Sign in to use this feature.

Years

Between: -

Subjects

remove_circle_outline
remove_circle_outline
remove_circle_outline
remove_circle_outline
remove_circle_outline
remove_circle_outline
remove_circle_outline
remove_circle_outline
remove_circle_outline

Journals

remove_circle_outline
remove_circle_outline
remove_circle_outline
remove_circle_outline
remove_circle_outline
remove_circle_outline
remove_circle_outline
remove_circle_outline
remove_circle_outline
remove_circle_outline
remove_circle_outline
remove_circle_outline
remove_circle_outline
remove_circle_outline
remove_circle_outline
remove_circle_outline
remove_circle_outline

Article Types

Countries / Regions

remove_circle_outline
remove_circle_outline
remove_circle_outline
remove_circle_outline
remove_circle_outline
remove_circle_outline

Search Results (2,283)

Search Parameters:
Keywords = “double-carbon”

Order results
Result details
Results per page
Select all
Export citation of selected articles as:
21 pages, 7055 KB  
Article
The Effect of Polymer Fiber Reinforcement on the Structural Performance of Timber Columns Under Axial Compression
by Haifa Abuhliga and Tahir Akgül
Buildings 2026, 16(3), 479; https://doi.org/10.3390/buildings16030479 - 23 Jan 2026
Abstract
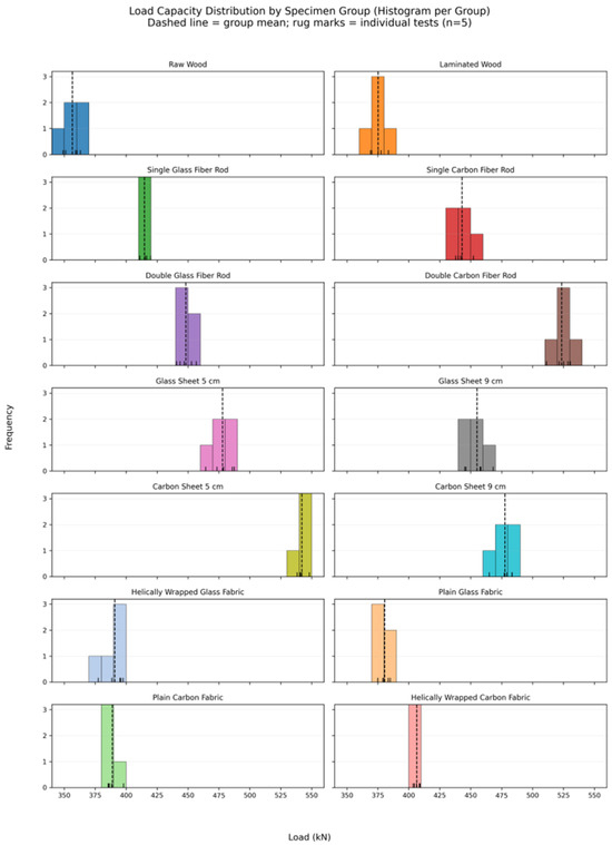
This study investigates the compressive behavior of glued-laminated timber (Glulam) columns reinforced with different configurations of fiber-reinforced polymer (FRP) materials, including glass (GFRP) and carbon (CFRP) fibers in the form of rods, strip/panel, and fabrics. Axial compression tests were performed under controlled laboratory [...] Read more.
This study investigates the compressive behavior of glued-laminated timber (Glulam) columns reinforced with different configurations of fiber-reinforced polymer (FRP) materials, including glass (GFRP) and carbon (CFRP) fibers in the form of rods, strip/panel, and fabrics. Axial compression tests were performed under controlled laboratory conditions to examine the influence of reinforcement type and configuration on mechanical performance. Descriptive statistics, one-way ANOVA, and Tukey’s post hoc tests were used to determine the significance of differences between the tested groups. Finite element analysis (FEA) using ANSYS software2023 R1 was also conducted to validate the experimental results and to provide insight into stress distribution within the strengthened columns. The results revealed that FRP reinforcement clearly enhanced both the ultimate load and compressive stress compared to unreinforced samples. The highest performance was achieved with double CFRP rods and 5 cm carbon strips, which reached stress levels of about 43 MPa, representing an improvement of nearly 60% over raw wood. Statistical analysis confirmed that these increases were significant (p < 0.05), while FEA predictions showed strong agreement with the experimental findings. Observed failure modes shifted from crushing and buckling in unreinforced specimens to shear-splitting and delamination in reinforced ones, indicating improved confinement and delayed failure. Full article
Show Figures

