Sign in to use this feature.

Years

Between: -

Subjects

remove_circle_outline
remove_circle_outline
remove_circle_outline
remove_circle_outline
remove_circle_outline
remove_circle_outline
remove_circle_outline
remove_circle_outline
remove_circle_outline

Journals

Article Types

Countries / Regions

remove_circle_outline
remove_circle_outline
remove_circle_outline
remove_circle_outline

Search Results (305)

Search Parameters:
Keywords = ALDH activity

Order results
Result details
Results per page
Select all
Export citation of selected articles as:
29 pages, 1654 KB  
Review
Reviewing the Implication of Aldehyde Dehydrogenases in Male Reproduction: Prospects for New Therapeutic Approaches
by Foteini Gkaitatzi, Ilias Tsochantaridis, Olga Pagonopoulou and Georgia-Persephoni Voulgaridou
Pharmaceuticals 2026, 19(4), 617; https://doi.org/10.3390/ph19040617 - 14 Apr 2026
Viewed by 50
Abstract
The World Health Organization (WHO) defines infertility as the inability of a couple to conceive after at least 12 months of regular, unprotected sexual intercourse. The male factor appears to be contributing, solely or in combination with other causes, to approximately 50% of [...] Read more.
The World Health Organization (WHO) defines infertility as the inability of a couple to conceive after at least 12 months of regular, unprotected sexual intercourse. The male factor appears to be contributing, solely or in combination with other causes, to approximately 50% of all infertility cases. Several etiological factors of male infertility have been identified; however, the exact molecular mechanisms underlying sperm dysfunction are not yet fully understood. Aldehyde dehydrogenases (ALDHs) are multifaceted metabolic enzymes that catalyze the detoxification of several aldehydes, thus acting as antioxidants, while they regulate additional homeostatic functions by contributing to retinoic acid (RA) synthesis. Consequently, they have been identified as crucial factors in various pathogenetic mechanisms. ALDHs hold physiological roles in the testis through supporting the Sertoli cell function, the steroidogenesis in Leydig cells, and the maintenance of sperm integrity. Current evidence supports that dysregulation of specific ALDHs isoforms could be associated with disrupted testicular cell function, including oxidative imbalance and altered RA synthesis. These irregularities could interfere with germ cell development and, subsequently, contribute to decline in reproductive function. In this paper, we are reviewing the role of ALDHs in male reproduction and how their dysregulation could be implicated in male infertility. Unraveling the mechanisms underlying the association of ALDHs with male reproductive function could hold clinical interest regarding the development of novel approaches for enhancing male fertility. Full article
(This article belongs to the Special Issue Therapeutic Potential of Aldehyde Dehydrogenases)
Show Figures

Figure 1

16 pages, 2089 KB  
Article
The Activation of Aldehyde Dehydrogenase 2 (ALDH2) by Alda-1 and Flurbiprofen as a Common Mechanism to Reduce Alcohol Intake in Rats
by Juan Manuel Torres, Carolina Ponce, Vicente Pérez, Ignacio Gutiérrez-Vega, María Elena Quintanilla, David Vásquez and Mario Rivera-Meza
Int. J. Mol. Sci. 2026, 27(7), 3248; https://doi.org/10.3390/ijms27073248 - 3 Apr 2026
Viewed by 489
Abstract
Excessive alcohol consumption causes millions of deaths annually, yet current pharmacological treatments for alcohol use disorders show limited efficacy and poor adherence, creating an urgent need for new therapeutic alternatives. Aldehyde dehydrogenase 2 (ALDH2) metabolizes acetaldehyde, a key mediator of the rewarding effects [...] Read more.
Excessive alcohol consumption causes millions of deaths annually, yet current pharmacological treatments for alcohol use disorders show limited efficacy and poor adherence, creating an urgent need for new therapeutic alternatives. Aldehyde dehydrogenase 2 (ALDH2) metabolizes acetaldehyde, a key mediator of the rewarding effects of alcohol in the brain, making ALDH2 activation a promising therapeutic target. This study investigated whether flurbiprofen, an FDA-approved nonsteroidal anti-inflammatory drug that activates ALDH2, reduces alcohol intake compared to the experimental ALDH2 activator Alda-1 and the structurally similar NSAID ibuprofen. Male alcohol-preferring UChB rats received oral flurbiprofen (2.5–10 mg/kg), Alda-1 (5 mg/kg), or ibuprofen (5 mg/kg) during acquisition and chronic phases of voluntary alcohol consumption under a two-bottle free-choice paradigm. Both flurbiprofen and Alda-1 reduced alcohol intake by approximately 60% and similarly increased ALDH2 activity 3–4-fold in brain and liver tissues. Ibuprofen showed modest effects (25% alcohol intake reduction). In vitro assays confirmed that flurbiprofen and Alda-1, but not ibuprofen, activated ALDH2 in PC-12 cells. Enzymatic assays and molecular docking revealed that Alda-1 lacks cyclooxygenase-inhibitory activity, unlike flurbiprofen, suggesting that ALDH2 activation is the primary mechanism underlying reduced alcohol consumption. These findings identify flurbiprofen as a clinically available ALDH2 activator with significant translational potential for treating alcohol use disorders. Full article
Show Figures

