Associations Between Gut Microbiota and Mitochondrial Metabolites, with Growth Differentiation Factor-15 as a Marker of Oxidative Stress in Heart Failure vs. Healthy Ageing
Abstract
1. Introduction
2. Materials and Methods
2.1. Study Population
2.2. Gas Chromatography–Mass Spectrometry (GC–MS) Analysis
2.3. Enzyme-Linked Immunosorbent Assay
2.4. Assessment of Body Composition
2.5. Statical Analyses
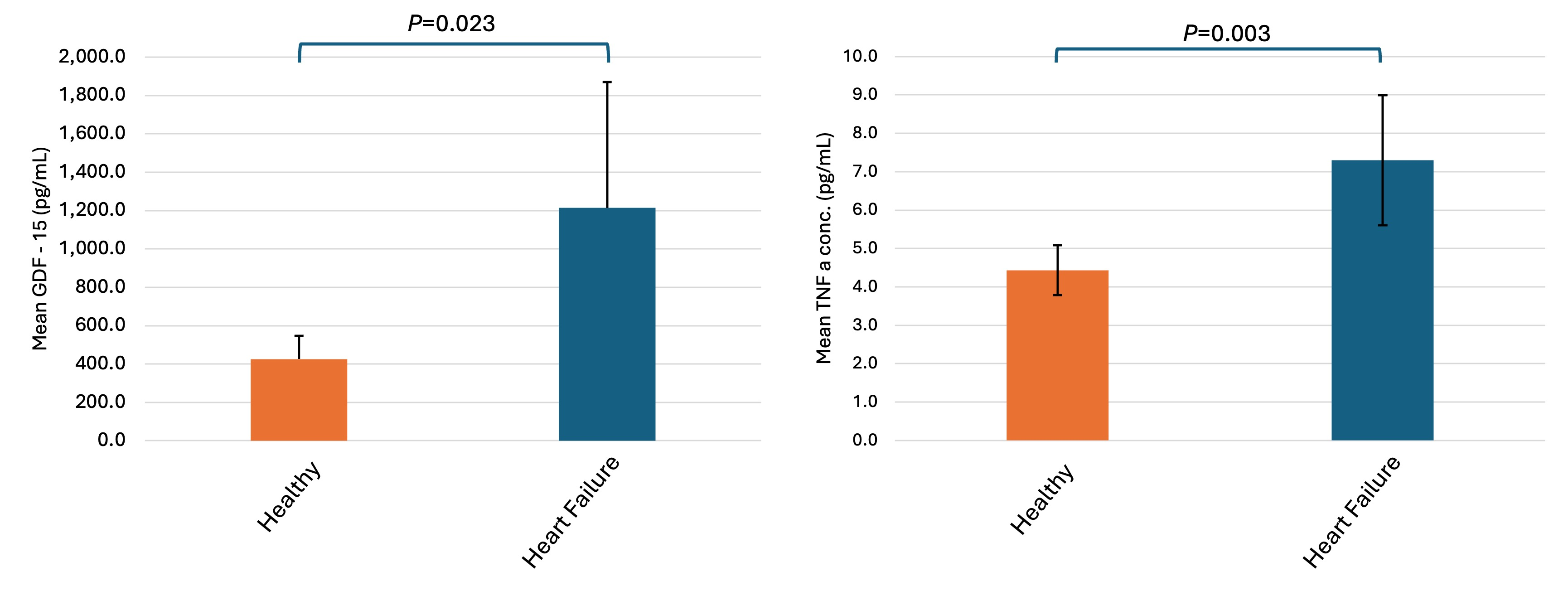
3. Results
3.1. Association of Gut-Derived Metabolites with GDF-15
3.2. Association of Gut-Derived Metabolites with Body Composition
3.3. Association of Mitochondrial Metabolites with GDF-15
4. Discussion
5. Conclusions
Supplementary Materials
Author Contributions
Funding
Institutional Review Board Statement
Informed Consent Statement
Data Availability Statement
Acknowledgments
Conflicts of Interest
References
- Davidson, S.M.; Andreadou, I.; Antoniades, C.; Bartunek, J.; Basso, C.; Brundel, B.J.J.M.; Byrne, R.A.; Chiva-Blanch, G.; da Costa Martins, P.; Evans, P.C.; et al. Opportunities and challenges for the use of human samples in translational cardiovascular research: A scientific statement of the ESC Working Group on Cellular Biology of the Heart, the ESC Working Group on Cardiovascular Surgery, the ESC Council on Basic Cardiovascular Science, the ESC Scientists of Tomorrow, the European Association of Percutaneous Cardiovascular Interventions of the ESC, and the Heart Failure Association of the ESC. Cardiovasc. Res. 2025, 121, 702–729. [Google Scholar] [CrossRef]
- di Candia, A.M.; de Avila, D.X.; Moreira, G.R.; Villacorta, H.; Maisel, A.S. Growth differentiation factor-15, a novel systemic biomarker of oxidative stress, inflammation, and cellular aging: Potential role in cardiovascular diseases. Am. Heart J. Plus 2021, 9, 100046. [Google Scholar] [CrossRef] [PubMed]
- Meng, X.; Li, Y.; Meng, L.; Yang, C.; Xia, C.; Wang, X.; Wang, F. Growth Differentiation Factor 15 Inhibits Cardiac Fibrosis, Oxidative Stress, Inflammation, and Apoptosis in a Rat Model of Heart Failure with Preserved Ejection Fraction. Front. Biosci. 2025, 30, 26857. [Google Scholar] [CrossRef] [PubMed]
- Kozhevnikova, M.V.; Belenkov, Y.N.; Shestakova, K.M.; Ageev, A.A.; Markin, P.A.; Kakotkina, A.V.; Korobkova, E.O.; Moskaleva, N.E.; Kuznetsov, I.V.; Khabarova, N.V.; et al. Metabolomic profiling in heart failure as a new tool for diagnosis and phenotyping. Sci. Rep. 2025, 15, 11849. [Google Scholar] [CrossRef]
