Sign in to use this feature.

Years

Between: -

Subjects

remove_circle_outline
remove_circle_outline
remove_circle_outline
remove_circle_outline
remove_circle_outline
remove_circle_outline
remove_circle_outline
remove_circle_outline
remove_circle_outline

Journals

remove_circle_outline
remove_circle_outline
remove_circle_outline
remove_circle_outline
remove_circle_outline
remove_circle_outline
remove_circle_outline
remove_circle_outline
remove_circle_outline
remove_circle_outline
remove_circle_outline

Article Types

Countries / Regions

remove_circle_outline
remove_circle_outline
remove_circle_outline
remove_circle_outline
remove_circle_outline
remove_circle_outline
remove_circle_outline

Search Results (1,119)

Search Parameters:
Keywords = AC modulation

Order results
Result details
Results per page
Select all
Export citation of selected articles as:
24 pages, 2943 KB  
Article
Serum miR-34a as Indicator of Impaired Fibrinolytic Capacity in Pediatric Thrombosis Through Inadequate Regulation of the ACE/PAI-1 Axis
by Iphigenia Gintoni, Kleoniki Baldouni, Athina Dettoraki, Aikaterini Michalopoulou, Ioanna Papathanasiou, Aspasia Tsezou, Dimitrios Vlachakis, Helen Pergantou, George P. Chrousos and Christos Yapijakis
Int. J. Mol. Sci. 2025, 26(20), 10110; https://doi.org/10.3390/ijms262010110 - 17 Oct 2025
Abstract
Pediatric thrombosis (PT) represents a rare condition that can manifest from neonatal life to adolescence, encompassing life-threatening complications. Its pathogenesis is attributed to immature hemostasis in conjunction with environmental and genetic factors, predominantly including those resulting in increased levels of plasminogen activator inhibitor [...] Read more.
Pediatric thrombosis (PT) represents a rare condition that can manifest from neonatal life to adolescence, encompassing life-threatening complications. Its pathogenesis is attributed to immature hemostasis in conjunction with environmental and genetic factors, predominantly including those resulting in increased levels of plasminogen activator inhibitor 1 (PAI-1), the principal inhibitor of fibrinolysis, which is subject to upstream regulation by angiotensin-converting enzyme (ACE). Although the implication of microRNAs (miRNAs), epigenetic modulators of gene expression, has been demonstrated in adult thrombosis, evidence is lacking in the pediatric setting. Here, we investigated the involvement of two miRNA regulators of PAI-1 (SERPINE1 gene) in PT, in relation to clinical and genetic parameters that induce PAI-1 fluctuations. Following bioinformatic target-prediction, miRNA expression was assessed by quantitative real-time PCR in serum-samples of 19 pediatric patients with thrombosis (1–18 months post-incident), and 19 healthy controls. Patients were genotyped for the SERPINE1-4G/5G and ACE-I/D polymorphisms by PCR-based assays. Genotypic and thrombosis-related clinical data were analyzed in relation to miRNA-expression. Two miRNAs (miR-145-5p, miR-34a-5p) were identified to target SERPINE1 mRNA, with miR-34a additionally targeting the mRNA of ACE. The expression of miR-34a was significantly decreased in patients compared to controls (p = 0.029), while no difference was observed in miR-145 expression. Within patients, miR-34a expression demonstrated a peak 1–3 months post-thrombosis and was diminished upon treatment completion (p = 0.031), followed by a slight long-term increase. MiR-34a levels differed significantly by thrombosis site (p = 0.019), while a significant synergistic interaction between site and onset type (provoked/unprovoked) was detected (p = 0.016). Finally, an epistatic modification was observed in cerebral cases, since double homozygosity (4G/4G + D/D) led to a miR-34 decrease, with D/D carriership reversing the 4G/4G-induced upregulation of miR-34a (p = 0.006). Our findings suggest that in pediatric thrombosis, downregulation of miR-34a is indicative of impaired fibrinolytic capacity, attributed to deficient regulation of the inhibitory ACE/PAI-1 axis. Full article
(This article belongs to the Collection Feature Papers Collection in Biochemistry)
Show Figures

