Sign in to use this feature.

Years

Between: -

Subjects

remove_circle_outline
remove_circle_outline
remove_circle_outline
remove_circle_outline
remove_circle_outline
remove_circle_outline
remove_circle_outline
remove_circle_outline
remove_circle_outline

Journals

remove_circle_outline
remove_circle_outline
remove_circle_outline
remove_circle_outline
remove_circle_outline
remove_circle_outline
remove_circle_outline
remove_circle_outline
remove_circle_outline

Article Types

Countries / Regions

remove_circle_outline
remove_circle_outline
remove_circle_outline
remove_circle_outline

Search Results (726)

Search Parameters:
Keywords = BRD4

Order results
Result details
Results per page
Select all
Export citation of selected articles as:
12 pages, 1646 KB  
Article
Deferoxamine Modulates Corneal Endothelial Cell Biological Properties Associated with Increased VEGF Expression
by Barbara Sophie Brunner, Paul Emesz, Nikolaus Luft, Siegfried Georg Priglinger, Andreas Ohlmann and Stefan Kassumeh
Medicina 2026, 62(5), 808; https://doi.org/10.3390/medicina62050808 - 23 Apr 2026
Viewed by 216
Abstract
Background and Objectives: The objective of this study is to evaluate whether deferoxamine modulates cell biological properties, such as proliferation and wound closure of porcine corneal endothelial cells (CECs) in vitro, and whether the treatment of CECs with deferoxamine results in an enhanced [...] Read more.
Background and Objectives: The objective of this study is to evaluate whether deferoxamine modulates cell biological properties, such as proliferation and wound closure of porcine corneal endothelial cells (CECs) in vitro, and whether the treatment of CECs with deferoxamine results in an enhanced expression of vascular endothelial growth factor (VEGF). Materials and Methods: Corneal endothelial cells were extracted from porcine globes within 24 h postmortem. Immunohistochemistry for the endothelial Na+/K+-ATPase was performed to confirm the cells’ endothelial origin. To assess CEC viability and proliferation, a water-soluble tetrazolium salt (WST-1) and 5-bromo-2′-deoxyuridine (BrdU) assay were performed. Corneal endothelial wound closure was evaluated using a wound closure assay. VEGF mRNA expression was evaluated using real-time polymerase chain reaction (rt-PCR). Results: The extracted corneal endothelial cells showed a typical hexagonal morphology with Na+/K+-ATPase staining of the cell membrane. The treatment with 200 µM deferoxamine significantly increased CEC viability to 121 ± 24% compared to the control group (p = 0.0024). Corneal endothelial cell proliferation did not show any significant changes under the treatment with deferoxamine (p > 0.05). Both 100 µM and 200 µM deferoxamine led to a significantly smaller remaining wound area of 82.4 ± 6.7% and 78.7 ± 6.2% (p < 0.0001) in comparison to the control group after 24 h of treatment in the wound closure assay. Treatment with 200 µM deferoxamine significantly induced VEGF mRNA expression to 1.67- ± 0.57-fold from 1.00- ± 0.03-fold in the control group (p = 0.0006). Conclusions: Deferoxamine effectively enhances corneal endothelial cell viability and wound healing associated with an overexpression of VEGF. Thus, deferoxamine is a potent modulator of cell biological properties of corneal endothelial cells and maintains their integrity in vitro. Full article
(This article belongs to the Special Issue Advances in Corneal Management)
Show Figures

Figure 1

12 pages, 925 KB  
Article
Cytostatic and Non-Apoptotic Effects of Vinorelbine-Based Therapy in 3D Endometrial Cancer Spheroids
by Berna Yıldırım, Burcu Biltekin, Mete Hakan Karalök and Ayhan Bilir
Biology 2026, 15(7), 576; https://doi.org/10.3390/biology15070576 - 3 Apr 2026
Viewed by 479
Abstract
Resistance to apoptosis represents a major therapeutic challenge in advanced and recurrent endometrial cancer. This study investigated whether vinorelbine, alone or in combination with lithium chloride (LiCl) or medroxyprogesterone acetate (MPA), suppresses tumor growth through non-apoptotic mechanisms in a three-dimensional spheroid model of [...] Read more.
Resistance to apoptosis represents a major therapeutic challenge in advanced and recurrent endometrial cancer. This study investigated whether vinorelbine, alone or in combination with lithium chloride (LiCl) or medroxyprogesterone acetate (MPA), suppresses tumor growth through non-apoptotic mechanisms in a three-dimensional spheroid model of Ishikawa endometrial cancer cells. Proliferation was assessed by BrdU incorporation, cell cycle distribution by flow cytometry, and apoptosis by Annexin V/propidium iodide staining. Vinorelbine-based treatments significantly reduced DNA synthesis and were associated with decreased S-phase fractions and altered cell cycle distribution. These effects were sustained over time and were more pronounced in combination treatments. Importantly, no consistent increase in apoptotic cell death was observed, and most cells remained viable despite strong suppression of proliferation. These findings indicate that vinorelbine-based regimens inhibit tumor spheroid growth predominantly through cytostatic mechanisms rather than induction of apoptosis. This non-apoptotic growth-control strategy may be relevant for the management of apoptosis-resistant endometrial cancer. Full article
(This article belongs to the Section Cancer Biology)
Show Figures

