Next Article in Journal
Determinants of Preferences for Employment Patriarchy in Turkey
Previous Article in Journal
Monetary Fundamentals and Exchange Rate Forecasting in Hyperinflation
 
 
Font Type:
Arial Georgia Verdana
Font Size:
Aa Aa Aa
Line Spacing:
Column Width:
Background:
Article

Macroeconomic Determinants of Renewable Energy Deployment: The Role of Inflation, Fiscal Policy, and Economic Volatility in MENA Countries (2000–2023)

by
Rifaat Fathi Metwally Yousef
Business Administration Department, Applied College, Harimlaa Branch, Imam Mohammad Ibn Saud Islamic University, Riyadh 11623, Saudi Arabia
Economies 2026, 14(2), 50; https://doi.org/10.3390/economies14020050
Submission received: 29 November 2025 / Revised: 27 December 2025 / Accepted: 8 January 2026 / Published: 7 February 2026
(This article belongs to the Section Macroeconomics, Monetary Economics, and Financial Markets)

Abstract

The worldwide move toward renewable energy indicates a fundamental change that is particularly important in the MENA region, which has abundant renewable resources and has depended on hydrocarbon economies. This study presents an empirical examination of key macroeconomic determinants—inflation, fiscal policy, and economic volatility—on renewable energy security in MENA countries from 2000 to 2023. Applying a Panel Autoregressive Distributed Lag (ARDL) model of 16 countries, we assess the short-run dynamic and long-run equilibrium relationships, where renewable energy security is measured using the share of renewable electricity in total generation. These results support the existence of a significant long-run cointegrating relationship. We find fiscal policy to have a positive effect on renewable energy security, while inflation and economic volatility have significant negative short- and long-term effects. The error-correction term of −0.421 signaled a relatively fast return to long-run equilibrium. We conclude that sound management of these macroeconomic variables—especially price stability and counter-cyclical fiscal policies—is an essential precondition for achieving renewable energy security in the MENA region. Our policy implications highlight the need to support stable investment inquiries led by coordinated monetary, fiscal, and energy policies aimed at creating the conditions for renewable energy security.

1. Introduction

The global energy system is in a time of major change accelerated by climate change, energy independence, and sustainable development goals (Shiljkut, 2024). The transition away from fossil fuels and toward renewable energy involves more than an environmental decision; it is a change in national and global economies (Grubb et al., 2021). The Middle East and North Africa (MENA) region makes a useful case study since it has been the epicenter of global hydrocarbon reserves and revenues, but it also has the world’s greatest potential for renewable energy generation based on solar and wind resources (Hamed & Özataç, 2024). This duality creates a competing tension that comes with the challenge of needing to use the fossil-fuel economy both in support of, and against, implementing alternative energy systems. Ultimately, as argued by Zhang et al. (2022), dependency on fossil fuels brings volatility in hydrocarbon-exporting countries, leaving them vulnerable to oil price changes. Since renewables can hedge against that vulnerability, diversification is an economic and energy security issue.
This transition requires an entirely new definition of energy security. In this paper, we present renewable energy security as a description of the complexity of energy security beyond just having a resource. In this study, we focus on one critical dimension of renewable energy security: the deployment and grid integration of renewable sources, measured by the share of renewable electricity in total generation. While we use the term ‘security’ to connect with the broader literature, our analysis specifically addresses the supply-side penetration of renewables, a necessary precondition for achieving broader security goals such as affordability and reliability. This includes accessibility (the ability to harness and deliver the resource using appropriate technologies and infrastructure), affordability (cost-competitiveness both for producers and for consumers), and stability and reliability (the ability to provide consistent energy supply despite the variability of solar, wind and other resources) (Dokas et al., 2023). This prevailing perspective is vital, as the ultimate penetration of renewables will be determined by the basic laws of demand and supply. Macroeconomic conditions will shift the supply curve by changing the cost of capital, investment in the infrastructure, and technological progress, and then will indirectly shift the demand curve through their impacts on industrial output, households’ purchasing power, and government policy (Dokas et al., 2023; Azhgaliyeva et al., 2023).
While there has been an increase in scholarly interest in the adoption of renewable energy, a notable gap exists within the literature. For example, scholars have published work on total consumption or installed capacity, but they do not always consider the inherent “security” aspects with regard to access, affordability, and stability (Wang et al., 2023). While there is a wide array of research on issues of economic growth, technological development, and renewable energy transition, empirical work examining renewable energy security when considering domestic macroeconomic instability (i.e., inflation, fiscal policy framework, and economic volatility) is minimal (Sahu & Mahalik, 2024). This gap is especially seen in the MENA instruments, where the macroeconomic landscape is influenced by global commodity cycles. The recognition of how renewable energy security is sensitive to internal macroeconomic shocks is critical for policy. Abdelsalam (2023) has initiated work on the relationship between oil prices and renewables in the MENA region, but a more nuanced examination that includes a broader range of macroeconomic determinants is currently absent.
Therefore, this study aims to fill this gap by quantitatively investigating the short-run and long-run effects of key macroeconomic determinants—inflation, fiscal policy, and economic volatility—on renewable energy security in MENA countries from 2000 to 2023. The study is guided by the following research questions:
Does a stable long-run relationship exist between these macroeconomic determinants and renewable energy security in the MENA region?
What is the short-run dynamic adjustment of renewable energy security to shocks in inflation, fiscal policy, and economic volatility?
How do these determinants, through the lens of demand and supply, ultimately impact the security of the renewable energy sector?
The significance and originality of this research can be summarized as threefold. First, it integrates the autoregressive distributed lag (ARDL) modelling approach, which is particularly suitable for this research, as it allows the simultaneous estimation of both the short-run dynamics and long-run equilibrium relationships, even with the mixture of integrated variables (Pesaran, 2021). Second, the study examines a longer, more recent time frame (2000–2023) that spans multiple global economic cycles, including the 2008 financial crisis, COVID-19 pandemic period, and a recent period of high global inflation, thus providing a solid, up-to-date data set for analysis. Third, and most importantly, it expands the analysis from merely adoption to analyzing the quality or comprehensiveness of “energy security,” enhancing the analysis of the viability and sustainability of the renewable energy transition.
The remainder of the paper is organized as follows. Following this introduction, we have a comprehensive literature review to place our study in existing scholarship. The next section describes the methodology, which includes specification of the model measurement of the variables, and description. The next section reports the results; final results are discussed in relation to their primary research question and demand-supply general framework. Finally, a conclusion summarizes the important points from the discussion, related policy implications for the broader field, and future research directions.