- Huang, R.; Shen, Z.-Y.; Huang, D.; Zhao, S.-H.; Dan, L.-X.; Wu, P.; Tang, Q.-Z.; Ma, Z.-G. Microbiota-indole-3-propionic acid-heart axis mediates the protection of leflunomide against αPD1-induced cardiotoxicity in mice. Nat. Commun. 2025, 16, 2651. [Google Scholar] [CrossRef]
- Liu, G.; Nguyen, N.Q.H.; Wong, K.E.; Agarwal, S.K.; Boerwinkle, E.; Chang, P.P.; Claggett, B.L.; Loehr, L.R.; Ma, J.; Matsushita, K.; et al. Metabolomic Association and Risk Prediction With Heart Failure in Older Adults. Circ. Heart Fail. 2024, 17, e010896. [Google Scholar] [CrossRef]
- Schiattarella, G.G.; Kontaridis, M.I. Interorgan Crosstalk in Heart Failure and Cardiometabolic Diseases: A Compendium. Circ. Res. 2025, 136, 1167–1169. [Google Scholar] [CrossRef]
- Tang, W.H.W.; Li, D.Y.; Hazen, S.L. Dietary metabolism, the gut microbiome, and heart failure. Nat. Rev. Cardiol. 2019, 16, 137–154. [Google Scholar] [CrossRef]
- Lavelle, A.; Sokol, H. Gut microbiota-derived metabolites as key actors in inflammatory bowel disease. Nat. Rev. Gastroenterol. Hepatol. 2020, 17, 223–237. [Google Scholar] [CrossRef]
- Wang, Y.-C.; Koay, Y.C.; Pan, C.; Zhou, Z.; Tang, W.; Wilcox, J.; Li, X.S.; Zagouras, A.; Marques, F.; Allayee, H.; et al. Indole-3-Propionic Acid Protects Against Heart Failure With Preserved Ejection Fraction. Circ. Res. 2024, 134, 371–389. [Google Scholar] [CrossRef]
- Xing, P.Y.; Agrawal, R.; Jayaraman, A.; Martin, K.A.; Zhang, G.W.; Ngu, E.L.; Faylon, L.E.; Kjelleberg, S.; Rice, S.A.; Wang, Y.; et al. Microbial Indoles: Key Regulators of Organ Growth and Metabolic Function. Microorganisms 2024, 12, 719. [Google Scholar] [CrossRef] [PubMed]
- Sun, H.; Sun, K.; Tian, H.; Chen, X.; Su, S.; Tu, Y.; Chen, S.; Wang, J.; Peng, M.; Zeng, M.; et al. Integrated metagenomic and metabolomic analysis reveals distinctive stage-specific gut-microbiome-derived metabolites in intracranial aneurysms. Gut 2024, 73, 1662–1674. [Google Scholar] [CrossRef] [PubMed]
- Agus, A.; Clément, K.; Sokol, H. Gut microbiota-derived metabolites as central regulators in metabolic disorders. Gut 2021, 70, 1174–1182. [Google Scholar] [CrossRef]
- Martínez-Reyes, I.; Chandel, N.S. Mitochondrial TCA cycle metabolites control physiology and disease. Nat. Commun. 2020, 11, 102. [Google Scholar] [CrossRef]
- Furukawa, S.; Fujita, T.; Shimabukuro, M.; Iwaki, M.; Yamada, Y.; Nakajima, Y.; Nakayama, O.; Makishima, M.; Matsuda, M.; Shimomura, I. Increased oxidative stress in obesity and its impact on metabolic syndrome. J. Clin. Investig. 2004, 114, 1752–1761. [Google Scholar] [CrossRef]