Figure 1

24 pages, 6206 KB  
Article
Discovery of a Novel Compound Enhancing SVZ Neurogenic Effects via Human Neural Stem Cell-Based Phenotypic Screening
by Atsushi Nakane, Katsushi Kitahara, Riku Fukushima, Tetsuro Nariai, Kazuto Yamazaki and Hidetaka Nagata
Pharmaceuticals 2026, 19(4), 536; https://doi.org/10.3390/ph19040536 - 26 Mar 2026
Viewed by 540
Abstract
Background/Objectives: Adult neural stem cells retain the capacity to generate immature neuronal lineages; however, pharmacological approaches that robustly enhance neurogenic activity remain limited. To identify compounds with intrinsic activity under physiologically restrictive conditions, we aimed to screen for small molecules that promote neural [...] Read more.
Background/Objectives: Adult neural stem cells retain the capacity to generate immature neuronal lineages; however, pharmacological approaches that robustly enhance neurogenic activity remain limited. To identify compounds with intrinsic activity under physiologically restrictive conditions, we aimed to screen for small molecules that promote neural stem cell proliferation in the absence of exogenous growth factors and are compatible with central nervous system drug discovery. Methods: We developed a human neural stem cell–based phenotypic screening cascade performed under growth factor–free conditions. Compound activity was evaluated in vitro by ATP-based proliferation assays, BrdU incorporation, and assessment of neurogenic marker analysis. In vivo neurogenic effects were assessed in adult rats by BrdU labeling and immunohistochemical analysis of BrdU/Nestin- and BrdU/DCX-positive cells in the subventricular zone and hippocampal subgranular zone, together with pharmacokinetic analysis to assess brain exposure. Results: Using this platform, we identified Lead-238 as a small-molecule that enhanced neural stem cell proliferation and neurogenic output in vitro. In vivo, Lead-238 increased neurogenic activity in the subventricular zone, as evidenced by elevated numbers of BrdU-positive, BrdU/DCX-positive, and BrdU/Nestin-positive cells, whereas no detectable effects were observed in the hippocampal subgranular zone. Lead-238 achieved sufficient brain exposure, and its neurogenic effects were not readily explained by established neurogenic pathways. Conclusions: These findings demonstrate that growth factor–free phenotypic screening using human neural stem cells is an effective approach for identifying compounds that enhance adult neurogenic activity and identify Lead-238 as a small molecule that increases neurogenic activity in the subventricular zone without detectable effects in the hippocampal subgranular zone. Full article
(This article belongs to the Section Medicinal Chemistry)
Show Figures

