Sign in to use this feature.

Years

Between: -

Subjects

remove_circle_outline
remove_circle_outline
remove_circle_outline
remove_circle_outline
remove_circle_outline
remove_circle_outline
remove_circle_outline
remove_circle_outline
remove_circle_outline

Journals

remove_circle_outline
remove_circle_outline
remove_circle_outline
remove_circle_outline
remove_circle_outline
remove_circle_outline
remove_circle_outline
remove_circle_outline
remove_circle_outline
remove_circle_outline
remove_circle_outline
remove_circle_outline
remove_circle_outline
remove_circle_outline
remove_circle_outline
remove_circle_outline

Article Types

Countries / Regions

remove_circle_outline
remove_circle_outline
remove_circle_outline
remove_circle_outline
remove_circle_outline
remove_circle_outline
remove_circle_outline
remove_circle_outline
remove_circle_outline

Search Results (5,127)

Search Parameters:
Keywords = Blockchain

Order results
Result details
Results per page
Select all
Export citation of selected articles as:
18 pages, 1458 KB  
Article
Combination Network with Multiaccess Caching
by Bowen Zheng, Yifei Huang and Dianhua Wu
Entropy 2026, 28(2), 220; https://doi.org/10.3390/e28020220 - 13 Feb 2026
Abstract
In the traditional (H,r,M,N) combination network, a central server storing N files communicates with K=Hr users through H cache-less relays. Each user has a local cache of size M files and is [...] Read more.
In the traditional (H,r,M,N) combination network, a central server storing N files communicates with K=Hr users through H cache-less relays. Each user has a local cache of size M files and is connected to a distinct subset of r relays. This paper studies the (H,r,L,Λ,M,N) combination network with multi-access caching, where Λ cache nodes (each of size M files) are available and each user can access L cache nodes. We show that in the regime HΛ and rL, an achievable design can be obtained via a group-wise operation, which reduces the scheme design within each group to an effective (Λ,L,L,Λ,M,N) instance. For the case Λ=H and L=r, we further propose an explicit coded caching scheme constructed via two array-based representations (a cache-node placement array and a user-retrieve array) and a derived combinatorial placement delivery array (CPDA) based on the Maddah-Ali–Niesen (MN) placement strategy. Numerical comparisons using the user-retrievable cache ratio as the evaluation metric indicate that the proposed scheme approaches the converse bound of the traditional combination network, and the performance gap diminishes as the cache ratio increases. Full article
(This article belongs to the Special Issue Network Information Theory and Its Applications)
49 pages, 14161 KB  
Article
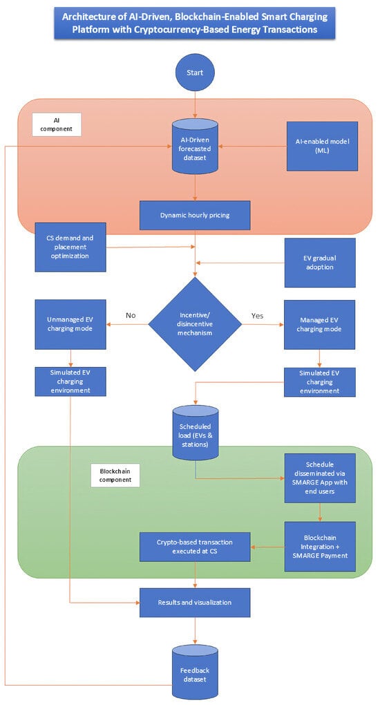
SMARGE: An AI–Blockchain Smart EV Charging Platform with Cryptocurrency-Based Energy Transactions
by Al Mothana Al Shareef and Serap Ulusam Seçkiner
Energies 2026, 19(4), 992; https://doi.org/10.3390/en19040992 - 13 Feb 2026
Abstract
The accelerating adoption of electric vehicles (EVs) is intensifying pressure on urban power grids, particularly during evening peak hours. Existing smart-charging frameworks remain constrained by centralized control, static pricing, and limited integration of predictive intelligence. This study presents SMARGE, a hybrid AI–Blockchain smart [...] Read more.
The accelerating adoption of electric vehicles (EVs) is intensifying pressure on urban power grids, particularly during evening peak hours. Existing smart-charging frameworks remain constrained by centralized control, static pricing, and limited integration of predictive intelligence. This study presents SMARGE, a hybrid AI–Blockchain smart charging platform that combines load forecasting, dynamic pricing, and cryptocurrency-based incentives to enhance decentralized EV energy management in Gaziantep Province. An ensemble of forecasting models (SARIMA, LightGBM, N-BEATS, and TFT) predicts 2026 hourly electricity demand, while an adaptive inverse-sigmoid pricing mechanism generates real-time incentives and disincentives for EV charging behavior. A fuzzy logic-based behavioral model simulates both unmanaged and managed charging across three scenarios. Results show that managed charging reduces peak load by 22.43%, shifts 67.45% of energy demand to off-peak periods, and achieves 94.86% charging fulfillment under constrained grid conditions. The blockchain layer—implemented through a custom ERC-20 token (SMARGE) on the Ethereum Sepolia testnet—enables secure, transparent, and low-cost microtransactions with an average confirmation time of 0.63 s. These findings demonstrate that tightly coupling AI forecasting with tokenized blockchain incentives can improve grid stability, lower operational costs, and enhance user autonomy in a scalable and decentralized manner. While promising, the study is limited by assumptions of synthetic user behavior and ideal communication conditions; future work will validate the platform in real-world pilot deployments and across different urban regions. Full article
(This article belongs to the Special Issue Optimization and Control of Smart Energy Systems)
Show Figures