- Trøseid, M.; Andersen, G.; Broch, K.; Hov, J.R. The gut microbiome in coronary artery disease and heart failure: Current knowledge and future directions. EBioMedicine 2020, 52, 102649. [Google Scholar] [CrossRef]
- Van Hul, M.; Cani, P.D. The gut microbiota in obesity and weight management: Microbes as friends or foe? Nat. Rev. Endocrinol. 2023, 19, 258–271. [Google Scholar] [CrossRef]
- Takaoka, M.; Tadross, J.A.; Al-Hadithi, A.; Zhao, X.; Villena-Gutiérrez, R.; Tromp, J.; Absar, S.; Au, M.; Harrison, J.; Coll, A.P.; et al. GDF15 antagonism limits severe heart failure and prevents cardiac cachexia. Cardiovasc. Res. 2024, 120, 2249–2260. [Google Scholar] [CrossRef]
- Kamper, R.S.; Nygaard, H.; Praeger-Jahnsen, L.; Ekmann, A.; Ditlev, S.B.; Schultz, M.; Hansen, S.K.; Hansen, P.; Pressel, E.; Suetta, C. GDF-15 is associated with sarcopenia and frailty in acutely admitted older medical patients. J. Cachexia Sarcopenia Muscle 2024, 15, 1549–1557. [Google Scholar] [CrossRef]
- McDonagh, T.A.; Metra, M.; Adamo, M.; Gardner, R.S.; Baumbach, A.; Böhm, M.; Burri, H.; Butler, J.; Čelutkienė, J.; Chioncel, O.; et al. 2021 ESC Guidelines for the diagnosis and treatment of acute and chronic heart failure. Eur. Heart J. 2021, 42, 3599–3726. [Google Scholar] [CrossRef]
- Prokopidis, K.; Farahani, S.J.; Altinpinar, B.G.; Khaiyat, O.; Burke, A.; Nortcliffe, A.; Lip, G.Y.H.; Sankaranarayanan, R.; Muhamadali, H.; Isanejad, M. Heart failure with physical frailty is associated with inflammation, insulin resistance, GDF-15 and impaired energy and amino acid metabolism. medRxiv 2025. [Google Scholar] [CrossRef]
- Dunn, W.B.; Wilson, I.D.; Nicholls, A.W.; Broadhurst, D. The importance of experimental design and QC samples in large-scale and MS-driven untargeted metabolomic studies of humans. Bioanalysis 2012, 4, 2249–2264. [Google Scholar] [CrossRef] [PubMed]
- Visser, M.; Pahor, M.; Tylavsky, F.; Kritchevsky, S.B.; Cauley, J.A.; Newman, A.B.; Blunt, B.A.; Harris, T.B. One- and two-year change in body composition as measured by DXA in a population-based cohort of older men and women. J. Appl. Physiol. 2003, 94, 2368–2374. [Google Scholar] [CrossRef] [PubMed]
- Asnicar, F.; Manghi, P.; Fackelmann, G.; Baldanzi, G.; Bakker, E.; Ricci, L.; Piccinno, G.; Piperni, E.; Mladenovic, K.; Amati, F.; et al. Gut micro-organisms associated with health, nutrition and dietary interventions. Nature 2025. [Google Scholar] [CrossRef]
- Sugiyama, K.; Starling, N.; Chau, I. New Horizons with Growth Differentiation Factor 15 in Oncology: From Cancer Cachexia and Tumour Immunity to Novel Therapeutic Strategies. Curr. Oncol. 2025, 32, 604. [Google Scholar] [CrossRef]