Graphical abstract

17 pages, 1937 KB  
Article
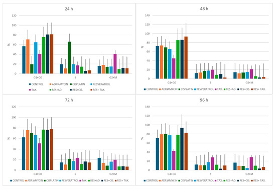
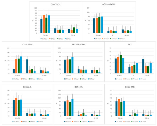
Resveratrol as a Modulator of Adriamycin-, Taxol-, and Cisplatin-Induced Cytotoxicity in MCF-7 Breast Cancer Cells
by Burcu Biltekin, Hafize Uzun and Ayhan Bilir
Int. J. Mol. Sci. 2026, 27(7), 2979; https://doi.org/10.3390/ijms27072979 - 25 Mar 2026
Viewed by 406
Abstract
Breast cancer (BC) remains the most diagnosed malignancy among women worldwide, with approximately 2.3 million new cases and over 670,000 deaths reported annually. Resistance to conventional chemotherapeutic agents and treatment-related toxicity remain major challenges in BC management. Resveratrol, a naturally occurring polyphenol, has [...] Read more.
Breast cancer (BC) remains the most diagnosed malignancy among women worldwide, with approximately 2.3 million new cases and over 670,000 deaths reported annually. Resistance to conventional chemotherapeutic agents and treatment-related toxicity remain major challenges in BC management. Resveratrol, a naturally occurring polyphenol, has been proposed as a potential modulator of chemotherapy response; however, comparative evidence regarding its interaction with different classes of chemotherapeutic agents is limited. This study aimed to comparatively assess the effects of resveratrol on the cytotoxic, antiproliferative, and apoptotic responses induced by adriamycin, taxol, and cisplatin in MCF-7 BC cells. MCF-7 cells were treated with adriamycin, taxol, cisplatin, and resveratrol, either alone or in combination, across multiple concentrations for 24, 48, 72, and 96 h. Cell viability was evaluated using the trypan blue exclusion assay. Cellular proliferation was assessed via BrdU incorporation, while apoptosis and cell death profiles were analyzed using Annexin V staining and flow cytometry. Exposure to individual chemotherapeutic agents induced a significant time- and dose-dependent reduction in MCF-7 cell viability (p < 0.001). Resveratrol co-treatment further modulated chemotherapy-induced cytotoxicity in an agent- and time-dependent manner. Combination treatments markedly suppressed DNA synthesis compared with single-agent exposure (p < 0.01) and significantly increased apoptotic cell populations. Flow cytometric Annexin V/PI analysis demonstrated that early apoptotic cells ranged from 3.2–11.3% in single-agent treatments and increased to 0.04–50.4% in resveratrol-based combination groups. Similarly, late apoptotic/secondary necrotic cell fractions increased from 4.1–4.4% in single-agent treatments to 2.1–69.9% following combination therapy, indicating a substantially higher overall cell death response in selected treatment conditions. This study demonstrates that resveratrol modulates the cytotoxic and apoptotic responses of MCF-7 BC cells to adriamycin, taxol, and cisplatin in an agent- and time-dependent manner. The findings indicate that resveratrol acts as a context-dependent modulator of chemotherapy response. Although resveratrol generally enhanced cytotoxic and apoptotic responses in combination treatments, the magnitude of these effects varied depending on the chemotherapeutic agent and exposure conditions. Further preclinical and clinical studies are warranted to define their therapeutic relevance. Full article
(This article belongs to the Section Molecular Toxicology)
Show Figures

Graphical abstract

15 pages, 7557 KB  
Article
Mitochondrial Injury Accompanied by Intermediate Filament Remodeling Following Lithium Chloride Exposure in 3D Endometrial Cancer Spheroids
by Berna Yıldırım, Burcu Biltekin, Mete Hakan Karalök and Ayhan Bilir
Biomedicines 2026, 14(3), 655; https://doi.org/10.3390/biomedicines14030655 - 13 Mar 2026
Viewed by 572
Abstract
Background/Objectives: Endometrial cancer frequently develops resistance to therapy, partly due to the ability of tumor cells to adapt to cellular stress through non-apoptotic mechanisms. Mitochondrial dysfunction and cytoskeletal remodeling are increasingly recognized as key components of stress adaptation; however, their structural relationship [...] Read more.
Background/Objectives: Endometrial cancer frequently develops resistance to therapy, partly due to the ability of tumor cells to adapt to cellular stress through non-apoptotic mechanisms. Mitochondrial dysfunction and cytoskeletal remodeling are increasingly recognized as key components of stress adaptation; however, their structural relationship under pharmacological stress in three-dimensional (3D) tumor models remains poorly characterized. The present study aimed to investigate the ultrastructural and phenotypic effects of lithium chloride (LiCl)-induced stress in 3D endometrial cancer spheroids, with a particular focus on mitochondrial alterations and intermediate filament organization. Methods: Three-dimensional spheroids generated from Ishikawa endometrial cancer cells were exposed to lithium chloride at concentrations of 1, 10, or 50 mM for defined time periods. Cell viability, proliferative activity, and clonogenic capacity were assessed using Trypan Blue exclusion, BrdU incorporation, and soft agar assays. Ultrastructural changes were examined by transmission electron microscopy to evaluate mitochondrial morphology, cytoplasmic organization, and intermediate filament distribution. Results: LiCl exposure resulted in a dose- and time-dependent reduction in cell viability, proliferation, and clonogenic potential in 3D spheroids. Ultrastructural analysis revealed pronounced mitochondrial swelling, cristae disorganization, and membrane-associated mitochondrial alterations. These changes were consistently accompanied by conspicuous accumulation and reorganization of intermediate filaments in close spatial proximity to damaged mitochondria, suggesting a structural association between cytoskeletal remodeling and mitochondrial injury. Across all experimental conditions, classical apoptotic ultrastructural features, including chromatin condensation and apoptotic body formation, were not observed. Conclusions: Together, these observations indicate that lithium chloride elicits a stress phenotype in 3D endometrial cancer spheroids that primarily manifests at the organelle and cytoskeletal levels, rather than through classical apoptotic execution. Although descriptive in nature, the present study highlights intermediate filament accumulation as a prominent structural feature of lithium-induced mitochondrial stress and establishes a structural reference point for future studies aimed at further investigating mitochondrial–cytoskeletal relationships during pharmacological stress in endometrial cancer. Full article
(This article belongs to the Section Cancer Biology and Oncology)
Show Figures

