Sign in to use this feature.

Years

Between: -

Subjects

remove_circle_outline
remove_circle_outline
remove_circle_outline
remove_circle_outline
remove_circle_outline
remove_circle_outline
remove_circle_outline
remove_circle_outline
remove_circle_outline

Journals

remove_circle_outline
remove_circle_outline
remove_circle_outline
remove_circle_outline
remove_circle_outline
remove_circle_outline
remove_circle_outline
remove_circle_outline

Article Types

Countries / Regions

remove_circle_outline
remove_circle_outline
remove_circle_outline
remove_circle_outline
remove_circle_outline
remove_circle_outline
remove_circle_outline

Search Results (657)

Search Parameters:
Keywords = 2.5D path planning

Order results
Result details
Results per page
Select all
Export citation of selected articles as:
49 pages, 35649 KB  
Article
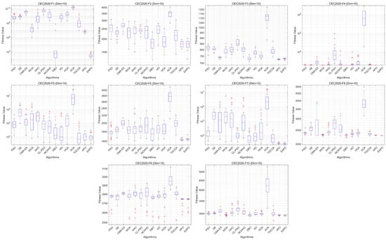
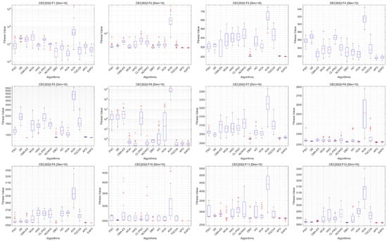
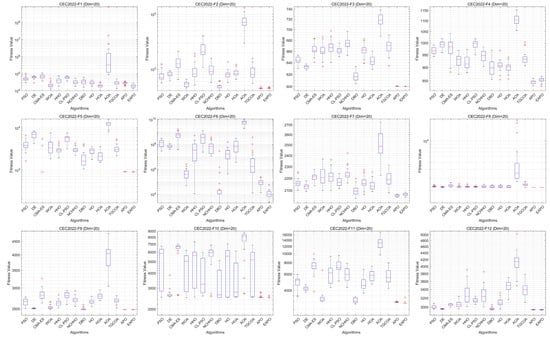
EAPO: A Multi-Strategy-Enhanced Artificial Protozoa Optimizer and Its Application to 3D UAV Path Planning
by Xiaojie Tang, Chengfen Jia and Pengju Qu
Mathematics 2026, 14(1), 153; https://doi.org/10.3390/math14010153 - 31 Dec 2025
Abstract
Three-dimensional unmanned aerial vehicle (UAV) path planning presents a challenging optimization problem characterized by high dimensionality, strong nonlinearity, and multiple constraints. To address these complexities, this study proposes an Enhanced Protozoan Optimizer (EAPO) by refining the initialization, behavioral decision-making, environmental perception, and population [...] Read more.
Three-dimensional unmanned aerial vehicle (UAV) path planning presents a challenging optimization problem characterized by high dimensionality, strong nonlinearity, and multiple constraints. To address these complexities, this study proposes an Enhanced Protozoan Optimizer (EAPO) by refining the initialization, behavioral decision-making, environmental perception, and population diversity preservation mechanisms of the original Protozoan Optimizer. Specifically: Latin hypercube sampling enriches initial population diversity; a behavior adaptation mechanism based on historical success dynamically adjusts the exploration-exploitation balance; environmental structure modeling using perception fields enhances local exploitation capabilities; an adaptive hibernation-reconstruction strategy boosts global escape ability. Ablation experiment validates the effectiveness of each enhancement module, while exploration-exploitation analysis demonstrates EAPO maintains an optimal balance throughout the optimization process. Comprehensive evaluations using CEC2022 and CEC2020 benchmark datasets, ten real-world engineering design problems, and four drone path planning scenarios of varying scales and complexities further validate its excellent performance. Experimental results demonstrate that EAPO outperforms the baseline APO and twelve advanced optimizers in convergence accuracy, stability, and robustness. In UAV path planning applications, paths generated by EAPO satisfy all constraints and outperform APO-generated paths across multiple path quality evaluation metrics concerning safety, smoothness, and energy consumption. Compared to APO, EAPO achieved average fitness improvements of 14.0%, 4.5%, 8.7%, and 31.42% across the four maps, respectively, fully demonstrating its practical value and formidable capability in tackling complex engineering optimization problems. Full article
Show Figures