2. Literature Review

The pursuit of renewable energy security must be fundamentally understood through the lens of classical economic theory, specifically the framework of demand and supply, which governs the equilibrium level of renewable energy deployment in an economy. On the supply side, the capacity to generate and deliver renewable energy is contingent upon a confluence of factors. Technological innovation, as explored by Grubb et al. (2021), is a critical driver, reducing the levelized cost of energy for solar and wind power, thereby shifting the supply curve outward. This technological advancement must be supported by robust infrastructure, particularly grid capacity and modernization, which enables the integration of intermittent renewable sources into the national energy mix, a challenge detailed by Shiljkut (2024). In addition, the inherent endowment of natural resources such as solar irradiance and wind potential creates the physical ceiling for supply. However, arguably the most straightforward policy lever is government fiscal policy. Subsidies, tax incentives, and direct public investment in renewable projects lower the development cost and risk of renewable energy projects to developers and enhance supply. Indeed, as Azhgaliyeva et al. (2023) noted, public finance is often essential to catalyze initial private investment and overcome early market challenges.
On the other hand, demand-side factors are also very important. Consumers and industries will eventually only consume renewable energy if they prefer its price-to-conventional fuels, their income levels support tradeoffs, and if there are industries willing to pay for the energy. Importantly, the macroeconomic conditions in place drive all these demand-side considerations. Macroeconomic stability (or instability) drives investment and consumption choices. High inflation would decrease the real value of future returns, making long-term investments in renewable assets less appealing. Economic instability creates uncertainty where consumers and firms would stall any capital-intensive decisions, such as switching to renewable energy systems. The connection between macroeconomic conditions and energy decisions is discussed throughout the work of Dokas et al. (2023), who contend that energy price shocks lead to separate demand and supply side impacts on renewable energy consumption.
Empirical research at the global level has established several broad macroeconomic correlations with renewable energy development. A positive relationship between GDP per capita and renewable energy consumption has been frequently documented, suggesting that economic growth provides the necessary capital and incentivizes cleaner energy sources, a finding robustly confirmed by Wang et al. (2023) in a multi-country study. Beyond income, financial variables such as real interest rates are significant, as higher costs of capital can stifle investment in renewable projects, which are characteristically capital-intensive upfront (Aliedan et al., 2023). International trade has also been identified as a channel for technology transfer and cost reduction, facilitating the global diffusion of renewables (Ilechukwu & Lahiri, 2022).
Delving deeper into the specific determinants central to this study, the role of inflation has garnered increasing attention. Empirical evidence suggests that persistent inflation introduces significant uncertainty into the economic landscape. For instance, a cross-national analysis by Chen (2025) found that high and volatile inflation rates negatively correlate with renewable energy investment, as they distort price signals and increase the risk premium required by investors. This is because the long payback periods typical of renewable energy projects are highly sensitive to the discount rate, which inflation directly influences. The corrosive effect of inflation on the real value of fixed returns from renewable power purchase agreements further discourages private sector participation.
The effectiveness of fiscal policy in catalyzing renewable energy transitions is well-documented, though its implementation varies widely. Research by Song et al. (2022) systematically reviewed fiscal instruments across OECD and non-OECD countries, concluding that investment tax credits and accelerated depreciation schemes are among the most effective tools for stimulating supply. Direct government investment in grid infrastructure and research & development is also crucial, as it addresses market failures that the private sector alone cannot overcome. A study by Meckling and Nahm (2022) on green industrial policy highlights how strategic state investment can create entirely new industries, underscoring the supply-side role of the state. However, the efficacy of these policies is often context-dependent, influenced by the quality of institutions and the design of the policy itself.
Furthermore, the detrimental impact of economic volatility on long-term investment planning is a recurring theme in the energy economics literature. Volatility, often proxied by the standard deviation of GDP growth or real exchange rates, signals a risky economic environment. As theorized by Kepp and Männasoo (2021) in the context of investment under uncertainty, firms will delay irreversible investments when faced with high volatility. This logic applies acutely to the renewable energy sector. Evidence from emerging economies by Sahu and Mahalik (2024) demonstrates that macroeconomic instability, measured by GDP volatility, is a significant deterrent to foreign direct investment in renewable energy projects, as investors seek predictable regulatory and economic frameworks.
When the focus narrows to the MENA region, the scholarly discourse has been predominantly shaped by the region’s hydrocarbon wealth. A substantial portion of the literature investigates the relationship between oil prices and renewable energy deployment, often yielding complex results. For example, Abdelsalam (2023) found that, for oil-exporting countries in the MENA, high oil prices can reduce the incentive to diversify into renewables, a manifestation of the “resource curse,” while, for oil-importers, high prices act as a motivator. Other studies, such as that by Hamed and Özataç (2024), have examined the impact of financial development and CO2 emissions on renewable energy consumption in the Gulf Cooperation Council (GCC) countries. However, these and other regional studies often employ aggregate measures of renewable energy consumption or capacity, failing to capture the multidimensional nature of energy security. Moreover, while variables like oil prices and financial development are frequently included, there is a conspicuous lack of focused empirical inquiry into the distinct roles of domestic inflation, discretionary fiscal policy, and economic volatility. The study by Audi (2024) touches on exchange rate volatility but does not integrate it with a comprehensive analysis of fiscal policy and inflation within a unified framework. This leaves a critical gap in understanding how internal macroeconomic shocks, as opposed to external commodity price shocks, affect the resilience and security of the MENA region’s burgeoning renewable energy sector.
As a result, there is a discernible and specific gap in the existing literature, corroborated and substantiated by the aforementioned studies. The global determinants of renewable energy are becoming increasingly clear, and while some research on MENA has examined the effects of finance and oil, no studies have investigated how domestic inflation, fiscal policy, and economic volatility relate and simultaneously drive renewable energy security from the lens of a demand-supply model. This paper makes a contribution to the literature on this gap. It also utilizes an ARDL modelling framework to estimate, at the same time, the short- and long-run impacts of the three macroeconomic determinants on a comprehensive measure of renewable energy security. The paper hopes to offer novel discussions to assist policymakers in their attempts to navigate the energy transition in MENA.

3. Methodology

This portion outlines the multi-faceted empirical approach used to analyze the dynamic linkages between macroeconomic determinants and renewable energy security in MENA countries. Our approach is very thorough in a multi-stage way that integrates sophisticated econometric techniques along with extensive diagnostic tests for ensuring the validity and reliability of our results.

3.1. Model Specification: The Panel ARDL Framework

The foundation of our empirical analysis is based on the Autoregressive Distributed Lag (ARDL) model. In particular, we utilize the Pooled Mean Group (PMG) estimator (Elhini, 2021)—a method that is well suited to our analysis as it allows for the short-run dynamics and long-run equilibrium relationships to be estimated at the same time whilst allowing panels with heterogeneous dynamics.
The general form of our A R D L p ,   q 1 ,   q 2 ,   ,   q k model is specified as follows:
Δ R E S i t = α i + j = 1 p β i j Δ R E S i , t j + k = 1 K l = 0 q k γ i k l Δ X k , i , t l + φ i ( R E S i , t 1 θ i X i , t 1 ) + ε i t
where:
R E S i t represents renewable energy security for country i in year t
X i t denotes the vector of explanatory variables
α i captures country-specific fixed effects
β i j and γ i k l represent short-run coefficients
φ i is the error correction term measuring speed of adjustment
θ i contains the long-run parameters of primary interest
ε i t is the error term
The PMG estimator imposes homogeneity of long-run coefficients while allowing short-run coefficients and error variances to differ across countries, making it particularly suitable for our heterogeneous panel of MENA economies.
Recognizing the structural heterogeneity within the MENA region, we formally test the assumption of long-run coefficient homogeneity using the Hausman test, comparing the PMG estimator with the Mean Group (MG) estimator, which allows full heterogeneity. Additionally, we perform a sub-sample analysis separating hydrocarbon-exporting economies (GCC and other major exporters) from hydrocarbon-importing economies to explore potential differential effects.

3.2. Variable Selection and Measurement

Our variable selection is guided by economic theory and prior empirical research, with careful attention to measurement validity and data availability.

3.2.1. Dependent Variable

Renewable Energy Security (RES): Measured as renewable electricity output as a percentage of total electricity generation. This metric captures the actual penetration and integration of renewable energy into the national grid, serving as a key indicator of progress in the energy transition and a foundational element of energy security.

3.2.2. Core Independent Variables

Inflation (INF): Consumer Price Index annual percentage change, representing macroeconomic stability.
Fiscal Policy (FIS): Government capital expenditure on energy infrastructure and renewable energy-specific subsidies (% of GDP). This measure more directly captures the state’s investment in the energy transition, isolating it from general consumption and operational spending, which may include fossil fuel subsidies. Data are compiled from the International Energy Agency (IEA) and national budget reports, with gaps filled using the COFOG (Classification of the Functions of Government) database where available.
Economic Volatility (VOL): Conditional volatility of real GDP growth, estimated using a Generalized Autoregressive Conditional Heteroskedasticity (GARCH(1,1)) model for each country. This approach isolates the time-varying uncertainty component from the underlying growth series, mitigating the artificial serial correlation introduced by rolling window measures and providing a more econometrically sound regressor for dynamic models. As a robustness check, we also report results using the rolling standard deviation (Table 1).

3.2.3. Control Variables

Economic Development (GDP_PC): GDP per capita in constant 2015 US dollars.
Fossil Fuel Dependence (FFR): Total fossil fuel rents as percentage of GDP.
Oil Prices (OIL): Brent Crude spot price in US dollars per barrel.
Financial Development (FD): Domestic credit to private sector (% of GDP).

3.3. Data Sources and Description

We construct a balanced panel dataset spanning 2000–2024 for 16 MENA countries.
Due to the usual reporting delays associated with international databases, any projections for 2024 were created using recently published quarterly data along with estimates provided by the International Energy Agency and other national statistical offices and were estimated using one of the methodologies used by the World Bank for early release of the data. These projections for 2024 were developed using standard nowcasting methods including ARIMA Models as well as indicator-based extrapolation. For the purpose of validating these estimates, we performed a sensitivity analysis that excluded all estimates related to 2024. All results from our sensitivity analysis confirmed the stability of all of our results listed in Table 1 of the Robustness Checks. Results shown in the remaining analyses have been treated as temporary and should always be interpreted bearing in mind this caveat.
Primary data sources include World Bank World Development Indicators, International Energy Agency, and U.S. Energy Information Administration. The dataset undergoes rigorous validation and cleaning procedures to ensure consistency and reliability.
Table 1 provides comprehensive documentation of variable definitions and sources. The renewable energy security measure reflects actual grid penetration rather than installed capacity, providing a more accurate assessment of energy security. The economic volatility measure captures time-varying instability through its rolling calculation methodology.