Figure 1

13 pages, 2157 KB  
Data Descriptor
Georeferenced Snow Depth and Snow Water Equivalent Dataset (2025) from East Kazakhstan Region
by Dmitry Chernykh, Roman Biryukov, Lilia Lubenets, Andrey Bondarovich, Nurassyl Zhomartkan, Almasbek Maulit, Dauren Nurekenov, Kamilla Rakhymbek, Yerzhan Baiburin and Aliya Nugumanova
Data 2026, 11(2), 40; https://doi.org/10.3390/data11020040 - 13 Feb 2026
Abstract
In this work, we present the Snow Depth and Snow Water Equivalent Dataset for specific areas located in the East Kazakhstan Region that can be exploited to monitor and understand water resource dynamics in mountain regions. The present dataset represents a georeferenced collection [...] Read more.
In this work, we present the Snow Depth and Snow Water Equivalent Dataset for specific areas located in the East Kazakhstan Region that can be exploited to monitor and understand water resource dynamics in mountain regions. The present dataset represents a georeferenced collection of snow depth, snow density, and derived snow water equivalent (SWE) measurements obtained through manual snow surveys. Snow survey observations were conducted during field campaigns in the East Kazakhstan Region during the period of maximum snow accumulation from 27 February to 6 March 2025. Snow survey sites were selected to maximize coverage of diverse landscape settings and snow accumulation conditions. In total, 111 snow survey sites were established across the East Kazakhstan Region, and 2331 snow depth measurements and 555 snow density measurements were collected. In post-field (laboratory) processing, snow water equivalent (SWE) was calculated for all snow survey sites based on measured snow depth and snow density values. Full article
Show Figures

Figure 1

18 pages, 549 KB  
Review
Beyond Centralized AI: Blockchain-Enabled Decentralized Learning
by Daren Wang, Tengfei Ma, Juntao Zhu and Haihan Duan
Future Internet 2026, 18(2), 98; https://doi.org/10.3390/fi18020098 - 13 Feb 2026
Abstract
The dominance of centralized artificial intelligence architectures raises significant concerns regarding privacy, data ownership, and control. These limitations have motivated the development of decentralized learning paradigms that aim to remove reliance on a central authority during model training. While federated learning represents an [...] Read more.
The dominance of centralized artificial intelligence architectures raises significant concerns regarding privacy, data ownership, and control. These limitations have motivated the development of decentralized learning paradigms that aim to remove reliance on a central authority during model training. While federated learning represents an intermediate step by allowing distributed training without raw data exchange, it still depends on a centralized server which could lead to single-point vulnerabilities. Beyond this, a fully decentralized learning in general faces challenges in security vulnerabilities, absence of governance, and lack of incentive alignment. Recent advances in blockchain technology offer a promising foundation for addressing these issues. This paper provides a systematic analysis of blockchain’s mechanism-level roles in security, consensus, smart contract, and incentives to support decentralized learning. By reviewing state-of-the-art approaches, this paper suggests that appropriately designed blockchain architectures have the potential to enable practical, secure, and incentive-compatible decentralized learning as technological capabilities continue to evolve. Full article
Show Figures