- Sharma, A.; Stevens, S.R.; Lucas, J.; Fiuzat, M.; Adams, K.F.; Whellan, D.J.; Donahue, M.P.; Kitzman, D.W.; Piña, I.L.; Zannad, F.; et al. Utility of Growth Differentiation Factor-15, A Marker of Oxidative Stress and Inflammation, in Chronic Heart Failure: Insights From the HF-ACTION Study. JACC Heart Fail. 2017, 5, 724–734. [Google Scholar] [CrossRef]
- Lewis, G.A.; Rosala-Hallas, A.; Dodd, S.; Schelbert, E.B.; Williams, S.G.; Cunnington, C.; McDonagh, T.; Miller, C.A. Characteristics Associated With Growth Differentiation Factor 15 in Heart Failure With Preserved Ejection Fraction and the Impact of Pirfenidone. J. Am. Heart Assoc. 2022, 11, e024668. [Google Scholar] [CrossRef]
- Prokopidis, K.; Morwani-Mangnani, J.; McDowell, G.; Lip, G.Y.H.; Venturelli, M.; Sankaranarayanan, R.; Isanejad, M. Sarcopenia is linked to higher levels of B-type natriuretic peptide and its N-terminal fragment in heart failure: A systematic review and meta-analysis. Eur. Geriatr. Med. 2024, 15, 893–901. [Google Scholar] [CrossRef]
- Liu, Y.; Ge, M.; Xiao, X.; Lu, Y.; Zhao, W.; Zheng, K.; Yu, K.; He, Y.; Zhong, Q.; Zhou, L.; et al. Sarcosine decreases in sarcopenia and enhances muscle regeneration and adipose thermogenesis by activating anti-inflammatory macrophages. Nat. Aging 2025, 5, 1810–1827. [Google Scholar] [CrossRef]
- Cuesta, S.; Burdisso, P.; Segev, A.; Kourrich, S.; Sperandio, V. Gut colonization by Proteobacteria alters host metabolism and modulates cocaine neurobehavioral responses. Cell Host Microbe 2022, 30, 1615–1629.e5. [Google Scholar] [CrossRef]
- Zelicha, H.; Kloting, N.; Kaplan, A.; Yaskolka Meir, A.; Rinott, E.; Tsaban, G.; Chassidim, Y.; Bluher, M.; Ceglarek, U.; Isermann, B.; et al. The effect of high-polyphenol Mediterranean diet on visceral adiposity: The DIRECT PLUS randomized controlled trial. BMC Med. 2022, 20, 327. [Google Scholar] [CrossRef] [PubMed]
- Li, M.; Wang, X.; Zeng, N.; Wu, Z.; Yu, C.; Sun, D.; Liu, Y.; Cao, D.; Zhang, P.; Yang, L.; et al. Effect of Bariatric Surgery on Non-alcoholic Fatty Liver Disease: An Exploratory Metabolomics and Validation Study. Obes. Surg. 2025, 35, 3608–3618. [Google Scholar] [CrossRef] [PubMed]
- Vacca, A.; Schiattarella, G.G. From Gut to Heart: Role of Indole-3-Propionic Acid in HFpEF. Circ. Res. 2024, 134, 390–392. [Google Scholar] [CrossRef]
- Mirkowski, K.; Vellone, E.; Żółkowska, B.; Jędrzejczyk, M.; Czapla, M.; Uchmanowicz, I.; Uchmanowicz, B. Frailty and Heart Failure: Clinical Insights, Patient Outcomes and Future Directions. Card. Fail. Rev. 2025, 11, e05. [Google Scholar] [CrossRef]