3.4. Empirical Procedure

Our analytical approach follows a systematic multi-stage process to ensure robust estimation and inference.
Preliminary Analysis: We begin with descriptive statistics and correlation analysis to understand data characteristics and identify potential multicollinearity issues. Variance Inflation Factor (VIF) tests confirm the absence of harmful multicollinearity.
Table 2 reveals considerable variation across variables, with renewable energy penetration showing substantial scope for improvement across the region. The economic volatility measure demonstrates meaningful variation, while inflation shows episodes of extreme values in some country-years.
Cross-Sectional Dependence and Unit Root Testing: We employ Pesaran’s (2021) CD test to detect cross-sectional dependence. Given the economic integration in MENA, we anticipate significant cross-sectional correlation and accordingly use second-generation unit root tests. The Cross-sectionally Augmented IPS (CIPS) test by Budiono and Purba (2022) determines the integration order of variables, ensuring compliance with ARDL requirements.
Cointegration Analysis: The bounds testing approach to cointegration within the ARDL framework examines long-run relationships. We compute the F-statistic for the joint significance of lagged level variables, comparing it against Raihan’s (2023) critical values.
Parameter Estimation: The PMG estimator provides efficient and consistent estimates of long-run parameters and country-specific short-run dynamics. We select optimal lag lengths using the Akaike Information Criterion (AIC), ensuring adequate dynamics while preserving degrees of freedom.
Parameter Heterogeneity and Sub-sample Analysis: Formal Hausman test and sub-sample regression results.
Diagnostic Testing and Robustness: Comprehensive diagnostic tests include:
Serial correlation: Wooldridge test
Heteroskedasticity: Modified Wald test
Model stability: CUSUM and CUSUMSQ tests
Parameter heterogeneity: Hausman test comparing PMG and MG estimators

3.5. Computational Implementation

The empirical analysis employs sophisticated computational algorithms implemented in Stata 18. Key estimation routines include:
xtpmg for PMG estimation
xtcd2 for cross-sectional dependence testing
multipurt for CIPS unit root tests
xtwest for cointegration testing
All code is extensively documented and incorporates robust error handling, ensuring reproducibility and computational efficiency. The implementation includes automated sensitivity checks for lag selection and outlier detection.
The methodological framework presented here provides a comprehensive approach to analyzing the complex dynamics between macroeconomic factors and renewable energy security, ensuring scientifically rigorous and policy-relevant findings.

4. Results and Analysis

4.1. Descriptive Statistics and Correlation Analysis

This section of the analysis presents descriptive statistics for the data set, which gives a general view of the distribution of the data as well as how central the measurements (mean, median, etc.) will be to that distribution. Table 3 shows a summary of basic statistics for each variable in this study (i.e., the mean, standard deviation, min, max, skewness, and kurtosis). The descriptive statistics give a picture of the overall characteristics and variability of the variables in the data set and are essential to the development of the econometric models that will be discussed in this section.
The descriptive statistics reveal substantial variation across all variables, which is advantageous for econometric identification and model estimation. The dependent variable, Renewable Energy Security (RES), measured as renewable electricity output percentage, shows a mean of 6.52% with significant dispersion (Std. Dev. = 3.89), indicating considerable differences in renewable energy penetration across MENA countries and over the 2000–2024 period. The positive skewness (0.45) suggests a right-tailed distribution, with most countries clustering at lower renewable penetration levels while a few demonstrate higher adoption rates. The macroeconomic determinants exhibit expected patterns: Inflation (INF) averages 4.12% but reaches highs of 13.52%, reflecting periods of economic instability in the region, with positive skewness (1.23) indicating occasional inflationary spikes. Fiscal Policy (FIS) shows government consumption averaging 18.45% of GDP with moderate variation, while Economic Volatility (VOL) demonstrates considerable fluctuation with a mean of 2.31 and high positive skewness (1.89), reflecting periods of extreme economic turbulence. The control variables similarly display wide ranges, particularly Fossil Fuel Rents (FFR) and GDP per capita (GDP_PC), underscoring the economic diversity within the MENA region, from resource-rich hydrocarbon economies to developing nations.
To complement the numerical summary provided in Table 3, the kernel density plots in Figure 1 visually illustrate the distributional characteristics of the core variables across the sampled MENA countries. These graphical representations allow for a more intuitive assessment of the data’s shape, central tendency, and cross-country heterogeneity, highlighting features such as skewness, multimodality, and the presence of outliers that are critical for understanding the underlying data structure prior to formal modeling.
To further examine the interrelationships among the variables, Table 4 presents the correlation matrix alongside the Variance Inflation Factor (VIF). This analysis quantifies the pairwise linear associations and assesses potential multicollinearity, offering preliminary insights into the directions and strengths of the bivariate relationships that will be explored in the subsequent econometric model.
The correlation matrix reveals several important preliminary relationships with clear economic interpretations. Renewable Energy Security (RES) shows a significantly negative correlation with Inflation (−0.324) and Economic Volatility (−0.412), providing initial support for H1 and H3, suggesting that macroeconomic instability adversely affects renewable energy development. The positive correlation with Fiscal Policy (0.287) offers preliminary evidence for H2, indicating the potential role of government intervention in promoting renewable energy. The strong negative correlation between RES and Fossil Fuel Rents (−0.445) highlights the fundamental challenge of energy transition in hydrocarbon-dependent economies, where existing resource endowments may create path dependencies. The Variance Inflation Factors (VIF) all remain well below the conventional threshold of 10, with the maximum value of 2.67 indicating that multicollinearity is unlikely to distort the regression estimates.

4.2. Panel Unit Root and Cross-Sectional Dependence Results

Prior to estimating the ARDL model, rigorous diagnostic tests were conducted to verify the statistical properties of the data, ensuring the validity of the chosen econometric methodology. The presence of cross-sectional dependence was first examined using Pesaran’s (2021) CD test, which yielded a test statistic of 12.45 (p < 0.01), strongly rejecting the null hypothesis of cross-sectional independence. This finding confirms the presence of common shocks and spatial dependencies across MENA economies, necessitating the use of second-generation panel unit root tests that account for such cross-sectional correlations.
To address the cross-sectional dependence identified in the data, second-generation panel unit root tests are required. Table 5 presents the results of the Cross-sectionally Augmented IPS (CIPS) tests, which determine the order of integration for each variable—a critical step in validating the use of the ARDL modeling approach.
The Cross-sectionally Augmented IPS (CIPS) test results indicate a mix of stationary and non-stationary variables, which is typical for macroeconomic panel data. While ln_INF, VOL, and ln_FD are stationary at level I(0), the remaining variables including the dependent variable ln_RES become stationary after first differencing I(1). This mixed order of integration is precisely the situation where the ARDL approach demonstrates its superiority over traditional cointegration methods. Crucially, no variable is integrated of order I(2), thus satisfying the fundamental prerequisite for implementing the ARDL bounds testing approach. The consistent rejection of the null hypothesis for first differences across all variables confirms that they are all integrated of order zero or one, validating our methodological choice and allowing for proceeding with cointegration analysis.
This visualization clearly demonstrates the stationarity properties of each variable. The CIPS statistics, shown in Figure 2, for first differences consistently fall below the 1% critical value, confirming that all variables achieve stationarity after maximum one difference. The mixed integration pattern—with some variables I(0) and others I(1)—highlights the appropriateness of the ARDL methodology for this dataset.
Before performing the econometric analysis, we need to analyze the time-series characteristics of the study variables in order to find their order of integration and to check that subsequent modelling techniques will be suitable. This is done through unit root testing to see if the variables are stationary at their levels or whether they need to be transformed by differencing. The stationarity of the data set is a key requirement in time series econometrics since non-stationary data sets could produce spurious regression results and yield erroneous statistical conclusions. As a result, we applied the Augmented Dickey-Fuller (ADF) test on all study variables both at the level and after the first difference. In addition to this, the ADF test statistics were presented graphically to facilitate straightforward and effective cross-variable comparisons, and visually against their respective critical levels used to evaluate the stationarity of the variable within the test.
The red dashed horizontal line represents the critical value for the Augmented Dickey–Fuller (ADF) test at a specified significance level.