Graphical abstract

23 pages, 1004 KB  
Article
The Diffusion Mechanism of Blockchain Technology for Power Sector Carbon Emission Data Supervision from the Perspective of Sustainable Development
by Lihong Li, Weimao Xu, Kun Song, Ce Xiu and Rui Zhu
Sustainability 2026, 18(4), 1902; https://doi.org/10.3390/su18041902 - 12 Feb 2026
Abstract
Accurate power-sector carbon emission data (PS-CED) are critical for ensuring sustainable practices in carbon trading and effective emission reductions. However, conventional centralized reporting systems are susceptible to data tampering, duplicate accounting, and inefficient manual verification, hindering the achievement of sustainability goals. Blockchain technology [...] Read more.
Accurate power-sector carbon emission data (PS-CED) are critical for ensuring sustainable practices in carbon trading and effective emission reductions. However, conventional centralized reporting systems are susceptible to data tampering, duplicate accounting, and inefficient manual verification, hindering the achievement of sustainability goals. Blockchain technology (BCT) provides transparency, immutability, and automated compliance, offering significant potential for improving the sustainability of PS-CED supervision. Despite this, its diffusion in the sector faces challenges such as data heterogeneity, security concerns, institutional differences, and resource limitations. This study integrates the Technology Acceptance Model (TAM) and the Theory of Planned Behavior (TPB) to develop a diffusion framework for BCT adoption in PS-CED supervision with a focus on sustainability. Using partial least squares structural equation modeling (PLS-SEM) and fuzzy-set qualitative comparative analysis (fsQCA), the study examines both linear effects and multiple adoption configurations. The results indicate that adoption willingness mediates the effects of perceived usefulness and ease of use, while perceived regulatory norms underscore policy pressure as a crucial external driver for fostering sustainability. Configurational analysis reveals heterogeneous diffusion patterns, with high adoption performance driven by technological capability combined with regulatory enforcement, and low performance linked to weak technological engagement and structural constraints. Based on these findings, a strategic framework is proposed to support differentiated and phased BCT adoption across organizational contexts to enhance sustainability in carbon emission supervision. This paper clarifies the diffusion mechanisms and provides practical guidance for scaling blockchain-based PS-CED supervision to promote sustainability. Full article
(This article belongs to the Special Issue Sustainable Renewable Energy: Smart Grid and Electric Power System)
Show Figures

Figure 1

39 pages, 1831 KB  
Review
Enhancing EV Charging Resilience: A Review of Blockchain and Cybersecurity Applications
by Gonesh Chandra Saha, Ahmed Afif Monrat and Karl Andersson
J. Cybersecur. Priv. 2026, 6(1), 33; https://doi.org/10.3390/jcp6010033 - 12 Feb 2026
Abstract
The rapid expansion of electric vehicles (EVs) has added complexity to the resilience and security challenges to the EV charging systems, especially owing to the exposure to the cyber–physical threats and the reliance on centrally coordinated systems. Although the previous literature has discussed [...] Read more.
The rapid expansion of electric vehicles (EVs) has added complexity to the resilience and security challenges to the EV charging systems, especially owing to the exposure to the cyber–physical threats and the reliance on centrally coordinated systems. Although the previous literature has discussed the use of blockchain in the context of smart grids and mobility services; its implementation to improve the resilience of EV charging, particularly when integrated with cybersecurity systems, is still insufficiently synthesized. Despite these issues, critical gaps persist in terms of scalability, interoperability, and cybersecurity enforcement. This study presents an exploratory literature review that examines the intersection of blockchain and cybersecurity enabled applications and introduces a comparative framework evaluating the conventional security controls with blockchain based cybersecurity solutions to improve the resilience of EV charging infrastructure. The authors analyzed 70 studies published between 2018 and 2025 to determine the security weaknesses and map them to decentralized solutions. Reported threats, security mechanisms, architectural decisions, and levels of validation were grouped and reviewed critically in the patterns of limitations with respect to scalability, interoperability, and deployment maturity. Through the synthesis of fragmented results in cross disciplinary research, the paper finds the main gaps in research and comparative research results that could be used as a comprehensive reference in future studies and system design in resilient EV charging infrastructures. Full article
(This article belongs to the Special Issue Building Community of Good Practice in Cybersecurity)
Show Figures