- Liu, H.; Wang, S.; Wang, J.; Guo, X.; Song, Y.; Fu, K.; Gao, Z.; Liu, D.; He, W.; Yang, L.L. Energy metabolism in health and diseases. Signal Transduct. Target. Ther. 2025, 10, 69. [Google Scholar] [CrossRef]
- Hinton, A.; Claypool, S.M.; Neikirk, K.; Senoo, N.; Wanjalla, C.N.; Kirabo, A.; Williams, C.R. Mitochondrial Structure and Function in Human Heart Failure. Circ. Res. 2024, 135, 372–396. [Google Scholar] [CrossRef]
- Conte, M.; Sabbatinelli, J.; Chiariello, A.; Martucci, M.; Santoro, A.; Monti, D.; Arcaro, M.; Galimberti, D.; Scarpini, E.; Bonfigli, A.R.; et al. Disease-specific plasma levels of mitokines FGF21, GDF15, and Humanin in type II diabetes and Alzheimer’s disease in comparison with healthy aging. Geroscience 2021, 43, 985–1001. [Google Scholar] [CrossRef]
- Chen, J.; Kastroll, J.; Bello, F.M.; Pangburn, M.M.; Murali, A.; Smith, P.M.; Rychcik, K.; Loughridge, K.E.; Vandevender, A.M.; Dedousis, N.; et al. Skeletal muscle mitochondrial dysfunction is associated with increased Gdf15 expression and circulating GDF15 levels in aged mice. Sci. Rep. 2025, 15, 8101. [Google Scholar] [CrossRef]
- Lena, A.; Anker, M.S.; Springer, J. Muscle Wasting and Sarcopenia in Heart Failure-The Current State of Science. Int. J. Mol. Sci. 2020, 21, 6549. [Google Scholar] [CrossRef] [PubMed] [PubMed Central]




| Variable | Tertile 1 (71.2–313.4) | Tertile 2 (334.2–661.2) | Tertile 3 (683.4–3556.9) | p-Value |
|---|---|---|---|---|
| HP/HF | 11/4 | 9/6 | 4/11 | 0.029 |
| Age (Years) | 64.40 (10.43) | 67.47 (10.72) | 70.87 (9.95) | 0.244 |
| Number of Comorbidities | 0.40 (1.06) | 1.08 (1.71) | 2.60 (2.41) | 0.006 |
| Systolic BP (mmHg) | 131.67 (11.19) | 127.80 (20.40) | 124.73 (12.93) | 0.471 |
| Diastolic BP (mmHg) | 78.47 (8.54) | 75.73 (10.56) | 72.07 (13.23) | 0.286 |
| Sarcopenia Quality of Life score | 79.7 (12.1) | 76.4 (9.2) | 59.7 (20.5) | 0.001 |
| Physical Activity Score | 2.75 (0.5) | 2.0 (0.6) | 1.5 (0.5) | 0.019 |
| Body Mass Index (kg/m2) | 25.05 (2.77) | 27.67 (5.26) | 29.79 (6.10) | 0.039 |
| Total Fat Mass (kg) | 22.01 (5.93) | 26.94 (9.93) | 31.15 (10.72) | 0.030 |
| Total Lean Mass (kg) | 46.35 (10.32) | 48.15 (10.99) | 50.57 (8.82) | 0.520 |
| ALSTI (kg/m2) | 7.50 (1.33) | 7.43 (1.38) | 7.82 (1.13) | 0.682 |
| ALSTI/BMI | 0.299 (0.036) | 0.272 (0.027) | 0.267 (0.035) | 0.028 |
| Total Fat-Free Mass (kg) | 48.97 (10.86) | 50.89 (11.62) | 53.32 (9.19) | 0.535 |
| NT-proBNP (pg/mL) | 109.14 (41.14) | 90.55 (71.07) | 228.95 (192.76) | 0.029 |