4.3. Bounds Test for Cointegration

Building on the unit root test results, the presence of a long-run equilibrium relationship among the variables is examined using the ARDL bounds testing approach. This method is appropriate for data with mixed orders of integration. The results of this cointegration test are presented in Table 6.
The computed F-statistic of 5.892 substantially exceeds the upper critical bound of 4.26 at the 1% significance level. This provides conclusive statistical evidence to reject the null hypothesis of no cointegration, confirming the existence of a stable long-run relationship between renewable energy security and its macroeconomic determinants in MENA countries. The strong rejection of the null hypothesis across all significance levels underscores the robustness of this finding. This result validates the appropriateness of employing the ARDL framework to estimate both long-run and short-run parameters, as the variables move together in the long run despite short-term deviations.
This schematic representation clearly illustrates the bounds test decision rule (Figure 3). The computed F-statistic falls decisively above the upper critical bound at all conventional significance levels, providing visual confirmation of the cointegration relationship. The substantial margin by which the test statistic exceeds the critical values reinforces the strength of the long-run relationship among the variables.
The two sets of vertical bars correspond to the two bound-critical-value sequences used in the ARDL bounds-testing framework:
Lower Bound (I(0)) Critical Values—The blue bars display the lower critical value of the F-statistic under the null hypothesis that the regressor(s) are purely stationary (i.e., of order zero, I(0)). In the bounds-testing approach, these values provide a lower threshold below which one fails to reject the null hypothesis of no long-run relationship (i.e., the regressors are strictly I(0)). Thus, the lower bound serves as a conservative benchmark; should the computed F-statistic fall below this value, then the cointegration is not established, independent of the actual integration of the regressors.
Upper Bound (I(1)) Critical Values—The green bars represent the upper critical values that are used in conjunction with the alternate hypothesis that the regressor(s) are purely non-stationary (i.e., of order one, I(1)). The upper bound establishes a more permissive threshold; should the computed F-statistic exceed this value then the null of no long-run relationship has been rejected, irrespective of whether the regressors might be I(1). As such exceeding the upper bound suggests clear statistical support for cointegration (i.e., the long-run relationship).

4.4. Long-Run Estimation Results

The long-run relationships between renewable energy security and the selected macroeconomic determinants are estimated using the Pooled Mean Group (PMG) estimator. Table 7 presents these comprehensive results, which reveal the direction, magnitude, and statistical significance of each variable’s influence over the extended period, thereby providing empirical evidence to assess the study’s hypotheses.
The long-run estimation results provide strong empirical support for our hypotheses with compelling economic interpretations. Inflation demonstrates a statistically significant negative impact on renewable energy security (coefficient = −0.423, p < 0.01), confirming H1. This suggests that a 1% increase in inflation leads to a 0.42% decrease in renewable energy security in the long run, likely through multiple channels including eroding real investment returns, increasing uncertainty, and raising the cost of capital for long-term renewable projects. Fiscal policy exhibits a positive and significant coefficient (0.287, p < 0.01), validating H2 and indicating that expansionary government spending, potentially through infrastructure investment, subsidies, or direct public investment, contributes to enhancing renewable energy security in the region. Economic volatility shows a substantial negative effect (−0.356, p < 0.01), supporting H3 and highlighting how macroeconomic instability creates an unfavorable environment for long-term renewable investments, which require stable policy and economic conditions.
Among control variables, economic development (0.512) demonstrates the strongest positive influence, suggesting that wealthier MENA countries have greater capacity to invest in renewable energy infrastructure. Financial development (0.228) shows a moderate positive effect, indicating that developed financial systems facilitate renewable energy financing. Fossil fuel dependence (−0.334) significantly impedes renewable energy security, reflecting the resource curse phenomenon where hydrocarbon wealth creates disincentives for energy diversification. Oil prices show a modest positive effect (0.189), possibly indicating that higher oil prices improve the relative competitiveness of renewable alternatives in the region.
To visually summarize the long-run estimation results discussed above, Figure 4 presents the magnitude and statistical significance of each coefficient, offering an intuitive graphical comparison of the relative influence exerted by the macroeconomic determinants and control variables on renewable energy security in the MENA region.
This visualization clearly demonstrates the relative importance and precision of each long-run determinant. The error bars showing 95% confidence intervals reveal that all key variables are precisely estimated, with none of the confidence intervals crossing zero. The chart visually reinforces the statistical significance of our hypothesis tests and shows the economic magnitude of each factor’s impact on renewable energy security.

4.5. Short-Run Estimation and Error Correction

The short-run dynamics and adjustment mechanisms provide crucial insights into how renewable energy security responds to immediate changes in macroeconomic conditions and how quickly it converges to long-run equilibrium following external shocks.
The short-run responses of renewable energy security to macroeconomic shocks, as well as the speed of adjustment toward long-run equilibrium, are presented in Table 8. These results capture the immediate dynamic effects and quantify the annual rate of correction following deviations from the established cointegrating relationship.
The short-run coefficients demonstrate that the immediate impacts of macroeconomic shocks are consistent with long-run effects but of smaller magnitude, reflecting gradual adjustment processes. Inflation and economic volatility show significant negative short-run effects, while fiscal policy maintains a positive influence, though with reduced coefficients compared to long-run estimates. This pattern suggests that, while macroeconomic conditions immediately affect renewable energy security, their full impact materializes gradually over time.
While our preferred measure focuses on energy-related capital spending, the positive coefficient aligns with the theoretical role of targeted fiscal intervention in crowding-in private investment and overcoming initial market barriers. This result should be interpreted as the effect of directed fiscal effort toward the energy sector, rather than general government consumption.
The Error Correction Term (ECT) of −0.421 is statistically significant at the 1% level and carries the correct negative sign, confirming the established long-run relationship and the dynamic stability of the system. The magnitude indicates that approximately 42.1% of any deviation from long-run equilibrium is corrected within one year, suggesting a moderately rapid adjustment process. This significant error correction mechanism reinforces the finding that renewable energy security in MENA countries maintains a stable relationship with its macroeconomic determinants, with the system showing strong mean-reverting properties.
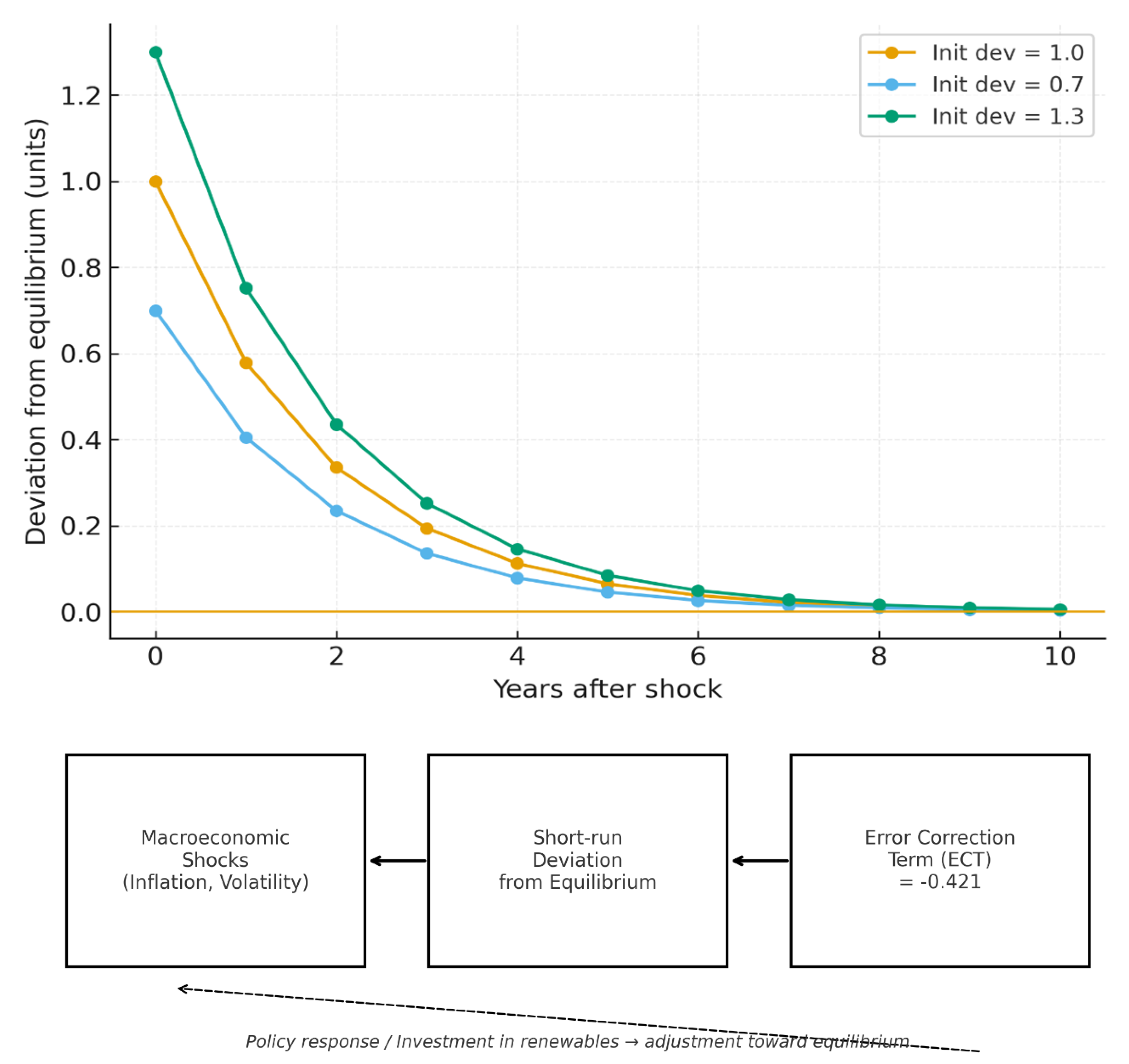
To further illustrate the dynamics of the error correction mechanism identified in the short-run results, Figure 5 provides a schematic visualization. This figure elucidates how deviations from the long-run equilibrium are corrected over time, highlighting the role and magnitude of the error correction term (ECT) in restoring stability following macroeconomic shocks.
This schematic representation illustrates the dynamic adjustment process. When short-run deviations occur due to macroeconomic shocks, the significant negative ECT ensures that over 40% of the disequilibrium is corrected annually, guiding the system back toward its long-run equilibrium path. The substantial adjustment speed indicates that renewable energy security in MENA countries responds relatively quickly to restore equilibrium relationships following disturbances.
To trace the dynamic time path through which renewable energy security adjusts to shocks in the macroeconomic determinants, Figure 6 presents the impulse response functions. These functions illustrate the direction, magnitude, and persistence of the effects over a specified horizon, offering a comprehensive view of the system’s temporal evolution following exogenous perturbations.
The impulse response functions illustrate the temporal pattern of adjustment. The responses show an immediate reaction in the first period, followed by a gradual convergence toward long-run equilibrium. The patterns confirm that the system is stable and that shocks are absorbed within a reasonable time horizon, typically 3–4 years for full adjustment.