Figure 1

20 pages, 4057 KB  
Article
Interactive Effects of Vitamin A and All-Trans Retinoic Acid on Growth Performance, Intestinal Health, and Plasma Metabolomics of Broiler Chickens
by Shuangshuang Guo, Yushu Xiong, Lai He, Jiakun Yan, Peng Li, Changwu Li and Binying Ding
Animals 2025, 15(20), 3005; https://doi.org/10.3390/ani15203005 - 16 Oct 2025
Viewed by 79
Abstract
This study investigated the interactive effects of dietary vitamin A (VA) and all-trans retinoic acid (ATRA) on growth performance and intestinal health in broilers. A total of 432 one-day-old male Arbor Acres chicks were assigned to a 2 × 3 factorial design with [...] Read more.
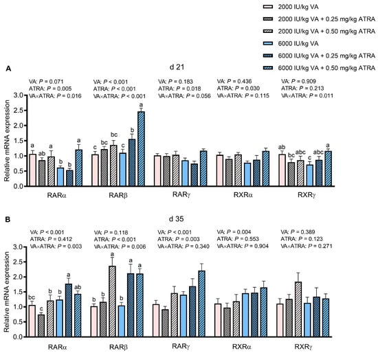
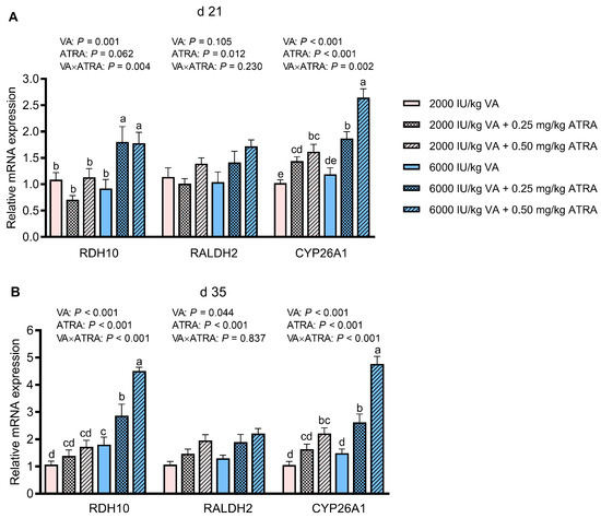
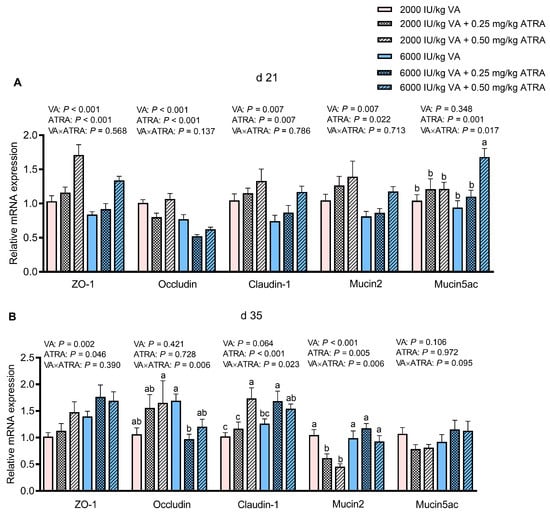
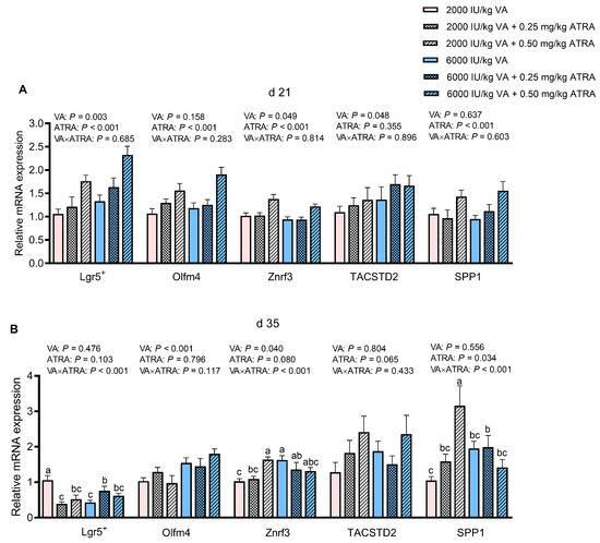
This study investigated the interactive effects of dietary vitamin A (VA) and all-trans retinoic acid (ATRA) on growth performance and intestinal health in broilers. A total of 432 one-day-old male Arbor Acres chicks were assigned to a 2 × 3 factorial design with two VA levels (2000 and 6000 IU/kg) and three ATRA levels (0, 0.25, and 0.50 mg/kg). The maize–soybean meal basal diet contained 180 IU/kg VA without extra VA supplementation. Results showed that compared with 0 mg/kg ATRA, 0.50 mg/kg ATRA enhanced average daily gain (ADG) during days 1–21 (p < 0.05). Compared with 2000 IU/kg VA, 6000 IU/kg VA improved body weight on day 35 as well as ADG and feed intake during days 22–35 and reduced feed conversion ratio over the entire trial (p < 0.05). There were VA × ATRA interactions for the ratio of villus height (VH) to crypt depth (CD) in duodenum as well as VH and CD in ileum on day 21 (p < 0.05). The 0.25 mg/kg ATRA decreased duodenal VH/CD and ileal VH in broilers fed 2000 and 6000 IU/kg VA, respectively (p < 0.05). The 0.50 mg/kg ATRA increased ileal VH in broilers fed both 2000 and 6000 IU/kg VA (p < 0.05). When birds were fed 6000 IU/kg VA, 0.50 mg/kg ATRA increased ileal CD compared with 0.25 mg/kg CD (p < 0.05). On day 35, compared with 0 mg/kg ATRA, 0.25 mg/kg ATRA increased ileal VH while 0.50 mg/kg ATRA decreased ileal CD, and both of them increased ileal VH/CD (p < 0.05). The VA × ATRA interactions for mRNA expression of jejunal Mucin5ac on day 21 and jejunal Occludin, Claudin-1, Mucin 2, leucine-rich-repeat-containing G-protein-coupled receptor 5+ (Lgr5+), zinc and ring finger 3 (Znrf3), and secreted phosphoprotein 1 (SPP1) on day 35 were detected (p < 0.05). Dietary 0.50 mg/kg ATRA up-regulated jejunal Mucin5ac expression in broilers fed 6000 IU/kg VA on day 21 as well as Claudin-1, Znrf3, and SPP1 expression broilers fed 2000 IU/kg VA on day 35 (p < 0.05). The 0.25 mg/kg ATRA down-regulated Occludin expression in broilers fed 6000 IU/kg VA on day 35 (p < 0.05). The 0.25 mg/kg ATRA decreased and increased Lgr5+ expression on day 35 in broilers fed 2000 and 6000 IU/kg VA, respectively (p < 0.05). Both 0.25 and 0.50 mg/kg ATRA down-regulated Mucin-2 expression in broilers fed 2000 IU/kg VA on day 35 (p < 0.05). The VA × ATRA interactions were observed for jejunal retinol dehydrogenase 10 (RDH10), cytochrome P450, family 26, subfamily A, polypeptide 1 (CYP26A1), retinoic acid receptor (RAR) α, and RARβ expression on days 21 and 35 (p < 0.05). Both 0.25 and 0.50 mg/kg up-regulated RDH10, CYP26A1, and RARβ expression in broilers fed 6000 IU/kg VA (p < 0.05). The RARα expression was up-regulated by 0.50 and 0.25 mg/kg ATRA on days 21 and 35, respectively (p < 0.05). Plasma metabolomics identified 269 VA- and 185 ATRA-associated differential metabolites, primarily enriched in lipid metabolism, vitamin digestion and absorption, and bacterial infection pathways. In conclusion, dietary 0.50 mg/kg ATRA and 6000 IU/kg VA enhanced growth performance, intestinal integrity, and VA metabolism, partly through activation of retinoic acid receptors and modulation of plasma lipid metabolism. Full article
(This article belongs to the Section Poultry)
Show Figures