Figure 1

24 pages, 5823 KB  
Article
Path Planning of an Underwater Vehicle by CFD Numerical Simulation Combined with a Migration-Based Genetic Algorithm
by Bing Yang, Ligang Yao, Leilei Chen and Weilin Luo
J. Mar. Sci. Eng. 2026, 14(1), 74; https://doi.org/10.3390/jmse14010074 - 30 Dec 2025
Abstract
This paper proposes a physics-informed global path planning framework for underwater vehicles integrating CFD simulation and the genetic algorithm. The CFD simulation models the flow field along the planned path of the underwater vehicle. The current velocity data are incorporated into the following [...] Read more.
This paper proposes a physics-informed global path planning framework for underwater vehicles integrating CFD simulation and the genetic algorithm. The CFD simulation models the flow field along the planned path of the underwater vehicle. The current velocity data are incorporated into the following path planning that is based on an improved genetic algorithm (GA), which uses migration operators to share the information about feasible solutions or paths, improving the fitness of the whole population. In the three steps of the GA procedure, an elite selection strategy is adopted to avoid losing excellent solutions. A segmented crossover strategy is adopted to avoid low-quality crossover. An adaptive mutation strategy is used to enhance the ability to escape a local optimal solution. Using the improved GA, single-target and multi-target underwater path planning are investigated. In multi-target path planning, a combined algorithm is proposed to solve the optimal traversal order of target points and plan a feasible path between target points. The simulation results show that the proposed algorithm has good planning ability for both simple and complex underwater scenarios. Compared with the conventional GA and an improved GA, the number of average iterations decreases by 45.3% and 29.9%, respectively, for 2D multi-target path planning. The number of average inflection points decreases by 50.3% and 44.2%, respectively, for 2D multi-target path planning. Full article
(This article belongs to the Section Ocean Engineering)
Show Figures

Figure 1

19 pages, 3159 KB  
Article
Collaborative Obstacle Avoidance for UAV Swarms Based on Improved Artificial Potential Field Method
by Yue Han, Luji Guo, Chenbo Zhao, Meini Yuan and Pengyun Chen
Eng 2026, 7(1), 10; https://doi.org/10.3390/eng7010010 - 29 Dec 2025
Viewed by 110
Abstract
This paper addresses the issues of target unreachability and local optima in traditional artificial potential field (APF) methods for UAV swarm path planning by proposing an improved collaborative obstacle avoidance algorithm. By introducing a virtual target position function to reconstruct the repulsive field [...] Read more.
This paper addresses the issues of target unreachability and local optima in traditional artificial potential field (APF) methods for UAV swarm path planning by proposing an improved collaborative obstacle avoidance algorithm. By introducing a virtual target position function to reconstruct the repulsive field model, the repulsive force exponentially decays as the UAV approaches the target, effectively resolving the problem where excessive obstacle repulsion prevents UAVs from reaching the goal. Additionally, we design a dynamic virtual target point generation mechanism based on mechanical state detection to automatically create temporary target points when UAVs are trapped in local optima, thereby breaking force equilibrium. For multi-UAV collaboration, intra-formation UAVs are treated as dynamic obstacles, and a 3D repulsive field model is established to avoid local optima in planar scenarios. Combined with a leader–follower control strategy, a hybrid potential field position controller is designed to enable rapid formation reconfiguration post-obstacle avoidance. Simulation results demonstrate that the proposed improved APF method ensures safe obstacle avoidance and formation maintenance for UAV swarms in complex environments, significantly enhancing path planning reliability and effectiveness. Full article
Show Figures