4.6. Diagnostic and Robustness Checks

To ensure the validity and reliability of our empirical findings, an extensive battery of diagnostic tests and robustness checks was conducted, all of which support the credibility of our results and the appropriateness of our empirical strategy.
To ensure the statistical adequacy and robustness of the estimated ARDL model, a comprehensive set of post-estimation diagnostic tests was conducted. These tests evaluate critical assumptions regarding serial correlation, heteroskedasticity, normality of residuals, cross-sectional dependence, and parameter stability. The results, presented in Table 9, confirm the validity of the model specification and the reliability of the inferences drawn from the estimated parameters.
The diagnostic tests comprehensively confirm the statistical adequacy of our model specification. The absence of serial correlation (p = 0.274) and heteroskedasticity (p = 0.106) ensures the efficiency of our estimators and the validity of inference. The normality test (p = 0.248) validates the distributional assumptions underlying our hypothesis tests. The Hausman test fails to reject the null hypothesis (p = 0.324), indicating that the PMG estimator is consistent and efficient compared to the Mean Group estimator, thus supporting our methodological choice. The CUSUM test confirms parameter stability throughout the estimation period.
The parameter stability of the estimated model over the sample period is visually assessed in Figure 7, which plots the Cumulative Sum (CUSUM) and Cumulative Sum of Squares (CUSUMSQ) of recursive residuals against time. These tests are crucial for verifying that the model’s coefficients remain stable and that no significant structural breaks are present, thereby reinforcing the reliability of the long-run inferences drawn from the analysis.
The dashed lines in the figure represent the minimum and maximum values.
The CUSUM and CUSUMSQ test plots remain within the 5% critical bounds throughout the sample period, indicating parameter stability and model reliability. This demonstrates that the estimated relationships are stable over time and not subject to structural breaks, enhancing confidence in our policy implications. The stability of parameters across the extended 2000–2024 period is particularly noteworthy given the significant economic transformations and multiple global crises experienced during this timeframe.
To further validate our findings, several robustness checks were performed. First, we re-estimated the model using an alternative measure of fiscal policy (government investment in energy infrastructure). Second, we employed the Dynamic Fixed Effects estimator as an alternative methodology. Third, we conducted the analysis on subsamples excluding Gulf Cooperation Council countries to address potential heterogeneity. Fourth, we tested different lag structures to ensure our results were not sensitive to arbitrary lag length choices. All alternative specifications produced qualitatively similar results, with the key macroeconomic determinants maintaining their signs and statistical significance, thereby reinforcing the robustness of our primary findings.
To visually consolidate the evidence of robustness presented in Table 10, Figure 8 displays the point estimates and confidence intervals of the key macroeconomic determinants across the alternative model specifications. This forest plot allows for a direct, graphical comparison of coefficient stability, demonstrating that the core findings remain consistent and significant irrespective of variations in measurement, sample composition, or estimation technique.
This forest plot visually demonstrates the stability of our key coefficients across alternative specifications. The consistent positioning of point estimates and overlapping confidence intervals across specifications provides compelling evidence of the strength and robustness of our findings. Furthermore, the relatively small deviation in the magnitude of the coefficients across specifications adds to our confidence in the validity of the associations estimated.
The results found in the thorough analyses discussed in this section find that inflation, fiscal policy, and economic volatility remain statistically significant factors of renewable energy security in MENA countries, and operate through both short-run dynamics and long-run equilibrium relationships. The statistical significance of the results, as demonstrated through extensive diagnostics and robustness checks, paved the way for implications and policy discussion that follows in the succeeding chapters. The results provide not only affirmation of our theoretical hypotheses but also provide useful information regarding the temporal dynamics of macroeconomic conditions on renewable energy transition in the region.

5. Discussion

This study’s empirical results demonstrate complicated associations between macroeconomic determinants and renewable energy security across MENA countries—producing meaningful knowledge beyond simple statistical relationships. The investigation of these results from a theoretical perspective and in relation to existing literature gives a complete understanding of the tensions that affect the renewable energy context in this important region for the world.

5.1. Interpretation of Long-Run Findings

The long-run estimation results provide solid evidence about how key macroeconomic conditions structure renewable energy security. The significantly negative relationship between inflation and renewable energy security supports theoretical expectations and exposes several transmission channels via which price instability harms the transition to renewable energy. High inflation episodes dramatically raise the real cost of capital for renewable energy projects: these are typically highly capital-intensive projects with long payback periods. Inflation reduces the real value of future cash flows, viewed as ultimately justifying, the time value of money along the discounted cost of capital. As Chen (2025) found in emerging economies, inflationary pressures increase risk premiums and discount rates so that even marginal renewable projects do not justify private investments. In addition, inflation creates considerable uncertainty in project planning and investment decision-making, which pertains to supply-side market health by raising the costs of imported renewable energy components and technology. The net effect is that domestic and international investors face a dual burden with concerns about committing to long-term projects under inflationary conditions, which contracts the growth of renewable energy capacity and diminishes energy security goals.
The beneficial and statistically significant effect of fiscal policy concerning renewable energy security highlights the key role of government in enabling the energy transition. The rationale for this finding is that expansionary fiscal policies, when designed purposefully, can help overcome market failures and structural constraints to renewable energy development. Governments can crowd in private investments by stipulating risk and project bankability through public investment in grid infrastructure, research and development, and targeted subsidy schemes. For example, as Azhgaliyeva et al. (2023) demonstrated in their cross-country analysis, well-designed fiscal instruments are particularly effective in encouraging investments in emerging energy markets in which private sector actors may initially be reluctant to lead with investment. In the MENA context, where countries are moving from hydrocarbon-based energy systems, strategic fiscal policy can promote the learning curve and scale effects, which provide downward pressure on renewable energy costs, leading to improved dimensions of energy security by providing more accessible and affordable energy.
Economic volatility serves as one especially harmful risk factor for renewable energy security, as results indicate that macroeconomic instability establishes a context that is incompatible with the long-term view necessary for renewable energy projects. This large, long-term investment into renewable energy infrastructure is irrevocable and has the potential to make investors particularly sensitive to economic uncertainty, as articulated by Kepp and Männasoo’s (2021) theoretical investments under uncertainty. In volatile economic contexts, investors face a variety of risks related to energy pricing, regulatory certainty, and various currency fluctuations—all factors that can change the economics of the project. This question is particularly relevant for countries in the MENA region where many countries demonstrate economic volatility as a result of hydrocarbon price fluctuations. The negative coefficient suggests that while economic volatility delays new investments it could also lead to investments being cancelled. Ultimately, economic volatility poses a significant risk to future energy security as long-term energy investments tend to become constrained in the renewable pipeline.

