Sign in to use this feature.

Years

Between: -

Subjects

remove_circle_outline
remove_circle_outline
remove_circle_outline
remove_circle_outline
remove_circle_outline

Journals

Article Types

Countries / Regions

Search Results (50)

Search Parameters:
Keywords = 3-hydroxyindole

Order results
Result details
Results per page
Select all
Export citation of selected articles as:
14 pages, 781 KB  
Article
Associations Between Gut Microbiota and Mitochondrial Metabolites, with Growth Differentiation Factor-15 as a Marker of Oxidative Stress in Heart Failure vs. Healthy Ageing
by Konstantinos Prokopidis, Adam Burke, Beyza Gulsah Altinpinar, Sima Jalali Farahani, Omid Khaiyat, Gregory Y. H. Lip, Rajiv Sankaranarayanan, Vanja Pekovic-Vaughan, Howbeer Muhamadali and Masoud Isanejad
Antioxidants 2026, 15(2), 199; https://doi.org/10.3390/antiox15020199 - 2 Feb 2026
Viewed by 775
Abstract
Growth differentiation factor-15 (GDF-15) is an established marker of oxidative stress and a general stress-response mitokines. In this study, we aim to investigate the association of GDF-15 with the metabolic signature of gut and mitochondrial activity in HF and ageing population. A total [...] Read more.
Growth differentiation factor-15 (GDF-15) is an established marker of oxidative stress and a general stress-response mitokines. In this study, we aim to investigate the association of GDF-15 with the metabolic signature of gut and mitochondrial activity in HF and ageing population. A total of 25 HF (67.9 ± 10.0 years) and 29 age-matched healthy participants (HPs) (67.8 ± 11.1 years) were recruited and underwent detailed body composition assessment via dual X-ray absorptiometry; total fat mass and appendicular lean soft tissue index (ALSTI/body mass index (BMI)) were calculated. Utilizing semi-targeted Gas Chromatography–Mass Spectrometry on fasting plasma, a panel of gut microbial-derived (e.g., hippuric acid, indole derivatives, and sarcosine) and tricarboxylic acid cycle metabolites was identified. Results showed higher GDF-15 tertiles were associated with greater HF prevalence, fat mass, NT-proBNP, and TNF-α (p < 0.05). Gut-derived metabolites exhibited phenotype-specific patterns; 3-hydroxyindole predicted higher fat mass in HP; hippuric acid was inversely related in HF; and sarcosine correlated with GDF-15 only in HP. In HF, GDF-15 was strongly driven by pyruvic and fumaric acid, indicating disease-specific mitochondrial stress. In conclusion, these observed associations could be evaluated in future mechanistic studies as sensitive biomarkers of systemic oxidative stress markers, informing potential microbiome-targeted therapeutic avenues. Full article
(This article belongs to the Special Issue Oxidative Stress in Age-Related Diseases)
Show Figures

Figure 1

23 pages, 2377 KB  
Article
Efficacy and Safety of Lactobacillus delbrueckii subsp. lactis CKDB001 Supplementation on Cognitive Function in Mild Cognitive Impairment: A Randomized, Double-Blind, Placebo-Controlled Clinical Trial
by Hyang-Im Baek, So-Young Kwon, Hye-Ji Noh, Su Young Son, Jong Cheon Joo and Soo Jung Park
Nutrients 2025, 17(20), 3313; https://doi.org/10.3390/nu17203313 - 21 Oct 2025
Cited by 2 | Viewed by 2841
Abstract
Background: Modulation of the gut–brain axis using probiotics present a promising approach for enhancing cognitive function in mild cognitive impairment (MCI). In prior non-clinical research, Lactobacillus delbrueckii subsp. lactis CKDB001 (LL) exhibited potential to enhance cognitive function. We therefore conducted a clinical trial [...] Read more.
Background: Modulation of the gut–brain axis using probiotics present a promising approach for enhancing cognitive function in mild cognitive impairment (MCI). In prior non-clinical research, Lactobacillus delbrueckii subsp. lactis CKDB001 (LL) exhibited potential to enhance cognitive function. We therefore conducted a clinical trial to assess the efficacy and safety of LL supplementation in MCI. Methods: A 12-week, randomized, double-blind, placebo-controlled, multi-center trial was performed in 100 participants aged 55–80 years. Subjects were randomly assigned to receive LL (n = 50, 5.0 × 109 CFU/day) or placebo (n = 50). Efficacy and safety were evaluated at baseline and after 12 weeks. Results: LL supplementation resulted in significantly greater improvements than placebo in the Alzheimer’s Disease Assessment Scale–Cognition 13 total score, the memory sub-score, reaction time for Part A of the Trail Making Test, and word/color reaction times on the Stroop test. Taxonomic and metabolomic profiling of fecal samples showed significantly greater changes in the relative abundance of beneficial microorganisms in the LL group, with the most pronounced shifts at the family (Lactobacillaceae, Bifidobacteriaceae) and genus (Lactobacillus) levels. In addition, the LL group exhibited significantly higher fecal levels of indole-derived metabolites, including 5-hydroxyindole-3-acetic acid, indole-3-lactic acid, and indole-3-glycol. Safety assessments indicated LL was safe and well-tolerated, with no clinically relevant changes in laboratory findings or adverse events. Conclusions: These findings suggest that LL supplementation may enhance cognitive function in MCI by modulating the gut–brain axis through effects on gut microbiota and related metabolites, and could serve as a safe functional food to support cognitive health. Full article
(This article belongs to the Section Clinical Nutrition)
Show Figures

