Sign in to use this feature.

Years

Between: -

Subjects

remove_circle_outline
remove_circle_outline
remove_circle_outline
remove_circle_outline
remove_circle_outline
remove_circle_outline
remove_circle_outline
remove_circle_outline
remove_circle_outline

Journals

Article Types

Countries / Regions

remove_circle_outline
remove_circle_outline
remove_circle_outline
remove_circle_outline
remove_circle_outline
remove_circle_outline

Search Results (448)

Search Parameters:
Keywords = Autoregressive Distributed Lag modelling

Order results
Result details
Results per page
Select all
Export citation of selected articles as:
14 pages, 517 KB  
Article
Bilateral Trade and Exchange Rate Volatility: Evidence from a Multiple-Threshold Nonlinear ARDL Model
by Min-Joon Kim
Economies 2026, 14(2), 67; https://doi.org/10.3390/economies14020067 - 22 Feb 2026
Abstract
This study applies a multiple threshold nonlinear autoregressive distributed lag (MTNARDL) model to examine the asymmetric impact of real exchange rate volatility on Vietnam’s exports and imports with its three leading trading partners: China, the United States, and South Korea. By allowing trade [...] Read more.
This study applies a multiple threshold nonlinear autoregressive distributed lag (MTNARDL) model to examine the asymmetric impact of real exchange rate volatility on Vietnam’s exports and imports with its three leading trading partners: China, the United States, and South Korea. By allowing trade responses to vary across different volatility regimes, the MTNARDL framework provides a flexible approach to capturing potential nonlinear adjustment dynamics that cannot be addressed by single-threshold models. Moreover, using bilateral import and export data helps reduce aggregation bias. The results indicate the presence of asymmetric long-run adjustment dynamics in the relationship between real exchange rate volatility and bilateral trade flows, while short-run effects are generally weak and less consistent across trading partners. These findings provide valuable insights into the complex effects of exchange rate volatility, enabling policymakers to more effectively design and manage policies to mitigate its impact. Full article
(This article belongs to the Section Macroeconomics, Monetary Economics, and Financial Markets)
Show Figures

Figure 1

28 pages, 588 KB  
Article
Modelling and Forecasting Concrete Demand for Sustainable Infrastructure Development in Developing Economies: Evidence from Ghana
by Stanley Owuotey Bonney, Jianxue Song, Murendeni Liphadzi and Kofi Owusu Adjei
Buildings 2026, 16(4), 850; https://doi.org/10.3390/buildings16040850 - 20 Feb 2026
Viewed by 82
Abstract
Rapid urbanization and infrastructure expansion in Ghana have intensified demand for concrete, yet reliable, context-specific forecasting tools to support long-term infrastructure planning and resource management remain limited. Existing demand models are largely developed for advanced economies or focused on cement production rather than [...] Read more.
Rapid urbanization and infrastructure expansion in Ghana have intensified demand for concrete, yet reliable, context-specific forecasting tools to support long-term infrastructure planning and resource management remain limited. Existing demand models are largely developed for advanced economies or focused on cement production rather than final concrete consumption, limiting the applicability to rapid urbanizing developing countries. This study addresses this gap by developing an integrated forecasting framework to quantify and project concrete demand in Ghana. Using time-series data spanning 2000–2025, the study employs a modelling approach that combines the Autoregressive Distributed Lag (ARDL) model and Error Correction Model (ECM) to examine both short- and long-run relationships between concrete consumption and key macroeconomic indicators, including GDP, population, GDP growth, concrete prices, housing loan interest rates, lending rates, and exchange rates. Forecast results for 2025–2030 indicated a sustained upward trend in concrete consumption, increasing from 39,278.52 m3 in 2026 to 99,430.53 m3 in 2030, with an average annual growth rate of 26.3% and a mean projected demand of 67,730.83 m3. Model evaluation metrics demonstrated high predictive accuracy, confirming the robustness of the proposed framework. The study contributes to the literature on construction demand forecasting by providing a context-specific, empirically validated model of concrete consumption in a developing economy. The findings offer actionable insights for policymakers, urban planners, and construction managers, underscoring the need to proactively scale local production capacity, strengthen supply-chain logistics, and promote sustainable material sourcing to support infrastructure development. Full article
(This article belongs to the Section Building Materials, and Repair & Renovation)
30 pages, 563 KB  
Article
A Panel Study on the Determinants of Profitability of Bulgarian Commercial Banks
by Petar Ilkov Peshev
J. Risk Financial Manag. 2026, 19(2), 156; https://doi.org/10.3390/jrfm19020156 - 19 Feb 2026
Viewed by 184
Abstract
This study examines the determinants of profitability for 21 Bulgarian commercial banks over the period from the first quarter of 2007 to the first quarter of 2025, using financial statement data. Bank profitability is measured by return on assets (ROA) and return on [...] Read more.
This study examines the determinants of profitability for 21 Bulgarian commercial banks over the period from the first quarter of 2007 to the first quarter of 2025, using financial statement data. Bank profitability is measured by return on assets (ROA) and return on equity (ROE) and modeled within a panel autoregressive distributed lag (PMG-ARDL) framework. The empirical specification combines bank-specific and macroeconomic variables, allowing for the identification of both long-run equilibrium relationships and short-run bank-level dynamics. The long-term results indicate that the net interest margin (NIM), net fee and commission margin (NFM), government bond yields, the growth of the gross domestic product (GDP), and the loan-to-deposit ratio (LDR) positively affect profitability. On the other hand, higher unemployment, rising housing prices, increased loan loss impairments, and the ratio of cash holdings to total assets reduce profitability. The findings provide policy-relevant insights for bank management, regulators, and macroprudential authorities regarding efficiency, income diversification, and credit risk management. The findings facilitate a more comprehensive assessment of banking sector resilience and provide a foundation for the development and refinement of macroprudential and supervisory policy measures. Full article
(This article belongs to the Special Issue Applied Public Finance and Fiscal Analysis)
Show Figures