Figure 1

17 pages, 631 KB  
Article
Beyond Illusions of Sustainability: From Physical Reality to Bookkeeping—Rethinking Life Cycle Assessment in the Chemical Industry and the Imperative of Standardization
by Laura Schmidt, Malina Nikolic, Patrick Ober and Jana Gerta Backes
Sustainability 2026, 18(3), 1173; https://doi.org/10.3390/su18031173 - 23 Jan 2026
Abstract
As transparency and sustainability gain strategic importance, the mass balance approach under chain of custody (MB-CoC) has become a central mechanism for assessing product carbon footprints (PCFs) in complex chemical value chains. The MB-CoC enables the attribution of renewable and recycled feedstock characteristics [...] Read more.
As transparency and sustainability gain strategic importance, the mass balance approach under chain of custody (MB-CoC) has become a central mechanism for assessing product carbon footprints (PCFs) in complex chemical value chains. The MB-CoC enables the attribution of renewable and recycled feedstock characteristics via certified bookkeeping when physical segregation or molecular tracing is infeasible—thus complementing PCF methodologies based on ISO 14067 and the LCA standards ISO 14040/44. However, the methodological integration of the MB-CoC into ISO-conformant PCFs remains insufficiently defined and empirically underexplored. This paper systematically reviews the interaction between the MB-CoC and PCF/LCA frameworks. It (i) synthesizes the allocation rules of ISO 14040/44/67 and the attribution principles of the MB-CoC according to ISO 22095 and key industry initiatives; (ii) analyzes academic publications, guidelines, and corporate applications; and (iii) identifies methodological tensions concerning system boundaries, allocation logic, residual mixes, treatment of biogenic and recycled carbon, and risks of double counting. Our review reveals five recurring insights across the literature: the need for certification and standardization; the importance of primary data and residual mixes; the requirement for ISO conformity; the necessity of transparent reporting of conventional versus alternative inputs; and the lack of independent empirical case studies. Addressing these gaps through harmonized rules, residual mix development, and comparative applications will be essential for establishing the MB-CoC as a robust instrument for circularity, decarbonization, and regulatory compliance, developed by interdisciplinary research and industry approaches. Full article
(This article belongs to the Topic Green and Sustainable Chemical Products and Processes)
Show Figures