| TNF-α (pg/mL) | 4.04 (1.35) | 6.65 (4.61) | 6.92 (2.53) | 0.029 |
| Predictor | Group | β (Standardized) | p-Value |
|---|---|---|---|
| Sarcosinamide | HP | –0.003 | 0.988 |
| HF | –0.036 | 0.878 | |
| Sarcosine | HP | 0.466 | 0.025 |
| HF | 0.191 | 0.407 | |
| Indole-3-acetic acid | HP | 0.083 | 0.748 |
| HF | 0.493 | 0.023 | |
| Indole-3 propionic acid | HP | 0.023 | 0.362 |
| HF | 0.064 | 0.234 | |
| 3-hydroxyindole | HP | 0.232 | 0.287 |
| HF | –0.111 | 0.631 | |
| Hippuric acid | HP | –0.024 | 0.913 |
| HF | 0.017 | 0.943 |
| Predictor | Group | β (Standardized) | p-Value |
|---|---|---|---|
| Sarcosinamide | HP | –0.023 | 0.911 |
| HF | 0.068 | 0.752 | |
| Sarcosine | HP | 0.344 | 0.079 |
| HF | 0.244 | 0.250 | |
| Indole-3-acetic acid | HP | –0.225 | 0.258 |
| HF | –0.065 | 0.763 | |
| Indole-3 propionic acid | HP | 0.073 | 0.717 |
| HF | 0.001 | 0.741 | |
| 3-hydroxyindole | HP | 0.396 | 0.041 |
| HF | 0.364 | 0.081 | |
| Hippuric acid | HP | 0.064 | 0.753 |
| HF | –0.410 | 0.047 |
| Predictor | Group | β (Standardized) | p-Value |
|---|---|---|---|
| Hippuric acid | HP | –0.166 | 0.416 |
| HF | 0.013 | 0.956 | |
| Indole-3-acetic acid | HP | 0.132 | 0.522 |
| HF | –0.129 | 0.567 | |
| Indole-3 propionic acid | HP | 0.001 | 0.154 |
| HF | 0.001 | 0.645 | |
| 3-hydroxyindole | HP | 0.066 | 0.750 |
| HF | –0.305 | 0.168 | |
| Sarcosine | HP | –0.379 | 0.056 |
| HF | –0.068 | 0.764 | |
| Sarcosinamide | HP | –0.012 | 0.955 |
| HF | 0.087 | 0.699 |
| Predictor | Group | β (Standardized) | p-Value |
|---|---|---|---|
| Pyruvic acid | HP | 0.470 | 0.024 |
| HF | 0.695 | <0.001 | |
| Fumaric acid | HP | –0.161 | 0.463 |
| HF | 0.729 | <0.001 | |
| Citric acid | HP | 0.151 | 0.491 |
| HF | –0.133 | 0.566 | |
| Glutamic acid | HP | 0.338 | 0.114 |
| HF | –0.104 | 0.653 | |
| 2-Oxoglutaric (glutaric) acid | HP | 0.128 | 0.561 |
| HF | 0.304 | 0.181 | |
| Malic acid | HP | 0.097 | 0.661 |
| HF | 0.296 | 0.193 | |
| Proline | HP | 0.287 | 0.184 |
| HF | 0.305 | 0.179 |
| Predictor | Group | β (Standardized) | p-Value |
|---|---|---|---|
| Pyruvic acid | HP | –0.374 | 0.060 |
| HF | –0.184 | 0.414 | |
| Fumaric acid | HP | 0.022 | 0.915 |
| HF | –0.053 | 0.816 | |
| Citric acid | HP | 0.259 | 0.202 |
| HF | 0.178 | 0.428 | |
| Glutamic acid | HP | –0.101 | 0.622 |
| HF | 0.018 | 0.938 | |
| Malonic acid | HP | 0.239 | 0.239 |
| HF | –0.215 | 0.336 |
| Predictor | Group | β (Standardized) | p-Value |
|---|---|---|---|
| Pyruvic acid | HP | 0.325 | 0.098 |
| HF | 0.223 | 0.294 | |
| Fumaric acid | HP | 0.143 | 0.476 |