Figure A1

28 pages, 3097 KB  
Article
Governance Quality and Renewable Energy Transition: Global Evidence Using Panel ARDL
by Oksana Liashenko, Oleksandr Dluhopolskyi, Tomasz Wołowiec and Dariusz Woźniak
Energies 2026, 19(4), 1024; https://doi.org/10.3390/en19041024 - 15 Feb 2026
Viewed by 213
Abstract
This study analyses the long-run relationship between governance quality and renewable energy development using a global panel of 174 countries over the period 2000–2023. The objective is to assess whether institutional quality systematically influences renewable energy deployment across heterogeneous development contexts. The empirical [...] Read more.
This study analyses the long-run relationship between governance quality and renewable energy development using a global panel of 174 countries over the period 2000–2023. The objective is to assess whether institutional quality systematically influences renewable energy deployment across heterogeneous development contexts. The empirical analysis employs a panel autoregressive distributed lag (PMG-ARDL) framework, which accommodates mixed integration orders and allows for heterogeneous short-run dynamics while imposing homogeneity on long-run coefficients. Renewable energy consumption, measured as the share of renewable energy in total final energy consumption, is modelled as a function of governance quality indicators, economic development, and environmental pressure, with trade openness and foreign direct investment included as control variables. Panel unit root tests indicate a mixture of I(0) and I(1) variables, supporting the use of the ARDL framework, while panel cointegration tests provide strong evidence of a stable long-run relationship in the estimated model. The results reveal a statistically significant long-run association between governance quality and renewable energy development, although the magnitude and direction of the effects vary across governance dimensions and development levels. In contrast, short-run effects are generally weak, suggesting that governance primarily shapes renewable energy outcomes through gradual, structural channels. These findings highlight the importance of institutional quality for long-term energy transition processes and provide empirically grounded insights for the design of energy and governance policies. The analysis reveals significant heterogeneity across development contexts: governance improvements yield positive effects on renewable energy adoption in low-income countries (β = +3.77), where institutional deficits constitute binding constraints, whilst the effect becomes negative in high-income economies (β = −11.87), reflecting diminishing returns and infrastructure lock-in. These findings suggest that developing countries should prioritise governance reforms—particularly Regulatory Quality and Political Stability—to accelerate energy transitions, whereas advanced economies should shift policy attention toward grid modernisation and market design. International organisations should adopt differentiated climate finance strategies matching institutional support to the development stage. Full article
Show Figures