Figure 1

21 pages, 16439 KB  
Article
Moracin D Inhibits Gastric Cancer Progression Through B-Cell Lymphoma-2 (Bcl-2)-Mediated Cell Cycle Arrest and Apoptosis, Enhancing Chemotherapy Efficacy
by Abdulkareem Qasem Moqbel, He Yang, Shunhui Liu, Li Feng, Muhammad Usman Ghani, Xiaoxue Ke and Hongjuan Cui
Biomolecules 2026, 16(3), 428; https://doi.org/10.3390/biom16030428 - 13 Mar 2026
Viewed by 559
Abstract
Gastric cancer (GC) is a highly prevalent and rapidly progressing cancer with a poor prognosis, primarily due to chemoresistance and treatment-related toxicity. Moracin D (MD), a benzofuran extracted from Morus alba L., has shown potential antitumor effects in various malignancies, although its impact [...] Read more.
Gastric cancer (GC) is a highly prevalent and rapidly progressing cancer with a poor prognosis, primarily due to chemoresistance and treatment-related toxicity. Moracin D (MD), a benzofuran extracted from Morus alba L., has shown potential antitumor effects in various malignancies, although its impact on GC remains limited. The aim of this study was to assess the anticancer potential of MD in human gastric cancer cell lines and subcutaneous xenograft models. We examined cell proliferation, clonogenic ability, cell cycle progression, and apoptosis using MTT, BrdU, colony formation assays, flow cytometry, Western blotting, and immunohistochemistry. Our findings suggest that MD selectively inhibited GC cell proliferation and reduced DNA synthesis in vitro. It also inhibited colony formation and tumor growth in vivo, affecting GC cell clonogenicity without affecting body weight or vital organs, and without overt toxicity under the experimental conditions tested. Mechanistically, MD was found to induce G2/M cell-cycle arrest, potentially through modulation of cyclin B1 and CDK1, and to trigger apoptosis in GC cells, which may involve the mitochondrial pathway as suggested by changes in Bcl-2 and pro-apoptotic protein levels. While Bcl-2 overexpression partially reversed MD-induced inhibition of proliferation and apoptosis, further studies are required to confirm its role as a mediator. Additionally, MD enhances the anticancer effects of 5-fluorouracil (5-FU) through synergistic mechanism. This study highlights the observed antiproliferative and proapoptotic effects of MD in preclinical models and suggests its potential as monotherapy or in combination with 5-FU as a promising therapeutic approach in the treatment of gastric cancer. Full article
(This article belongs to the Special Issue Novel Molecules for Cancer Treatment (3rd Edition))
Show Figures

Figure 1

14 pages, 5238 KB  
Article
Analysis of Catalase-Induced Activation of Intracellular Cell Signaling in Macrophages
by Kaiwen Mu, Ningjian Liang, Maidinai Sabier, Yu-Hsuan Liao and David. D. Kitts
Antioxidants 2026, 15(3), 366; https://doi.org/10.3390/antiox15030366 - 13 Mar 2026
Viewed by 542
Abstract
Hydrogen peroxide (H2O2) is a key extracellular redox signaling molecule that regulates diverse physiological processes, including immune cell activation and proliferation. However, its role in maintaining extracellular redox balance and mediating intercellular signaling remains underexplored. In this study, we [...] Read more.
Hydrogen peroxide (H2O2) is a key extracellular redox signaling molecule that regulates diverse physiological processes, including immune cell activation and proliferation. However, its role in maintaining extracellular redox balance and mediating intercellular signaling remains underexplored. In this study, we investigated how extracellular depletion of H2O2 by catalase modulates intracellular signaling pathways in macrophages. Catalase treatment effectively depleted extracellular H2O2 in a concentration- and time-dependent manner, leading to activation of mitogen-activated protein kinase (MAPK) pathways, including extracellular signal-regulated kinase (ERK), c-Jun N-terminal kinase (JNK), and p38, as well as nuclear translocation of the nuclear factor κB (NF-κB) p65 subunit. Perturbation of extracellular redox status resulted in robust upregulation of inflammatory and oxidative stress–related genes, including cyclooxygenase-2 (COX-2), C-C motif chemokine ligand 5 (CCL5), inducible nitric oxide synthase (iNOS), and nicotinamide adenine dinucleotide phosphate (NADPH) oxidase. This transcriptional response was accompanied by increased nitric oxide (NO) production and enhanced nuclear translocation and DNA-binding activity of nuclear factor erythroid 2–related factor 2 (Nrf2). Mechanistically, our data suggest that NO-mediated S-nitrosylation contributes to activation of the cellular antioxidant response. In addition, catalase-mediated depletion of extracellular H2O2 significantly (p < 0.05) suppressed 5-bromo-2′-deoxyuridine (BrdU) incorporation, indicating inhibition of macrophage proliferation. Together, these findings demonstrate that extracellular H2O2 functions as a physiological redox signal that maintains cellular homeostasis, and that its removal triggers a coordinated intracellular response involving both inflammatory activation and antioxidant defense. This study highlights the critical role of extracellular redox balance in shaping macrophage function and provides mechanistic insight into how changes in the oxidative environment regulate downstream immune signaling pathways. Full article
(This article belongs to the Special Issue Advances in Oxidoreductases)
Show Figures