Figure 1

31 pages, 8857 KB  
Article
Rational Design of ZnGa-Sebacate/Graphene Nanoribbon Synergy for Effective Anticorrosive Polyurethane Coatings
by Ujwal Mukkati Praveena, Michele Fedel and Stefano Rossi
Processes 2026, 14(3), 400; https://doi.org/10.3390/pr14030400 - 23 Jan 2026
Abstract
The development of hybrid organic coatings for corrosion protection remains a key research priority. This study focuses on synthesising Layered Double Hydroxide (ZnGa-LDHs) intercalated with environmentally friendly disodium sebacate (SB) corrosion inhibitor, forming ZnGa-SB. To overcome the challenge of limited dispersibility in organic [...] Read more.
The development of hybrid organic coatings for corrosion protection remains a key research priority. This study focuses on synthesising Layered Double Hydroxide (ZnGa-LDHs) intercalated with environmentally friendly disodium sebacate (SB) corrosion inhibitor, forming ZnGa-SB. To overcome the challenge of limited dispersibility in organic coatings, ZnGa-SB was combined with Graphene Nanoribbons (GNR), produced through the oxidative unzipping of multi-walled carbon nanotubes (MWCNT). The resulting composite, ZnGa-SB/GNR, was synthesised using an in situ hydrothermal method and incorporated into polyurethane (PU) enamel. The synergy between high-barrier GNRs and active ZnGa-SB creates a “labyrinth effect” that effectively inhibits the diffusion of corrosive species. Microstructural analysis, including XRD, FT-IR, Raman, TGA, FE-SEM, and EDS, confirmed the nanofiller structure. The nanofillers were embedded into acrylic resin (AC) for short-term anticorrosive testing in a 0.1 M NaCl solution and then into PU for long-term evaluation in a 3.5 wt% NaCl solution, using electrochemical impedance spectroscopy (EIS). The PU/ZnGa-SB/GNR coating exhibited a high impedance modulus of 5.90 × 107 Ω cm2 at |Z|0.01 Hz, even after 2688 hours of immersion, indicating enhanced corrosion resistance. This coating demonstrated superior performance in cross-cut and pencil hardness tests and sustained less damage in salt spray analysis compared to other coatings. The synergistic effect offers a promising approach for developing next-generation hybrid anti-corrosive coatings. Full article
(This article belongs to the Special Issue Corrosion Processes of Metals: Mechanisms and Protection Methods)
10 pages, 4700 KB  
Case Report
Carbon Monoxide Poisoning in Putrefied Corpses: A Difficult Diagnosis
by Francesco Gabrielli, Francesco Calabrò, Lorenzo Franceschetti, Silvio Chericoni and Valentina Bugelli
Forensic Sci. 2026, 6(1), 5; https://doi.org/10.3390/forensicsci6010005 - 21 Jan 2026
Viewed by 66
Abstract
Background. Determining the cause and manner of death in scenes involving multiple and putrified bodies found in the same environment is a real challenge for forensic pathologists. While common scenarios include fires, vehicle crashes, and natural disasters, one of the most common causes [...] Read more.
Background. Determining the cause and manner of death in scenes involving multiple and putrified bodies found in the same environment is a real challenge for forensic pathologists. While common scenarios include fires, vehicle crashes, and natural disasters, one of the most common causes is drug intoxication or poisoning, and the scene must be carefully evaluated based on circumstantial evidence. Carbon monoxide (CO) (also called “the silent killer”) remains one of the leading agents capable of producing simultaneous fatalities. In multi-body scenes, distinguishing between homicide–suicide, double suicide, and accidental deaths adds further complexity. The aim of this study is to highlight the limitations of toxicological and pathological investigations in advanced putrefaction and to emphasize the role of scene investigation in the interpretation of suspected CO-related deaths. Methods. The authors report a case of suspected CO intoxication involving two bodies in an advanced stage of decomposition recovered from the same room. The scene investigation, coupled with the presence of a malfunctioning combustion source, raised suspicion of CO exposure; however, analytical interpretation was severely constrained by the altered condition of biological samples. Results. Advanced decomposition magnifies these challenges. Putrefactive changes can mimic traumatic injuries, hide hypostasis, and compromise both macroscopic and microscopic evaluations due to autolysis and gas formation. Toxicological investigations are frequently hindered by the degradation or absence of key biological matrices such as blood, cavity fluids, or vitreous humor, rendering carboxyhaemoglobin quantification unreliable or impossible. These limitations may lead to incorrect medico-legal conclusions. Conclusions. Determining the cause and manner of death in complex multi-body scenes requires careful evaluation of circumstantial evidence and scene investigation, particularly when advanced decomposition compromises biological analyses and toxicological interpretation. Full article
Show Figures

Figure 1

16 pages, 2761 KB  
Article
Sustainability Assessment of Machining Processes in Turbine Disk Production: From Data Acquisition to Digital Anchoring in the PCF AAS Submodel
by Marc Ubach, David Ehrenberg, Viktor Rudel, Stefan Schröder and Thomas Bergs
J. Manuf. Mater. Process. 2026, 10(1), 37; https://doi.org/10.3390/jmmp10010037 - 20 Jan 2026
Viewed by 90
Abstract
Over the past decades, global air traffic has increased continuously, with passenger kilometers roughly doubling every fifteen to twenty years, and this trend is estimated to continue, with some adjustments due to COVID-19 impact. In response to the resulting environmental challenges, the European [...] Read more.
Over the past decades, global air traffic has increased continuously, with passenger kilometers roughly doubling every fifteen to twenty years, and this trend is estimated to continue, with some adjustments due to COVID-19 impact. In response to the resulting environmental challenges, the European initiatives Flightpath 2050 and Clean Sky serve as central drivers of technological development aimed at achieving ambitious sustainability goals. Flightpath 2050 targets, relative to a reference engine from the year 2000, include a 75% reduction in CO2 emissions per passenger kilometer, a 90% reduction in NOx emissions, and a 65% reduction in noise emissions. These objectives highlight the urgent need for emission reduction strategies across all manufacturing domains, including turbine component production. This study evaluates the environmental impacts of the preturning and roughing operations employed in turbine disk production. The analysis focuses on these specific processes rather than the entire product, as the approach of process-level Life Cycle Assessments (LCA) are more universally applicable across different products, and their systematic combination can ultimately form a comprehensive product-level LCA. Operational data, such as energy usage, cooling lubricants, and compressed air, were gathered and processed from the equipment involved in manufacturing. The collected data were analyzed and modeled in Spheras life cycle assessment software LCA for Experts (version 10.9.0.20) to quantify the environmental effects of each process. The findings of the current research emphasize notable patterns of resource utilization and their respective environmental impacts. Furthermore, the Industrial Digital Twin Association (IDTA) Product Carbon Footprint (PCF) template was utilized to present the findings in a standardized manner, enabling effective data transfer between stakeholders. The results demonstrate the critical need to leverage machine data for sustainability analysis, providing inputs for industry practice enhancement and progress toward better environmental performance. Full article
Show Figures