Figure 1

23 pages, 755 KB  
Article
The Role of Digitalization in Facilitating Renewable Energy Transition and Reducing Greenhouse Gas Emissions in Thailand
by Singha Chaveesuk and Wornchanok Chaiyasoonthorn
Sustainability 2026, 18(4), 1985; https://doi.org/10.3390/su18041985 - 14 Feb 2026
Viewed by 145
Abstract
The study investigates the dual transitions of digitalization and renewable energy in Thailand to see if digital expansion facilitates the transition to renewable energy sources and greenhouse gas (GHG) mitigation. The study utilized data from the World Bank between 2000 and 2023 to [...] Read more.
The study investigates the dual transitions of digitalization and renewable energy in Thailand to see if digital expansion facilitates the transition to renewable energy sources and greenhouse gas (GHG) mitigation. The study utilized data from the World Bank between 2000 and 2023 to reconstruct models for autoregressive distributed lag (ARDL) analysis for short-run and long-run dynamics under ecological modernization and technology diffusion theories. Contrary to expected synergies, empirical results revealed that a developing economy would find an ‘investment trade-off’ instead. Digitalization showed no significant immediate impact on renewable energy production; however, it exerted a significant negative lagged effect (coefficient = −0.593), suggesting that digital and energy infrastructures compete for limited financial resources. It was found that there is a 6.3% increase in greenhouse gas emissions for every 1% increase in internet usage. Thus, these results challenge the belief that increased internet usage will help improve the environment. Absent proper supportive policies about both digitalization and green transitions, such as investing in plants and machinery towards digitalization rather than green technology, the pacing effects of digitalization will affect the goals of converting to clean energy. This requires a policy coordination approach to ensure that funds earmarked for green infrastructure are safeguarded. Full article
Show Figures

Figure 1

25 pages, 1323 KB  
Article
Impact of Financial Development, Green Technology, and R&D on Ecological Footprint in G7: Do Energy Efficiency and Inefficiency Matter Within the EKC Framework?
by Gheorghe H. Popescu, Juraj Cug, Eva Kicova, Ioana Alexandra Pârvu, Cristian Florin Ciurlău and Mohammad Ikbal Hossain
Energies 2026, 19(4), 973; https://doi.org/10.3390/en19040973 - 12 Feb 2026
Viewed by 348
Abstract
This research examines how financial development, energy efficiency and energy inefficiency, green technology, and research and development (R&D) affect environmental conditions and ecological footprint in the Group of Seven (G7) countries. The study combines two theoretical models, including the Environmental Kuznets Curve (EKC) [...] Read more.
This research examines how financial development, energy efficiency and energy inefficiency, green technology, and research and development (R&D) affect environmental conditions and ecological footprint in the Group of Seven (G7) countries. The study combines two theoretical models, including the Environmental Kuznets Curve (EKC) and the Stochastic Impacts by Regression on Population, Affluence, and Technology (STIRPAT), within a unified framework. This study addresses a key gap in the literature by examining whether financial development follows a distinct nonlinear environmental pathway beyond the traditional income-based EKC framework. Using annual data from 1994 to 2023, the analysis applies the Cross-Sectional Autoregressive Distributed Lag (CS-ARDL) approach to account for cross-sectional dependence and long-run heterogeneity among G7 economies. The findings indicate that the G7 does not support the traditional EKC hypothesis, although a U-shaped relationship between environmental degradation and financial development exists. Energy-related factors play a central role in shaping environmental outcomes, with energy efficiency and green technology significantly alleviating environmental pressure, and green technology proving to be the most influential among them. While energy inefficiency is associated with greater environmental stress, its effect remains statistically insignificant, suggesting that efficiency improvements are more decisive than reductions in inefficiency. Beyond energy dynamics, financial development and R&D investment also contribute significantly to environmental improvement, highlighting the complementary role of technological progress and financial systems in promoting environmental sustainability. The robustness results confirm the main findings. Overall, the study underscores the critical role of technological innovation and energy efficiency in promoting sustainability and challenges the applicability of the traditional EKC framework in advanced economies. The findings contribute to a deeper understanding of the multifaceted relationships between financial development, energy efficiency and inefficiency, green technology, and R&D, and their implications for sustainable development. Full article
(This article belongs to the Section A: Sustainable Energy)
Show Figures