Graphical abstract

22 pages, 2146 KB  
Article
Combining Temozolomide with a Selective CK2 Inhibitor Results in Anti-Tumour Effects in Glioblastoma Cell Lines
by Anne S. Boewe, Hendrik Rumler, Dagmar Aichele, Thomas Bödeker, Matthias W. Laschke, Emmanuel Ampofo, Joachim Jose and Claudia Götz
Molecules 2026, 31(5), 907; https://doi.org/10.3390/molecules31050907 - 9 Mar 2026
Viewed by 651
Abstract
Glioblastoma is one of the most aggressive tumours with a poor prognosis and a modest survival rate after diagnosis. Several trials for a more targeted and effective treatment are in progress. Protein kinase CK2 is upregulated in glioblastoma and creates a favourable environment [...] Read more.
Glioblastoma is one of the most aggressive tumours with a poor prognosis and a modest survival rate after diagnosis. Several trials for a more targeted and effective treatment are in progress. Protein kinase CK2 is upregulated in glioblastoma and creates a favourable environment for cell proliferation by supporting several survival pathways. Inhibitors of CK2 kinase activity were shown to restrict growth rate or to induce apoptosis in different cell culture and animal models. Recently, we described the selective CK2 inhibitor 6,7-dichloro-1,4-dihydro-8-hydroxy-4(4 methylphenylamino)methylen]dibenzo [b,d]furan 3(2H)-one (TF). In this study, we found that TF effectively reduces the proliferation of A1207 glioblastoma cells with an EC50 value of 13.7 µM, which is equal to the EC50 value of CX-4945, which was the first CK2 inhibitor in clinical phase II trials (13.9 µM). We investigated the effect of TF and temozolomide (TMZ) as a single or combination treatment in two glioblastoma cell lines, A1207 and U87. The treatment was carried out over 48 or 72 h, and, subsequently, the biological effects were evaluated. The proliferation of both cell lines was significantly impaired by the application of the drugs, and combination treatment with TF and TMZ proved superior to the individual treatments. Not only proliferation, as determined by cell confluence assays and BrdU incorporation, but also viability in terms of metabolic activity and cytotoxicity were affected by the treatment. The decrease in proliferation and viability is partly due to the induction of apoptosis, with both cell lines differing in terms of the pattern of apoptotic caspases. Taken together, TF in combination with TMZ may be a promising candidate for the treatment of glioblastoma in the future. Full article
(This article belongs to the Section Medicinal Chemistry)
Show Figures

Figure 1

17 pages, 5967 KB  
Article
Treatment with Sildenafil Promotes Angiogenesis and Modulates Immune Response in Ischemic Muscle Tissue
by Amelie Kuhs, Lisa Bobrowski, Katharina Elbs, Matthias Kübler, Philipp Götz, Christoph Arnholdt, Manuel Lasch and Elisabeth Deindl
Curr. Issues Mol. Biol. 2026, 48(3), 283; https://doi.org/10.3390/cimb48030283 - 6 Mar 2026
Viewed by 612
Abstract
Sildenafil, a selective phosphodiesterase-5 (PDE5) inhibitor, supports vascular remodeling, but its effects on angiogenesis and regeneration of ischemic muscle tissue are not fully understood. We investigated the function of sildenafil by employing a murine hindlimb model of ischemia, in which ischemia and angiogenesis [...] Read more.
Sildenafil, a selective phosphodiesterase-5 (PDE5) inhibitor, supports vascular remodeling, but its effects on angiogenesis and regeneration of ischemic muscle tissue are not fully understood. We investigated the function of sildenafil by employing a murine hindlimb model of ischemia, in which ischemia and angiogenesis is induced by femoral artery ligation (FAL) in the lower leg of mice. Then, 7 days after FAL or sham operation, gastrocnemius muscles of sildenafil-treated and control mice were isolated and processed for histological and immunofluorescence analyses. Sildenafil treatment led to reduced apoptotic areas within the ischemic tissue (ascertained via TUNEL assay) and increased angiogenesis, evidenced by a higher capillary-to-muscle fiber ratio and an augmented number of proliferating capillary cells (CD31+/CD45/BrdU+), compared to controls. We observed a decrease in the total count of leukocytes (CD45+) in sildenafil-treated mice. Regarding macrophage infiltration, we found a reduced total number of macrophages (CD68+), along with a shift in macrophage polarization toward the pro-angiogenic and anti-inflammatory M2-like phenotype (CD68+/MRC1+). In summary, we show that sildenafil treatment contributes to angiogenesis and the regeneration of ischemic muscle tissue, most likely by attenuating inflammatory responses and influencing macrophage polarization in direction to regenerative M2-like polarized macrophages. Full article
Show Figures