Figure 1

19 pages, 4080 KB  
Article
Adaptive Path Planning for Robotic Winter Jujube Harvesting Using an Improved RRT-Connect Algorithm
by Anxiang Huang, Meng Zhou, Mengfei Liu, Yunxiao Pan, Jiapan Guo and Yaohua Hu
Agriculture 2026, 16(1), 47; https://doi.org/10.3390/agriculture16010047 - 25 Dec 2025
Viewed by 189
Abstract
Winter jujube harvesting is traditionally labor-intensive, yet declining labor availability and rising costs necessitate robotic automation to maintain agricultural competitiveness. Path planning for robotic arms in orchards faces challenges due to the unstructured, dynamic environment containing densely packed fruits and branches. To overcome [...] Read more.
Winter jujube harvesting is traditionally labor-intensive, yet declining labor availability and rising costs necessitate robotic automation to maintain agricultural competitiveness. Path planning for robotic arms in orchards faces challenges due to the unstructured, dynamic environment containing densely packed fruits and branches. To overcome the limitations of existing robotic path planning methods, this research proposes BMGA-RRT Connect (BVH-based Multilevel-step Gradient-descent Adaptive RRT), a novel algorithm integrating adaptive multilevel step-sizing, hierarchical Bounding Volume Hierarchy (BVH)-based collision detection, and gradient-descent path smoothing. Initially, an adaptive step-size strategy dynamically adjusts node expansions, optimizing efficiency and avoiding collisions; subsequently, a hierarchical BVH improves collision-detection speed, significantly reducing computational time; finally, gradient-descent smoothing enhances trajectory continuity and path quality. Comprehensive 2D and 3D simulation experiments, dynamic obstacle validations, and real-world winter jujube harvesting trials were conducted to assess algorithm performance. Results showed that BMGA-RRT Connect significantly reduced average computation time to 2.23 s (2D) and 7.12 s (3D), outperforming traditional algorithms in path quality, stability, and robustness. Specifically, BMGA-RRT Connect achieved 100% path planning success and 90% execution success in robotic harvesting tests. These findings demonstrate that BMGA-RRT Connect provides an efficient, stable, and reliable solution for robotic harvesting in complex, unstructured agricultural settings, offering substantial promise for practical deployment in precision agriculture. Full article
(This article belongs to the Section Agricultural Technology)
Show Figures

Figure 1

28 pages, 6656 KB  
Article
Ecological Corridors for Tadaria brasiliensis in Agricultural Landscapes of Northern Mexico Integrating AHP, InVEST, and Least-Cost Path
by Karen Meraz-Molina, Sergio D. Luevano-Gurrola, Alfredo Pinedo-Alvarez, Federico Villarreal-Guerrero, Nathalie S. Hernández-Quiroz, Jesús S. Ibarra-Bonilla, Ismael Fontes-Palma, José H. Vega-Mares and Jesús A. Prieto-Amparán
Land 2026, 15(1), 39; https://doi.org/10.3390/land15010039 - 24 Dec 2025
Viewed by 261
Abstract
Habitat fragmentation due to anthropogenic pressures threats functional connectivity across landscapes for flying mammals. Tadarida brasiliensis depends on nocturnal movement corridors linking refuge and foraging areas, yet these pathways are increasingly constrained in semi-arid regions of northern Mexico. This study developed and analyzed [...] Read more.
Habitat fragmentation due to anthropogenic pressures threats functional connectivity across landscapes for flying mammals. Tadarida brasiliensis depends on nocturnal movement corridors linking refuge and foraging areas, yet these pathways are increasingly constrained in semi-arid regions of northern Mexico. This study developed and analyzed the potential ecological corridors connecting the main colony of T. brasiliensis located in Santa Eulalia with the Irrigation District 005 Delicias, in Chihuahua, Mexico. We integrated multi-source geospatial data within a geographic information system, including wind speed, terrain slope, normalized difference vegetation index, land surface temperature, distance to rivers, landscape aggregation, nighttime lighting, and distance to roads, power lines, and human settlements. Landscape resistance to movement was assessed using a combined framework based on the Analytic Hierarchy Process, the InVEST-Habitat Quality model, and Least Cost Path analysis, generating composite resistance. Five potential corridors were identified, with ranges of lengths and CWD:EucD ratios of 6.8–34.0 km and 20.4–51.3, respectively, reflecting variable cumulative resistance along pathways. Nighttime lighting and proximity to urban areas were major contributors to high resistance, particularly within urban and agricultural environments. The identified corridor network provides a spatial representation of potential routes and supports landscape-level conservation planning to mitigate anthropogenic pressures and maintain functional connectivity. Full article
(This article belongs to the Special Issue Landscape Fragmentation: Effects on Biodiversity and Wildlife)
Show Figures