Figure 1

20 pages, 4302 KB  
Article
Supplementation of Trimethylamine N-Oxide or Betaine in Semen Improves Quality of Boar Spermatozoa Stored at 17 °C Following Hydrostatic Pressure Stress
by Cheng Qin, Guangyuan Lu, Xiao Lin, Zhongkai Wang, Shiyu Yang, Liqiong Teng, Xin Lin, Fangfang Li, Shouping Huang and Chuanhuo Hu
Life 2025, 15(10), 1606; https://doi.org/10.3390/life15101606 - 15 Oct 2025
Viewed by 216
Abstract
HP, as an isotropic physical stress, has been widely applied in cell biology and reproductive research to simulate the effects of environmental pressure on cellular functions. In this study, the elastic silicone membrane of a novel bionic insemination catheter was employed as the [...] Read more.
HP, as an isotropic physical stress, has been widely applied in cell biology and reproductive research to simulate the effects of environmental pressure on cellular functions. In this study, the elastic silicone membrane of a novel bionic insemination catheter was employed as the pressure medium, with semen perfused into a sealed silicone chamber. As the silicone membrane underwent controlled deformation, the liquid inside the chamber generated a nearly uniform isotropic pressure, thereby maintaining spermatozoa in a stable HP environment. Boar sperm are susceptible to physiological and functional damage under HP stress, which can impair fertilization capacity. This study aimed to investigate the effects of TMAO, BET, or their combination on the quality of semen from eight Landrace boars under HP during storage at 17 °C (experiment repeated three times). Semen was collected using the manual collection method and treated with different concentrations of TMAO or BET. Sperm motility parameters were assessed using a CASA system to determine the optimal concentrations. Subsequently, experimental groups were established: the fresh group, HP control group, T group (optimal TMAO), B group (optimal BET), and H group (optimal TMAO + BET). The results showed that the optimal concentrations were 8 mmol/L for TMAO and 20 mmol/L for BET. Compared with the HP control group, the T, B, and H groups showed significantly improved sperm viability, mitochondrial membrane potential (MMP), and plasma membrane integrity (p < 0.05), and significantly reduced DFI, ROS, MDA, and NO contents (p < 0.05), while acrosome integrity showed no significant differences (p > 0.05). Additionally, the B group showed significantly increased T-AOC (p < 0.05). Non-targeted lipidomic analysis revealed 49 differential lipids in the T group, 262 in the B group, and 269 in the H group compared with the HP control. These differential lipids were mainly associated with PC, AcCa, and sphingolipid signaling pathways, with key sphingolipid pathway lipids including Cer, SM, and DG. These findings indicate that BET and TMAO + BET improve HP-induced sperm damage by modulating the sphingolipid signaling pathway and maintaining PC and AcCa levels, whereas TMAO alone may exert protective effects through additional mechanisms. In conclusion, TMAO, BET, or their combination effectively mitigates the detrimental effects of HP on boar sperm. Full article
(This article belongs to the Section Animal Science)
Show Figures