Figure 1

16 pages, 2511 KB  
Review
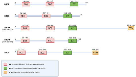
Recent Progress and Prospect in Studying Selective Inhibitors Toward Bromodomain Family Members
by Jianzhong Chen, Yu’e Huang, Jian Wang and Wanchun Yang
Molecules 2026, 31(5), 837; https://doi.org/10.3390/molecules31050837 - 2 Mar 2026
Viewed by 625
Abstract
Bromodomain (BRD)-containing proteins are gaining attention as key targets in epigenetic drug development. BRDs bind to acetylated lysine residues on histones and other proteins, significantly impacting transcriptional regulation and chromatin remodeling. As our grasp of bromodomain structures and biochemistry deepens, the momentum behind [...] Read more.
Bromodomain (BRD)-containing proteins are gaining attention as key targets in epigenetic drug development. BRDs bind to acetylated lysine residues on histones and other proteins, significantly impacting transcriptional regulation and chromatin remodeling. As our grasp of bromodomain structures and biochemistry deepens, the momentum behind developing small-molecule inhibitors for these BRD domains is triggered and potent inhibitors targeting different family members of BRDs are proposed. In addition, computational simulations have also played a significant role in advancing inhibitor design for the BRD family. This review delves into recent breakthroughs in small-molecule BRD receptor inhibitors and computational studies, spotlighting their biological impact and therapeutic potential, and outlining the research road ahead. This review is expected to provide guidance for future drug design of BRD inhibitors. Full article
Show Figures

Graphical abstract

29 pages, 2203 KB  
Review
Targeting BRD4—A Promising Therapeutic Option for Glioblastoma?
by Maria Lindner, Dagmara Lisińska, Anna Kędzierzyńska and Aleksandra Majchrzak-Celińska
Int. J. Mol. Sci. 2026, 27(5), 2268; https://doi.org/10.3390/ijms27052268 - 28 Feb 2026
Viewed by 961
Abstract
Epigenetic dysregulation is increasingly recognized as a key driver of glioblastoma (GBM), with bromodomain-containing protein 4 (BRD4) emerging as a critical regulator of tumor malignancy. GBM is an aggressive brain tumor marked by diffuse infiltration, a population of stem-like cells and multiple resistance [...] Read more.
Epigenetic dysregulation is increasingly recognized as a key driver of glioblastoma (GBM), with bromodomain-containing protein 4 (BRD4) emerging as a critical regulator of tumor malignancy. GBM is an aggressive brain tumor marked by diffuse infiltration, a population of stem-like cells and multiple resistance mechanisms, which together render it largely incurable. Standard treatment, consisting of surgical resection followed by radiotherapy and temozolomide chemotherapy, confers only limited therapeutic benefit, while a member of the bromodomain and extra-terminal (BET) family, BRD4, regulates transcriptional programs essential for oncogene activation, chromatin stability and glioma cell survival. Its expression is markedly elevated in GBM relative to normal brain tissue, implicating BRD4 in tumor initiation, progression and therapeutic resistance. Recent advances have enabled the development of selective BRD4 inhibitors and degraders capable of penetrating the blood–brain barrier and preferentially targeting glioma cells. Preclinical and early-phase clinical studies indicate that these agents suppress tumor growth and may enhance the efficacy of existing treatments. Although BRD4 clearly influences glioma progression and modulates key oncogenic pathways, the precise mechanisms underlying BRD4-driven gliomagenesis remain only partially understood. Ongoing research continues to advance knowledge of its multifaceted functions. This review summarizes current knowledge on BRD4 in GBM, evaluates emerging BRD4-targeted therapeutic strategies and outlines major challenges and future directions for clinical translation. Full article
Show Figures