Figure 1

22 pages, 2692 KB  
Article
Differences in the Profile of Aromatic Metabolites in the Corresponding Blood Serum and Cerebrospinal Fluid Samples of Patients with Secondary Bacterial Meningitis
by Alisa K. Pautova, Peter A. Meinarovich, Vladislav E. Zakharchenko, Pavel D. Sobolev, Natalia A. Burnakova and Natalia V. Beloborodova
Metabolites 2025, 15(8), 527; https://doi.org/10.3390/metabo15080527 - 3 Aug 2025
Cited by 1 | Viewed by 1118
Abstract
Background: Secondary (nosocomial) bacterial meningitis remains a serious problem in patients with severe brain damage. The aim of this study was to assess the differences in the aromatic metabolites of tryptophan, phenylalanine, and tyrosine, in serum and cerebrospinal fluid (CSF) samples collected simultaneously [...] Read more.
Background: Secondary (nosocomial) bacterial meningitis remains a serious problem in patients with severe brain damage. The aim of this study was to assess the differences in the aromatic metabolites of tryptophan, phenylalanine, and tyrosine, in serum and cerebrospinal fluid (CSF) samples collected simultaneously from patients with long-term sequelae of severe brain damage with suspected secondary bacterial meningitis. Methods: Group I included 16 paired serum and CSF samples from patients (N = 11) without secondary bacterial meningitis; group II included 13 paired serum and CSF samples from patients (N = 4) with secondary bacterial meningitis. Results: The median concentrations of serum 5-hydroxyindole-3-acetic, CSF 4-hydroxyphenyllactic (p-HPhLA), CSF 4-hydroxyphenylacetic, CSF phenyllactic, and indole-3-lactic acids in serum and CSF were statistically higher in group II compared to group I (p-value ≤ 0.03), while 4-hydroxyphenylpropionic and indole-3-acetic in serum were lower in group II compared to group I (p-value = 0.04). In group I, p-HPhLA serum concentrations were greater than or equal to its CSF concentrations in 14 paired samples; in group II, p-HPhLA concentrations in serum were lower than in CSF in all paired samples. Conclusions: The obtained results demonstrate the differences in the profile of aromatic metabolites in serum and CSF and may confirm the hypothesis of the p-HPhLA microbial origin in the CSF of patients with secondary bacterial meningitis. Full article
Show Figures

Graphical abstract

17 pages, 3715 KB  
Article
ANAC042 Regulates the Biosynthesis of Conserved- and Lineage-Specific Phytoalexins in Arabidopsis
by Ivan Monsalvo, Leonardo Parasecolo, Sarah Pullano, Jie Lin, Aida Shahabi, Melissa Ly, Hyejung Kwon, Khushi Mathur, Karl Angelo M. Rodrillo, Demian R. Ifa and Nik Kovinich
Int. J. Mol. Sci. 2025, 26(8), 3683; https://doi.org/10.3390/ijms26083683 - 13 Apr 2025
Cited by 2 | Viewed by 1764
Abstract
Phytoalexins are specialized metabolites that are synthesized by plants in response to pathogens. A paradigm in transcription factor (TF) biology is that conserved TFs have dedicated roles across plant lineages in regulating specific branches of specialized metabolism. However, the Arabidopsis (Arabidopsis thaliana [...] Read more.
Phytoalexins are specialized metabolites that are synthesized by plants in response to pathogens. A paradigm in transcription factor (TF) biology is that conserved TFs have dedicated roles across plant lineages in regulating specific branches of specialized metabolism. However, the Arabidopsis (Arabidopsis thaliana) NAC family TF ANAC042 (a.k.a. JUNGBRUNNEN1 or JUB1) regulates the synthesis of camalexin, a Trp-derived phytoalexin specifically produced by several Brassicaceae species, whereas its homolog in soybean (Glycine max) regulates the synthesis of glyceollins, which are Phe-derived phytoalexins specific to soybean. The question addressed by this research is whether ANAC042 broadly regulates phytoalexin biosynthetic pathways in Arabidopsis. Using a novel matrix-assisted laser desorption ionization high-resolution mass spectrometry (MALDI-HRMS) method, we found that the Arabidopsis loss-of-function mutant anac042–1 elicited with bacterial flagellin (Flg22) is deficient in lineage-specific Trp- and conserved Phe-derived phytoalexins—namely camalexin and 4-hydroxyindole-3-carbonyl nitrile (4OH-ICN), and pathogen-inducible monolignols and scopoletin, respectively. Overexpressing ANAC042 in the anac042-1 mutant restored or exceeded wildtype amounts of the metabolites. The expression of phytoalexin biosynthetic genes in mutant and overexpression lines mirrored the accumulation of metabolites. Yeast-one hybrid and promoter-reporter assays in Nicotiana benthamiana found that the ANAC042 protein directly binds and activates the promoters of CYP71B15, CYP71A12, and PAL1 genes for the synthesis of camalexin, 4OH-ICN, and pathogen-inducible monolignol/scopoletin, respectively. Our results demonstrate that ANAC042 regulates conserved and lineage-specific phytoalexin pathways in Arabidopsis. The latter suggests that it is an opportunistic TF that has coopted lineage-specific genes into phytoalexin metabolism, thus providing an exception to the current paradigm. Full article
(This article belongs to the Special Issue Environmental Stress and Metabolic Responses in Plants)
Show Figures