Figure 1

11 pages, 1495 KB  
Systematic Review
Unveiling Enhancer RNAs in Gliomas: A Systematic Review and Qualitative Synthesis
by Matteo Palermo, Giovanni Pennisi, Benedetta Burattini, Placido Bruzzaniti, Andrea Talacchi, Alessandro Olivi and Carmelo Lucio Sturiale
Cancers 2025, 17(20), 3326; https://doi.org/10.3390/cancers17203326 - 15 Oct 2025
Viewed by 158
Abstract
Background: Enhancer RNAs (eRNAs), a subclass of long non-coding RNAs transcribed from enhancer regions, have emerged as dynamic regulators of gene expression, tumor progression, and therapeutic response. In gliomas, their biological and clinical significance is only recently being elucidated. This systematic review aimed [...] Read more.
Background: Enhancer RNAs (eRNAs), a subclass of long non-coding RNAs transcribed from enhancer regions, have emerged as dynamic regulators of gene expression, tumor progression, and therapeutic response. In gliomas, their biological and clinical significance is only recently being elucidated. This systematic review aimed to synthesize current evidence regarding the role of eRNAs in gliomagenesis, chemoresistance, and prognosis. Methods: We conducted a systematic review following PRISMA 2020 guidelines. PubMed/MEDLINE and Scopus databases were searched on September 2025 using a predefined strategy. Eligible studies included clinical or pre-clinical analyses of eRNAs in gliomas, reporting associations with tumorigenicity, survival, or resistance to temozolomide (TMZ). Risk of bias was assessed using ROBINS-I (Version 2), and findings were qualitatively synthesized. Results: From 26 retrieved records, 10 studies were included, encompassing 22 unique eRNAs. Two studies demonstrated that TMZR1-eRNA and LINC02454* modulate TMZ sensitivity by regulating STAT3, SORBS2, and DDR1 pathways. Seven studies evaluated prognostic implications: 12 eRNAs (e.g., AC003092.1, CYP1B1-AS1, CRNDE) were consistently associated with poor survival, while seven (e.g., LINC00844, ENSR00000260547) correlated with favorable outcomes, particularly in low-grade gliomas. One mechanistic study showed that HOXDeRNA directly promotes gliomagenesis by displacing PRC2 repression at key transcription factor promoters and activating oncogenic super-enhancers. Conclusions: eRNAs are not passive transcriptional by-products but active modulators of glioma biology. They influence tumor initiation, therapeutic resistance, and survival outcomes, underscoring their potential as prognostic biomarkers and therapeutic targets. Future research should validate these findings in larger clinical cohorts and explore strategies for eRNA-directed therapies in precision neuro-oncology. Full article
Show Figures

Figure 1

28 pages, 7870 KB  
Article
Effect of Different Configurations on Operating Characteristics of Rear Variable Area Bypass Injector for Adaptive Cycle Engine
by Weitao Liu, Wangzhi Zou, Baotong Wang, Weihan Kong, Jun Lai, Lei Jin and Xinqian Zheng
Aerospace 2025, 12(10), 924; https://doi.org/10.3390/aerospace12100924 - 14 Oct 2025
Viewed by 140
Abstract
The adaptive cycle engine (ACE) can modulate thermal cycle characteristics by adjusting variable geometry components, enabling rational distribution of bypass flow rates. As a key component of the ACE, the rear variable area bypass injector (RVABI) significantly influences the engine bypass ratio and [...] Read more.
The adaptive cycle engine (ACE) can modulate thermal cycle characteristics by adjusting variable geometry components, enabling rational distribution of bypass flow rates. As a key component of the ACE, the rear variable area bypass injector (RVABI) significantly influences the engine bypass ratio and consequently alters engine performance. RVABIs are typically categorized into three configurations based on their design: Translation Type, Rotary Type, and Hole Type. Previous studies have not fully elucidated the overall operating characteristics, internal flow mechanisms, and applicable scenarios of these different RVABI configurations. To address this problem, this paper first introduces and validates a three-dimensional (3D) simulation methodology for RVABIs. Subsequently, criteria for reasonably evaluating the operating characteristics of different RVABI configurations are defined. Following this, the differences in operating characteristics and internal flow mechanisms among the three RVABI configurations are systematically compared. Finally, the application scenarios for each configuration are identified. This work provides valuable insights to guide the configuration selection and parameter design of RVABIs in practical engineering applications. Full article
(This article belongs to the Section Aeronautics)
Show Figures

Figure 1

19 pages, 9685 KB  
Article
Dynamics of a Neuromorphic Circuit Incorporating a Second-Order Locally Active Memristor and Its Parameter Estimation
by Shivakumar Rajagopal, Viet-Thanh Pham, Fatemeh Parastesh, Karthikeyan Rajagopal and Sajad Jafari
J. Low Power Electron. Appl. 2025, 15(4), 62; https://doi.org/10.3390/jlpea15040062 - 13 Oct 2025
Viewed by 207
Abstract
Neuromorphic circuits emulate the brain’s massively parallel, energy-efficient, and robust information processing by reproducing the behavior of neurons and synapses in dense networks. Memristive technologies have emerged as key enablers of such systems, offering compact and low-power implementations. In particular, locally active memristors [...] Read more.
Neuromorphic circuits emulate the brain’s massively parallel, energy-efficient, and robust information processing by reproducing the behavior of neurons and synapses in dense networks. Memristive technologies have emerged as key enablers of such systems, offering compact and low-power implementations. In particular, locally active memristors (LAMs), with their ability to amplify small perturbations within a locally active domain to generate action potential-like responses, provide powerful building blocks for neuromorphic circuits and offer new perspectives on the mechanisms underlying neuronal firing dynamics. This paper introduces a novel second-order locally active memristor (LAM) governed by two coupled state variables, enabling richer nonlinear dynamics compared to conventional first-order devices. Even when the capacitances controlling the states are equal, the device retains two independent memory states, which broaden the design space for hysteresis tuning and allow flexible modulation of the current–voltage response. The second-order LAM is then integrated into a FitzHugh–Nagumo neuron circuit. The proposed circuit exhibits oscillatory firing behavior under specific parameter regimes and is further investigated under both DC and AC external stimulation. A comprehensive analysis of its equilibrium points is provided, followed by bifurcation diagrams and Lyapunov exponent spectra for key system parameters, revealing distinct regions of periodic, chaotic, and quasi-periodic dynamics. Representative time-domain patterns corresponding to these regimes are also presented, highlighting the circuit’s ability to reproduce a rich variety of neuronal firing behaviors. Finally, two unknown system parameters are estimated using the Aquila Optimization algorithm, with a cost function based on the system’s return map. Simulation results confirm the algorithm’s efficiency in parameter estimation. Full article
Show Figures

