Research on a Multi-Sensor Fusion-Based Method for Fruit-Tree Dripline Path Detection
Abstract
1. Introduction
2. Materials and Methods
2.1. System Hardware Composition
2.2. System Software Implementation
2.2.1. Sensor-Data Import and Establishment of the Orchard-Local Coordinate Frame
2.2.2. Multi-Source Sensor Fusion and 3D Reconstruction of LiDAR Point Clouds
- (1)
- Time-interval partitioning: RTK epochs were used as nodes to form the continuous interval set .
- (2)
- Intra-interval interpolation: For each LiDAR timestamp , the linear interpolation Formula (4) was applied.where denotes the RTK value at time , denotes the RTK value at time , and denotes the time–progress ratio (0–1).
- (3)
- Boundary handling: Before the first node, the first RTK sample was held; beyond the last node, the last RTK sample was held; and an exact timestamp match used the corresponding RTK sample .
2.2.3. Rotation of LiDAR Point-Cloud Coordinates Based on Least-Squares Trajectory Fitting
2.2.4. Ground Segmentation and Outlier Filtering for LiDAR Point Clouds
2.2.5. Extraction of the Fruit-Tree Dripline Path
2.2.6. Coordinate Recovery Based on a Two-Dimensional Inverse Rotation Matrix
2.3. Field Validation Experiments
2.3.1. Orchard Experimental Protocol
System Positioning-Accuracy Test
Dripline Path Detection Test
2.3.2. Data Processing
3. Results and Discussion
3.1. System Positioning-Accuracy Test
3.2. Dripline Path Detection Experiments
3.2.1. Dripline Path Detection Performance Test
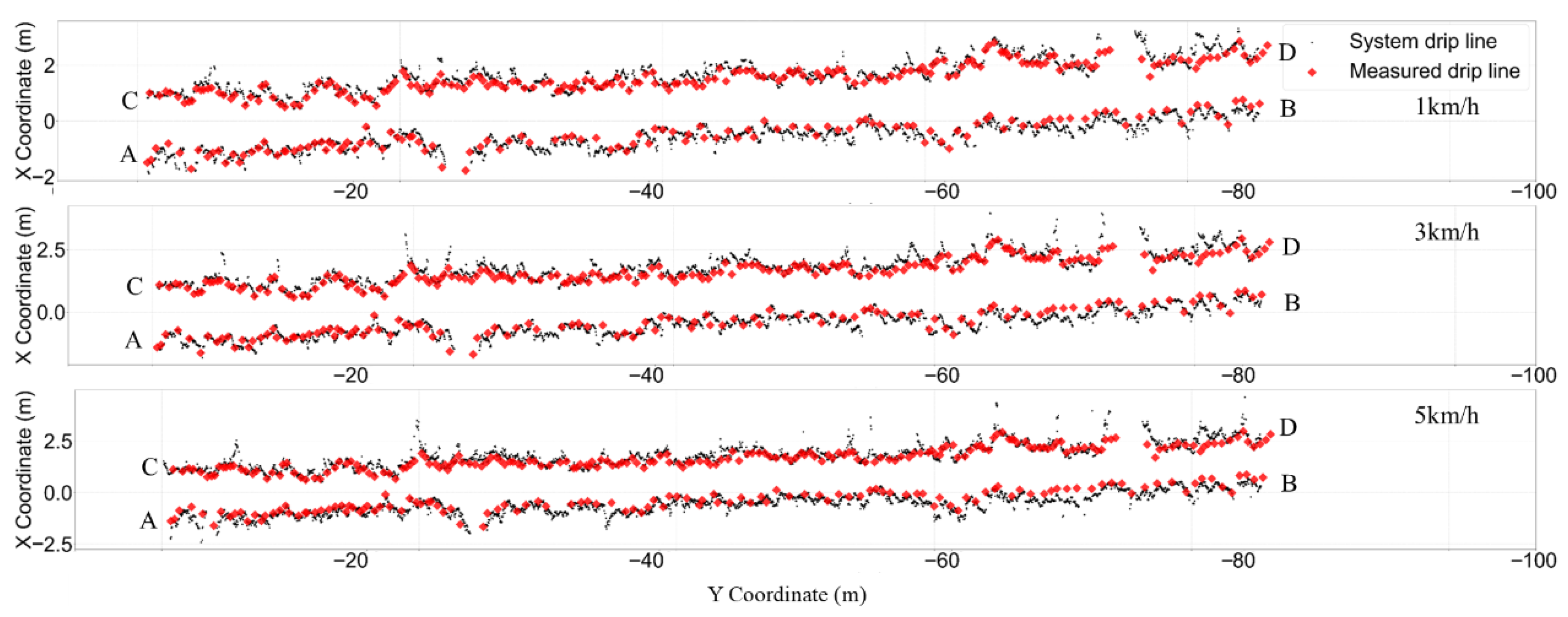
3.2.2. Detection Performance for the Dripline Path at Different Travel Speeds
3.3. Discussion
3.3.1. Discussion of System Positioning Results
3.3.2. Discussion of Dripline Path Detection Results
4. Conclusions
Author Contributions
Funding
Data Availability Statement
Conflicts of Interest
References
- Su, Z.; Zou, W.; Zhai, C.; Tan, H.; Yang, S.; Qin, X. Design of an Autonomous Orchard Navigation System Based on Multi-Sensor Fusion. Agronomy 2024, 14, 2825. [Google Scholar] [CrossRef]
- Xie, S. Precautions for Fertilizing Fruit Trees. Fujian Agric. 2012, 10, 11. [Google Scholar]
- Jiang, A.; Ahamed, T. Navigation of an Autonomous Spraying Robot for Orchard Operations Using LiDAR for Tree Trunk Detection. Sensors 2023, 23, 4808. [Google Scholar] [CrossRef]
- Shalal, N.; Low, T.; McCarthy, C.; Hancock, N. Orchard Mapping and Mobile Robot Localisation Using On-Board Camera and Laser Scanner Data Fusion–Part B: Mapping and Localisation. Comput. Electron. Agric. 2015, 119, 267–278. [Google Scholar] [CrossRef]