Graphical abstract

17 pages, 9122 KB  
Article
Amino Acid Metabolism and Its Molecular Regulation in Oat Seedlings Under Sodium Selenite Treatment
by Jianxia Ma, Guigong Geng, Huichun Xie, Yujun Wu, Xiaozhuo Wu and Feng Qiao
Agriculture 2026, 16(7), 772; https://doi.org/10.3390/agriculture16070772 - 31 Mar 2026
Viewed by 241
Abstract
Selenium (Se) influences plant growth, yet its molecular regulation of amino acid metabolism in oat seedlings remains unclear. Through transcriptomic and metabolomic analyses, this study identified three major affected pathways: tryptophan metabolism (16 differentially expressed genes [DEGs], 13 differentially expressed metabolites [DEMs]), glycine, [...] Read more.
Selenium (Se) influences plant growth, yet its molecular regulation of amino acid metabolism in oat seedlings remains unclear. Through transcriptomic and metabolomic analyses, this study identified three major affected pathways: tryptophan metabolism (16 differentially expressed genes [DEGs], 13 differentially expressed metabolites [DEMs]), glycine, serine, and threonine metabolism (19 DEGs, 10 DEMs), and arginine and proline metabolism (24 DEGs, 13 DEMs). The T0.02 treatment (0.02 g/kg Na2SeO3) precisely regulates metabolism by selectively upregulating dimethylglycine in the glycine, serine, and threonine pathway and activating key genes (PRODH2, amiE2, AMD2) in the arginine–proline pathway, thereby promoting the growth of oat seedlings. The T0.1 treatment (0.1 g/kg Na2SeO3), promoted the accumulation of glycerate and threonine by upregulating the expression of two key genes (HPR3, ItaE1) related to glycine, serine, and threonine metabolism. Simultaneously, it enhanced the accumulation of L-ornithine, putrescine, 4-guanidinobutyric acid, and γ-aminobutyric acid through the upregulation of four key genes (ARG, ODC1, amiE1, and ALDH3) associated with arginine and proline metabolism. Additionally, the upregulation of key genes (ALDH2, 5-HTP) involved in tryptophan metabolism facilitated the accumulation of 5-methoxyindoleacetic acid and serotonin. This study primarily reveals the accumulation patterns of amino acid metabolites in oat seedlings subjected to selenium treatment and identifies key genes and metabolic pathways involved in the molecular response process. Furthermore, the research preliminarily elucidates potential regulatory nodes through which selenium treatment enhances amino acid accumulation, providing significant insights for understanding the comprehensive effects of selenium treatment on the stress resistance mechanisms of oat seedlings. Full article
(This article belongs to the Section Crop Genetics, Genomics and Breeding)
Show Figures

Figure 1

23 pages, 3152 KB  
Article
In Vitro Cytotoxic Activity of Coleus hadiensis Methanolic Extract: Metabolic and Transcriptomic Effects in Lung Cancer Cell Line
by Ana L. Valdez-Arellanes, Mónica A. Ramírez-Cabrera, Eder U. Arredondo-Espinoza, Emanuel Hernández-Núñez, Monica N. Sanchez-González, Isaias Balderas-Rentería and Karla Ramirez-Estrada
Molecules 2026, 31(7), 1074; https://doi.org/10.3390/molecules31071074 - 25 Mar 2026
Viewed by 393
Abstract
Cancer cells resort to metabolic reprogramming to sustain proliferation. Lung cancer has one of the highest mortality rates of all types of cancer. An important factor in its high mortality rate is its tumors’ ability to undergo significant metabolic reprogramming. Phytochemicals can counteract [...] Read more.
Cancer cells resort to metabolic reprogramming to sustain proliferation. Lung cancer has one of the highest mortality rates of all types of cancer. An important factor in its high mortality rate is its tumors’ ability to undergo significant metabolic reprogramming. Phytochemicals can counteract this altered metabolism and exhibit anticancer properties. Coleus hadiensis, a plant used in traditional medicine, has shown such potential. This study evaluated the in vitro cytotoxic activity of its methanolic extract and its effects on the metabolism of HTB-177 lung cancer cells. Qualitative and quantitative phytochemical analysis of this extract was performed to characterize its main constituents. Lung cancer cells were treated with different extract concentrations to evaluate their response to the extract. Cytotoxicity was determined using an MTT assay, and metabolites were analyzed through 1H-NMR spectroscopy combined with multivariate statistical analysis. Transcriptomic profiling was also conducted to assess gene expression changes in metabolic pathways. Three main phenolic compounds were identified in the extract. The HPLC profile revealed peaks corresponding to gallic acid (GA), ferulic acid (FA), and rosmarinic acid (RA). The extract exhibited cytotoxic activity with an IC50 of 192.85 µg/mL. Metabolic alterations were observed mainly in glycolysis, the Krebs cycle, and lipid metabolism—key pathways for tumor growth. Transcriptomic data revealed altered metabolism-related genes. The upregulation of ME1 correlated with the observed increase in pyruvate levels, while the downregulation of ALDH7A1 and ASRGL1 was linked to altered amino acid catabolism. Furthermore, transcriptomic data revealed the upregulation of the pro-apoptotic gene HRK. These results indicate that the methanolic extract of C. hadiensis possesses cytotoxic activity against lung cancer cells by modulating central metabolic routes and gene expression linked to cancer cell survival and proliferation. Full article
Show Figures