Figure 1

25 pages, 2203 KB  
Article
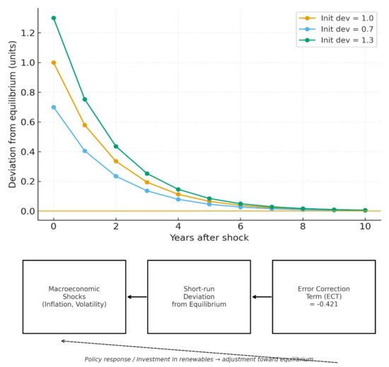
Macroeconomic Determinants of Renewable Energy Deployment: The Role of Inflation, Fiscal Policy, and Economic Volatility in MENA Countries (2000–2023)
by Rifaat Fathi Metwally Yousef
Economies 2026, 14(2), 50; https://doi.org/10.3390/economies14020050 - 7 Feb 2026
Viewed by 271
Abstract
The worldwide move toward renewable energy indicates a fundamental change that is particularly important in the MENA region, which has abundant renewable resources and has depended on hydrocarbon economies. This study presents an empirical examination of key macroeconomic determinants—inflation, fiscal policy, and economic [...] Read more.
The worldwide move toward renewable energy indicates a fundamental change that is particularly important in the MENA region, which has abundant renewable resources and has depended on hydrocarbon economies. This study presents an empirical examination of key macroeconomic determinants—inflation, fiscal policy, and economic volatility—on renewable energy security in MENA countries from 2000 to 2023. Applying a Panel Autoregressive Distributed Lag (ARDL) model of 16 countries, we assess the short-run dynamic and long-run equilibrium relationships, where renewable energy security is measured using the share of renewable electricity in total generation. These results support the existence of a significant long-run cointegrating relationship. We find fiscal policy to have a positive effect on renewable energy security, while inflation and economic volatility have significant negative short- and long-term effects. The error-correction term of −0.421 signaled a relatively fast return to long-run equilibrium. We conclude that sound management of these macroeconomic variables—especially price stability and counter-cyclical fiscal policies—is an essential precondition for achieving renewable energy security in the MENA region. Our policy implications highlight the need to support stable investment inquiries led by coordinated monetary, fiscal, and energy policies aimed at creating the conditions for renewable energy security. Full article
(This article belongs to the Section Macroeconomics, Monetary Economics, and Financial Markets)
Show Figures

Figure 1

13 pages, 238 KB  
Article
Determinants of CO2 Emissions from Energy Consumption by Sector in the USA
by Shan-Heng Fu
Gases 2026, 6(1), 7; https://doi.org/10.3390/gases6010007 - 2 Feb 2026
Viewed by 435
Abstract
This study examines the determinants of U.S. CO2 emissions and provides evidence to inform more effective carbon-reduction policies. Using Autoregressive Distributed Lag (ARDL) and Nonlinear ARDL (NARDL) models, the analysis covers January 1997 to February 2022 across four end-use sectors: Residential, Commercial, [...] Read more.
This study examines the determinants of U.S. CO2 emissions and provides evidence to inform more effective carbon-reduction policies. Using Autoregressive Distributed Lag (ARDL) and Nonlinear ARDL (NARDL) models, the analysis covers January 1997 to February 2022 across four end-use sectors: Residential, Commercial, Industrial, and Transportation. The models capture both long-run equilibria and short-run adjustments between emissions and key drivers, including industrial production, interest rates, climate policy uncertainty (CPU), and energy prices. Results indicate a long-run asymmetric relationship in which economic growth and interest rates differentially affect total emissions, while CPU exerts a significant negative influence only in the transportation sector. Methodologically, the combined ARDL–NARDL approach offers robust evidence of nonlinear and asymmetric effects of macroeconomic and policy variables on emissions. These findings underscore the need to integrate economic and financial conditions into climate policy design and suggest that sector-specific measures—particularly targeting transportation—may substantially improve the effectiveness of carbon-mitigation strategies. Full article
(This article belongs to the Section Gas Emissions)
Show Figures