Figure 1

20 pages, 3863 KB  
Article
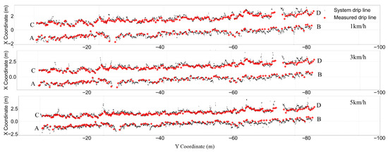
Research on a Multi-Sensor Fusion-Based Method for Fruit-Tree Dripline Path Detection
by Daochu Wei, Zhichong Wang, Jingwei Wang, Xuecheng Li, Wei Zou and Changyuan Zhai
Agronomy 2026, 16(1), 20; https://doi.org/10.3390/agronomy16010020 - 21 Dec 2025
Viewed by 222
Abstract
To enable automatic extraction of high-precision paths for intelligent orchard operations, a path detection method targeting the fruit-tree dripline is proposed. The method integrates 2D-LiDAR, RTK-GNSS, and an electronic compass, achieving time synchronization, coordinate-frame construction, and extrinsic calibration. Point clouds are rotation-normalized via [...] Read more.
To enable automatic extraction of high-precision paths for intelligent orchard operations, a path detection method targeting the fruit-tree dripline is proposed. The method integrates 2D-LiDAR, RTK-GNSS, and an electronic compass, achieving time synchronization, coordinate-frame construction, and extrinsic calibration. Point clouds are rotation-normalized via least-squares trajectory fitting; ground segmentation and statistical filtering suppress noise; segment-wise extremal edge points, together with an α-shape-based concave hull algorithm, fit and generate the dripline path; and inverse rotation restores the result to the orchard-local coordinate frame. Field experiments demonstrated that the method accurately extracts dripline paths in orchard environments; relative to manual measurements, the overall mean absolute error was 0.23 m and the root-mean-square error was 0.30 m. Across different travel speeds, the system exhibited good adaptability and stability, meeting the path-planning requirements of precision orchard operations. Full article
(This article belongs to the Special Issue Advances in Precision Pesticide Spraying Technology and Equipment)
Show Figures

Figure 1

14 pages, 2471 KB  
Article
Unmanned Aerial Vehicle Logistics Distribution Path Planning Based on Improved Grey Wolf Optimization Algorithm
by Wei-Qi Feng, Yong Yang, Lin-Feng Yang, Yu-Jie Fu and Kai-Jun Xu
Symmetry 2025, 17(12), 2178; https://doi.org/10.3390/sym17122178 - 18 Dec 2025
Viewed by 183
Abstract
Aiming to solve the bottlenecks of the traditional Grey Wolf Optimizer (GWO) in UAV three-dimensional path planning—including uneven initial population distribution, slow convergence speed, and proneness to local optima—this paper proposes an improved algorithm (CPS-GWO) that integrates the Kent chaotic map with Particle [...] Read more.
Aiming to solve the bottlenecks of the traditional Grey Wolf Optimizer (GWO) in UAV three-dimensional path planning—including uneven initial population distribution, slow convergence speed, and proneness to local optima—this paper proposes an improved algorithm (CPS-GWO) that integrates the Kent chaotic map with Particle Swarm Optimization (PSO) to mitigate these limitations. To enhance the diversity of the initial population, the Kent chaotic map is employed, as ergodicity ensures the symmetric distribution of the initial population, expanding search coverage; meanwhile, a nonlinear adaptive strategy is adopted to dynamically adjust the control parameter a, enabling flexible search behaviour. Furthermore, the grey wolf position update rule is optimized by incorporating the inertia weight and social learning mechanism of PSO, which strengthens the algorithm’s ability to balance exploration and exploitation. Additionally, a multi-objective comprehensive cost function is constructed, encompassing path length, collision penalty, height constraints, and path smoothness, to fully align with the practical demands of UAV path planning. To validate the performance of CPS-GWO, a three-dimensional urban simulation environment is established on the MATLAB platform. Comparative experiments with different population sizes are conducted, with the traditional GWO as the benchmark. The results demonstrate that, compared with the original GWO, (1) the average fitness of CPS-GWO is significantly reduced by 31.30–38.53%; (2) the path length is shortened by 15.62–22.12%; (3) path smoothness is improved by 43.44–51.52%; and (4) the fitness variance is only 9.58–12.16% of that of the traditional GWO, indicating notably enhanced robustness. Consequently, the proposed CPS-GWO effectively balances global exploration and local exploitation capabilities, thereby providing a novel technical solution for efficient path planning in UAV logistics and distribution under complex urban environments, which holds important engineering application value. Full article
Show Figures