Figure 1

21 pages, 1268 KB  
Systematic Review
Pharmacokinetics of Psilocybin: A Systematic Review
by Shakila Meshkat, Huda Al-Shamali, Argyrios Perivolaris, Trusha Tullu, Richard J. Zeifman, Yanbo Zhang, Lisa Burback, Olga Winkler, Andrew Greenshaw, Muhammad Ishrat Husain, Amy C. Reichelt, Eric Vermetten, Manish K. Jha, Rakesh Jetly, Raimar Loebenberg and Venkat Bhat
Pharmaceutics 2025, 17(4), 411; https://doi.org/10.3390/pharmaceutics17040411 - 25 Mar 2025
Cited by 12 | Viewed by 11698
Abstract
Background: Psilocybin has shown promise in therapeutic applications for mental disorders. Understanding the pharmacokinetics of psilocybin and its active metabolite psilocin is crucial for optimizing its clinical use and minimizing adverse effects. Methods: This systematic review involved a comprehensive search across MEDLINE, APA [...] Read more.
Background: Psilocybin has shown promise in therapeutic applications for mental disorders. Understanding the pharmacokinetics of psilocybin and its active metabolite psilocin is crucial for optimizing its clinical use and minimizing adverse effects. Methods: This systematic review involved a comprehensive search across MEDLINE, APA PsycINFO, and Embase databases, from inception to December 2024, identifying original studies that investigated the pharmacokinetics of psilocybin. Results: Fourteen studies met the inclusion criteria: eight laboratory-based and six clinical studies. Laboratory studies used animal models or in vitro systems, while clinical studies included 112 healthy human participants. Psilocybin is rapidly dephosphorylated to psilocin, which is absorbed with Tmax values ranging from 1.8 to 4 h following oral administration. Cmax varied dose-dependently, from 8.2 ± 2.8 ng/mL (plasma) to 871 ng/mL (urine). One study reported psilocin bioavailability at 52.7 ± 20%. The volume of distribution was extensive, ranging from 277 ± 92 L to 1016 L, suggesting significant tissue distribution. Psilocin metabolism is primarily mediated by CYP2D6 and CYP3A4, with secondary contributions from monoamine oxidase A. It undergoes further hepatic biotransformation into 4-hydroxyindole-3-acetic acid and 4-hydroxytryptophol. Elimination half-life varied across studies, ranging from 1.5 to 4 h. Conclusions: Psilocybin pharmacokinetics demonstrate significant variability based on dosage, route, and species. CYP enzymes play a critical role in its metabolism, highlighting the potential for drug–drug interactions. These findings underscore the importance of further research to elucidate psilocybin’s pharmacokinetic profile, which is assessed in vivo by its active metabolite psilocin. Full article
Show Figures