Graphical abstract

20 pages, 2104 KB  
Article
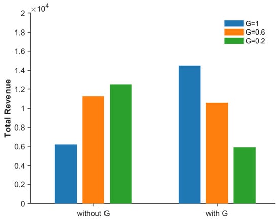
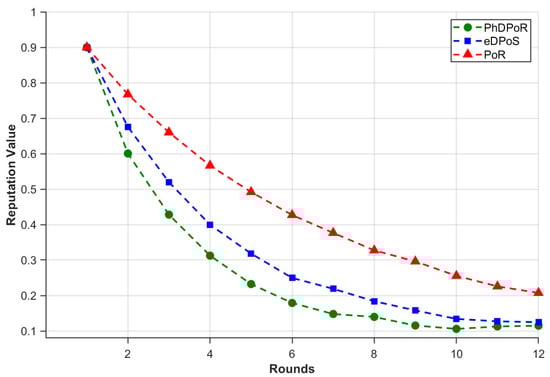
Research on Dynamic Spectrum Sharing in the Internet of Vehicles Based on Blockchain and Game Theory
by Xianhao Shen, Mingze Li, Jiazhi Yang and Jinsheng Yi
Sensors 2026, 26(4), 1190; https://doi.org/10.3390/s26041190 - 12 Feb 2026
Abstract
With the rapid development of the Internet of Vehicles (IoV), the explosive growth of data traffic within the system has led to a surge in demand for spectrum resources. However, the strict limitations on spectrum supply make the construction of an efficient and [...] Read more.
With the rapid development of the Internet of Vehicles (IoV), the explosive growth of data traffic within the system has led to a surge in demand for spectrum resources. However, the strict limitations on spectrum supply make the construction of an efficient and reasonable resource allocation scheme crucial for IoV. To maximize social benefits and improve security in the resource allocation process under IoV spectrum scarcity, this paper proposes a dynamic spectrum allocation (DSA) scheme based on a consortium blockchain framework. In this scheme, we design a demand-based vehicle priority classification method and propose a novel hybrid consensus mechanism—PhDPoR—which integrates practical byzantine fault tolerance (PBFT) and Hierarchical Delegated Proof of Reputation. Furthermore, we construct a multi-leader, multi-follower (MLMF) Stackelberg game model and utilize smart contracts to implement an immutable on-chain record of spectrum resource allocation, thereby deriving the optimal spectrum pricing and purchase strategy. Experimental results show that the proposed scheme not only effectively optimizes the utility of both supply and demand sides and improves overall social benefits while ensuring efficiency, but also significantly outperforms baseline algorithms in identifying and mitigating malicious nodes, thus verifying its feasibility and application value in complex IoV environments. Full article
(This article belongs to the Special Issue Blockchain Technology for Internet of Things)
Show Figures