Figure 1

22 pages, 7799 KB  
Article
The Influence of Mechanochemical Activation on the Properties of a Double Complex Salt [Co(NH3)6][Fe(CN)6] and Its Thermolysis Products
by Alevtina Gosteva, Alexander M. Kalinkin, Vladimir Vinogradov, Diana Manukovskaya, Viktor Nikolaev, Vasilii Semushin and Maria Teplonogova
Thermo 2026, 6(1), 7; https://doi.org/10.3390/thermo6010007 - 19 Jan 2026
Viewed by 77
Abstract
Double complex salts (DCSs) of the composition [Co(NH3)6][Fe(CN)6] are a promising precursor for the preparation of catalysts for the hydrogenation of carbon oxides (CO and CO2) by Fischer–Tropsch synthesis. The specific surface area is an [...] Read more.
Double complex salts (DCSs) of the composition [Co(NH3)6][Fe(CN)6] are a promising precursor for the preparation of catalysts for the hydrogenation of carbon oxides (CO and CO2) by Fischer–Tropsch synthesis. The specific surface area is an important parameter for catalysts. Our article investigates the influence of mechanochemical activation (MCA) on this DCS in order to determine the conditions for obtaining the largest specific surface area of the intermetallic compound, a product of the DCS thermolysis. In this work, the effect of MCA on the physicochemical properties of the DCS [Co(NH3)6][Fe(CN)6] and the products of its thermal decomposition in an argon atmosphere were investigated. It was shown that MCA leads to partial reduction of Fe+3 to Fe+2, changes in the coordination of ammonia, amorphization of the structure and a decrease in the thermal stability of DCS. Thermolysis at 650 °C of samples subjected to MCA for 10 min results in the formation of nanocrystalline intermetallic compound Co0.5Fe0.5. The results demonstrate the potential of using MCA to control the properties of functional materials based on DCS. Full article
(This article belongs to the Topic Clean Energy Technologies and Assessment, 2nd Edition)
Show Figures