Figure 1

12 pages, 242 KB  
Article
Metabolomic Profiling of Disease Progression Following Radiotherapy for Breast Cancer
by Alexandra N. McMahon, Isildinha M. Reis, Cristiane Takita, Jean L. Wright and Jennifer J. Hu
Cancers 2025, 17(5), 891; https://doi.org/10.3390/cancers17050891 - 5 Mar 2025
Cited by 1 | Viewed by 1736
Abstract
Background: This study aims to explore metabolic biomarkers and pathways in breast cancer prognosis. Methods: We performed a global post-radiotherapy (RT) urinary metabolomic analysis of 120 breast cancer patients: 60 progression-free (PF) patients as the reference and 60 with progressive disease (PD: recurrence, [...] Read more.
Background: This study aims to explore metabolic biomarkers and pathways in breast cancer prognosis. Methods: We performed a global post-radiotherapy (RT) urinary metabolomic analysis of 120 breast cancer patients: 60 progression-free (PF) patients as the reference and 60 with progressive disease (PD: recurrence, second primary, metastasis, or death). UPLC-MS/MS (Metabolon Inc.) identified 1742 biochemicals (1258 known and 484 unknown structures). Following normalization to osmolality, log transformation, and imputation of missing values, a Welch’s two-sample t-test was used to identify biochemicals and metabolic pathways that differed between PF and PD groups. Data analysis and visualization were performed with MetaboAnalyst. Results: Metabolic biomarkers and pathways that significantly differed between the PD and PF groups were the following: amino acid metabolism, including phenylalanine, tyrosine, and tryptophan biosynthesis (impact value (IV) = 1.00; p = 0.0007); histidine metabolism (IV = 0.60; p < 0.0001); and arginine and proline metabolism (IV = 0.70; p = 0.0035). Metabolites of carbohydrate metabolism, including glucose (p = 0.0197), sedoheptulose (p = 0.0115), and carboxymethyl lysine (p = 0.0098), were elevated in patients with PD. Gamma-glutamyl amino acids, myo-inositol, and oxidative stress biomarkers, including 7-Hydroxyindole Sulfate and sulfate, were elevated in patients who died (p ≤ 0.05). Conclusions: Amino acid metabolism emerged as a key pathway in breast cancer progression, while carbohydrate and oxidative stress metabolites also showed potential utility as biomarkers for breast cancer progression. These findings demonstrate applications of metabolomics in identifying metabolic biomarkers and pathways as potential targets for predicting breast cancer progression. Full article
(This article belongs to the Section Cancer Therapy)
20 pages, 3836 KB  
Article
Taurine Supplementation Alleviates Blood Pressure via Gut–Brain Communication in Spontaneously Hypertensive Rats
by Qing Su, Xiong-Feng Pan, Hong-Bao Li, Ling-Xiao Xiong, Juan Bai, Xiao-Min Wang, Xiao-Ying Qu, Ning-Rui Zhang, Guo-Quan Zou, Yang Shen, Lu Li, Li-Li Huang, Huan Zhang and Meng-Lu Xu
Biomedicines 2024, 12(12), 2711; https://doi.org/10.3390/biomedicines12122711 - 27 Nov 2024
Cited by 4 | Viewed by 9621
Abstract
Objects: Taurine exhibits protective effects in the context of cardiovascular pathophysiology. A range of evidence suggests that hypertension activates inflammatory responses and oxidative stress in the paraventricular nucleus (PVN), elevating the arterial tone and sympathetic activity, while it induces gut–brain axis dysfunction in [...] Read more.
Objects: Taurine exhibits protective effects in the context of cardiovascular pathophysiology. A range of evidence suggests that hypertension activates inflammatory responses and oxidative stress in the paraventricular nucleus (PVN), elevating the arterial tone and sympathetic activity, while it induces gut–brain axis dysfunction in the context of hypertension. However, the mechanism underlying taurine’s anti-hypertensive effects via the gut–brain axis remains unclear. Method: Male spontaneously hypertensive rats (SHRs) were administered 3% taurine in their drinking water for eight weeks, with their arterial pressure measured weekly. Molecular techniques were employed to investigate taurine’s effects on the hypertensive gut and PVN. Additionally, 16S rRNA gene sequencing was used to analyze the gut microbiota composition, and untargeted metabolomics was applied to assess the fecal metabolites following taurine supplementation. Results: Taurine supplementation not only reduced the blood pressure, sympathetic activity, and inflammatory and oxidative stress in the PVN but also improved the cardiac pathology and microbiota composition while alleviating gut inflammation in hypertensive rats. The untargeted metabolite analysis indicated that the primary effect of the taurine intervention in SHRs was exerted on tryptophan metabolism. The levels of serum metabolites such as kynurenine, L-tryptophan, serotonin (5-HT), and 5-hydroxyindole-3-acetic acid (5-HIAA) were altered in hypertensive rats following taurine treatment. Conclusions: Taurine supplementation restored the microbiota balance, strengthened the mucosal barrier, reduced intestinal inflammation, and stimulated tryptophan metabolism. The metabolites derived from the gut microbiota likely crossed the brain barrier and reached the paraventricular nucleus, thereby reducing the inflammatory responses and oxidative stress in the PVN via gut–brain communication, leading to decreased sympathetic nerve activity and blood pressure in the studied hypertensive rats. Full article
Show Figures