Figure 1

14 pages, 2437 KB  
Article
NRF2 Drives Aggressiveness and Chemoresistance in Ovarian Cancer Stem-like Cells
by Yu-Hsun Chang, Kai-Hung Wang and Dah-Ching Ding
Int. J. Mol. Sci. 2026, 27(6), 2820; https://doi.org/10.3390/ijms27062820 - 20 Mar 2026
Viewed by 346
Abstract
Advanced-stage ovarian cancer remains a major clinical challenge because of its aggressive behavior and the frequent development of chemoresistance. The nuclear factor erythroid-derived 2–like 2 (NRF2) signaling pathway regulates cellular redox homeostasis. However, its role in ovarian cancer stem-like cells remains unclear. Therefore, [...] Read more.
Advanced-stage ovarian cancer remains a major clinical challenge because of its aggressive behavior and the frequent development of chemoresistance. The nuclear factor erythroid-derived 2–like 2 (NRF2) signaling pathway regulates cellular redox homeostasis. However, its role in ovarian cancer stem-like cells remains unclear. Therefore, we aimed to investigate the effects of NRF2 overexpression on acetaldehyde dehydrogenase (ALDH)+ KURAMOCHI ovarian cancer cells in vitro and in vivo. In particular, we investigated the effects of NRF2 on tumor-associated behaviors, chemoresistance, and signaling pathways. Lentivirus-mediated NRF2 overexpression activated extracellular signal-regulated kinase and AKT signaling. Moreover, it modulated tumor-associated phenotypes, including proliferation, migration, and invasion. NRF2-overexpressing cells exhibited significantly enhanced migratory and invasive capacities, increased resistance to paclitaxel and carboplatin, and reduced apoptosis. Furthermore, the expression of anti-apoptotic proteins was upregulated, and caspase-3 activation was attenuated. In xenograft models, NRF2 overexpression promoted tumor growth and increased the expression of antioxidant and angiogenic factors, including heme oxygenase-1 and vascular endothelial growth factor A. Collectively, these findings demonstrate that NRF2 regulates ovarian cancer aggressiveness and chemoresistance by coordinating stress response signaling, survival pathways, and tumor progression. Therefore, targeting NRF2-mediated signaling represents a promising therapeutic strategy for overcoming drug resistance and improving outcomes in patients with ovarian cancer. Full article
Show Figures

Figure 1

15 pages, 2832 KB  
Review
Glycation of Salivary Aldehyde Dehydrogenase: Emerging Molecular Mechanisms and Clinical Implications in Oral Disease
by Masood Alam Khan and Hina Younus
Life 2026, 16(3), 463; https://doi.org/10.3390/life16030463 - 12 Mar 2026
Viewed by 398
Abstract
Salivary aldehyde dehydrogenases (ALDHs), particularly ALDH3A1 and ALDH1A1, serve as frontline enzymatic defenses in the oral cavity, detoxifying reactive aldehydes generated through metabolic activity, microbial fermentation, and environmental exposures. These enzymes are essential for maintaining redox homeostasis, mucosal integrity, and immune modulation. However, [...] Read more.
Salivary aldehyde dehydrogenases (ALDHs), particularly ALDH3A1 and ALDH1A1, serve as frontline enzymatic defenses in the oral cavity, detoxifying reactive aldehydes generated through metabolic activity, microbial fermentation, and environmental exposures. These enzymes are essential for maintaining redox homeostasis, mucosal integrity, and immune modulation. However, under chronic metabolic stress, such as in diabetes, oral inflammation, and cancer, salivary ALDHs become vulnerable to non-enzymatic glycation by reactive carbonyl species like methylglyoxal. This modification impairs cofactor binding, catalytic activity, and structural stability, thereby compromising detoxification capacity at a time of heightened aldehyde burden. This review provides the first insights into ALDH glycation and particularly that of salivary ALDH, examining its structural mechanisms, disease-specific consequences, and emerging protective strategies. Special focus is given to natural compounds, including curcumin, thymoquinone, resveratrol, carnosine, and EGCG, that prevent glycation or restore ALDH function via carbonyl scavenging, antioxidant activation, and NAD+/SIRT1 pathway modulation. We also highlight critical research gaps, such as the absence of site-specific glycation maps, lack of salivary gland-based models, and limited availability of ALDH3A1-specific activators. Importantly, we propose that the glycation status of salivary ALDHs may serve as a non-invasive biomarker of oxidative stress and therapeutic response in metabolic and inflammatory disorders. By bridging biochemical insights with translational potential, this review establishes ALDH glycation as a mechanistic and clinically actionable axis in oral and systemic health. Full article
(This article belongs to the Special Issue The Oral-Systemic Link in Chronic Mucosal Diseases)
Show Figures