Figure 1

17 pages, 638 KB  
Article
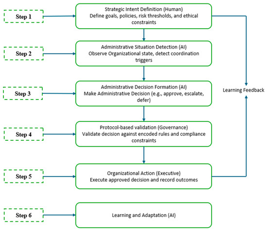
Autonomous Administrative Intelligence: Governing AI-Mediated Administration in Decentralized Organizations
by Aravindh Sekar
Adm. Sci. 2026, 16(2), 95; https://doi.org/10.3390/admsci16020095 - 12 Feb 2026
Abstract
The increasing deployment of agentic artificial intelligence (AI) systems and decentralized digital infrastructures has challenged traditional assumptions about organizational administration, control, and governance. While AI has advanced task-level optimization and decision support, administrative functions such as coordination, compliance, and accountability remain largely centralized [...] Read more.
The increasing deployment of agentic artificial intelligence (AI) systems and decentralized digital infrastructures has challenged traditional assumptions about organizational administration, control, and governance. While AI has advanced task-level optimization and decision support, administrative functions such as coordination, compliance, and accountability remain largely centralized and dependent on humans. This paper introduces Autonomous Administrative Intelligence (AAI), a governance-aware AI capability that enables autonomous agents to execute and adapt administrative decisions within strategically defined constraints and decentralized governance mechanisms. Building on the Strategic Decentralized Resilience–AI (SDRT-AI) framework, the study develops a layered architecture and operational flow integrating agentic decision-making, governance-aware learning, and protocol-based validation. The proposed framework explains how strategic intent, organizational capabilities, and decentralized trust jointly enable scalable administrative autonomy while preserving accountability and control. By reframing administration as an AI-mediated governance process, this paper extends research on agentic AI and contributes to administrative science by providing a conceptual foundation for the design and governance of autonomous administrative systems in decentralized organizations. Full article
Show Figures

Figure 1

13 pages, 2890 KB  
Proceeding Paper
Design and Implementation of Interactive Teaching Materials for Core Blockchain Concepts on OwlSpace Platform as a Capstone Project
by Chin-Ling Chen, Kuang-Wei Zeng, Wei-Ying Li, Tzu-Chuen Lu, Chin-Feng Lee and Ling-Chun Liu
Eng. Proc. 2025, 120(1), 63; https://doi.org/10.3390/engproc2025120063 - 11 Feb 2026
Abstract
Blockchain technology, with special features of decentralization, immutability, consensus mechanisms, and smart contracts, has been integrated into different areas of digital applications recently. However, its abstract concepts present a steep learning curve for beginners, especially in the absence of online resources that offer [...] Read more.
Blockchain technology, with special features of decentralization, immutability, consensus mechanisms, and smart contracts, has been integrated into different areas of digital applications recently. However, its abstract concepts present a steep learning curve for beginners, especially in the absence of online resources that offer dynamic, hands-on learning experiences. In response to this problem, we developed a digital interactive teaching tool using the OwlSpace platform to explain what blockchain truly is in its four core foundational concepts. Interactive operations, guided workflows, and visual simulations are applied in the system to assist the learner in interpreting decentralized architectures, immutability of data interactively, the consensus formation process, and the mechanics behind smart contract operation. The system has also put a focus on conceptual understanding and gamified experiences rather than competitive ones, providing a practical and engineering-focused tool for introductory information engineering students. Full article
(This article belongs to the Proceedings of 8th International Conference on Knowledge Innovation and Invention)
Show Figures