Figure 1

21 pages, 2476 KB  
Article
Energy-Model-Based Global Path Planning for Pure Electric Commercial Vehicles Toward 3D Environments
by Kexue Lai, Dongye Sun, Binhao Xu, Feiya Li, Yunfei Liu, Guangliang Liao and Junhang Jian
Machines 2025, 13(12), 1151; https://doi.org/10.3390/machines13121151 - 17 Dec 2025
Viewed by 179
Abstract
Traditional path planning methods primarily optimize distance or time, without fully considering the impact of slope gradients in park road networks, variations in vehicle load capacity, and braking energy recovery characteristics on the energy consumption of pure electric commercial vehicles. To address these [...] Read more.
Traditional path planning methods primarily optimize distance or time, without fully considering the impact of slope gradients in park road networks, variations in vehicle load capacity, and braking energy recovery characteristics on the energy consumption of pure electric commercial vehicles. To address these issues, this paper proposes a globally optimized path planning method based on energy consumption minimization. The proposed method introduces a multi-factor coupled energy consumption model for pure electric commercial vehicles, integrating slope gradients, load capacity, motor efficiency, and energy recovery. Using this vehicle energy consumption model and the park road network topology map, an energy consumption topology map representing energy consumption between any two nodes is constructed. An energy-optimized improved ant colony optimization algorithm (E-IACO) is proposed. By introducing an exponential energy consumption heuristic factor and an enhanced pheromone update mechanism, it prioritizes energy-saving path exploration, thereby effectively identifying the optimal energy consumption path within the constructed energy consumption topology map. Simulation results demonstrate that in typical three-dimensional industrial park scenarios, the proposed energy-optimized path planning method achieves maximum reductions of 10.57% and 4.90% compared to the A* algorithm and ant colony optimization (ACO), respectively, with average reductions of 5.14% and 1.97%. It exhibits excellent stability and effectiveness across varying load capacities. This research provides a reliable theoretical framework and technical support for reducing logistics operational costs in industrial parks and enhancing the economic efficiency of pure electric commercial vehicles. Full article
(This article belongs to the Section Vehicle Engineering)
Show Figures

Figure 1

28 pages, 7423 KB  
Article
Autonomous BIM-Aware UAV Path Planning for Construction Inspection
by Nagham Amer Abdulateef, Zainab N. Jasim, Haider Ali Hasan, Bashar Alsadik and Yousif Hussein Khalaf
Geomatics 2025, 5(4), 79; https://doi.org/10.3390/geomatics5040079 - 12 Dec 2025
Viewed by 244
Abstract
Accurate 3D reconstructions of architecture, engineering, and construction AEC structures using UAV photogrammetry are often hindered by occlusions, excessive image overlaps, or insufficient coverage, leading to inefficient flight paths and extended mission durations. This work presents a BIM-aware, autonomous UAV trajectory generation framework [...] Read more.
Accurate 3D reconstructions of architecture, engineering, and construction AEC structures using UAV photogrammetry are often hindered by occlusions, excessive image overlaps, or insufficient coverage, leading to inefficient flight paths and extended mission durations. This work presents a BIM-aware, autonomous UAV trajectory generation framework wherein a compact, geometrically valid viewpoint network is first derived as a foundation for path planning. The network is optimized via Integer Linear Programming (ILP) to ensure coverage of IFC-modeled components while penalizing poor stereo geometry, GSD, and triangulation uncertainty. The resulting minimal network is then sequenced into a global path using a TSP solver and partitioned into battery-feasible epochs for operation on active construction sites. Evaluated on two synthetic and one real-world case study, the method produces autonomous UAV trajectories that are 31–63% more compact in camera usage, 17–35% shorter in path length, and 28–50% faster in execution time, without compromising coverage or reconstruction quality. The proposed integration of BIM modeling, ILP optimization, TSP sequencing, and endurance-aware partitioning enables the framework for digital-twin updates and QA/QC monitoring, accordingly, offering a unified, geometry-adaptive solution for autonomous UAV inspection and remote sensing. Full article
Show Figures