- Zhou, Y.; Wang, X.; Wang, Z.; Ye, Y.; Zhu, F.; Yu, K.; Zhao, Y. Rolling 2D Lidar-Based Navigation Line Extraction Method for Modern Orchard Automation. Agronomy 2025, 15, 816. [Google Scholar] [CrossRef]
- Brown, J.; Paudel, A.; Biehler, D.; Thompson, A.; Karkee, M.; Grimm, C.; Davidson, J.R. Tree detection and in-row localization for autonomous precision orchard management. Comput. Electron. Agric. 2024, 227, 109454. [Google Scholar] [CrossRef]
- Han, W.; Gu, Q.; Gu, H.; Xia, R.; Gao, Y.; Zhou, Z.; Luo, K.; Fang, X.; Zhang, Y. Design of Chili Field Navigation System Based on Multi-Sensor and Optimized TEB Algorithm. Agronomy 2024, 14, 2872. [Google Scholar] [CrossRef]
- Zhang, M.; Ji, Y.; Li, S.; Cao, R.; Xu, H.; Zhang, Z. Research Progress of Agricultural Machinery Navigation Technology. Trans. Chin. Soc. Agric. Mach. 2020, 51, 1–18. [Google Scholar]
- Zhang, S.; Liu, Y.; Xiong, K. A Review of Vision-Based Crop Row Detection Method: Focusing on Field Ground Autonomous Navigation Operations. Comput. Electron. Agric. 2024, 222, 109086. [Google Scholar] [CrossRef]
- Shi, J.; Bai, Y.; Diao, Z.; Zhou, J.; Yao, X.; Zhang, B. Row Detection BASED Navigation and Guidance for Agricultural Robots and Autonomous Vehicles in Row-Crop Fields: Methods and Applications. Agronomy 2023, 13, 1780. [Google Scholar] [CrossRef]
- de Silva, R.; Cielniak, G.; Wang, G.; Gao, J. Deep Learning-Based Crop Row Detection for Infield Navigation of Agri-Robots. J. Field Robot. 2024, 10, 2299–2321. [Google Scholar] [CrossRef]
- Song, Y.; Xu, F.; Yao, Q.; Liu, J.; Yang, S. Navigation Algorithm Based on Semantic Segmentation in Wheat Fields Using an RGB-D Camera. Inf. Process. Agric. 2023, 10, 475–490. [Google Scholar] [CrossRef]
- Li, B.; Li, D.; Wei, Z.; Wang, J. Rethinking the Crop Row Detection Pipeline: An End-to-End Method for Crop Row Detection Based on Row-Column Attention. Comput. Electron. Agric. 2024, 225, 109264. [Google Scholar] [CrossRef]
- Li, D.; Li, B.; Kang, S.; Feng, H.; Long, S.; Wang, J. E2CropDet: An Efficient End-to-End Solution to Crop Row Detection. Expert Syst. Appl. 2023, 227, 120345. [Google Scholar] [CrossRef]
- Mendez, E.; Piña Camacho, J.; Escobedo Cabello, J.A.; Gómez-Espinosa, A. Autonomous Navigation and Crop Row Detection in Vineyards Using Machine Vision with 2D Camera. Automation 2023, 4, 309–326. [Google Scholar] [CrossRef]
- Fu, D.; Chen, Z.; Yao, Z.; Liang, Z.; Cai, Y.; Liu, C.; Tang, Z.; Lin, C.; Feng, X.; Qi, L. Vision-Based Trajectory Generation and Tracking Algorithm for Maneuvering of a Paddy Field Robot. Comput. Electron. Agric. 2024, 226, 109368. [Google Scholar] [CrossRef]