Figure 1

28 pages, 4040 KB  
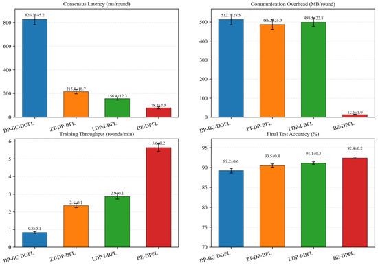
Article
BE-DPFL: A Blockchain-Enhanced Privacy-Preserving Federated Learning Framework for Secure Edge Network Collaboration
by Wangjing Jia and Tao Xie
Appl. Sci. 2026, 16(4), 1791; https://doi.org/10.3390/app16041791 - 11 Feb 2026
Viewed by 32
Abstract
Against the deep integration of digital transformation and AI, cross-institutional collaborative modeling hinges on efficient data circulation, yet data silos and privacy regulations hinder traditional centralized training. Federated Learning (FL) keeps data local but faces issues like weak centralized trust, inadequate privacy protection, [...] Read more.
Against the deep integration of digital transformation and AI, cross-institutional collaborative modeling hinges on efficient data circulation, yet data silos and privacy regulations hinder traditional centralized training. Federated Learning (FL) keeps data local but faces issues like weak centralized trust, inadequate privacy protection, and poor robustness in edge networks. Existing improvements, including via differential privacy (DP) and blockchain, among others, still suffer from centralized budget allocation, low consensus efficiency, or single-point-of-failure addressing, failing to jointly optimize trust, performance, and privacy. The limitations are exacerbated in high-frequency, resource-constrained edge environments. To tackle these challenges, this paper proposes BE-DPFL, a blockchain-enhanced differentially private FL framework that integrates on-chain trusted supervision and off-chain efficient training. It builds a lightweight blockchain trust layer with FL-PBFT consensus and smart contracts, introduces Random Projection–ADMM optimization, and designs a multi-objective adaptive gradient clipping/noise injection strategy. Experiments on CIFAR-10 and ChestX-ray14 demonstrate that BE-DPFL outperforms mainstream methods in consensus efficiency, communication overhead, privacy-accuracy balance, and robustness. It reduces communication costs by over 97%, achieves 100% privacy compliance, and maintains stable performance even under high disturbances. Ablation studies confirm the significant contributions of core components. Full article
Show Figures

Figure 1

34 pages, 3862 KB  
Article
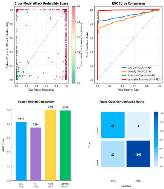
Securing UAV Swarms with Vision Transformers: A Byzantine-Robust Federated Learning Framework for Cross-Modal Intrusion Detection
by Canan Batur Şahin
Drones 2026, 10(2), 125; https://doi.org/10.3390/drones10020125 - 11 Feb 2026
Viewed by 36
Abstract
The increasing deployment of uncrewed aerial vehicles (UAVs) in cyber-physical and safety-critical missions has amplified the need for intrusion detection systems that are accurate, privacy-preserving, and resilient to adversarial manipulation. In this paper, we propose CM-BRF-ViT, a Cross-Modal Byzantine-Robust Federated Vision Transformer framework [...] Read more.
The increasing deployment of uncrewed aerial vehicles (UAVs) in cyber-physical and safety-critical missions has amplified the need for intrusion detection systems that are accurate, privacy-preserving, and resilient to adversarial manipulation. In this paper, we propose CM-BRF-ViT, a Cross-Modal Byzantine-Robust Federated Vision Transformer framework for UAV intrusion detection that jointly addresses heterogeneous attack modeling, distributed learning security, and adaptive decision fusion. The proposed framework integrates Gramian Angular Field (GAF) transformations with Vision Transformer (ViT) architectures to effectively convert tabular network and cyber-physical features into discriminative visual representations suitable for attention-based learning. To enable privacy-preserving collaboration across distributed UAV nodes, CM-BRF-ViT operates within a federated learning paradigm and introduces Reference-GAF Consistency Aggregation (ReGCA). This novel Byzantine-robust aggregation mechanism jointly measures prediction consistency and feature-level semantic consistency using a trusted reference set and MAD-based robust weighting. Unlike conventional defenses that rely solely on parameter-space filtering, ReGCA supervises model updates at both behavioral and representation levels, significantly enhancing robustness against malicious clients. In addition, a learnable cross-modal fusion head is developed to adaptively combine attack probabilities derived from cyber and cyber-physical modalities, allowing the framework to exploit complementary threat signatures across layers. Extensive experiments conducted on the UAVIDS-2025 and Cyber-Physical datasets demonstrate that the proposed method achieves 97.1% detection accuracy for UAV network traffic and 78.5% for cyber-physical data, with a fused detection AUC of 0.993. Under adversarial settings, CM-BRF-ViT preserves 89.6% accuracy with up to 40% Byzantine clients, outperforming FedAvg by more than 44 percentage points. Ablation studies further confirm that ReGCA, cross-modal fusion, and ViT-based representation learning contribute complementary performance gains over baseline federated and centralized approaches. These results demonstrate that CM-BRF-ViT provides a robust, adaptive, and privacy-aware intrusion detection solution for UAV systems, making it well-suited for deployment in adversarial and resource-constrained aerial networks. Full article
(This article belongs to the Section Artificial Intelligence in Drones (AID))
Show Figures