Figure 1

29 pages, 2868 KB  
Article
224-CPSK–CSS–WCDMA FPGA-Based Reconfigurable Chaotic Modulation for Multiuser Communications in the 2.45 GHz Band
by Jose-Cruz Nuñez-Perez, Miguel-Angel Estudillo-Valdez, José-Ricardo Cárdenas-Valdez, Gabriela-Elizabeth Martinez-Mendivil and Yuma Sandoval-Ibarra
Electronics 2025, 14(20), 3995; https://doi.org/10.3390/electronics14203995 - 12 Oct 2025
Viewed by 138
Abstract
This article presents an innovative chaotic communication scheme that integrates the multiuser access technique known as Wideband Code Division Multiple Access (W-CDMA) with the chaos-based selective strategy Chaos-Based Selective Symbol (CSS) and the unconventional modulation Chaos Parameter Shift Keying (CPSK). The system is [...] Read more.
This article presents an innovative chaotic communication scheme that integrates the multiuser access technique known as Wideband Code Division Multiple Access (W-CDMA) with the chaos-based selective strategy Chaos-Based Selective Symbol (CSS) and the unconventional modulation Chaos Parameter Shift Keying (CPSK). The system is designed to operate in the 2.45 GHz band and provides a robust and efficient alternative to conventional schemes such as Quadrature Amplitude Modulation (QAM). The proposed CPSK modulation enables the encoding of information for multiple users by regulating the 36 parameters of a Reconfigurable Chaotic Oscillator (RCO), theoretically allowing the simultaneous transmission of up to 224 independent users over the same channel. The CSS technique encodes each user’s information using a unique chaotic segment configuration generated by the RCO; this serves as a reference for binary symbol encoding. W-CDMA further supports the concurrent transmission of data from multiple users through orthogonal sequences, minimizing inter-user interference. The system was digitally implemented on the Artix-7 AC701 FPGA (XC7A200TFBG676-2) to evaluate logic-resource requirements, while RF validation was carried out using a ZedBoard FPGA equipped with an AD9361 transceiver. Experimental results demonstrate optimal performance in the 2.45 GHz band, confirming the effectiveness of the chaos-based W-CDMA approach as a multiuser access technique for high-spectral-density environments and its potential for use in 5G applications. Full article
Show Figures

Figure 1

17 pages, 3890 KB  
Article
Lacticaseibacillus rhamnosus AC1 Aggravates Bone Loss in a Male Rat Model of Deoxycorticosterone Acetate (DOCA)-Salt-Induced Osteoporosis
by Xiaoqing Kuang, Haicui Wu, Tim Fat Shum, Chunyi Wen and Jiachi Chiou
Nutrients 2025, 17(20), 3198; https://doi.org/10.3390/nu17203198 - 11 Oct 2025
Viewed by 301
Abstract
Background/Objectives: Osteoporosis is a prevalent and debilitating skeletal disease characterized by a progressive loss of bone mass and deterioration of bone microarchitecture. Probiotics have emerged as a potential therapeutic tool for treating osteoporosis through modulation of the gut microbiota. In this study, [...] Read more.
Background/Objectives: Osteoporosis is a prevalent and debilitating skeletal disease characterized by a progressive loss of bone mass and deterioration of bone microarchitecture. Probiotics have emerged as a potential therapeutic tool for treating osteoporosis through modulation of the gut microbiota. In this study, we aimed to examine the effects of live Lacticaseibacillus rhamnosus AC1 (LR-AC1), isolated from a fecal sample from a newborn in Hong Kong, on deoxycorticosterone acetate (DOCA)-induced bone loss in a rat model. Methods: Bone mass and microarchitecture were assessed using micro-computed tomography (micro-CT). Immunostaining for CD31+ and osterix, markers of endothelial cells and osteoblast precursors, respectively, was performed. Gut microbiota composition was analyzed via 16S rRNA sequencing. The effects of an LR-AC1 cell-free conditioned supernatant (CCS) on osteoclastogenesis, angiogenesis, and migration of bone marrow mesenchymal stem cells (BMSCs) were evaluated in vitro using RT-qPCR and wound healing assays. Results: LR-AC1 administration did not induce adverse effects in healthy rats; however, it exacerbated bone loss in rats with DOCA-salt-induced osteoporosis. Correspondingly, the number of CD31-positive endothelial cells and osterix-positive osteoprogenitors decreased with bone loss. In vitro, LR-AC1 CCS promoted osteoclastogenesis and angiogenesis, while in the presence of DOCA, LR-AC1 CCS inhibited BMSC migration. Gut microbiota analysis revealed that the relative abundances of the genera g_RF39 and g_Clostridia_UCG-014 correlated with the severity of bone loss. Conclusions: While several studies suggest that probiotics can prevent and treat osteoporosis, our findings indicate that in a male rat model of DOCA-salt-induced osteoporosis, live LR-AC1 aggravated bone loss. This effect is associated with alterations in gut microbiota and disruption of the coupling process in bone remodeling. Full article
Show Figures