Figure 1

20 pages, 4568 KB  
Article
From Coal to Carbon Quantum Dots by Chemical Oxidation: Effects of Synthesis Conditions and Coal Chemical Structure
by Jiaqi Ma, Jiawei Liu, Jun Xu, Limo He, Hengda Han, Kai Xu, Long Jiang, Yi Wang, Sheng Su, Song Hu and Jun Xiang
Processes 2026, 14(2), 332; https://doi.org/10.3390/pr14020332 - 17 Jan 2026
Viewed by 164
Abstract
The synthesis of carbon dots (CDs) from coal represents a promising strategy for advancing both the efficient, low-carbon utilization of coal resources and the cost-effective production of CDs. To enable the controlled, high-quality conversion of CDs from coal, a comprehensive understanding of the [...] Read more.
The synthesis of carbon dots (CDs) from coal represents a promising strategy for advancing both the efficient, low-carbon utilization of coal resources and the cost-effective production of CDs. To enable the controlled, high-quality conversion of CDs from coal, a comprehensive understanding of the relationship between the coal chemical structure and the properties of CDs is crucial. This study prepared CDs from nine kinds of coal using a chemical oxidation method, and the correlations between properties of coal-based carbon dots and the original materials were revealed. The results show that the luminescence sites of coal-derived CDs are mostly distributed around 435 nm or 500 nm, where the former one relates to the confined sp2 domains and the latter one is associated with the defect structure. Coal with a volatile content of about 20–30% in the nine samples was found to produce higher CD yields, with a maximum mass yield of 19.96%, accompanied by stronger fluorescence intensity. During chemical oxidation processes, the unsaturated double bonds (C=C, C=O) and aliphatic chains firstly break, and then aromatic clusters are formed by dehydrocyclization between carbon crystallites, followed by the introduction of a C–O group. The growth of the C–O group in the CDs contributes to a stronger fluorescence property. Furthermore, strong correlations were found between the carbon skeleton structure of raw coal and photoluminescence characteristics of corresponding CDs, as reflected by Raman parameters AD1/AG, ID1/IG, and FWHMD. The findings offer significant insights into the precise modulation and control of coal-based carbon dot structures. Full article
(This article belongs to the Section Environmental and Green Processes)
Show Figures

Figure 1

16 pages, 1927 KB  
Article
Methanotrophic Poly(hydroxybutyrate) Through C1 Fermentation and Downstream Process Development: Molar Mass, Thermal and Mechanical Characterization
by Maximilian Lackner, Ľubomíra Jurečková, Daniela Chmelová, Miroslav Ondrejovič, Katarína Borská, Anna Vykydalová, Michaela Sedničková, Hamed Peidayesh, Ivan Chodák and Martin Danko
Polymers 2026, 18(2), 248; https://doi.org/10.3390/polym18020248 - 16 Jan 2026
Viewed by 208
Abstract
Today, PHB and its copolymers—potential plastic substitutes—are produced by fermenting sugar, which is not scalable to the volumes of plastic consumption. PHB from CH4 can offer a sustainable process route, with CH4 potentially produced from a variety of waste biomass streams [...] Read more.
Today, PHB and its copolymers—potential plastic substitutes—are produced by fermenting sugar, which is not scalable to the volumes of plastic consumption. PHB from CH4 can offer a sustainable process route, with CH4 potentially produced from a variety of waste biomass streams through anaerobic digestion, gasification, and methanation. The high molar mass (Mw) of PHB is a key determinant of its mechanical properties, and strain, culture conditions and downstream processing influence it. In this work, the strain Methylocystis sp. GB 25 (DSMZ 7674) was grown on natural gas as the sole carbon and energy source and air (1:1) in a loop reactor with 350 L active fermentation volume, at 35 °C and ambient pressure. After two days of continuous growth, the bacteria were limited in P and N for 1, 2, and 2.5 days to determine the optimal conditions for PHB accumulation and the highest Mw as the target. The biomass was then centrifuged and spray-dried. For downstream processing, chloroform solvent extraction and selected enzymatic treatment were deployed, yielding ~40% PHB from the biomass. The PHB obtained by solvent extraction exhibited high average weight molar masses of Mw ~1.1–1.5 × 106 g mol−1. The highest Mw was obtained after one day of limitation, whereas enzyme treatment resulted in partially degraded PHB. Cold chloroform maceration, interesting due to energy savings, did not achieve sufficient extraction efficiency because it was unable to extract high-molar-mass PHB fractions. The extracted PHB has a high molar mass, more than double that of standard commercial PHB, and was characterized by DSC, which showed a high degree of crystallinity of up to 70% with a melting temperature of close to 180 °C. Mechanical tensile properties measurements, as well as dynamic mechanical thermal analysis (DMTA), were performed. Degradation of the PHB by enzymes was also determined. Methanotrophic PHB is a promising bioplastics material. The high Mw can limit and delay polymer degradation in practical processing steps, making the material more versatile and robust. Full article
(This article belongs to the Section Biobased and Biodegradable Polymers)
Show Figures