Figure 1

28 pages, 8330 KB  
Article
Effects of UAV-Based Image Collection Methodologies on the Quality of Reality Capture and Digital Twins of Bridges
by Rongxin Zhao, Huayong Wu, Feng Wang, Huaying Xu, Shuo Wang, Yuxuan Li, Tianyi Xu, Mingyu Shi and Yasutaka Narazaki
Infrastructures 2025, 10(12), 341; https://doi.org/10.3390/infrastructures10120341 - 10 Dec 2025
Viewed by 227
Abstract
Unmanned Aerial Vehicle (UAV)-based photogrammetric reconstruction is a key step in geometric digital twinning of bridges, but ensuring the quality of the reconstruction data through the planning of measurement configurations is not straightforward. This research investigates an approach for quantitatively evaluating the impact [...] Read more.
Unmanned Aerial Vehicle (UAV)-based photogrammetric reconstruction is a key step in geometric digital twinning of bridges, but ensuring the quality of the reconstruction data through the planning of measurement configurations is not straightforward. This research investigates an approach for quantitatively evaluating the impact of different methodologies and configurations of UAV-based image collection on the quality of the collected images and 3D reconstruction data in the bridge inspection context. For an industry-grade UAV and a consumer-grade UAV, paths for image collection from different Ground Sampling Distance (GSD) and image overlap ratios are considered, followed by the 3D reconstruction with different algorithm configurations. Then, an approach for evaluating these data collection methodologies and configurations is discussed, focusing on trajectory accuracy, point-cloud reconstruction quality, and accuracy of geometric measurements relevant to inspection tasks. Through a case study on short-span road bridges, errors in different steps of the photogrammetric 3D reconstruction workflow are characterized. The results indicate that, for the global dimensional measurements, the consumer-grade UAV works comparably to the industry-grade UAV with different GSDs. In contrast, the local measurement accuracy changes significantly depending on the selected hardware and path-planning parameters. This research provides practical insights into controlling 3D reconstruction data quality in the context of bridge inspection and geometric digital twinning. Full article
(This article belongs to the Section Infrastructures Inspection and Maintenance)
Show Figures

Figure 1

14 pages, 2239 KB  
Article
Energy-Efficient Path Planning for Snake Robots Using a Deep Reinforcement Learning-Enhanced A* Algorithm
by Yang Gu, Zelin Wang and Zhong Huang
Biomimetics 2025, 10(12), 826; https://doi.org/10.3390/biomimetics10120826 - 10 Dec 2025
Viewed by 342
Abstract
Snake-like robots, characterized by their high flexibility and multi-joint structure, exhibit exceptional adaptability to complex terrains such as snowfields, jungles, deserts, and underwater environments. Their ability to navigate narrow spaces and circumvent obstacles makes them ideal for operations in confined or rugged environments. [...] Read more.
Snake-like robots, characterized by their high flexibility and multi-joint structure, exhibit exceptional adaptability to complex terrains such as snowfields, jungles, deserts, and underwater environments. Their ability to navigate narrow spaces and circumvent obstacles makes them ideal for operations in confined or rugged environments. However, efficient motion in such conditions requires not only mechanical flexibility but also effective path planning to ensure safety, energy efficiency, and overall task performance. Most existing path planning algorithms for snake-like robots focus primarily on finding the shortest path between the start and target positions while neglecting the optimization of energy consumption during real operations. To address this limitation, this study proposes an energy-efficient path planning method based on an improved A* algorithm enhanced with deep reinforcement learning: Dueling Double-Deep Q-Network (D3QN). An Energy Consumption Estimation Model (ECEM) is first developed to evaluate the energetic cost of snake robot motion in three-dimensional space. This model is then integrated into a new heuristic function to guide the A* search toward energy-optimal trajectories. Simulation experiments were conducted in a 3D environment to assess the performance of the proposed approach. The results demonstrate that the improved A* algorithm effectively reduces the energy consumption of the snake robot compared with conventional algorithms. Specifically, the proposed method achieves an energy consumption of 68.79 J, which is 3.39%, 27.26%, and 5.91% lower than that of the traditional A* algorithm (71.20 J), the bidirectional A* algorithm (94.61 J), and the weighted improved A* algorithm (73.11 J), respectively. These findings confirm that integrating deep reinforcement learning with an adaptive heuristic function significantly enhances both the energy efficiency and practical applicability of snake robot path planning in complex 3D environments. Full article
(This article belongs to the Section Locomotion and Bioinspired Robotics)
Show Figures