Figure 1

26 pages, 11124 KB  
Article
Ecological Effects and Microbial Regulatory Mechanisms of Functional Grass Species Assembly in the Restoration of “Heitutan” Degraded Alpine Grasslands
by Zongcheng Cai, Jianjun Shi, Shouquan Fu, Liangyu Lv, Fayi Li, Qingqing Liu, Hairong Zhang and Shancun Bao
Microorganisms 2025, 13(10), 2341; https://doi.org/10.3390/microorganisms13102341 - 11 Oct 2025
Viewed by 348
Abstract
The restoration of “Heitutan” degraded grasslands on the Qinghai-Tibetan Plateau was hindered by suboptimal grass species mixtures, leading to low vegetation productivity, impaired soil nutrient cycling, and microbial functional degradation. Based on a 22-year controlled field experiment, this study systematically elucidated the regulatory [...] Read more.
The restoration of “Heitutan” degraded grasslands on the Qinghai-Tibetan Plateau was hindered by suboptimal grass species mixtures, leading to low vegetation productivity, impaired soil nutrient cycling, and microbial functional degradation. Based on a 22-year controlled field experiment, this study systematically elucidated the regulatory mechanisms of different artificial grass mixtures on vegetation community characteristics, soil physicochemical properties, and bacterial community structure and function. The results demonstrated that mixed-sowing treatments significantly improved soil conditions and enhanced aboveground biomass. The HC treatment (Elymus nutans Griseb. + Poa crymophila Keng ex L. Liu cv. ‘Qinghai’ + Festuca sinensis Keng ex S. L. Lu cv. ‘Qinghai’) achieved aboveground biomass of 1580.0 and 1645.0 g·m−2, representing 66.14% and 60.91% increases, respectively, compared to the HA monoculture (E. nutans). Concurrently, this treatment increased soil organic matter content by 52.3% and 48.4%, total nitrogen by 59.4% and 69.2%, while reducing electrical conductivity by 48.99% and 51.72%, with optimal pH stabilization (7.34–7.38). These findings confirmed that optimized grass mixtures effectively enhance soil physicochemical properties and carbon–nitrogen retention. Microbiome analysis revealed that the HE treatment (E. nutans + P. crymophila + F. sinensis + Poa poophagorum Bor. + Festuca kryloviana Reverd. cv. ‘Huanhu’) exhibited superior α-diversity indices (OTU, Shannon, Ace, Chao1, Pielou) with increases of 9.36%, 4.20%, 15.0%, 1.76%, and 13.4%, respectively, over HA, accompanied by optimal community evenness (lowest Simpson index). Core bacterial phyla included Pseudomonadota (22.7–29.9%), Acidobacteriota (21.5–23.6%), and Actinomycetota (13.6–16.0%), with significant suppression of pathogenic bacteria. Co-occurrence network analysis identified specialized functional modules, with HC and HD treatments (E. nutans + P. crymophila + F. sinensis + P. poophagorum) forming a “nitrogen transformation–antibiotic secretion” network (57.3% positive connections). Structural equation modeling (SEM) revealed that mixed sowing had the strongest direct effect on bacterial diversity (β = 0.76), surpassing indirect effects via soil (β = 0.37) and vegetation (β = 0.11). Redundancy analysis (RDA) identified vegetation cover (24.7% explained variance) and soil pH (20.0%) as key drivers of bacterial community assembly. Principal component analysis (PCA) confirmed HC and HD treatments as the most effective restoration strategies. This study elucidated a tripartite “vegetation–soil–microorganism” restoration mechanism, demonstrating that intermediate-diversity mixtures (3–4 species) optimize ecosystem recovery through niche complementarity, pathogen suppression, and enhanced nutrient cycling. These findings provided a scientific basis for species selection in alpine grassland restoration. Full article
Show Figures