Figure 1

20 pages, 5021 KB  
Article
Bio-Inspired Reduced TiO2 Nanotube Photocatalyst Modified with Polydopamine and Silk Fibroin Quantum Dots for Enhanced UV and Visible-Light Photocatalysis
by Cristina Dumitriu, Simona Popescu, Roberta Miftode, Angela Gabriela Păun, Andreea Mădălina Pandele, Andrei Kuncser and Mihaela Mîndroiu
Materials 2026, 19(2), 358; https://doi.org/10.3390/ma19020358 - 16 Jan 2026
Viewed by 220
Abstract
Y-branched TiO2 nanotubes (NTs) were produced by anodizing titanium plates derived from aerospace production leftovers and subsequently engineered to develop an enhanced TiO2-based photocatalytic system. The NTs were electrochemically reduced to obtain reduced TiO2 nanotubes (rTN) with a narrowed [...] Read more.
Y-branched TiO2 nanotubes (NTs) were produced by anodizing titanium plates derived from aerospace production leftovers and subsequently engineered to develop an enhanced TiO2-based photocatalytic system. The NTs were electrochemically reduced to obtain reduced TiO2 nanotubes (rTN) with a narrowed bandgap, followed by surface modification with polydopamine (PD) and silk fibroin-derived quantum dots (QDs) to promote enhanced UV and visible-light photocatalysis for wastewater treatment. The QDs were hydrothermally synthesized from Bombyx mori silk fibroin. Scanning Electron Microscopy (SEM) revealed spherical QD agglomerates encapsulated within the PD layer, while Energy Dispersive X-ray Spectroscopy (EDX) confirmed the presence of carbon and nitrogen originating from both PD and QD. The resulting rNT/PD/QD photocatalyst exhibited a significantly reduced bandgap (1.03 eV), increased Urbach energy (1.35 eV), and moderate hydrophilicity. A high double-layer capacitance (Cdl) indicated an enlarged electrochemically active surface due to the combination of treatments. Electrochemical characterization demonstrated reduced electrical resistance, higher charge density, and lower electron–hole recombination, leading to improved interfacial charge transfer efficiency and electrochemical stability during multi-cycle cyclic voltammetry measurements. Preliminary photocatalytic tests show that the rNT/PD/QD photocatalyst achieved a degradation efficiency of 79.26% for methyl orange (MO) and 35% for tetracycline (TC). Full article
Show Figures

Graphical abstract

32 pages, 2775 KB  
Review
AIoT at the Frontline of Climate Change Management: Enabling Resilient, Adaptive, and Sustainable Smart Cities
by Claudia Banciu and Adrian Florea
Climate 2026, 14(1), 19; https://doi.org/10.3390/cli14010019 - 15 Jan 2026
Viewed by 160
Abstract
The convergence of Artificial Intelligence (AI) and the Internet of Things (IoT), known as Artificial Intelligence of Things (AIoT), has emerged as a transformative paradigm for enabling intelligent, data-driven, and context-aware decision-making in urban environments to reduce the carbon footprint of mobility and [...] Read more.
The convergence of Artificial Intelligence (AI) and the Internet of Things (IoT), known as Artificial Intelligence of Things (AIoT), has emerged as a transformative paradigm for enabling intelligent, data-driven, and context-aware decision-making in urban environments to reduce the carbon footprint of mobility and industry. This review examines the conceptual foundations, and state-of-the-art developments of AIoT, with a particular emphasis on its applications in smart cities and its relevance to climate change management. AIoT integrates sensing, connectivity, and intelligent analytics to provide optimized solutions in transportation systems, energy management, waste collection, and environmental monitoring, directly influencing urban sustainability. Beyond urban efficiency, AIoT can play a critical role in addressing the global challenges and management of climate change by (a) precise measurements and autonomously remote monitoring; (b) real-time optimization in renewable energy distribution; and (c) developing prediction models for early warning of climate disasters. This paper performs a literature review and bibliometric analysis to identify the current landscape of AIoT research in smart city contexts. Over 1885 articles from Web of Sciences and over 1854 from Scopus databases, published between 1993 and January 2026, were analyzed. The results reveal a strong and accelerating growth in research activity, with publication output doubling in the most recent two years compared to 2023. Waste management and air quality monitoring have emerged as leading application domains, where AIoT-based optimization and predictive models demonstrate measurable improvements in operational efficiency and environmental impact. Altogether, these support faster and more effective decisions for reducing greenhouse gas emissions and ensuring the sustainable use of resources. The reviewed studies reveal rapid advancements in edge intelligence, federated learning, and secure data sharing through the integration of AIoT with blockchain technologies. However, significant challenges remain regarding scalability, interoperability, privacy, ethical governance, and the effective translation of research outcomes into policy and citizen-oriented tools such as climate applications, insurance models, and disaster alert systems. By synthesizing current research trends, this article highlights the potential of AIoT to support sustainable, resilient, and citizen-centric smart city ecosystems while identifying both critical gaps and promising directions for future investigations. Full article
Show Figures