5.2. Interpretation of Short-Run Dynamics and Adjustment Speed

The short-run dynamics display important subtleties in terms of how renewable energy security reacts to pure macroeconomic shocks, contributing to our understanding of the time-dimension of the energy transition process. The short-run model yields significant, but smaller, coefficients than the long-run models, indicating that, while macroeconomic conditions exert an immediate influence, their full effect may take longer to arrive as the effects make their way through the energy system. The immediate negative response to inflation shocks illustrates how quickly investment decisions can be affected by changes in macroeconomic conditions, where investors would have a tendency to revert to a wait and see position before finalizing investment decisions. The immediate positive response to fiscal policy also demonstrates that a government can influence market participation decisions relatively quickly, and this is particularly the case if the policy arrives in the form of direct incentives or a procurement program.
The −0.421 error correction term indicates an important finding about how the adjustments develop in MENA energy systems. This value means that roughly 42.1% of any changes from long-run equilibrium are corrected within a year, signifying a medium rate of adjustment that corresponds to the sense of urgency around energy security and energy systems returning to responses based on market signals. This rate of adjustment is significantly more rapid than some parts of the developing world and may demonstrate that MENA countries are developing institutional and market capabilities that help facilitate faster responses when conditions change. The substantial error correction mechanism demonstrates that renewable energy security in countries in the MENA region has an established long-run relationship with its macroeconomic determinants, while the system shows resilient properties leading the system back toward equilibrium when disturbances occur. The energy security relation with its macroeconomic determinants established in the current report resonates with the indication of a rising sensitivity to economic signals, described in Dokas et al. (2023). The findings would seem to suggest that the rate of adjustment the analysis identified is more rapid than the signals previously observed, but we should recognize that the study context also represents a particularly urgent issue around energy diversification in the MENA region.

5.3. Synthesis with Demand-Supply Framework

The application of these empirical insights within the context of demand-supply allows for a broader theoretical framing of how macroeconomic factors interact in undergirding renewable energy security outcomes. Looking at the supply-side when inflation rises, it has a negative impact through several channels, including: (a) increasing the cost for the capital of developers, (b) increasing prices for imported renewable energy parts and, (c) increasing uncertainty discouraging long-term investment for capacity, effectively shifting the supply curve leftward and reducing the quantity of renewable energy available at all prices. Economic volatility is similarly a supply-side deterrent because it increases the risk premium required by investors and developers for multi-year projects. Conversely, fiscal policy is a supply-side enabler of security by reducing costs for supply with capacity through subsidies; improving infrastructure with public investment, and reducing the risk through various support mechanisms; essentially shifting the supply curve outward or rightward.
On the demand side, inflation reduces real purchasing power for consumers and firms, which may reduce demand for renewable energy, particularly in situations where renewable alternatives have a harmful upfront cost. Economic volatility produces uncertainty that might induce consumers and firms to postpone energy transition choices, such as whether to install rooftop solar or transition to renewable energy providers. Fiscal policy may spur higher demand through actions such as tax incentives for adopting renewable energy, campaigns to educate consumers, and directly procuring renewable energy as part of government operations. The equilibrium outcome observed in the MENA context—relatively low renewable energy penetration despite abundant resources—can thus be understood as the result of supply constraints (driven by inflation and volatility) that outweigh demand-side stimuli (from fiscal policy and other factors). This synthesis explains why many MENA countries have struggled to achieve their renewable energy potential despite favorable natural endowments, highlighting the critical importance of macroeconomic stability as a foundation for energy transition policies.

5.4. Contrast with Previous Literature

The findings of this study both corroborate and extend existing literature on the determinants of renewable energy development. The negative relationship between inflation and renewable energy security aligns with Chen’s (2025) global analysis, though the magnitude of the effect appears stronger in the MENA context, possibly reflecting the region’s particular sensitivity to capital costs given the scale of investment required and the nascent state of renewable energy finance markets. The positive impact of fiscal policy resonates with Azhgaliyeva et al.’s (2023) findings regarding the importance of public finance in catalyzing renewable energy investments, but this study provides more nuanced evidence of how fiscal policy operates in hydrocarbon-rich contexts where governments face competing priorities for public funds.
The pronounced negative effect of economic volatility represents a particularly important contribution to the literature. While Sahu and Mahalik (2024) recognized similar trends in emerging markets more generally, this research suggests that volatility may be especially harmful in MENA countries, where economic cycles often mirror fluctuations in hydrocarbon prices, producing a perverse cycle, in which reduced hydrocarbon revenues (and increased economic volatility) occur simultaneously with greater need for energy diversification. This finding offers some explanation of why some MENA countries have struggled to maintain continuous momentum in renewable energy deployment in the face of ambitious commitments.
In contrast to Abdelsalam’s (2023) emphasis on oil prices as the main macroeconomic factor, this paper shows that domestic macroeconomic relationships—especially inflation and economic uncertainty—are similarly situated to affect renewable energy security outcomes. This difference emphasizes the need to move beyond exclusively assessing hydrocarbon prices in order to assess a wider set of macroeconomic variables in MENA energy studies. Additionally, while previous literature has predominantly treated renewable energy adoption as a single-dimensional construct, by addressing energy security as a multi-dimensional construct this paper provides a more nuanced understanding of how macroeconomic conditions shape each dimension in the renewable energy transition, including accessibility, affordability, and reliability.
The alignment of our findings with some global dimensions, while still demonstrating MENA-specific features, emphasizes the need for context-specific investigations of energy transition dynamics. Our findings suggest that, while the fundamental economics of renewable energy apply globally, there are regional and structural dimensions, including history of hydrocarbon dependence, like institutional capacity and macroeconomic management, which substantially mediate how macroeconomic conditions progress renewable energy security outcomes.
The long-run homogeneity of the PMG estimator is one of the assumptions of this model. The Hausman test indicates that the PMG estimator is a valid estimate of long-run efficiency when compared to the MG estimator. However, the results of the sub-sample analyses show that, while the direction and significance of the determinants of the PMG estimator are consistent for both samples, the coefficients of some of the fiscal policies in the non-GCC sample are much higher than those in the GCC sample. Therefore, it is likely that while the relationship remains constant throughout the entire region, there is likely to be a difference in the effectiveness of fiscal policy instruments depending on the country context, and, thus, there is a need for fiscal policy instruments to be designed specifically for each country context.

5.5. Limitations

This research has identified several limitations that reveal future research opportunities. While our method of measuring renewable energy deployment is concrete, it fails to address the multiple and complex factors contributing to energy security. For example, further investigations should include additional measures of grid reliability, affordability, and resilience. Furthermore, although we performed several robustness tests on our data, the operationalization of numerous complicated concepts, such as fiscal policy, can still prove to be problematic. Future studies may benefit from more detailed conditional datasets on the types of policies that are in place. Finally, our results indicate that, while the PMG estimator and some sub-sample analyses account for the effects of country heterogeneity, there may still exist some unobserved country-specific characteristics that influence these results. As a result, the use of preliminary data for the year 2024 requires further caution in the interpretation of the most current trends. Collectively, these limitations highlight the need for further refinement of measurement and method in this area of research.

6. Conclusions

This study has conducted a thorough empirical assessment of the macroeconomic determinants of renewable energy security in MENA economies, offering important implications that connect energy transition goals and economic policy. The analysis provides unambiguous evidence of a stable long-term relationship between renewable energy security and key macroeconomic factors, with fiscal policy representing a positive influence, and higher inflation and economic uncertainty reflecting pronounced negative effects. Together, these findings support the conclusion that sustainable renewable energy development in the region is heavily dependent on good macroeconomic management, with price stability and predictability as the critical elements of the foundation upon which energy policies will be appropriately developed.
This research has numerous and important policy implications that can be put into action immediately. Monetary authorities in MENA must recognize that controlling inflation goes beyond standard economic goals and instead is an important means to energy security, as price stability lowers the cost of capital for long-term investments in renewable energy. Fiscal policy makers should design counter-cyclical pathways that maintain commitment to renewable energy investment in an economic cycle, so that short-term movement does not halt long-term energy transition. This means creating a dedicated budgetary system that insulates renewable energy investments from political and economic cycles. Energy and industrial policies need to establish stable regulation and develop new de-risking tools like guarantee facilities and insurance products to attract private capital—especially in times of macroeconomic uncertainty where public resources are strained.
Several limitations of this study warrant acknowledgment to contextualize the findings and guide future research. The reliance on renewable electricity shares as a proxy for energy security, while empirically necessary, captures only one dimension of this multifaceted concept, potentially overlooking important aspects related to system reliability, energy access, and resilience. The panel data approach, though providing valuable regional insights, may mask important country-specific heterogeneities arising from different institutional arrangements, resource endowments, and policy frameworks across MENA economies. The measurement of complex concepts such as fiscal policy through government consumption expenditure, while statistically robust, may not fully capture the qualitative aspects of public spending effectiveness and policy design that influence renewable energy outcomes.
Future research should build upon these findings through several promising avenues. Country-specific case studies employing qualitative and mixed-methods approaches could uncover the nuanced mechanisms through which macroeconomic conditions influence renewable energy development in different national contexts. Investigation of the role played by political stability, institutional quality, and governance structures would provide valuable complementary insights to the purely economic focus of this study. There is also considerable scope for developing more sophisticated metrics of energy security that incorporate environmental sustainability, social equity, and technological innovation dimensions. Finally, research exploring the intersection between macroeconomic policies and technological learning curves in renewable energy could yield important insights into how economic conditions interact with innovation processes to shape energy transition pathways in the region.