Figure 1

24 pages, 4980 KB  
Article
Extracellular Vesicles from Bone Marrow Mesenchymal Stem Cells Modulate Proliferation, Migration, and Chemosensitivity in Ovarian Cancer Cells
by Yu-Hsun Chang, Kun-Chi Wu and Dah-Ching Ding
Int. J. Mol. Sci. 2026, 27(5), 2468; https://doi.org/10.3390/ijms27052468 - 7 Mar 2026
Viewed by 482
Abstract
Ovarian cancer is the most lethal gynecologic malignancy, with chemoresistance and recurrence driven by cancer stem cells (CSCs). Mesenchymal stem cell-derived extracellular vesicles (MSC-EVs) mediate tumor–stroma communication, but their role in ovarian cancer progression and therapy remains unclear. Here, we investigated bone marrow [...] Read more.
Ovarian cancer is the most lethal gynecologic malignancy, with chemoresistance and recurrence driven by cancer stem cells (CSCs). Mesenchymal stem cell-derived extracellular vesicles (MSC-EVs) mediate tumor–stroma communication, but their role in ovarian cancer progression and therapy remains unclear. Here, we investigated bone marrow (BM)-MSC-EVs, their effects on ovarian cancer cells, and the underlying molecular mechanisms. BM-MSCs were isolated, confirmed using flow cytometry and trilineage differentiation, and their EVs characterized using nanoparticle tracking analysis, transmission electron microscopy, and Western blotting. Kuramochi cells were treated with BM-MSC-EVs and assessed for proliferation, colony formation, migration, invasion, apoptosis, and chemosensitivity. Aldehyde dehydrogenase (ALDH+) Kuramochi cells, with or without EV exposure, were transplanted into non-obese diabetic severe combined immunodeficiency mice for xenograft studies, followed by histology, immunohistochemistry, Western blotting, and EV miRNA profiling. BM-MSC-EVs increased cancer cell proliferation but reduced colony formation, migration, and invasion in vitro. They sensitized ALDH+ CSC-like cells to carboplatin, while paclitaxel response remained unchanged. In vivo, EVs accelerated tumor growth and activated prosurvival (p-AKT, BCL-2), angiogenic (VEGFA, CD31), and epithelial–mesenchymal transition-associated (vimentin) pathways. EVs were found to be enriched in hsa-miR-100-5p, hsa-miR-122-5p, and hsa-let-7i-5p based on miRNA array analysis, and these findings were further validated by qRT-PCR. These findings reveal the dual roles of BM-MSC-EVs: enhancing carboplatin sensitivity while promoting tumor progression and angiogenesis. Full article
Show Figures

Figure 1

16 pages, 6426 KB  
Article
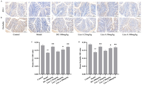
Protective Effects of Licochalcone A Against Alcoholic Liver Injury in Mice by Modulating the Gut–Liver Axis and TLR4/NF-κB Pathway
by Yue Yuan, Chenyang Li, Aididar Toliken, Yan Chen, Yuhan Yao and Jun Zhao
Foods 2026, 15(5), 915; https://doi.org/10.3390/foods15050915 - 6 Mar 2026
Cited by 1 | Viewed by 416
Abstract
This study intended to elucidate the preventive effects of Licochalcone A (Lico A, a flavonoid from Glycyrrhiza inflata) on acute alcoholic liver injury (AALI) in mice and its mechanisms. Lico A (50, 100 mg/kg) markedly decreased the serum ALT, AST, and ALP [...] Read more.
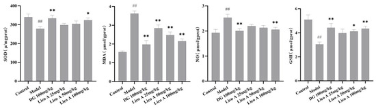
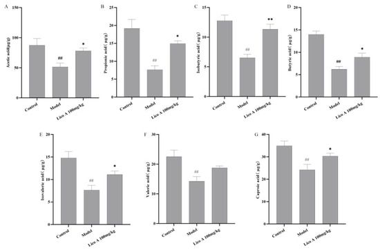
This study intended to elucidate the preventive effects of Licochalcone A (Lico A, a flavonoid from Glycyrrhiza inflata) on acute alcoholic liver injury (AALI) in mice and its mechanisms. Lico A (50, 100 mg/kg) markedly decreased the serum ALT, AST, and ALP levels (p < 0.05) and elevated the ALB and TP levels in AALI mice (p < 0.05). Lico A (100 mg/kg) markedly reduced the hepatic levels of MDA, NO, TNF-α, IL-1β, and IL-6 in AALI mice (p < 0.05), while elevating SOD, GSH, ADH, and ALDH activities (p < 0.05). Furthermore, Lico A (100 mg/kg) downregulated TLR4, MyD88, IKKβ, p-IκBα/IκBα, and p-NF-κB p65/NF-κB p65 levels in the liver tissue of AALI mice (p < 0.05) and diminished the serum LPS and DAO contents (p < 0.05). Lico A (50, 100 mg/kg) upregulated the expression of the intestinal tissue ZO-1 and Occludin in AALI mice. Pathological observation also showed that Lico A significantly improved the liver tissue and intestinal mucosa tissue damage caused by alcohol. Additionally, Lico A altered gut microbiota composition, accompanied by increased concentrations of fecal short-chain fatty acids (SCFAs), which restored microbial diversity and elevated the relative abundance of Actinomycetota, Bacteroidota, Bacillota_A_368345, Limosilactobacillus, Lactobacillus, and Bifidobacterium_388775. These results indicated that Lico A had better hepatoprotective effects on AALI, and its mechanisms may involve modulation of the gut–liver axis and the TLR4/NF-κB signaling pathway. Full article
Show Figures