Graphical abstract

13 pages, 1177 KB  
Article
Molecular Characterization and Phylogenetic Analysis of Subgroup III Bovine Respiratory Syncytial Virus from a Dairy Outbreak in Thailand
by Preeda Lertwatcharasarakul, Sakuna Phatthanakunanan, Jaturong Wongsanit, Porawit Saisanongyod, Ploypassorn Homklinkaew and Suwimon Phandee
Vet. Sci. 2026, 13(3), 220; https://doi.org/10.3390/vetsci13030220 - 26 Feb 2026
Viewed by 521
Abstract
Bovine respiratory syncytial virus (BRSV) is a major viral pathogen associated with bovine respiratory disease (BRD), a leading cause of illness and economic loss in cattle worldwide. In June 2022, an acute respiratory outbreak occurred in a dairy herd in Photharam District, Ratchaburi [...] Read more.
Bovine respiratory syncytial virus (BRSV) is a major viral pathogen associated with bovine respiratory disease (BRD), a leading cause of illness and economic loss in cattle worldwide. In June 2022, an acute respiratory outbreak occurred in a dairy herd in Photharam District, Ratchaburi Province, Thailand, affecting 25 of 103 cows (24.3%) and resulting in three deaths (2.9%). This study aimed to confirm BRSV as the etiological agent of the outbreak and to genetically and phylogenetically characterize Thai BRSV strains using partial G gene sequencing. Clinical signs included fever, nasal discharge, coughing, and subcutaneous emphysema. Nested reverse transcription-polymerase chain reaction (nested RT-PCR), a sensitive method for detecting viral RNA and targeting the F and G genes, confirmed BRSV in all samples. At the same time, bovine parainfluenza virus type 3 (BPIV-3), bovine viral diarrhea virus (BVDV), and bovine herpesvirus 1 (BoHV-1) were not detected. Phylogenetic analysis of partial G gene sequences showed that all Thai isolates clustered closely within subgroup III, with 100% nucleotide identity among themselves and 85.9–97.7% similarity to subgroup III strains from other countries. Amino acid alignment indicated conservation of key antigenic motifs, including the cysteine noose, with only minor substitutions compared to some foreign strains. This study provides the first genetic and phylogenetic characterization of BRSV in Thailand, highlighting the genetic stability of subgroup III and providing baseline molecular data to support regional surveillance, diagnostics, and vaccine strategies. Full article
(This article belongs to the Section Veterinary Microbiology, Parasitology and Immunology)
Show Figures

Figure 1

18 pages, 4829 KB  
Article
Patient-Derived Immortalized Limbal Epithelial Cells as In Vitro Models of Congenital Aniridia
by Tanja Stachon, Shweta Suiwal, Virendra Kumar, Tobias May, Frank Schmitz, Maryam Amini, Fabian N. Fries, Berthold Seitz, Shao-Lun Hsu, Shuailin Li, Shanhe Liu, Swarnali Kundu, Nicole Ludwig and Nóra Szentmáry
Cells 2026, 15(5), 394; https://doi.org/10.3390/cells15050394 - 24 Feb 2026
Viewed by 451
Abstract
Purpose: To establish and comprehensively characterize immortalized limbal epithelial cell lines derived from patients with PAX6 haploinsufficiency-associated congenital aniridia, as well as from a healthy donor. These well-defined cell models provide a reliable and reproducible platform for long-term experimental studies, facilitating mechanistic investigations [...] Read more.
Purpose: To establish and comprehensively characterize immortalized limbal epithelial cell lines derived from patients with PAX6 haploinsufficiency-associated congenital aniridia, as well as from a healthy donor. These well-defined cell models provide a reliable and reproducible platform for long-term experimental studies, facilitating mechanistic investigations and the development and evaluation of novel therapeutic approaches. Methods: Primary limbal epithelial cells were isolated from biopsies of two patients with distinct PAX6 variants and from a healthy donor. Immortalization was performed by InSCREENex GmbH. The resulting cell lines were characterized using microscopy, BrdU assay, qPCR, flow cytometry, immunocytochemistry, and mRNA sequencing. Results: Immortalized aniridia and control cell lines displayed typical polygonal epithelial morphology and comparable proliferation rates. Total PAX6 mRNA and protein levels were similar among groups; however, nuclear PAX6 immunosignals were significantly reduced in aniridia-derived lines. Expression of ABCG2, TP63, FOSL2, ALDH1A1, and FABP5 showed no significant differences, except for reduced ΔNp63α protein levels in one aniridia line. mRNA sequencing detected more than 14,000 transcripts, including subsets uniquely expressed in control and aniridia-derived lines. Conclusions: Immortalized aniridia limbal epithelial cell lines preserve key epithelial characteristics and overall transcriptomic similarity to controls while exhibiting disease-relevant molecular alterations. These cell lines represent models of PAX6-associated ocular surface disease. Full article
Show Figures