- Khan, M.N.; Rahi, A.; Rajendran, V.P.; Hasan, M.A.; Anwar, S. Real-Time Crop Row Detection Using Computer Vision-Application in Agricultural Robots. Front. Artif. Intell. 2024, 7, 1435686. [Google Scholar] [CrossRef]
- Åstrand, B.; Baerveldt, A. A vision-based row-following system for agricultural field machinery. Expert Syst. Appl. 2005, 15, 251–269. [Google Scholar] [CrossRef]
- Zhao, R.; Yuan, X.; Yang, Z.; Zhang, L. Image-based Crop Row Detection Utilizing the Hough Transform and DBSCAN Clustering Analysis. IET Image Process. 2024, 18, 1161–1177. [Google Scholar] [CrossRef]
- Zhang, C.; Yong, L.; Chen, Y.; Zhang, S.; Ge, L.; Wang, S.; Li, W. A Rubber-Tapping Robot Forest Navigation and Information Collection System Based on 2D LiDAR and a Gyroscope. Sensors 2019, 19, 2136. [Google Scholar] [CrossRef]
- Zhang, S.; Guo, C.; Gao, Z.; Sugirbay, A.; Chen, J.; Chen, Y. Research on 2D Laser Automatic Navigation Control for Standardized Orchard. Appl. Sci. 2020, 10, 2763. [Google Scholar] [CrossRef]
- Li, H.; Huang, K.; Sun, Y.; Lei, X.; Yuan, Q.; Zhang, J.; Lv, X. An Autonomous Navigation Method for Orchard Mobile Robots Based on Octree 3D Point Cloud Optimization. Front. Plant Sci. 2025, 15, 1510683. [Google Scholar] [CrossRef]
- Xia, Y.; Lei, X.; Pan, J.; Chen, L.; Zhang, Z.; Lv, X. Research on Orchard Navigation Method Based on Fusion of 3D SLAM and Point Cloud Positioning. Front. Plant Sci. 2023, 14, 1207742. [Google Scholar] [CrossRef] [PubMed]
- He, B.; Liu, G.; Ji, Y.; Si, Y.; Gao, R. Auto recognition of navigation path for harvest robot based on machine vision. In Computer and Computing Technologies in Agriculture IV (CCTA 2010); IFIP AICT; Springer: Berlin/Heidelberg, Germany, 2011; Volume 344, pp. 138–148. [Google Scholar]
- Torres-Sospedra, J.; Nebot, P. A New Approach to Visual-Based Sensory System for Navigation into Orange Groves. Sensors 2011, 11, 4086–4103. [Google Scholar] [CrossRef] [PubMed]
- Sharifi, M.; Chen, X. A novel vision-based row guidance approach for navigation of agricultural mobile robots in orchards. In Proceedings of the 2015 6th International Conference on Automation, Robotics and Applications (ICARA), Queenstown, New Zealand, 17–19 February 2015. [Google Scholar]
- Heng, W.; Weiyi, Z.; Chengsong, L.; Pei, W.; Lihong, W. Research on the navigation path detection method of fruit tree drop line based on image processing. J. Chin. Agric. Mech. 2023, 44, 183–190. [Google Scholar]
- Li, G.; Bao, H.; Xu, C. Real-time Road Edge Extraction Algorithm Based on 3D-Lidar. Comput. Sci. 2018, 45, 294–298. [Google Scholar]