Graphical abstract

11 pages, 1251 KB  
Article
Maternal Obesity and Differences in Child Urine Metabolome
by Ellen C. Francis, Kelly J. Hunt, William A. Grobman, Daniel W. Skupski, Ashika Mani and Stefanie N. Hinkle
Metabolites 2024, 14(11), 574; https://doi.org/10.3390/metabo14110574 - 25 Oct 2024
Cited by 3 | Viewed by 1676
Abstract
Background/objective: Approximately one-third of pregnant individuals in the U.S. are affected by obesity, which can adversely impact the in utero environment and offspring. This study aimed to investigate the differences in urine metabolomics between children exposed and unexposed to maternal obesity. Methods: In [...] Read more.
Background/objective: Approximately one-third of pregnant individuals in the U.S. are affected by obesity, which can adversely impact the in utero environment and offspring. This study aimed to investigate the differences in urine metabolomics between children exposed and unexposed to maternal obesity. Methods: In a study nested within a larger pregnancy cohort of women–offspring pairs, we measured untargeted metabolomics using liquid chromatography–mass spectrometry in urine samples from 68 children at 4–8 years of age. We compared metabolite levels between offspring exposed to maternal obesity (body mass index [BMI] ≥ 30.0 kg/m2) vs. unexposed (maternal BMI 18.5–24.9 kg/m2) and matched them on covariates, using two-sample t-tests, with additional sensitivity analyses based on children’s BMI. This study reports statistically significant results (p ≤ 0.05) and potentially noteworthy findings (fold change > 1 or 0.05 < p < 0.15), considering compounds’ involvement in common pathways or similar biochemical families. Results: The mean (SD) maternal age at study enrollment was 28.0 (6.3) years, the mean child age was 6.6 (0.8) years, 56% of children were male, and 38% of children had a BMI in the overweight/obese range (BMI ≥ 85th percentile). Children exposed to maternal obesity had lower levels of 5-hydroxyindole sulfate and 7-hydroxyindole sulfate and higher levels of secondary bile acids. Phenylacetic acid derivatives were lower in offspring exposed to obesity and in offspring who had a current BMI in the overweight/obese range. Exposure to maternal obesity was associated with lower levels of androgenic steroid dehydroepiandrosterone sulfate (DHEA-S). Conclusions: In this preliminary study, children exposed to maternal obesity in utero had differences in microbiome-related metabolites in urine suggestive of altered microbial catabolism of tryptophan and acetylated peptides. Some of these differences were partially attributable to the offspring’s current BMI status. This study highlights the potential of urine metabolomics to identify biomarkers and pathways impacted by in utero exposure to maternal obesity. Full article
(This article belongs to the Special Issue Newborn Metabolomic Profile)
Show Figures

Figure 1

18 pages, 2848 KB  
Article
GnRH Immunocastration in Male Xizang Sheep: Impacts on Rumen Microbiome and Metabolite Profiles for Enhanced Health and Productivity
by Xiaoming Zhang, Tianzeng Song, Guiqiong Liu, Jing Wu, Yangzong Zhaxi, Shehr Bano Mustafa, Khuram Shahzad, Xiaoying Chen, Wangsheng Zhao and Xunping Jiang
Animals 2024, 14(20), 2942; https://doi.org/10.3390/ani14202942 - 11 Oct 2024
Cited by 5 | Viewed by 2376
Abstract
Castration is a prevalent and indispensable practice in sheep husbandry, aiding in enhancing meat quality, mitigating aggressive behavior, and managing unwanted reproduction. Nevertheless, the conventional surgical castration procedure poses several challenges, including heightened stress and pain, detrimental impacts on animal welfare, and diminished [...] Read more.
Castration is a prevalent and indispensable practice in sheep husbandry, aiding in enhancing meat quality, mitigating aggressive behavior, and managing unwanted reproduction. Nevertheless, the conventional surgical castration procedure poses several challenges, including heightened stress and pain, detrimental impacts on animal welfare, and diminished economic efficacy in farming operations. Consequently, immunocastration methods, serving as substitutes for surgical castration, are progressively finding application in livestock. The rumen, an essential and distinctive digestive and absorptive organ in ruminants, has been associated with enhanced meat quality and productive performance following castration in previous research studies, albeit fewer investigations have explored the potential impacts of GnRH immunization on the rumen’s internal milieu in sheep post-de-escalation. Hence, the present study delved into evaluating the impact of GnRH immunocastration on the rumen microbiome and metabolomics in male Xizang sheep. This was achieved through the establishment of a GnRH immunocastration animal model and the collection of rumen fluid for microbiological and comprehensive metabolomics investigations. The outcomes of this investigation unveiled that the impact of GnRH immunocastration on body weight gain was more pronounced during the achievement of the castration objective. In addition, the Firmicutes-to-Bacteroidota ratio in the immune male (IM) group exceeded that of the control group (EM), suggesting that GnRH immunodeficiency may enhance the digestion and absorption of feed in male Xizang sheep. At the taxonomic level, the elevated presence of Prevotella and Quinella bacteria in the IM group compared to the EM group indicated that castration influenced a segment of the rumen microbiota in male Xizang sheep, thereby bolstering the digestive and metabolic efficacy of the rumen concerning nutrient utilization, particularly in the breakdown and absorption of proteins, carbohydrates, and lipids, ultimately expediting the fattening process and weight gain in male Xizang sheep following castration. Moreover, analysis of ruminal fluid metabolomics revealed that GnRH immunization had notable impacts on certain metabolites in the ruminal fluid of male Xizang sheep, with metabolites like 5-hydroxyindole acetic acid and 3-hydroxyindole acetic acid showing significant downregulation in the IM group compared to the EM group, while niacin and tyramine exhibited significant upregulation. These findings indicate a profound influence of GnRH immunization on the maintenance of ruminal equilibrium and ruminal health (including the health of ruminal epithelial cells). This study validates that GnRH immunocastration not only achieves the objectives of castration but also enhances ruminal health in male Xizang sheep, thus laying a foundational theoretical basis for the application and dissemination of GnRH immunocastration technology. Full article
(This article belongs to the Section Small Ruminants)
Show Figures