Figure 1

24 pages, 2679 KB  
Article
Schizochytrium Supplementation in Compound Feed: Effects on Growth, Metamorphosis, Intermediate Metabolism, and Intestinal Health of Bullfrogs (Lithobates catesbeianus)
by Hao Ding, Yinglin He, Yujian Song, Jingjing Liang, Woxing Li, Chao Xu and Huirong Yang
Antioxidants 2025, 14(10), 1208; https://doi.org/10.3390/antiox14101208 - 5 Oct 2025
Viewed by 534
Abstract
Schizochytrium is often added to feed to enhance the growth and health of farmed animals, yet research on its effects on amphibians remains relatively scarce. Here, this study investigated the effects of dietary Schizochytrium meal on growth, metamorphosis, intermediate metabolism, and intestinal health [...] Read more.
Schizochytrium is often added to feed to enhance the growth and health of farmed animals, yet research on its effects on amphibians remains relatively scarce. Here, this study investigated the effects of dietary Schizochytrium meal on growth, metamorphosis, intermediate metabolism, and intestinal health of bullfrogs. Six compound feeds (S0–S5) containing different gradients of Schizochytrium meal (0.00, 2.00, 5.00, 10.00, 15.00, and 20.00 g/kg diets) were formulated. After 90 days, the S4 group (15.00 g/kg) exhibited significantly superior growth performance, with the weight gain rate (WGR) increasing by up to 23.78% compared to the control (S0). Metamorphosis rate (MR) peaked at 23.33% in the S4 group. The enzyme activities of digestion (amylase (AMS), lipase (LPS), protease), brush border membrane (Na+, K+-ATPase, alkaline phosphatase (AKP), γ-glutamyl transferase (γ-GT), creatine kinase (CK), and antioxidation (superoxide dismutase (SOD), catalase (CAT)), as well as microvilli length and mucosal epithelial cell height in the intestine were the highest in the S4 group. Intestinal microbial diversity (Ace index) significantly increased by 41.28% in the S4 group, which also promoted beneficial bacteria. Key genes related to the GH-IGF-1 axis, metabolism, and intestinal barrier function were significantly upregulated with increasing Schizochytrium levels up to 15.00 g/kg, whereas pro-inflammatory genes showed an opposite trend. Overall, dietary supplementation with Schizochytrium meal at 15.00 g/kg promotes growth, metamorphosis, and intestinal health in bullfrog tadpoles by modulating the GH-IGF-1 axis, enhancing digestion and absorption, and improving intestinal integrity. Optimal Schizochytrium meal levels were identified as 13.27 g/kg. Full article
Show Figures

Figure 1

20 pages, 1859 KB  
Article
Dynamic Weighted-Selection and Hybrid Modulation for Enhanced Performance of Multi-Source/Load Parallel AC-Link Universal Converters
by Abdulgafor Alfares
Energies 2025, 18(19), 5191; https://doi.org/10.3390/en18195191 - 30 Sep 2025
Cited by 1 | Viewed by 301
Abstract
This paper presents a novel open-loop modulation and control strategy for bidirectional, multi-source/load parallel AC-link power converters. While these converters offer advantages such as high-frequency operation and flexible power conversion capabilities, their application to complex systems such as nanogrids presents significant control challenges. [...] Read more.
This paper presents a novel open-loop modulation and control strategy for bidirectional, multi-source/load parallel AC-link power converters. While these converters offer advantages such as high-frequency operation and flexible power conversion capabilities, their application to complex systems such as nanogrids presents significant control challenges. Traditional control methods often struggle to efficiently manage power flow and charging/discharging processes, especially when dealing with multiple sources and loads of varying characteristics. To address these issues, this paper proposes a new control strategy that enables intelligent source and load selection while maintaining fast charging and discharging times. Simulation results demonstrate the effectiveness of the proposed approach. This research contributes to advancing the state-of-the-art in power electronics by providing a foundation for improved control of complex power conversion systems for renewable energy applications. Full article
Show Figures

Figure 1

15 pages, 3145 KB  
Article
ABA and Ethylene Mediates Tomato Root Development Modulation During Endophytic Fungal Interaction
by Maria Feka, Bilge Chousein, Olga Tsiouri and Kalliope K. Papadopoulou
J. Fungi 2025, 11(10), 707; https://doi.org/10.3390/jof11100707 - 30 Sep 2025
Viewed by 507
Abstract
The early stages of plant–microbe interaction are critical for establishing beneficial symbioses. We investigated how the endophytic fungus Fusarium solani strain FsK modulates tomato (Solanum lycopersicum) development and hormone pathways during in vitro co-cultivation. Seedlings were sampled at three early interaction [...] Read more.
The early stages of plant–microbe interaction are critical for establishing beneficial symbioses. We investigated how the endophytic fungus Fusarium solani strain FsK modulates tomato (Solanum lycopersicum) development and hormone pathways during in vitro co-cultivation. Seedlings were sampled at three early interaction stages (pre-contact, T1; initial contact, T2, 3 days post-contact, T3). Root traits and root and leaf transcripts for abscisic acid (ABA) and ethylene (ET) pathways were quantified, alongside fungal ET-biosynthesis genes. FsK altered root system architecture, increasing root area, lateral root number, root-hair length, and fresh biomass. These morphological changes coincided with tissue- and time-specific shifts. In leaves, FsK broadly affected ABA biosynthetic and homeostasis genes (ZEP1, NCED1, ABA2, AAO1, ABA-GT, BG1), indicating reduced de novo synthesis with enhanced deconjugation of stored ABA. ET biosynthesis was curtailed in leaves via down-regulation of ACC oxidase (ACO1–3), with isoform-specific changes in ACC synthase (ACS). The ET receptor ETR1 was transiently expressed early (T1–T2). FsK itself showed staged activation of fungal ET-biosynthesis genes. These results reveal coordinated fungal–plant hormone control at the transcriptional level that promotes root development during early interaction and support FsK’s potential as a biostimulant. Full article
(This article belongs to the Special Issue Plant Symbiotic Fungi)
Show Figures