Graphical abstract

23 pages, 6724 KB  
Article
Apigenin Inhibits the Growth of Esophageal Squamous Cell Carcinoma (ESCC) Cells by Harnessing the Expression of MicroRNAs
by Nouman Amjad, Muhammad Majid, Zhaojian Sun, Rajesh Basnet, Kashaf Rasool, Linping Wu and Zhiyuan Li
Biomolecules 2026, 16(3), 366; https://doi.org/10.3390/biom16030366 - 28 Feb 2026
Viewed by 468
Abstract
Apigenin, a naturally occurring flavonoid with low toxicity, exhibits anticancer activity, yet its effects on microRNAs (miRNAs) and downstream gene networks in esophageal squamous cell carcinoma (ESCC) remain unclear. Here, we evaluated apigenin’s antitumor effects in TE-1 and Eca-109 cells, assessing proliferation, apoptosis, [...] Read more.
Apigenin, a naturally occurring flavonoid with low toxicity, exhibits anticancer activity, yet its effects on microRNAs (miRNAs) and downstream gene networks in esophageal squamous cell carcinoma (ESCC) remain unclear. Here, we evaluated apigenin’s antitumor effects in TE-1 and Eca-109 cells, assessing proliferation, apoptosis, colony formation, and invasion. Differentially expressed miRNAs were identified via small RNA sequencing, and candidate target genes were predicted, annotated using GO and KEGG analyses, and validated by qRT-PCR, revealing miRNA-mediated regulatory mechanisms underlying apigenin’s inhibitory effects in ESCC. Apigenin markedly suppressed cell proliferation, clonogenic growth, wound closure, and invasive capacity, while promoting apoptosis in a dose-dependent manner. In TE-1 cells, apigenin upregulated hsa-let-7c-3p, hsa-miR-374c-3p, hsa-miR-3177-3p hsa-miR-4454, and hsa-miR-4728-3p, while downregulating hsa-miR-573, hsa-miR-548az-5p, hsa-miR-33b-5p, hsa-miR-4479, and hsa-miR-3198. Correspondingly, tumor-associated target genes including ALDH3A2, SEMA3F, MAP4K5, and TRIP13 were upregulated, whereas PIK3IP1, AGO2, MMP2, and RALBP1 were suppressed. In Eca-109 cells, apigenin altered the expression of distinct miRNAs, including the upregulation of hsa-miR-891-5p, hsa-miR-3170, hsa-miR-4421, and hsa-miR-675-5p and the downregulation of hsa-miR-153, hsa-miR-3188, and hsa-miR-4435, thereby modulating key oncogenic targets such as MAPK1, SALL4, and COX15. Functional enrichment analyses indicated that apigenin-regulated genes are involved in multiple cancer-related pathways across cytoplasmic and nuclear compartments. Overall, these results suggest that apigenin suppresses ESCC progression via coordinated miRNA–mRNA regulation, highlighting its potential as a therapeutic agent. Full article
(This article belongs to the Section Natural and Bio-derived Molecules)
Show Figures