Figure 1

17 pages, 2918 KB  
Article
Clostridium butyricum Prevents Diarrhea Incidence in Weaned Piglets Induced by Escherichia coli K88 through Rectal Bacteria–Host Metabolic Cross-Talk
by Jing Liang, Sihu Wang, Shasha Kou, Cheng Chen, Wenju Zhang and Cunxi Nie
Animals 2024, 14(16), 2287; https://doi.org/10.3390/ani14162287 - 6 Aug 2024
Cited by 3 | Viewed by 2127
Abstract
This study aimed to evaluate the effects of Clostridium butyricum (C. butyricum) on the prevention of the diarrhea rates and growth performances of weaned piglets induced by Escherichia coli K88 (E. coli K88). Twenty-four weaned piglets (6.92 ± 0.11 kg) [...] Read more.
This study aimed to evaluate the effects of Clostridium butyricum (C. butyricum) on the prevention of the diarrhea rates and growth performances of weaned piglets induced by Escherichia coli K88 (E. coli K88). Twenty-four weaned piglets (6.92 ± 0.11 kg) were randomly assigned to one of three treatment groups for a period of 21 days. Each group consisted of eight pigs, with each pig being housed in an individual pen. Group I received the control diet along with normal saline, Group II received the control diet along with E. coli K88, and Group III received the control diet supplemented with 5 × 108 CFU/kg of C. butyricum and E. coli K88. We examined alterations in rectal microbiota and metabolites, analyzed the incidence of diarrhea, and investigated the interactions between microbiota and metabolites through the application of Illumina MiSeq sequencing and liquid chromatography–mass spectrometry. The results showed that, from days 14 to 21, the diarrhea incidence in Group III decreased significantly by 83.29% compared to Group II (p < 0.05). Over the entire experimental duration, the average daily feed intake of Group III decreased significantly by 11.13% compared to Group I (p < 0.05), while the diarrhea incidence in Group III decreased by 71.46% compared to Group II (p < 0.05). The predominant microbial flora in the rectum consisted of Firmicutes (57.32%), Bacteroidetes (41.03%), and Proteobacteria (0.66%). Administering E. coli K88 orally can elevate the relative abundance of Megasphaera (p < 0.05). Conversely, the supplementation of C. butyricum in the diet reduced the relative abundance of Megasphaera (p < 0.05), while increasing the relative abundance of unclassified_f_Lachnospiraceae (p < 0.05). Rectal metabolomics analysis revealed that supplementing C. butyricum in the feed significantly altered the amino acids and fatty acids of the piglets infected with E. coli K88 (p < 0.05). The correlation analysis showed that the occurrence of diarrhea was inversely related to adipic acid (p < 0.05) and positively associated with (5-hydroxyindol-3-YL) acetic acid and L-aspartic acid (p < 0.05). Prevotella_1 exhibited a negative correlation with octadecanoic acid (p < 0.05). Prevotellaceae_UCG-005 showed a negative correlation with (5-hydroxyindol-3-YL) acetic acid (p < 0.05). The findings from this research study aid in probiotic development and the enhancement of healthy growth in weaned piglets. Full article
(This article belongs to the Section Animal Nutrition)
Show Figures

Figure 1

14 pages, 8105 KB  
Article
Tryptophan Promotes the Production of Xanthophyll Compounds in Yellow Abdominal Fat through HAAO
by Xiaojing Liu, Lilin Men, Yanji Chen, Yongli Wang, Yanke Wang, Xu Zhang, Huanxian Cui, Yuming Guo and Jie Wen
Animals 2024, 14(11), 1555; https://doi.org/10.3390/ani14111555 - 24 May 2024
Cited by 2 | Viewed by 1696
Abstract
Abdominal fat, which in the past was often regarded as waste and discarded, has in recent years been used as a fat source to produce meat by-products. Yellow abdominal fat has higher economic value. Therefore, improving the color of abdominal fat plays an [...] Read more.
Abdominal fat, which in the past was often regarded as waste and discarded, has in recent years been used as a fat source to produce meat by-products. Yellow abdominal fat has higher economic value. Therefore, improving the color of abdominal fat plays an important role in improving the appearance of meat products. This study aimed to identify the contributors and the regulatory network involved in the formation of yellow and white color in abdominal fat. We found that four xanthophyll compounds were significantly different in yellow and white abdominal fat chicken, including zeaxanthin, lutein, canthaxanthin, and β-cryptoxanthin. There were 551 different and 8 common metabolites significantly correlated with these 4 xanthophyll compounds. Similarly, a total of 54 common genes were identified in 4 common related pathways (Complement and coagulation cascades, Metabolic pathways, PPAR signaling pathway, Carbon metabolism) of the 8 common metabolites. The high expression of HAAO in the yellow abdominal fat group leads to the degradation of tryptophan and its intermediate 5-hydroxyindole, and subsequently to the formation of the four xanthophyll compounds. This process is also regulated by tyrosine, kynurenine 3-monooxygenase (KMO), homogentisate 1, 2-dioxygenase (HGD), etc. Together, these findings show the effect of tryptophan on abdominal fat color, as well as a negative regulatory effect of HAAO and 5-hydroxyindole on the production of xanthophyll compounds involved in abdominal fat coloration. Full article
(This article belongs to the Section Animal Genetics and Genomics)
Show Figures