Graphical abstract

23 pages, 546 KB  
Article
Economic Growth and CO2 Emissions in Croatia: An ARDL-Based Assessment of the EKC Hypothesis
by Mirjana Jeleč Raguž
Sustainability 2026, 18(3), 1427; https://doi.org/10.3390/su18031427 - 31 Jan 2026
Viewed by 203
Abstract
This paper examines the long-run relationship between economic growth and CO2 emissions in Croatia over the period 1990–2023 using the ARDL bounds testing approach. The analysis aims to assess the presence of an Environmental Kuznets Curve (EKC) and to shed light on [...] Read more.
This paper examines the long-run relationship between economic growth and CO2 emissions in Croatia over the period 1990–2023 using the ARDL bounds testing approach. The analysis aims to assess the presence of an Environmental Kuznets Curve (EKC) and to shed light on Croatia’s position along the growth–emissions trajectory, an issue that has remained inconclusive in earlier studies. The results provide evidence of an inverted U-shaped relationship between the GDP per capita and CO2 emissions, consistent with the EKC hypothesis. The estimates of marginal effects suggest that the impact of income on emissions weakens and may eventually turn negative at higher income levels, although the precise income level at which this transition occurs is sensitive to model specification and sample composition. Energy consumption emerges as the strongest long-run driver of emissions, while a higher share of renewable energy contributes significantly to their reduction. Institutional quality is found to be positively associated with emissions in the long run, reflecting growth-enhancing effects during the post-transition period rather than immediate environmental improvements. The contribution of this study lies in the use of a longer time span and a dynamic empirical framework that allows for a more nuanced assessment of the growth–emissions relationship in Croatia. Overall, the findings point to a gradual decoupling of economic growth from carbon emissions while highlighting that the sustainability of this trajectory depends critically on continued progress in the energy transition and on the alignment of institutional development with climate and energy objectives. Full article
(This article belongs to the Section Economic and Business Aspects of Sustainability)
Show Figures

Figure 1

44 pages, 2158 KB  
Article
Central Bank Independence, Transparency, and Interaction with Fiscal Policy: The Case of a Small Open Economy
by Emna Trabelsi
Economies 2026, 14(2), 39; https://doi.org/10.3390/economies14020039 - 27 Jan 2026
Viewed by 243
Abstract
This study examines the determinants of inflation volatility in Tunisia, focusing on central bank independence (CBI), economic transparency, and macroeconomic fundamentals. Although CBI is widely regarded as essential for monetary credibility, its effectiveness depends on its institutional framework. Our contribution is twofold. First, [...] Read more.
This study examines the determinants of inflation volatility in Tunisia, focusing on central bank independence (CBI), economic transparency, and macroeconomic fundamentals. Although CBI is widely regarded as essential for monetary credibility, its effectiveness depends on its institutional framework. Our contribution is twofold. First, we develop a theoretical framework based on game theory to illustrate how the effectiveness of economic transparency and CBI shapes the welfare of both the central bank and the private sector in the presence (or not) of fiscal policy. Second, we use a binary threshold nonlinear autoregressive distributed lag (NARDL) model to capture long-run relationships and a Markov-switching GARCH (MS-GARCH) framework to model volatility dynamics. As a continuous measure, CBI has no significant impact on volatility. Paradoxically, high de jure independence in a binary regime is associated with a slight increase in inflation fluctuations. This indicates that legal independence alone is insufficient without fiscal discipline or effective coordination between the monetary and fiscal authorities. Notably, under fiscal pressure, greater CBI substantially reduces inflation volatility, highlighting the need for a coherent macroeconomic framework. Economic transparency generally increases short-term volatility but stabilizes inflation when supported by credible fiscal signals. Among the macroeconomic fundamentals, volatility in broad money is strongly destabilizing, whereas fluctuations in industrial production and the real exchange rate are largely insignificant. Government spending and exposure to external shocks, including import prices and geopolitical risks, further amplify this volatility. The observed negative trend over time reflects gradual improvements owing to policy reforms. Policy recommendations emphasize the establishment of genuinely independent and credible monetary institutions, enhancing coordination with fiscal policy, improving communication strategies, and strengthening risk management. Full article
Show Figures

