed by NAX071 (n = 1). Tel12, with tetrads free from the hindrance by the loop, showed a higher affinity. The details of the different binding geometries were discussed, highlighting the importance of H-bonds given by the berberine benzodioxole group and a correlation between the strength of binding and the hydrocarbon linker length. Theoretical (MD) and experimental (X-ray) structural studies evidence the possibility for the berberine core to interact with one or both G4 strands, depending on the constraints given by the linker length, thus affecting the G4 stabilization effect. Full article
(This article belongs to the Collection Feature Papers in Molecular Informatics)
Show Figures

Graphical abstract

Back to TopTop