Figure 1

20 pages, 2276 KB  
Article
A Novel RP-UHPLC-MS/MS Approach for the Determination of Tryptophan Metabolites Derivatized with 2-Bromo-4′-Nitroacetophenone
by Timotej Jankech, Ivana Gerhardtova, Petra Majerova, Juraj Piestansky, Lubica Fialova, Josef Jampilek and Andrej Kovac
Biomedicines 2024, 12(5), 1003; https://doi.org/10.3390/biomedicines12051003 - 2 May 2024
Cited by 2 | Viewed by 3512
Abstract
Many biologically active metabolites of the essential amino acid L-tryptophan (Trp) are associated with different neurodegenerative diseases and neurological disorders. Precise and reliable methods for their determination are needed. Variability in their physicochemical properties makes the analytical process challenging. In this case, chemical [...] Read more.
Many biologically active metabolites of the essential amino acid L-tryptophan (Trp) are associated with different neurodegenerative diseases and neurological disorders. Precise and reliable methods for their determination are needed. Variability in their physicochemical properties makes the analytical process challenging. In this case, chemical modification of analyte derivatization could come into play. Here, we introduce a novel fast reversed-phase ultra-high-performance liquid chromatography (RP-UHPLC) coupled with tandem mass spectrometry (MS/MS) method for the determination of Trp and its ten metabolites in human plasma samples after derivatization with 2-bromo-4′-nitroacetophenone (BNAP). The derivatization procedure was optimized in terms of incubation time, temperature, concentration, and volume of the derivatization reagent. Method development comprises a choice of a suitable stationary phase, mobile phase composition, and gradient elution optimization. The developed method was validated according to the ICH guidelines. Results of all validation parameters were within the acceptance criteria of the guideline, i.e., intra- and inter-day precision (expressed as relative standard deviation; RSD) were in the range of 0.5–8.2% and 2.3–7.4%, accuracy was in the range of 93.3–109.7% and 94.7–110.1%, limits of detection (LODs) were in the range of 0.15–9.43 ng/mL, coefficients of determination (R2) were higher than 0.9906, and carryovers were, in all cases, less than 8.8%. The practicability of the method was evaluated using the blue applicability grade index (BAGI) with a score of 65. Finally, the developed method was used for the analysis of Alzheimer’s disease and healthy control plasma to prove its applicability. Statistical analysis revealed significant changes in picolinic acid (PA), anthranilic acid (AA), 5 hydroxyindole-3-acetic acid (5-OH IAA), and quinolinic acid (QA) concentration levels. This could serve as the basis for future studies that will be conducted with a large cohort of patients. Full article
(This article belongs to the Special Issue Biomedical and Biochemical Basis of Neurodegenerative Diseases)
Show Figures

Figure 1

14 pages, 3800 KB  
Article
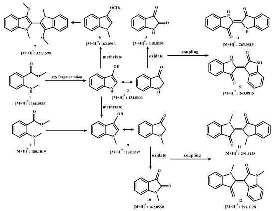
Mass Spectrometry Rearrangement Ions and Metabolic Pathway-Based Discovery of Indole Derivatives during the Aging Process in Citrus reticulata ‘Chachi’
by Tian Li, Ke Chen, Xiaoming Wang, Ying Wang, Yue Su and Yinlong Guo
Foods 2024, 13(1), 8; https://doi.org/10.3390/foods13010008 - 19 Dec 2023
Cited by 2 | Viewed by 2533
Abstract
The rapid analysis and characterization of compounds using mass spectrometry (MS) may overlook trace compounds. Although targeted analysis methods can significantly improve detection sensitivity, it is hard to discover novel scaffold compounds in the trace. This study developed a strategy for discovering trace [...] Read more.
The rapid analysis and characterization of compounds using mass spectrometry (MS) may overlook trace compounds. Although targeted analysis methods can significantly improve detection sensitivity, it is hard to discover novel scaffold compounds in the trace. This study developed a strategy for discovering trace compounds in the aging process of traditional Chinese medicine based on MS fragmentation and known metabolic pathways. Specifically, we found that the characteristic component of C. reticulata ‘Chachi’, methyl N-methyl anthranilate (MMA), fragmented in electrospray ionization coupled with collision-induced dissociation (CID) to produce the rearrangement ion 3-hydroxyindole, which was proven to exist in trace amounts in C. reticulata ‘Chachi’ based on comparison with the reference substance using liquid chromatography–tandem mass spectrometry (LC–MS/MS). Combining the known metabolic pathways of 3-hydroxyindole and the possible methylation reactions that may occur during aging, a total of 10 possible indole derivatives were untargeted predicted. These compounds were confirmed to originate from MMA using purchased or synthesized reference substances, all of which were detected in C. reticulata ‘Chachi’ through LC–MS/MS, achieving trace compound analysis from untargeted to targeted. These results may contribute to explaining the aging mechanism of C. reticulata ‘Chachi’, and the strategy of using the CID-induced special rearrangement ion-binding metabolic pathway has potential application value for discovering trace compounds. Full article
(This article belongs to the Section Food Analytical Methods)
Show Figures