Figure 1

15 pages, 2204 KB  
Article
Metabolic Detoxification of Glucose and 4-Hydroxynonenal in Human Neuroblastoma Cell Models
by Martina Avanatti, Gemma Sardelli, Rossella Mosca, Francesco Balestri, Giovanni Signore, Francesca Felice, Antonella Del Corso and Roberta Moschini
Antioxidants 2026, 15(3), 298; https://doi.org/10.3390/antiox15030298 - 27 Feb 2026
Viewed by 494
Abstract
Background: Neuroblastoma (NB) progression is influenced by metabolic and redox adaptations. The polyol pathway, driven by aldose reductase (AKR1B1) and sorbitol dehydrogenase (SORD), is activated in hyperglycemic conditions, while detoxification of lipid peroxidation products such as 4-hydroxynonenal (4-HNE) involves carbonyl reductase 1 (CBR1) [...] Read more.
Background: Neuroblastoma (NB) progression is influenced by metabolic and redox adaptations. The polyol pathway, driven by aldose reductase (AKR1B1) and sorbitol dehydrogenase (SORD), is activated in hyperglycemic conditions, while detoxification of lipid peroxidation products such as 4-hydroxynonenal (4-HNE) involves carbonyl reductase 1 (CBR1) and AKR1B1. A systematic characterization of these enzymes under distinct metabolic and oxidative challenges in NB is currently lacking. Methods: Human neuroblastoma LAN-5 and SH-SY5Y cells were exposed to hyperglycemic medium to assess polyol pathway regulation, and to exogenous 4-HNE to model aldehyde-induced oxidative stress. Protein expression and enzyme activities were quantified. Cells were treated with Sorbinil or rutin during stress exposure, and viability was analyzed in 2D and 3D models. Results: Hyperglycemia increased AKR1B1 activity and sorbitol accumulation, indicating polyol pathway activation in NB cells. Both NB cell lines displayed an incomplete HNE-detoxifying enzyme profile, with absence of ALDH1A1 and AKR1C3 expression. Exposure to 4-HNE reduced NB cell viability both in 2D and 3D models. Pharmacological inhibition of AKR1B1, but not of CBR1, exacerbated 4-HNE-mediated cytotoxicity. Conclusions: While hyperglycemia stimulates the polyol pathway, aldehyde detoxification by AKR1B1 supports resistance to 4-HNE toxicity, demonstrating that AKR1B1 activity is essential to counteract HNE toxicity, and its impairment may increase the susceptibility of NB cells to oxidative damage. Full article
(This article belongs to the Section Health Outcomes of Antioxidants and Oxidative Stress)
Show Figures

Figure 1

15 pages, 4315 KB  
Review
Disulfiram and Its Derivatives: An Immortal Phoenix of Drug Repurposing
by Ziad Omran and Omeima Abdullah
Pharmaceuticals 2026, 19(2), 200; https://doi.org/10.3390/ph19020200 - 24 Jan 2026
Viewed by 954
Abstract
Disulfiram (DSF) is a well-established inhibitor of aldehyde dehydrogenases (ALDHs) and an FDA-approved drug for chronic alcoholism. DSF has gained attention as a versatile scaffold for drug repurposing. Its metabolite, diethyldithiocarbamate (DDTC), mediates multiple biological effects via metal chelation and covalent modification of [...] Read more.
Disulfiram (DSF) is a well-established inhibitor of aldehyde dehydrogenases (ALDHs) and an FDA-approved drug for chronic alcoholism. DSF has gained attention as a versatile scaffold for drug repurposing. Its metabolite, diethyldithiocarbamate (DDTC), mediates multiple biological effects via metal chelation and covalent modification of key cysteine residues. Beyond its established anticancer properties, DSF modulates cancer stem cells, reactive oxygen species, proteasome function, and drug-resistance pathways. It also shows promise in metabolic disorders, including type 2 diabetes and obesity, by targeting enzymes such as fructose-1,6-bisphosphatase and α-glucosidase, and influences energy expenditure and autophagy. DSF exhibits antimicrobial and antiparasitic activity, enhances antibiotic efficacy against multidrug-resistant bacteria, and demonstrates antischistosomal and anti-Trichomonas effects, while also providing radioprotective benefits. The clinical translation of DSF is limited by poor solubility, rapid metabolism, and off-target effects; consequently, the development of DSF analogs has become a major focus. Structural optimization has yielded derivatives with improved selectivity, stability, solubility, and target specificity, enabling precise modulation of key enzymes while reducing adverse effects. A key structure-based strategy involves introducing bulkier substituents to exploit differences in ALDH active-site architecture and achieve target selectivity. This concept is exemplified by compounds (1) and (2), in which bulky substituents confer selective inhibition of ALDH1A1 while sparing ALDH2. This review provides a comprehensive overview of DSF analogs, their molecular mechanisms, and therapeutic potential, highlighting their promise as multifunctional agents for cancer, metabolic disorders, infectious diseases, and radioprotection. Full article
(This article belongs to the Special Issue Sulfur-Containing Scaffolds in Medicinal Chemistry)
Show Figures