Figure 1

17 pages, 10712 KB  
Article
An Euler Graph-Based Path Planning Method for Additive Manufacturing Thin-Walled Cellular Structures of Continuous Fiber-Reinforced Thermoplastic Composites
by Guocheng Liu, Fei Wang, Qiyong Tu, Ning Hu, Zhen Ouyang, Wenting Wei, Lei Yang and Chunze Yan
Polymers 2025, 17(23), 3236; https://doi.org/10.3390/polym17233236 - 4 Dec 2025
Viewed by 526
Abstract
Thin-walled cellular structures of continuous fiber-reinforced thermoplastic composites (CFRTPCs) have received much attention from both academics and industry due to their superior properties. Additive manufacturing provides an efficient solution for fabricating these thin-walled cellular structures of CFRTPCs. However, the process often requires cutting [...] Read more.
Thin-walled cellular structures of continuous fiber-reinforced thermoplastic composites (CFRTPCs) have received much attention from both academics and industry due to their superior properties. Additive manufacturing provides an efficient solution for fabricating these thin-walled cellular structures of CFRTPCs. However, the process often requires cutting fiber filaments at jumping points during printing. Furthermore, the filament may twist, fold, and break due to sharp turns in the printing path. These issues adversely affect the mechanical properties of the additive manufactured part. In this paper, a Euler graph-based path planning method for additive manufacturing of CFRTPCs is proposed to avoid jumping and sharp turns. Euler graphs are constructed from non-Eulerian graphs using the method of doubled edges. An optimized Hierholzer’s algorithm with pseudo-intersections is proposed to generate printing paths that satisfy the continuity, non-crossing, and avoid most of the sharp turns. The average turning angle was reduced by up to 20.88% and the number of turning angles less than or equal to 120° increased by up to 26.67% using optimized Hierholzer’s algorithm. In addition, the generated paths were verified by house-made robot-assisted additive manufacturing equipment. Full article
Show Figures

Graphical abstract

20 pages, 10998 KB  
Article
A Novel Semi-Hydroponic Root Observation System Combined with Unsupervised Semantic Segmentation for Root Phenotyping
by Kunhong Li, Siyue Xu, Christoph Menz, Feng Yang, Helder Fraga, João A. Santos, Bing Liu and Chenyao Yang
Agronomy 2025, 15(12), 2794; https://doi.org/10.3390/agronomy15122794 - 4 Dec 2025
Viewed by 441
Abstract
Root system analysis remains methodologically challenging in plant research: traditional soil cultivation obstructs comprehensive root observation, whereas hydroponic visualization lacks ecological relevance due to soil environment exclusion—a critical limitation for crops like soybean. This manuscript developed a cost-effective hybrid imaging system integrating transparent [...] Read more.
Root system analysis remains methodologically challenging in plant research: traditional soil cultivation obstructs comprehensive root observation, whereas hydroponic visualization lacks ecological relevance due to soil environment exclusion—a critical limitation for crops like soybean. This manuscript developed a cost-effective hybrid imaging system integrating transparent acrylic plates, semi-permeable membranes, and natural soil substrates with high-resolution imaging and controlled illumination, enabling non-destructive root monitoring in quasi-natural soil conditions. Complementing this hardware innovation, this manuscript proposed an unsupervised semantic segmentation algorithm that synergizes path planning with an enhanced DBSCAN framework, achieving the precise extraction of primary and lateral root architectures. Experimental validation demonstrated superior performance in soybean root analysis, with segmentation metrics reaching 0.8444 accuracy, 0.9203 recall, 0.8743 F1-score, and 0.7921 mIoU—significantly outperforming existing unsupervised methods (p<0.01). Strong correlations (R2 > 0.94) with WinRHIZO in quantifying root length, projected area, dimensional parameters, and lateral root counts confirmed system reliability. This soil-compatible phenotyping platform establishes new opportunities for root research, with future developments targeting multi-crop adaptability and complex soil condition applications through modular hardware redesign and 3D reconstruction algorithm integration. Full article
Show Figures