Figure 1

20 pages, 2657 KB  
Article
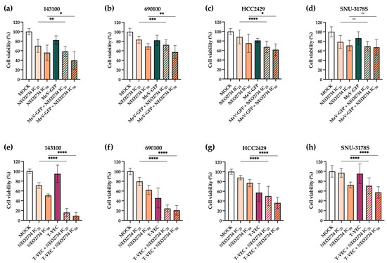
Enhanced Antitumor Activity and Induction of Immunogenic Cell Death in NUT Carcinoma Cells by Combining Oncolytic Viruses with the Dual Inhibitor NEO2734
by Fiona D. Nitschke, Julia Beil, Irina Smirnow, Andrea Schenk, Mary E. Carter, Ulrich M. Lauer and Linus D. Kloker
Viruses 2026, 18(2), 267; https://doi.org/10.3390/v18020267 - 20 Feb 2026
Viewed by 768
Abstract
NUT carcinoma (NC) is a rare exceptionally aggressive malignancy, defined by NUTM1 gene translocations, most commonly generating a BRD4::NUTM1 fusion that results in a poor prognosis and limited therapeutic options. Oncolytic virotherapy has emerged as a promising strategy for NC, and [...] Read more.
NUT carcinoma (NC) is a rare exceptionally aggressive malignancy, defined by NUTM1 gene translocations, most commonly generating a BRD4::NUTM1 fusion that results in a poor prognosis and limited therapeutic options. Oncolytic virotherapy has emerged as a promising strategy for NC, and the dual bromodomain and extra-terminal domain (BET) and p300/CBP inhibitor NEO2734 has demonstrated potent antiproliferative activity. To investigate multimodal therapeutic approaches that combine epigenetic modulation with immunogenic and cytotoxic effects of oncolytic viruses (OVs), we evaluated two recombinant OVs, including the herpes simplex virus talimogene laherparepvec (T-VEC) and a measles vaccine virus (MeV-GFP), in combination with NEO2734 in four distinct NC cell lines. Viability assays revealed enhanced tumor cell reduction with all combinations, including synergistic effects with T-VEC combinations. Cell cycle analysis showed G1 arrest with NEO2734 alone, whereas its combination with T-VEC resulted in S-phase broadening and reduced G2-phase populations, consistent with replicative stress and increased cytotoxicity. Evaluation of immunogenic cell death (ICD) markers displayed elevated ATP and HMGB1 levels and increased surface calreticulin with T-VEC and NEO2734 combinations. Overall, these findings indicate that combining OVs with BET/p300 inhibitors elicits potent antitumor responses, supports synergistic interactions and immunogenicity, and warrants further investigation in multimodal therapeutic strategies for NC. Full article
(This article belongs to the Special Issue Progress and Prospects in Oncolytic Virotherapy 2025–2026)
Show Figures

Graphical abstract

16 pages, 607 KB  
Article
Association of Acute-Phase Proteins and IgG with Bovine Respiratory Disease, Seroconversion to Respiratory Infections and Farm-Level Factors in Rearing Calves
by Rohish Kaura, Elisabeth Dorbek-Sundström, Leena Seppä-Lassila, Vera Talvitie, Jarkko Oksanen, Ulla Rikula, Tuomas Herva, Kerli Mõtus, Timo Soveri, Heli Simojoki and Toomas Orro
Animals 2026, 16(4), 639; https://doi.org/10.3390/ani16040639 - 17 Feb 2026
Viewed by 562
Abstract
This study investigated the associations between acute-phase proteins (APPs) such as serum amyloid A (SAA), haptoglobin (Hp), and albumin (Alb) as well as immunoglobulin G (IgG) with bovine respiratory disease (BRD), seroconversion to respiratory infections and farm-level factors in rearing calves. Datasets were [...] Read more.
This study investigated the associations between acute-phase proteins (APPs) such as serum amyloid A (SAA), haptoglobin (Hp), and albumin (Alb) as well as immunoglobulin G (IgG) with bovine respiratory disease (BRD), seroconversion to respiratory infections and farm-level factors in rearing calves. Datasets were obtained from a randomised trial of 476 calves in Finland that compared morbidity in large- versus small-group housing. Calves were assessed for clinical BRD, and their blood was sampled three times during the first 50 rearing days to measure APPs and IgG concentrations and virus-specific antibodies against Mycoplasma bovis (M. bovis), bovine respiratory syncytial virus (BRSV), bovine parainfluenza virus 3 (BPIV3), and bovine coronavirus (BCV). Linear mixed-effects regression models showed higher serum SAA and Hp concentrations in calves with clinical BRD. BRSV seroconversion was associated with increased serum SAA and lower Alb while M. bovis seroconversion with increased serum Hp. Calves in larger groups had lower serum Hp, SAA and Alb, and pens with higher BRD cases were associated with increased serum SAA and lower Alb. IgG concentration was associated with BRSV seroconversion. These results suggest that early immune monitoring using APPs and IgG could help guide targeted management strategies to improve calf health and welfare. Full article
(This article belongs to the Collection Cattle Diseases)
Show Figures

Figure 1

Back to TopTop