| HF | –0.191 | 0.371 | |
| Citric acid | HP | –0.248 | 0.212 |
| HF | –0.162 | 0.449 | |
| Glutamic acid | HP | 0.091 | 0.651 |
| HF | –0.003 | 0.987 | |
| 2-Oxoglutaric (glutaric) acid | HP | 0.161 | 0.423 |
| HF | –0.056 | 0.794 | |
| Malonic acid | HP | –0.018 | 0.930 |
| HF | 0.064 | 0.767 |
Disclaimer/Publisher’s Note: The statements, opinions and data contained in all publications are solely those of the individual author(s) and contributor(s) and not of MDPI and/or the editor(s). MDPI and/or the editor(s) disclaim responsibility for any injury to people or property resulting from any ideas, methods, instructions or products referred to in the content. |
© 2026 by the authors. Licensee MDPI, Basel, Switzerland. This article is an open access article distributed under the terms and conditions of the Creative Commons Attribution (CC BY) license.
Share and Cite
Prokopidis, K.; Burke, A.; Altinpinar, B.G.; Farahani, S.J.; Khaiyat, O.; Lip, G.Y.H.; Sankaranarayanan, R.; Pekovic-Vaughan, V.; Muhamadali, H.; Isanejad, M. Associations Between Gut Microbiota and Mitochondrial Metabolites, with Growth Differentiation Factor-15 as a Marker of Oxidative Stress in Heart Failure vs. Healthy Ageing. Antioxidants 2026, 15, 199. https://doi.org/10.3390/antiox15020199
Prokopidis K, Burke A, Altinpinar BG, Farahani SJ, Khaiyat O, Lip GYH, Sankaranarayanan R, Pekovic-Vaughan V, Muhamadali H, Isanejad M. Associations Between Gut Microbiota and Mitochondrial Metabolites, with Growth Differentiation Factor-15 as a Marker of Oxidative Stress in Heart Failure vs. Healthy Ageing. Antioxidants. 2026; 15(2):199. https://doi.org/10.3390/antiox15020199
Chicago/Turabian StyleProkopidis, Konstantinos, Adam Burke, Beyza Gulsah Altinpinar, Sima Jalali Farahani, Omid Khaiyat, Gregory Y. H. Lip, Rajiv Sankaranarayanan, Vanja Pekovic-Vaughan, Howbeer Muhamadali, and Masoud Isanejad. 2026. "Associations Between Gut Microbiota and Mitochondrial Metabolites, with Growth Differentiation Factor-15 as a Marker of Oxidative Stress in Heart Failure vs. Healthy Ageing" Antioxidants 15, no. 2: 199. https://doi.org/10.3390/antiox15020199
APA StyleProkopidis, K., Burke, A., Altinpinar, B. G., Farahani, S. J., Khaiyat, O., Lip, G. Y. H., Sankaranarayanan, R., Pekovic-Vaughan, V., Muhamadali, H., & Isanejad, M. (2026). Associations Between Gut Microbiota and Mitochondrial Metabolites, with Growth Differentiation Factor-15 as a Marker of Oxidative Stress in Heart Failure vs. Healthy Ageing. Antioxidants, 15(2), 199. https://doi.org/10.3390/antiox15020199