Graphical abstract

15 pages, 2695 KB  
Article
Analysis of 4-Hydroxyphenyllactic Acid and Other Diagnostically Important Metabolites of α-Amino Acids in Human Blood Serum Using a Validated and Sensitive Ultra-High-Pressure Liquid Chromatography-Tandem Mass Spectrometry Method
by Pavel D. Sobolev, Natalia A. Burnakova, Natalia V. Beloborodova, Alexander I. Revelsky and Alisa K. Pautova
Metabolites 2023, 13(11), 1128; https://doi.org/10.3390/metabo13111128 - 3 Nov 2023
Cited by 9 | Viewed by 3237
Abstract
The profile of and dynamic concentration changes in tyrosine, phenylalanine, and tryptophan metabolites in blood are of great interest since they could be considered potential biomarkers of different disorders. Some aromatic metabolites, such as 4-hydroxyphenyllactic, 4-hydroxyphenylacetic, phenyllactic, and 4-hydroxybenzoic acids have previously demonstrated [...] Read more.
The profile of and dynamic concentration changes in tyrosine, phenylalanine, and tryptophan metabolites in blood are of great interest since they could be considered potential biomarkers of different disorders. Some aromatic metabolites, such as 4-hydroxyphenyllactic, 4-hydroxyphenylacetic, phenyllactic, and 4-hydroxybenzoic acids have previously demonstrated their diagnostic significance in critically ill patients and patients with post-COVID-19 syndrome. In this study, a sensitive method, including serum protein precipitation with methanol and ultra-high-pressure liquid chromatography-tandem mass spectrometry (UPLC-MS/MS) detection, was developed and validated for six phenyl- and five indole-containing acids in human serum. The liquid–liquid extraction was also examined, but it demonstrated unsatisfactory results based on analyte recoveries and the matrix effect. However, the recoveries for all analytes reached 100% and matrix effects were not observed using protein precipitation. This made it possible to use deionized water as a blank matrix. The lower limits of quantitation (LLOQs) were from 0.02 to 0.25 μmol/L. The validated method was used for the analysis of serum samples of healthy volunteers (n = 48) to reveal the reference values of the target analytes. The concentrations of the most clinically significant metabolite 4-hydroxyphenyllactic acid, which were revealed using UPLC-MS/MS and a previously developed gas chromatography-mass spectrometry method, were completely comparable. The proposed UPLC-MS/MS protocol can be used in the routine clinical practice of medical centers. Full article
(This article belongs to the Special Issue Metabolic Profiling of Aromatic Compounds)
Show Figures

Graphical abstract

13 pages, 1000 KB  
Article
Selenium Biofortification Effect on Glucosinolate Content of Brassica oleracea var. italic and Eruca vesicaria
by Azra Đulović, Katarina Usanović, Lea Kukoč Modun and Ivica Blažević
Molecules 2023, 28(20), 7203; https://doi.org/10.3390/molecules28207203 - 21 Oct 2023
Cited by 4 | Viewed by 2201
Abstract
Glucosinolates (GSLs) in different plant parts of broccoli (Brassica oleracea var. italic) and rocket (Eruca vesicaria) were analyzed qualitatively and quantitatively before and after treatment with sodium selenate (2 and 5 mM), by their desulfo-counterparts using the UHPLC-DAD-MS/MS technique. [...] Read more.
Glucosinolates (GSLs) in different plant parts of broccoli (Brassica oleracea var. italic) and rocket (Eruca vesicaria) were analyzed qualitatively and quantitatively before and after treatment with sodium selenate (2 and 5 mM), by their desulfo-counterparts using the UHPLC-DAD-MS/MS technique. Twelve GSLs were detected in broccoli (five aliphatic, one arylaliphatic, and six indolic), where 4-(methylsulfanyl)butyl GSL (glucoerucin) was the main one in the roots (4.88–9.89 µmol/g DW), 4-(methylsulfinyl)butyl GSL (glucoraphanin) in stems (0.44–1.11 µmol/g DW), and 4-hydroxyindol-3-ylmethyl GSL (4-hydroxyglucobrassicin) in leaves (0.51–0.60 µmol/g DW). No GSL containing selenium was detected in the treated broccoli. Ten GSLs were detected in rocket (seven aliphatic and three indolic), where 4-(methylsulfanyl)butyl GSL (glucoerucin) was the main one in the roots (4.50–20.59 µmol/g DW) and 4-methoxyindol-3-ylmethyl GSL (4-methoxyglucobrassicin) in the aerial part (0.57–5.69 µmol/g DW). As a result of induced stress by selenium fertilization, the total GSL content generally increased in both plants. In contrast to broccoli, the roots and the aerial part of the rocket treated with a high concentration of sodium selenate contained 4-(methylseleno)butyl GSL (glucoselenoerucin) (0.36–4.48 µmol/g DW). Although methionine-derived GSLs are the most abundant in both plants, the plants’ ability to tolerate selenate and its regulation by selenoglucosinolate production is species- and growth-stage-dependent. Full article
(This article belongs to the Special Issue Organosulfur and Organoselenium Chemistry)
Show Figures

Figure 1

Back to TopTop