Figure 1

21 pages, 351 KB  
Article
Do Financial Innovation and Financial Deepening Promote Economic Growth in Sub-Saharan Africa?
by Mohamed Sharif Bashir and Ahlam Abdelhadi Hassan Elamin
Economies 2026, 14(2), 38; https://doi.org/10.3390/economies14020038 - 26 Jan 2026
Viewed by 340
Abstract
In this paper, we analyze the impacts of financial innovation and financial deepening on the economic growth of 14 sub-Saharan African (SSA) countries from 1995 to 2023. The autoregressive distributed lag (ARDL) approach and error correction model (ECM) were used to assess short- [...] Read more.
In this paper, we analyze the impacts of financial innovation and financial deepening on the economic growth of 14 sub-Saharan African (SSA) countries from 1995 to 2023. The autoregressive distributed lag (ARDL) approach and error correction model (ECM) were used to assess short- and long-run effects. The findings indicate that mobile cellular subscriptions and government spending are the main contributors to national economic growth and that money supply has a positive impact. However, the strong negative effect of capital formation on economic growth is contrary to expectations. Conversely, the findings confirm that gross capital formation has a strong positive effect on gross domestic product (GDP) growth in the long run. Bounds testing reveals varying degrees of cointegration across countries. Long-run relationships were confirmed in Senegal, Côte d’Ivoire, Ethiopia, and Zimbabwe, all of which showed evidence of strong cointegration. These findings support policy recommendations aimed at promoting sustainable economic growth in SSA economies through targeted policies that increase domestic credit in the private sector and attract foreign direct investment (FDI). Full article
20 pages, 625 KB  
Article
Examining the Impact of Fertilizer Use, Economic Expansion, Methane Emissions, and Population Growth on Food Security in Nigeria
by Toluwalope Seyi Akinwande, Huseyin Ozdeser, Mehdi Seraj and Oluwatoyin Abidemi Somoye
Sustainability 2026, 18(3), 1210; https://doi.org/10.3390/su18031210 - 25 Jan 2026
Viewed by 321
Abstract
Food security remains a critical challenge in Nigeria. As a result, this research examines the impact of fertilizer use, economic expansion, population growth, and methane emissions on food security in Nigeria from 1970 to 2022. The methodologies used include the Autoregressive Distributed Lag [...] Read more.
Food security remains a critical challenge in Nigeria. As a result, this research examines the impact of fertilizer use, economic expansion, population growth, and methane emissions on food security in Nigeria from 1970 to 2022. The methodologies used include the Autoregressive Distributed Lag (ARDL) model, Wald Test, and the Spectral Granger Causality test. The ARDL results demonstrate that in the long run, fertilizer use spurs food security, although not significantly, while population growth reduces food security insignificantly. On the other hand, economic expansion and agricultural methane emissions are positively associated with food security, likely reflecting scale effects of agricultural production rather than a direct beneficial role of emissions. In the short run, fertilizer use and methane emissions drive food security. The Wald Test also confirms the short-run findings. Furthermore, the Spectral Granger Causality test showed that fertilizer use and economic expansion Granger-cause food security in the long, medium, and short term. Population growth, however, Granger-causes food security only in the long term, while methane emissions Granger-cause food security in the medium and long term. Based on these results, policies are recommended, and their further implications are discussed. Full article
(This article belongs to the Special Issue Sustainable Agricultural Production and Crop Plants Protection)
Show Figures

Figure 1

15 pages, 622 KB  
Article
Unveiling the Connection Between Outward Foreign Direct Investment and Environmental Quality in Turkey: A Frequency Domain Causality Analysis
by Abubaker Sadeg Abozriba and Wagdi M. S. Khalifa
Sustainability 2026, 18(3), 1189; https://doi.org/10.3390/su18031189 - 24 Jan 2026
Viewed by 235
Abstract
Debates relating to the sustainability of the environment have emerged as a major goal of the global agenda in recent years. As a result, this research examines the impact of outward foreign direct investment (OFDI) on carbon dioxide emissions (CO2) in [...] Read more.
Debates relating to the sustainability of the environment have emerged as a major goal of the global agenda in recent years. As a result, this research examines the impact of outward foreign direct investment (OFDI) on carbon dioxide emissions (CO2) in Turkey from 1985 to 2022, using the autoregressive distributed lag model (ARDL) and frequency domain causality analysis (FDCA). In addition, economic growth (GDP) and trade in services (TROP) were used as control variables because they capture two big ways the economy interacts with environment. The empirical results are as follows: (i) The bounds test confirms a long-run association among the variables. (ii) The ARDL result confirms that in the long and short run, OFDI and GDP increase CO2 in Turkey, while TROP contributes to the quality of the environment. (iii) The FDCA demonstrates that OFDI Granger causes CO2 in the short and medium term, while TROP Granger causes CO2 in the short, medium, and long-term. Based on these results, policies are recommended for implementation. Full article
Show Figures