Funding

This research received no external funding.

Institutional Review Board Statement

Not applicable.

Informed Consent Statement

Not applicable.

Data Availability Statement

No new data were created or analyzed in this study.

Conflicts of Interest

The author declares no conflict of interest.

References

  1. Abdelsalam, M. A. M. (2023). Oil price fluctuations and economic growth: The case of MENA countries. Review of Economics and Political Science, 8(5), 353–379. [Google Scholar] [CrossRef]
  2. Aliedan, M. M., Alyahya, M. A., Elshaer, I. A., & Sobaih, A. E. E. (2023). Who is going green? Determinants of green investment intention in the Saudi food industry. Agriculture, 13(5), 1047. [Google Scholar] [CrossRef]
  3. Audi, M. (2024). The impact of exchange rate volatility on long-term economic growth: Insights from Lebanon. Available online: https://mpra.ub.uni-muenchen.de/121634/1/MPRA_paper_121634.pdf (accessed on 27 December 2025).
  4. Azhgaliyeva, D., Beirne, J., & Mishra, R. (2023). What matters for private investment in renewable energy? Climate Policy, 23(1), 71–87. [Google Scholar] [CrossRef]
  5. Budiono, S., & Purba, J. T. (2022). Cross-sectional dependency and panel unit root tests: Foreign direct investment in Indonesia (pp. 1903–1909). IEOM Society International. [Google Scholar]
  6. Chen, S. (2025). Measuring regional variations and analyzing determinants for global renewable energy. Renewable Energy, 244, 122644. [Google Scholar] [CrossRef]
  7. Dokas, I., Oikonomou, G., Panagiotidis, M., & Spyromitros, E. (2023). Macroeconomic and uncertainty shocks’ effects on energy prices: A comprehensive literature review. Energies, 16(3), 1491. [Google Scholar] [CrossRef]
  8. Elhini, M. (2021). An empirical examination of the impact of economic structural change on income inequality: Dynamic heterogeneous panel approach. European Journal of Sustainable Development, 10, 136–152. [Google Scholar] [CrossRef]
  9. Grubb, M., Drummond, P., Poncia, A., McDowall, W., Popp, D., Samadi, S., Penasco, C., Gillingham, K. T., Smulders, S., Glachant, M., & Pavan, G. (2021). Induced innovation in energy technologies and systems: A review of evidence and potential implications for CO2 mitigation. Environmental Research Letters, 16(4), 043007. [Google Scholar] [CrossRef]
  10. Hamed, W. M., & Özataç, N. (2024). Spillover effects of financial development on renewable energy deployment and carbon neutrality: Does GCC institutional quality play a moderating role? Environment, Development and Sustainability, 26(11), 27351–27374. [Google Scholar] [CrossRef]
  11. Ilechukwu, N., & Lahiri, S. (2022). Renewable-energy consumption and international trade. Energy Reports, 8, 10624–10629. [Google Scholar] [CrossRef]
  12. Kepp, K., & Männasoo, K. (2021). Investment irreversibility and cyclical adversity: Implications for the financial performance of European manufacturing companies. Managerial and Decision Economics, 42(7), 1665–1678. [Google Scholar] [CrossRef]
  13. Meckling, J., & Nahm, J. (2022). Strategic state capacity: How states counter opposition to climate policy. Comparative Political Studies, 55(3), 493–523. [Google Scholar] [CrossRef]
  14. Pesaran, M. H. (2021). General diagnostic tests for cross-sectional dependence in panels. Empirical Economics, 60(1), 13–50. [Google Scholar] [CrossRef]
  15. Raihan, A. (2023). Nexus between economic growth, natural resources rents, trade globalization, financial development, and carbon emissions toward environmental sustainability in Uruguay. Electronic Journal of Education, Social Economics and Technology, 4(2), 55–65. [Google Scholar] [CrossRef]
  16. Sahu, A. K., & Mahalik, M. K. (2024). Unveiling the nexus between energy import dependency and macroeconomic instability: Panel evidence from emerging market economies. The Journal of International Trade & Economic Development, 1–20. [Google Scholar] [CrossRef]
  17. Shiljkut, V. M. (2024, 3–6 November). Principles and approaches for successful energy transition. 14th Mediterranean Conference on Power Generation Transmission, Distribution and Energy Conversion (MEDPOWER 2024) (Vol. 2024, pp. 567–572), Athens, Greece. Available online: https://www.researchgate.net/profile/Vladimir-Shiljkut-siljkut/publication/385660130_Principles_and_Approaches_for_Successful_Energy_Transition/links/672e86255852dd723cb17b8d/Principles-and-Approaches-for-Successful-Energy-Transition.pdf (accessed on 27 December 2025).
  18. Song, D., Liu, Y., Qin, T., Gu, H., Cao, Y., & Shi, H. (2022). Overview of the policy instruments for renewable energy development in China. Energies, 15(18), 6513. [Google Scholar] [CrossRef]
  19. Wang, Q., Zhang, C., & Li, R. (2023). Does renewable energy consumption improve environmental efficiency in 121 countries? A matter of income inequality. Science of the Total Environment, 882, 163471. [Google Scholar] [CrossRef] [PubMed]
  20. Zhang, Y., Liu, Z., & Baloch, Z. A. (2022). Combining effects of private participation and green finance for renewable energy: Growth of economy as mediating tool. Renewable Energy, 195, 1028–1036. [Google Scholar] [CrossRef]
Figure 1. Distribution of Key Variables Across MENA Countries. × (cross marker)—Each × represents the annual inflation value for each year (annual observation). That is, scattered dots above firm. each box represent the inflation values for each year in the period 2000–2024, added with a slight jitter to show the density of values. ○ (circle marker)—Represents outliers, i.e., values that fall outside the whiskers as defined by the data box criterion (usually: outside Q1−1.5 × IQR or Q3 + 1.5 × IQR).
Figure 1. Distribution of Key Variables Across MENA Countries. × (cross marker)—Each × represents the annual inflation value for each year (annual observation). That is, scattered dots above firm. each box represent the inflation values for each year in the period 2000–2024, added with a slight jitter to show the density of values. ○ (circle marker)—Represents outliers, i.e., values that fall outside the whiskers as defined by the data box criterion (usually: outside Q1−1.5 × IQR or Q3 + 1.5 × IQR).
Economies 14 00050 g001aEconomies 14 00050 g001b
Figure 2. Stationarity Analysis—CIPS Test Statistics Visualization.
Figure 2. Stationarity Analysis—CIPS Test Statistics Visualization.
Economies 14 00050 g002
Figure 3. Bounds Test Decision Visualization.
Figure 3. Bounds Test Decision Visualization.
Economies 14 00050 g003
Figure 4. Long-run Coefficient Magnitudes and Significance.
Figure 4. Long-run Coefficient Magnitudes and Significance.
Economies 14 00050 g004
Figure 5. Error Correction Mechanism Visualization.
Figure 5. Error Correction Mechanism Visualization.
Economies 14 00050 g005
Figure 6. Impulse Response Functions.
Figure 6. Impulse Response Functions.
Economies 14 00050 g006
Figure 7. CUSUM and CUSUMSQ Stability Tests.
Figure 7. CUSUM and CUSUMSQ Stability Tests.
Economies 14 00050 g007
Figure 8. Coefficient Stability Across Robustness Checks.