Figure 1

20 pages, 284 KB  
Article
Islamic Finance in the Digital Age: Fintech as a Civilizational Tool
by Edib Smolo
Religions 2026, 17(2), 218; https://doi.org/10.3390/rel17020218 - 11 Feb 2026
Viewed by 96
Abstract
This study explores the potential synergy between Islamic finance and financial technology (fintech). This synergy may prove to be a strong civilizational tool to help in the propagation of the Islamic finance principles as long as it is done right. Such values are [...] Read more.
This study explores the potential synergy between Islamic finance and financial technology (fintech). This synergy may prove to be a strong civilizational tool to help in the propagation of the Islamic finance principles as long as it is done right. Such values are used to enhance social justice, fair allocation of wealth, and moral economic involvement in contrast to profit maximization, which is the ultimate aim of traditional finance. With the advent of fintech, new technologies like blockchain, artificial intelligence, and mobile platforms emerged. These innovations do provide a chance to bring the ideas of Islamic finance to a large scale. It is on the basis of the significant scholarly and business reports that this paper will comment on how fintech can contribute to better Shari’ah-compliant products, financial inclusion, and better, transparent, and more resilient economic systems. This paper identifies the opportunity in innovation and the challenges that exist in the Islamic finance industry. The main challenges are regulatory barriers, ethics, the absence of standardization/harmonization, and skilled workers. By the concerted effort of all stakeholders, we would be in a position to develop a collaborative ecosystem that would harness technology for the betterment of humankind. Finally, digitalized finance through fintech may contribute to sustainable civilizational development if designed, governed, and implemented according to maqasid al-Shari’ah principles and integrated within appropriate regulatory frameworks. Full article
(This article belongs to the Special Issue Piety and Ethical Foundations in Islamic Moral Economy)
30 pages, 5139 KB  
Article
Research on an On-Chain and Off-Chain Collaborative Storage Method Based on Blockchain and IPFS
by Tianqi Zhu, Yuxiang Huang, Zhihong Liang, Mingming Qin, Ruicheng Niu, Yuanyuan Ma and Qi Feng
Future Internet 2026, 18(2), 92; https://doi.org/10.3390/fi18020092 - 10 Feb 2026
Viewed by 108
Abstract
Blockchain technology, with its characteristics of decentralization, immutability, auditability, and traceability, has gradually become a core infrastructure in the digital economy era, demonstrating great potential in fields such as finance, government services, and the Internet of Things (IoT). However, as the scale of [...] Read more.
Blockchain technology, with its characteristics of decentralization, immutability, auditability, and traceability, has gradually become a core infrastructure in the digital economy era, demonstrating great potential in fields such as finance, government services, and the Internet of Things (IoT). However, as the scale of blockchain networks expands and data volumes surge, issues such as full-node storage redundancy, limited transaction throughput, and inefficient synchronization of historical data have become increasingly prominent, severely restricting the large-scale application of blockchain systems. The storage scalability problem faced by blockchain is therefore becoming more critical. To address the challenge in which on-chain storage expansion still cannot meet the demand for large-scale data storage, a storage method combining the InterPlanetary File System (IPFS) with blockchain, referred to as IPFS-BC, is proposed. In IPFS-BC, large-scale raw data are stored in the decentralized and content-addressable IPFS network, while the blockchain only retains the unique content identifier (CID) hash and related metadata. Through smart contracts enabling dynamic permission management and fine-grained access control, efficient interaction and collaborative storage between on-chain and off-chain systems are achieved. In this work, file upload simulation experiments were conducted, and two evaluation indicators—storage space consumption and storage performance (file read/write time and speed)—were used to compare three storage approaches: Distributed Hash Table (DHT)-based off-chain storage, Financial Blockchain Shenzhen Open Source (FISCO BCOS) on-chain storage, and the IPFS-BC on-chain/off-chain collaborative storage model. Experimental results show that the IPFS-BC model reduces storage space consumption by approximately 75% compared with FISCO BCOS blockchain storage when storing file data, significantly decreasing data redundancy. Moreover, IPFS-BC ensures system security during the on-chain process, and through the automated management and auditing provided by smart contracts, it effectively enhances system security and realizes scalable on-chain/off-chain collaborative storage. Full article
(This article belongs to the Special Issue Advances in Multimedia Information System Security)
Show Figures