Figure 1

20 pages, 4879 KB  
Article
Sub-Module Capacitor Voltage Ripple Suppression in MMDTC-Based PET Using Three-Port Active Bridge
by Xiangzheng Cui, Decun Niu, Qizhong Yan, Dong Wang, Zhenwei Li and Lei Zhang
Energies 2025, 18(19), 5178; https://doi.org/10.3390/en18195178 - 29 Sep 2025
Viewed by 250
Abstract
For power electronic transformer (PET) based Modular Multilevel DC-Link Based T-type Converters (MMDTC) with Double Active Bridges (DABs) (namely DABs-based MMDTC-PET), the sub-module capacitor voltages exhibit relatively large ripples. To reduce the voltage ripple of sub-module capacitors, this paper proposes a novel MMDTC-PET [...] Read more.
For power electronic transformer (PET) based Modular Multilevel DC-Link Based T-type Converters (MMDTC) with Double Active Bridges (DABs) (namely DABs-based MMDTC-PET), the sub-module capacitor voltages exhibit relatively large ripples. To reduce the voltage ripple of sub-module capacitors, this paper proposes a novel MMDTC-PET structure that utilizes the Three-Port Active Bridges (TABs) to replace the DABs as the isolation stage (TABs-based MMDTC-PET). When the two full bridges of the TAB on the primary side adopt identical phase-shift modulation, the two sub-module capacitors within the upper and lower arms form a parallel connection. This configuration endows the sub-module capacitors with switched-capacitor characteristics, suppressing voltage ripple in the sub-module capacitors and enabling power ripple flow to the secondary side. Meanwhile, by leveraging the characteristic that the AC power components of the upper and lower arm sub-modules have equal amplitudes but opposite phases, these AC power components are mutually canceled on the secondary side of the TAB. Simulation and experimental results verify the effectiveness of the proposed scheme. Full article
(This article belongs to the Section F3: Power Electronics)
Show Figures

Figure 1

13 pages, 659 KB  
Article
Retrieval Competition in Proactive Interference: Effects of Encoding Strength and Consolidation in the Modified Modified Free Recall Paradigm
by Yahui Zhang, Weihai Tang and Xiping Liu
Behav. Sci. 2025, 15(10), 1332; https://doi.org/10.3390/bs15101332 - 28 Sep 2025
Viewed by 237
Abstract
This study investigated how encoding strength and consolidation shape proactive interference (PI) in associative memory. Using a Modified Modified Free Recall (MMFR) paradigm, participants studied overlapping (A-B, A-C) and non-overlapping (E-F, G-H) pairs. The encoding strength of List 1 was manipulated (one vs. [...] Read more.
This study investigated how encoding strength and consolidation shape proactive interference (PI) in associative memory. Using a Modified Modified Free Recall (MMFR) paradigm, participants studied overlapping (A-B, A-C) and non-overlapping (E-F, G-H) pairs. The encoding strength of List 1 was manipulated (one vs. three study repetitions), while List 2 was held constant. Cued recall was tested immediately and after a 24-h delay. Results showed that increasing List 1’s encoding strength enhanced overall recall for both overlapping and non-overlapping pairs, indicating more effective learning, but did not alter the magnitude of PI. Instead, PI was strongly modulated by retention interval. At immediate test, robust PI emerged across conditions, reflecting cue-based retrieval competition. After a 24-h delay, PI was reduced or absent when List 1 was weakly encoded but persisted in attenuated form when List 1 was strongly encoded, suggesting differential consolidation trajectories for overlapping and non-overlapping associations. Co-retrieval analyses further revealed reliable associative dependency between B and C across all conditions, consistent with representational linkages that promote cooperative retrieval. These findings highlight the dual influence of cue overlap: at the representational level, overlapping pairs form integrated structures that foster co-retrieval, whereas at the retrieval-processing level, cue overload induces competition and PI. Taken together, the results indicate that although initial encoding strength enhances overall recall of List 2, the persistence of proactive interference is influenced by consolidation processes. Full article
(This article belongs to the Section Cognition)
Show Figures

Figure 1

24 pages, 9211 KB  
Article
Design Assessment of Power Supply Systems for Divertor Coils in the Divertor Tokamak Test
by Giovanni Griva, Salvatore Musumeci, Radu Bojoi, Fausto Stella and Alessandro Lampasi
Appl. Sci. 2025, 15(19), 10441; https://doi.org/10.3390/app151910441 - 26 Sep 2025
Viewed by 207
Abstract
In tokamak-based nuclear fusion systems, powering the coils to control the plasma is a challenge that involves design choices that are a mix between advanced and traditional approaches. Each tokamak coil requires peculiar driving conditions and needs specific design activities. This paper deals [...] Read more.
In tokamak-based nuclear fusion systems, powering the coils to control the plasma is a challenge that involves design choices that are a mix between advanced and traditional approaches. Each tokamak coil requires peculiar driving conditions and needs specific design activities. This paper deals with power supply design assessment for the Divertor (DIV) Coils in the Divertor Tokamak Test (DTT) facility. The design constraints of high-current (5500 A) and relatively low-voltages lead to the comparison of an SCR-based AC–AC converter (cycloconverter) with an IGBT-based DC–AC inverter with devices in a parallel solution and with interleaved modulation. The design assessment of two converter solutions to drive the DIV coils with the control issues were explored and described. Several simulation results were carried out to define the DIV coils operative conditions. Furthermore, an electro-thermal analysis on the used IGBT or thyristor devices was carried out considering the losses and the highest temperatures obtained in the conditions of maximum stress for the components. Full article
(This article belongs to the Section Energy Science and Technology)
Show Figures

Figure 1

Back to TopTop