- Wang, G.; Wu, J.; He, R.; Yang, S. A Point Cloud-Based Robust Road Curb Detection and Tracking Method. IEEE Access 2019, 7, 24611–24625. [Google Scholar] [CrossRef]
- Zhang, Y.; Wang, J.; Wang, X.; Dolan, J.M. Road-Segmentation-Based Curb Detection Method for Self-Driving via a 3D-LiDAR Sensor. IEEE Trans. Intell. Transp. Syst. 2018, 19, 3981–3991. [Google Scholar] [CrossRef]
- Wang, W.; Qin, J.; Huang, D.; Zhang, F.; Liu, Z.; Wang, Z.; Yang, F. Integrated Navigation Method for Orchard-Dosing Robot Based on LiDAR/IMU/GNSS. Agronomy 2024, 14, 2541. [Google Scholar] [CrossRef]












| Dripline Segment | RMSE (m) | MAE (m) | MaxAE (m) |
|---|---|---|---|
| A–B | 0.24 | 0.19 | 0.75 |
| C–D | 0.28 | 0.19 | 1.17 |
| E–F | 0.35 | 0.29 | 0.97 |
| G–H | 0.28 | 0.21 | 0.89 |
| I–J | 0.35 | 0.27 | 0.97 |
| K–L | 0.26 | 0.19 | 0.97 |
| M–N | 0.33 | 0.26 | 1.19 |
| O–P | 0.33 | 0.25 | 0.84 |
| Dripline Segment | Speed (km/h) | RMSE (m) | MAE (m) | MaxAE (m) |
|---|---|---|---|---|
| A–B | 1 | 0.23 | 0.19 | 0.55 |
| A–B | 3 | 0.24 | 0.19 | 0.75 |
| A–B | 5 | 0.36 | 0.29 | 0.92 |
| C–D | 1 | 0.26 | 0.18 | 1.19 |
| C–D | 3 | 0.28 | 0.19 | 1.17 |
| C–D | 5 | 0.34 | 0.22 | 1.42 |
Disclaimer/Publisher’s Note: The statements, opinions and data contained in all publications are solely those of the individual author(s) and contributor(s) and not of MDPI and/or the editor(s). MDPI and/or the editor(s) disclaim responsibility for any injury to people or property resulting from any ideas, methods, instructions or products referred to in the content. |
© 2025 by the authors. Licensee MDPI, Basel, Switzerland. This article is an open access article distributed under the terms and conditions of the Creative Commons Attribution (CC BY) license.
Share and Cite
Wei, D.; Wang, Z.; Wang, J.; Li, X.; Zou, W.; Zhai, C. Research on a Multi-Sensor Fusion-Based Method for Fruit-Tree Dripline Path Detection. Agronomy 2026, 16, 20. https://doi.org/10.3390/agronomy16010020
Wei D, Wang Z, Wang J, Li X, Zou W, Zhai C. Research on a Multi-Sensor Fusion-Based Method for Fruit-Tree Dripline Path Detection. Agronomy. 2026; 16(1):20. https://doi.org/10.3390/agronomy16010020
Chicago/Turabian StyleWei, Daochu, Zhichong Wang, Jingwei Wang, Xuecheng Li, Wei Zou, and Changyuan Zhai. 2026. "Research on a Multi-Sensor Fusion-Based Method for Fruit-Tree Dripline Path Detection" Agronomy 16, no. 1: 20. https://doi.org/10.3390/agronomy16010020
APA StyleWei, D., Wang, Z., Wang, J., Li, X., Zou, W., & Zhai, C. (2026). Research on a Multi-Sensor Fusion-Based Method for Fruit-Tree Dripline Path Detection. Agronomy, 16(1), 20. https://doi.org/10.3390/agronomy16010020