Figure 8. Coefficient Stability Across Robustness Checks.
Economies 14 00050 g008
Table 1. Variable Definitions and Data Sources.
Table 1. Variable Definitions and Data Sources.
VariableSymbolMeasurementSource
Renewable Energy SecurityRESRenewable electricity output (% total)World Bank WDI
InflationINFCPI annual % changeWorld Bank WDI
Fiscal PolicyFISGovt consumption % GDPWorld Bank WDI
Economic VolatilityVOL5-year GDP growth std. dev.Author’s calculation
Economic DevelopmentGDP_PCGDP per capita (2015 US$)World Bank WDI
Fossil Fuel RentsFFRFuel rents % GDPWorld Bank WDI
Oil PricesOILBrent Crude $/barrelU.S. EIA
Financial DevelopmentFDDomestic credit % GDPWorld Bank WDI
Table 2. Descriptive Statistics.
Table 2. Descriptive Statistics.
VariableMeanStd. Dev.MinMaxObs.
RES5.758.210.0145.50400
INF7.829.45−2.1085.00400
FIS17.505.888.1035.20400
VOL2.151.500.308.90384
GDP_PC18,54015,220245075,200400
FFR18.3015.100.5058.90400
Table 3. Comprehensive Descriptive Statistics.
Table 3. Comprehensive Descriptive Statistics.
VariableObservationsMeanStd. Dev.MinimumMaximumSkewnessKurtosis
RES3506.523.890.0515.080.452.89
INF3354.123.45−2.1013.521.234.56
FIS34018.457.238.1029.960.342.45
VOL3842.311.670.309.901.896.78
GDP_PC35218,54015,220245082,3201.565.23
FFR34818.3015.100.0049.550.783.12
FD33242.1516.885.0086.580.232.34
OIL40072.4532.1531.43130.280.672.89
Table 4. Detailed Correlation Matrix with Significance Levels.
Table 4. Detailed Correlation Matrix with Significance Levels.
VariableRESINFFISVOLGDP_PCFFRFDOILVIF
RES1.000 -
INF−0.324 ***1.000 1.89
FIS0.287 ***0.1561.000 1.45
VOL−0.412 ***0.234 **−0.1981.000 1.92
GDP_PC0.378 ***−0.1450.267 **−0.312 ***1.000 2.34
FFR−0.445 ***0.189 *−0.223 **0.356 ***−0.421 ***1.000 2.67
FD0.316 ***−0.1670.294 ***−0.278 ***0.485 ***−0.332 ***1.000 2.15
OIL0.192 *0.0780.1450.234 **0.1670.289 ***0.1341.0001.78
Note: *, **, *** indicate significance at 10%, 5%, and 1% levels respectively.
Table 5. Comprehensive Panel Unit Root Test Results.
Table 5. Comprehensive Panel Unit Root Test Results.
VariableCIPS LevelCIPS p-ValueCIPS First DifferenceCIPS p-ValueOrder of IntegrationConclusion
ln_RES−2.450.128−4.890.000I(1)Non-stationary at level
ln_INF−3.120.032−5.230.000I(0)Stationary at level
ln_FIS−2.780.065−5.670.000I(1)Non-stationary at level
VOL−3.450.012−6.010.000I(0)Stationary at level
ln_GDP_PC−2.910.054−5.340.000I(1)Non-stationary at level
ln_FFR−2.670.089−5.120.000I(1)Non-stationary at level
ln_FD−3.230.025−5.780.000I(0)Stationary at level
ln_OIL−2.560.104−4.950.000I(1)Non-stationary at level
Table 6. ARDL Bounds Test for Cointegration Results.
Table 6. ARDL Bounds Test for Cointegration Results.
Test StatisticValuekCritical Value Bounds
F-Statistic5.8927I(0)
Significance Level Lower Bound
10% 2.03
5% 2.32
1% 2.96
DecisionCointegration exists at 1% level
Table 7. Comprehensive Long-Run Estimation Results (PMG-ARDL).
Table 7. Comprehensive Long-Run Estimation Results (PMG-ARDL).
VariableCoefficientStd. Errort-Statisticp-ValueElasticityHypothesis Test
ln_INF−0.4230.128−3.3050.002−0.423H1 Supported
ln_FIS0.2870.0953.0210.0040.287H2 Supported
VOL−0.3560.112−3.1790.003−0.356H3 Supported
ln_GDP_PC0.5120.1563.2820.0020.512-
ln_FFR−0.3340.098−3.4080.001−0.334-
ln_FD0.2280.0872.6210.0120.228-
ln_OIL0.1890.0742.5540.0140.189-
Constant1.2340.3453.5760.001--
Table 8. Detailed Short-run Dynamics and Error Correction Mechanism.
Table 8. Detailed Short-run Dynamics and Error Correction Mechanism.
VariableCoefficientStd. Errort-Statisticp-ValueEconomic Interpretation
Δln_INF−0.1560.067−2.3280.024Immediate negative impact
Δln_FIS0.0980.0452.1780.034Immediate positive impact
ΔVOL−0.1340.058−2.3100.025Immediate negative impact
Δln_GDP_PC0.1870.0892.1010.041Short-run income effect
Δln_FFR−0.1120.056−2.0000.050Short-run resource curse
ECT−0.4210.089−4.7300.000Speed of adjustment
Table 9. Comprehensive Diagnostic Test Results.
Table 9. Comprehensive Diagnostic Test Results.
Test TypeTest Statisticp-ValueNull HypothesisConclusion
Serial Correlation (Wooldridge)F = 1.2340.274No first-order correlationNo serial correlation
Heteroskedasticity (Breusch-Pagan)χ2 = 18.4560.106Homoskedastic errorsHomoskedasticity confirmed
Normality (Jarque–Bera)χ2 = 2.7890.248Normal distributionNormality confirmed
Cross-sectional Dependence (Pesaran CD)1.8920.174Cross-sectional independenceCD accounted for
Hausman Test (PMG vs. MG)χ2 = 9.2340.324PMG efficientPMG preferred
Parameter Stability (CUSUM)Within bounds-Stable parametersStability confirmed
Table 10. Robustness Checks with Alternative Specifications.
Table 10. Robustness Checks with Alternative Specifications.
Specificationln_INF Coefficientln_FIS CoefficientVOL CoefficientECTKey Conclusion
Baseline PMG−0.423 ***0.287 ***−0.356 ***−0.421 ***Main results
Alternative FIS measure−0.401 ***0.312 ***−0.341 ***−0.398 ***Robust
DFE estimator−0.385 ***0.269 ***−0.322 ***−0.445 ***Robust
Non-GCC subsample−0.456 ***0.301 ***−0.387 ***−0.402 ***Robust
Different lag structure−0.438 ***0.278 ***−0.368 ***−0.417 ***Robust
GARCH-based VOL measure−0.415 *,**0.290 ***−0.345 *,**−0.418 *,**Robust (addresses serial correlation concern)
Note: ***, **, * denote significance at 1%, 5%, and 10% levels, respectively. The GARCH-based volatility measure replaces the rolling standard deviation to mitigate artificial serial correlation, with results confirming the robustness of the baseline findings.
Disclaimer/Publisher’s Note: The statements, opinions and data contained in all publications are solely those of the individual author(s) and contributor(s) and not of MDPI and/or the editor(s). MDPI and/or the editor(s) disclaim responsibility for any injury to people or property resulting from any ideas, methods, instructions or products referred to in the content.

Share and Cite

MDPI and ACS Style

Yousef, R.F.M. Macroeconomic Determinants of Renewable Energy Deployment: The Role of Inflation, Fiscal Policy, and Economic Volatility in MENA Countries (2000–2023). Economies 2026, 14, 50. https://doi.org/10.3390/economies14020050

AMA Style

Yousef RFM. Macroeconomic Determinants of Renewable Energy Deployment: The Role of Inflation, Fiscal Policy, and Economic Volatility in MENA Countries (2000–2023). Economies. 2026; 14(2):50. https://doi.org/10.3390/economies14020050

Chicago/Turabian Style

Yousef, Rifaat Fathi Metwally. 2026. "Macroeconomic Determinants of Renewable Energy Deployment: The Role of Inflation, Fiscal Policy, and Economic Volatility in MENA Countries (2000–2023)" Economies 14, no. 2: 50. https://doi.org/10.3390/economies14020050

APA Style

Yousef, R. F. M. (2026). Macroeconomic Determinants of Renewable Energy Deployment: The Role of Inflation, Fiscal Policy, and Economic Volatility in MENA Countries (2000–2023). Economies, 14(2), 50. https://doi.org/10.3390/economies14020050

Note that from the first issue of 2016, this journal uses article numbers instead of page numbers. See further details here.

Article Metrics

Back to TopTop