Figure 1

25 pages, 5477 KB  
Article
Three-Dimensional UAV Trajectory Planning Based on Improved Sparrow Search Algorithm
by Yong Yang, Li Sun, Yujie Fu, Weiqi Feng and Kaijun Xu
Symmetry 2025, 17(12), 2071; https://doi.org/10.3390/sym17122071 - 3 Dec 2025
Viewed by 290
Abstract
Whether an unmanned aerial vehicle (UAV) can complete its mission successfully is determined by trajectory planning. Reasonable and efficient UAV trajectory planning in 3D environments is a complex global optimization problem, in which numerous constraints need to be considered carefully, including mountainous terrain, [...] Read more.
Whether an unmanned aerial vehicle (UAV) can complete its mission successfully is determined by trajectory planning. Reasonable and efficient UAV trajectory planning in 3D environments is a complex global optimization problem, in which numerous constraints need to be considered carefully, including mountainous terrain, obstacles, no-fly zones, safety altitude, smoothness, flight distance, and so on. Generally speaking, symmetry characteristics from the starting point to the endpoint can be concluded from the potential spatial multiple trajectories. Aiming at the deficiencies of the Sparrow Search Algorithm (SSA) in 3D symmetric trajectory planning such as population diversity and local optimization, the sine–cosine function and the Lévy flight strategy are combined, and the Improved Sparrow Search Algorithm (ISSA) is proposed, which can find a better solution in a shorter time by dynamically adjusting the search step size and increasing the occasional large step jumps so as to increase the symmetry balance of the global search and the local development. In order to verify the effectiveness of the improved algorithm, ISSA is simulated and compared with the Sparrow Search Algorithm (SSA), Particle Swarm Algorithm (PSO), Gray Wolf Algorithm (GWO) and Whale Optimization Algorithm (WOA) in the same environment. The results show that the ISSA algorithm outperforms the comparison algorithms in key indexes such as convergence speed, path cost, obstacle avoidance safety, and path smoothness, and can meet the requirement of obtaining a higher-quality flight path in a shorter number of iterations. Full article
(This article belongs to the Section Computer)
Show Figures

Figure 1

21 pages, 962 KB  
Article
Evaluating the Impact of Aggregation Operators on Fuzzy Signatures for Robot Path Planning
by Ahmet Mehmet Karadeniz, Csaba Hajdu, Áron Ballagi and László T. Kóczy
Sensors 2025, 25(23), 7342; https://doi.org/10.3390/s25237342 - 2 Dec 2025
Viewed by 380
Abstract
This study investigates the impact of different aggregation operators (commonly referred to as fuzzy operators) on the application of fuzzy signatures. Fuzzy signatures are specialized multidimensional data structures that symbolically represent data. As a use case, the study focuses on robot environment representation [...] Read more.
This study investigates the impact of different aggregation operators (commonly referred to as fuzzy operators) on the application of fuzzy signatures. Fuzzy signatures are specialized multidimensional data structures that symbolically represent data. As a use case, the study focuses on robot environment representation and path planning, presenting the results obtained by applying various aggregation operators including minimum, maximum, algebraic product and arithmetic mean on the normalized values obtained from the robot sensors. The comparison highlights their effects on the computational load and path lengths of the path planning task. The findings reveal that the most efficient aggregation operator, in terms of computational load and the path length, is the algebraic product aggregation operator. Specifically, the algebraic product consistently yielded the shortest paths (as low as 22 nodes) and the lowest execution times (down to 0.0913 s), demonstrating superior efficiency compared to the maximum operator, which resulted in path lengths up to 34 nodes and execution times reaching 0.1923 s. This represents an improvement of up to 35.3% reduction in path length and 52.5% reduction in execution time when comparing the algebraic product to the maximum operator based on observed extreme values. Furthermore, this work provides the first empirical comparison of fuzzy aggregation operators specifically for fuzzy signature-based mobile robot path planning. Full article
Show Figures

Figure 1

Back to TopTop