Figure 1

23 pages, 473 KB  
Article
Zero-Knowledge Proof Extensions for Digital Product Passports in Sustainability Claims Reporting and Verifications
by Chibuzor Udokwu and Stefan Craß
Electronics 2026, 15(4), 745; https://doi.org/10.3390/electronics15040745 - 10 Feb 2026
Viewed by 71
Abstract
Digital product passports outline information about a product’s lifecycle, circularity, and sustainability-related data. Sustainability data contains claims about carbon footprint, recycled material composition, ethical sourcing of production materials, etc. Also, upcoming regulatory directives require companies to disclose this type of information. However, current [...] Read more.
Digital product passports outline information about a product’s lifecycle, circularity, and sustainability-related data. Sustainability data contains claims about carbon footprint, recycled material composition, ethical sourcing of production materials, etc. Also, upcoming regulatory directives require companies to disclose this type of information. However, current sustainability reporting practices face challenges, such as greenwashing, where companies make incorrect claims that are difficult to verify. There is also a challenge of disclosing sensitive production information when other stakeholders, such as consumers or other economic operators, wish to verify sustainability claims independently. Zero-knowledge proofs (ZKPs) provide a cryptographic system for verifying statements without revealing sensitive information. The goal of this research paper is to explore ZKP cryptography, trust models, and implementation concepts for extending DPP capability in privacy-aware reporting and verification of sustainability claims in products. To achieve this goal, first, formal representations of sustainability claims are provided. Then, a data matrix and trust model for generating proofs are developed. An interaction sequence is provided to show different components for various proof generation and verification scenarios for sustainability claims. Lastly, the paper provides a circuit template for the proof generation of an example claim and a credential structure for their input data validation. The proposed approach is assessed using a scenario-based evaluation to check the performance metrics for data credential verification and proof generation for verifying material composition in a product. Full article
Show Figures

Figure 1

37 pages, 4614 KB  
Article
The Role of AI in Revolutionising Cryptocurrency Trading
by Georgiana-Iulia Lazea, Cristian Lungu and Ovidiu-Constantin Bunget
Electronics 2026, 15(4), 742; https://doi.org/10.3390/electronics15040742 - 10 Feb 2026
Viewed by 124
Abstract
This article examines the revolutionary impact of Artificial Intelligence (AI) on transforming cryptocurrency trading, a sector characterised by extreme volatility, dynamism, and nonlinear data. Through a rigorous bibliometric analysis based on the Web of Science database, this study examines a sample of 555 [...] Read more.
This article examines the revolutionary impact of Artificial Intelligence (AI) on transforming cryptocurrency trading, a sector characterised by extreme volatility, dynamism, and nonlinear data. Through a rigorous bibliometric analysis based on the Web of Science database, this study examines a sample of 555 scientific papers published between 2016 and 2025, utilising the PRISMA protocol for systematic selection, and tools such as VOSviewer and MS Excel. The analysis identifies five major thematic clusters: (1) blockchain infrastructure and AI integration in decentralised ecosystems, (2) data analysis and practical applicability in crypto markets, (3) financial and social data analysis—machine learning algorithms, (4) algorithmic trading and automation, and (5) prediction and modelling of crypto market developments. The originality of this study lies in providing an overview of the implementation stage of these technologies by integrating the results into a map of Technology Readiness Levels (TRLs). The findings highlight a clear transition from traditional statistical methods to autonomous decision-making systems capable of processing massive volumes of data for portfolio optimisation. This study’s limitation is that it may require periodic updates, as the AI and cryptocurrency landscape are constantly evolving. Full article
Show Figures

Figure 1

Back to TopTop