Figure 1

20 pages, 529 KB  
Article
Fintech Firms’ Valuations: A Cross-Market Analysis in Asia
by Neha Parashar, Rahul Sharma, Pranav Saraswat, Apoorva Joshi and Sumit Banerjee
J. Risk Financial Manag. 2026, 19(1), 74; https://doi.org/10.3390/jrfm19010074 - 17 Jan 2026
Viewed by 462
Abstract
This study investigates the valuation dynamics of 30 publicly listed fintech firms across six Asian economies from January 2021 to December 2025. It examines how intrinsic firm-level scale (market capitalization) and extrinsic macroeconomic conditions (GDP growth) jointly influence fintech valuation ratios, as reflected [...] Read more.
This study investigates the valuation dynamics of 30 publicly listed fintech firms across six Asian economies from January 2021 to December 2025. It examines how intrinsic firm-level scale (market capitalization) and extrinsic macroeconomic conditions (GDP growth) jointly influence fintech valuation ratios, as reflected in price-to-earnings (P/E), price-to-book (P/B), and price-to-sales (P/S) measures. It also identifies significant structural heterogeneity and distributional asymmetries in valuation outcomes by implementing a multi-method empirical strategy that includes a Panel Autoregressive Distributed Lag (ARDL) framework, two-way fixed-effects models with interaction terms, and quantile regression. The findings reveal a robust, positive long-run relationship between market capitalization and valuation multiples across all ratios, confirming that firm-level scale as reflected in market capitalization is the primary driver of market value. Critically, the analysis identifies a dual-regime landscape in the Asian fintech sector: developed markets (South Korea, Japan, and Singapore) are fundamentally firm-scale driven, where intrinsic scale is the superior predictor of valuation. In contrast, developing markets (China, India, and Indonesia) are primarily macro-growth driven, exhibiting high sensitivity to GDP growth as a macroeconomic indicator of market expansion. The quantile regression results demonstrate a winner-takes-all effect, where the impact of scale on valuation is significantly more pronounced for highly valued firms in the 75th percentile. These results challenge the efficacy of universal valuation models and provide a context-dependent navigational framework for investors, analysts, and policymakers to distinguish between structural scale and cyclical growth in the rapidly evolving Asian fintech ecosystem. Full article
(This article belongs to the Special Issue The Role of Digitization in Corporate Finance)
Show Figures

Figure 1

21 pages, 1601 KB  
Article
Macroeconomic Drivers of Poultry Price Volatility in Nigeria: A Study of Inflation and Exchange Rate Dynamics
by Prosper E. Edoja, Rosemary N. Okoh, Emmanuella O. Udueni and Goodness C. Aye
Commodities 2026, 5(1), 3; https://doi.org/10.3390/commodities5010003 - 15 Jan 2026
Viewed by 343
Abstract
Poultry price instability remains a critical challenge for food security in Nigeria. This study examines the relationship between poultry price volatility (PPV), exchange rate (LEXR), and inflation (LCPI) from 1991 to 2024 using the Autoregressive Distributed Lag (ARDL) model. Descriptive results show that [...] Read more.
Poultry price instability remains a critical challenge for food security in Nigeria. This study examines the relationship between poultry price volatility (PPV), exchange rate (LEXR), and inflation (LCPI) from 1991 to 2024 using the Autoregressive Distributed Lag (ARDL) model. Descriptive results show that PPV had the highest variability (mean 0.65; standard deviation 1.07), while LEXR and LCPI were relatively more stable. Trend analysis indicates that poultry price volatility was high in the early 1990s but declined steadily after 2005, coinciding with persistent inflation and cycles of exchange rate depreciation and appreciation.Unit root and bounds tests confirm that the variables werecointegrated, with an F-statistic of 4.50 exceeding the upper bound at 5 percent significance. The long-run estimates reveal that inflation hada negative effect on poultry price volatility (−0.109), while the exchange rate exerteda positive effect (0.2702). The errorcorrection term (−0.336) indicates a 33.6 percent adjustment to equilibrium each period. In the short run, changes in inflation (0.942) and lagged exchange rate variations significantly influenced poultry price volatility. These findings underscore the importance of stabilizing exchange rates and controlling inflation to reduce price volatility in Nigeria’s poultry sector. Full article
Show Figures

Figure 1

Back to TopTop