Figure 1

48 pages, 2220 KB  
Review
Targeting Cancer Stem Cells with Phytochemicals: Molecular Mechanisms and Therapeutic Potential
by Ashok Kumar Sah, Joy Das, Abdulkhakov Ikhtiyor Umarovich, Shagun Agarwal, Pranav Kumar Prabhakar, Ankur Vashishtha, Rabab H. Elshaikh, Ranjay Kumar Choudhary and Ayman Hussein Alfeel
Biomedicines 2026, 14(1), 215; https://doi.org/10.3390/biomedicines14010215 - 19 Jan 2026
Cited by 2 | Viewed by 1576
Abstract
Cancer stem cells (CSCs) represent a small but highly resilient tumor subpopulation responsible for sustained growth, metastasis, therapeutic resistance, and recurrence. Their survival is supported by aberrant activation of developmental and inflammatory pathways, including Wnt/β-catenin, Notch, Hedgehog, PI3K/Akt/mTOR, STAT3, and NF-κB, as well [...] Read more.
Cancer stem cells (CSCs) represent a small but highly resilient tumor subpopulation responsible for sustained growth, metastasis, therapeutic resistance, and recurrence. Their survival is supported by aberrant activation of developmental and inflammatory pathways, including Wnt/β-catenin, Notch, Hedgehog, PI3K/Akt/mTOR, STAT3, and NF-κB, as well as epithelial–mesenchymal transition (EMT) programs and niche-driven cues. Increasing evidence shows that phytochemicals, naturally occurring bioactive compounds from medicinal plants, can disrupt these networks through multi-targeted mechanisms. This review synthesizes current findings on prominent phytochemicals such as curcumin, sulforaphane, resveratrol, EGCG, genistein, quercetin, parthenolide, berberine, and withaferin A. Collectively, these compounds suppress CSC self-renewal, reduce sphere-forming capacity, diminish ALDH+ and CD44+/CD24 fractions, reverse EMT features, and interfere with key transcriptional regulators that maintain stemness. Many phytochemicals also sensitize CSCs to chemotherapeutic agents by downregulating drug-efflux transporters (e.g., ABCB1, ABCG2) and lowering survival thresholds, resulting in enhanced apoptosis and reduced tumor-initiating potential. This review further highlights the translational challenges associated with poor solubility, rapid metabolism, and limited bioavailability of free phytochemicals. Emerging nanotechnology-based delivery systems, including polymeric nanoparticles, lipid carriers, hybrid nanocapsules, and ligand-targeted formulations, show promise in improving stability, tumor accumulation, and CSC-specific targeting. These nanoformulations consistently enhance intracellular uptake and amplify anti-CSC effects in preclinical models. Overall, the consolidated evidence supports phytochemicals as potent modulators of CSC biology and underscores the need for optimized delivery strategies and evidence-based combination regimens to achieve meaningful clinical benefit. Full article
(This article belongs to the Section Cancer Biology and Oncology)
Show Figures

Graphical abstract

25 pages, 7655 KB  
Article
Pancreatic Cancer Stem Cells Co-Expressing SOX2, OCT4, and TERThigh Represent an Aggressive Subpopulation
by Erika Curiel-Gomez, Damaris P. Romero-Rodriguez, Mauricio Rodriguez-Dorantes, Vilma Maldonado and Jorge Melendez-Zajgla
Cells 2026, 15(2), 129; https://doi.org/10.3390/cells15020129 - 11 Jan 2026
Cited by 1 | Viewed by 876
Abstract
The aggressiveness of pancreatic ductal adenocarcinoma (PDAC) has been linked to cancer stem cells (CSCs) and telomerase activity; however, the mechanism underlying this association remains unclear. In this study, we engineered dual transcriptional reporters (SORE6-GFP and TERT-BFP) to isolate SOX2+OCT4+ [...] Read more.
The aggressiveness of pancreatic ductal adenocarcinoma (PDAC) has been linked to cancer stem cells (CSCs) and telomerase activity; however, the mechanism underlying this association remains unclear. In this study, we engineered dual transcriptional reporters (SORE6-GFP and TERT-BFP) to isolate SOX2+OCT4+TERThigh subpopulations from AsPC-1 and BxPC-3 cells. We combined Fluorescence-Activated Cell Sorting with functional assays, RNA-seq, and network analysis. Clinically, tumors co-expressing high SOX2/OCT4/TERT levels were associated with reduced overall survival, whereas single-gene elevations were not prognostic. We identified a minority SOX2+OCT4+TERThigh fraction (~9%) enriched for pluripotency transcripts (SOX2, OCT4, NANOG, and ALDH1A1), which exhibited the highest proliferative, migratory, and invasive capacities. Transcriptomic profiling of SOX2+OCT4+TERThigh cells showed enrichment of KRAS, telomere maintenance, epithelial–mesenchymal transition, and developmental pathways (WNT and Hedgehog). Connectivity profiling highlighted actionable vulnerabilities, including NF-κB, WNT, and telomerase inhibition pathways. Together, these data define an aggressive telomerase-engaged, pluripotency-driven CSC-like state in PDAC and suggest testable therapeutic strategies that target TERThigh dependencies. Full article
(This article belongs to the Special Issue Signal Transduction and Targeted Therapy for Tumors)
Show Figures

Figure 1

20 pages, 1019 KB  
Article
A Novel ALDH2 Inhibitor for the Treatment of Alcohol Use Disorder: Preclinical Findings
by Randall D. Marshall, Andrew Fowlie and Adam Sabouni
Cells 2026, 15(2), 123; https://doi.org/10.3390/cells15020123 - 9 Jan 2026
Viewed by 1067
Abstract
Background: Alcohol use disorder is a common condition with high morbidity and mortality and no highly effective treatments. Achieving and maintaining abstinence is necessary or desired for many persons with AUD, but is difficult due to the nature of the condition. Pharmacologic inhibition [...] Read more.
Background: Alcohol use disorder is a common condition with high morbidity and mortality and no highly effective treatments. Achieving and maintaining abstinence is necessary or desired for many persons with AUD, but is difficult due to the nature of the condition. Pharmacologic inhibition of the enzyme ALDH2, which increases levels of the substrate acetaldehyde when alcohol is imbibed, can serve as a powerful enforcer of efforts to remain abstinent. Disulfiram is an approved ALDH2 inhibitor via its active metabolite DETC-MeSO, but has many limitations, including numerous adverse effects, hepatotoxicity, oral administration, and unpredictable mechanistic activity. Methods: SOPH-110S, an analog of DETC-MeSO, was evaluated in a series of experiments to assess mechanism, pharmacokinetics in male beagle dogs, cardiovascular safety in telemeterized male beagle dogs, selectivity, off-target activity, CYP inhibition, and proof of mechanism in a rat model that included dosing and alcohol challenge followed by analysis of liver ALDH2 inhibition. Results: SOPH-110S showed high potency with a comparable IC50 vs. positive controls and no physiologically relevant off-target binding in an 84-target panel. It did not inhibit or induce any major CYP enzymes or meaningfully inhibit the hERG channel. After 10 days’ dosing in rats, followed by administration of alcohol, SOPH-110S was a highly potent, dose-dependent inhibitor of ALDH2, comparable to DETC-MeSO. No cardiovascular safety concerns were found at multiples above expected clinical doses. Conclusions: The preclinical data support further clinical study of SOPH-110S as a potential ALDH2 inhibitor treatment for AUD. The FDA approved the IND to conduct a first-in-man phase 1 study in September 2025. Full article
(This article belongs to the Special Issue Biological Mechanisms in the Treatment of Neuropsychiatric Diseases)
Show Figures

Figure 1

16 pages, 3143 KB  
Article
Aldehyde Dehydrogenase in Sesquiterpenoid Hormone Pathway of Slugs Can Be Potential Target for Slug Control
by Haiyao Ma, Yingying Liu, Zesheng Hao, Bo Pang, Zhongping Jiang and Zhenpeng Kai
Agriculture 2026, 16(2), 173; https://doi.org/10.3390/agriculture16020173 - 9 Jan 2026
Viewed by 434
Abstract
Slugs are significant agricultural pests and act as vectors for zoonotic parasites. However, current molluscicide options are limited and associated with substantial environmental risks. This study investigates the role of aldehyde dehydrogenase (ALDH) in the biosynthesis of farnesoic acid (FA), a key intermediate [...] Read more.
Slugs are significant agricultural pests and act as vectors for zoonotic parasites. However, current molluscicide options are limited and associated with substantial environmental risks. This study investigates the role of aldehyde dehydrogenase (ALDH) in the biosynthesis of farnesoic acid (FA), a key intermediate in the sesquiterpenoid hormone pathway, in two slug species: Philomycus bilineatus and Laevicaulis alte. Transcriptomic analysis revealed that both species possess conserved sesquiterpenoid biosynthetic pathways, yet they exhibit distinct levels of ALDH gene expression and differences in FA content. RNA interference (RNAi)-mediated gene silencing was employed to validate the potential of these candidate genes as targets for molluscicide development. Structural modeling of ALDH proteins using AlphaFold2 demonstrated notable divergence in the architecture of their active sites, suggesting species-specific enzymatic properties. Citral, a known inhibitor of ALDH, significantly reduced FA production in vivo and exhibited contact toxicity against both slug species. The lethal concentration 50 (LC50) values were determined to be 378.2 g/L for P. bilineatus and 85.2 g/L for L. alte, respectively. Molecular docking analyses indicated that citral binds within the conserved substrate-binding tunnel of ALDH, potentially inhibiting the oxidation of farnesal. These findings establish ALDH as a critical enzymatic target for disrupting endogenous hormone biosynthesis in slugs and support the development of novel, eco-friendly molluscicides targeting the sesquiterpenoid pathway. Full article
(This article belongs to the Section Crop Protection, Diseases, Pests and Weeds)
Show Figures

Figure 1

Back to TopTop