Figure 1

32 pages, 7548 KB  
Article
Research on the Flow and Heat Transfer Characteristics of a Molten Salt Globe Valve Based on an Electromagnetic Induction Heating System
by Shuxun Li, Xiaoya Wen, Bohao Zhang, Lingxia Yang, Yuhao Tian and Xiaoqi Meng
Actuators 2026, 15(1), 50; https://doi.org/10.3390/act15010050 - 13 Jan 2026
Viewed by 110
Abstract
To promote the transition to a cleaner energy structure and support the achievement of the “carbon peak and carbon neutrality” goals, concentrated solar power (CSP) technology has attracted increasing attention. The molten salt globe valve, as a key control component in CSP systems, [...] Read more.
To promote the transition to a cleaner energy structure and support the achievement of the “carbon peak and carbon neutrality” goals, concentrated solar power (CSP) technology has attracted increasing attention. The molten salt globe valve, as a key control component in CSP systems, faces significant challenges related to low-temperature salt crystallization and thermal stress control. This study proposes an active electromagnetic induction heating method based on a triangular double-helix cross-section coil to address issues such as molten salt blockage in the seal bellows and excessive thermal stress during heating. First, electromagnetic simulation comparisons show that the ohmic loss of the proposed coil is approximately 3.5 times and 1.8 times higher than that of conventional circular and rectangular coils, respectively, demonstrating superior heating uniformity and energy efficiency. Second, transient electromagnetic-thermal-fluid-structure multiphysics coupling analysis reveals that during heating, the temperature in the bellows seal region stabilizes above 543.15 K, exceeding the solidification point of the molten salt, while the whole valve reaches thermal stability within about 1000 s, effectively preventing local solidification. Finally, thermal stress analysis indicates that under a preheating condition of 473.15 K, the transient thermal shock stress on the valve body and bellows is reduced by 266.84% and 253.91%, respectively, compared with the non-preheating case, with peak stresses remaining below the allowable stress limit of the material, thereby significantly extending the service life of the valve. This research provides an effective solution for ensuring reliable operation of molten salt valves and improving the overall performance of CSP systems. Full article
(This article belongs to the Section Control Systems)
Show Figures

Figure 1

15 pages, 1764 KB  
Article
Enhanced Removal of the Antibiotic Sulfamethoxazole by a B-Doped Mesoporous Carbon Nanosheet/Peroxymonosulfate System: Characterization and Mechanistic Insights
by Thi-Hai Anh Nguyen, Tran Van Tam and Minh-Tri Nguyen-Le
Compounds 2026, 6(1), 6; https://doi.org/10.3390/compounds6010006 - 12 Jan 2026
Viewed by 176
Abstract
This study investigates the activation mechanism of boron-doped carbon (BMC) catalysts for the degradation of the antibiotic sulfamethoxazole (SMX) via persulfate (PMS) activation. The catalysts were synthesized using a sequential double-melting calcination method, resulting in mesoporous carbon nanosheets characterized by hierarchical macro-mesopores and [...] Read more.
This study investigates the activation mechanism of boron-doped carbon (BMC) catalysts for the degradation of the antibiotic sulfamethoxazole (SMX) via persulfate (PMS) activation. The catalysts were synthesized using a sequential double-melting calcination method, resulting in mesoporous carbon nanosheets characterized by hierarchical macro-mesopores and atomically dispersed dual active sites. Comprehensive characterization was performed using BET, SEM, TEM, FT-IR, XPS, XRD, and Raman techniques. The optimized BMC catalyst demonstrated excellent performance, achieving complete removal of sulfamethoxazole (100%) and a high mineralization rate (~90%) within 45 min. Mechanistic analysis, including electron paramagnetic resonance (EPR), revealed that the degradation predominantly follows a singlet oxygen (1O2)-dominated pathway. The system exhibited broad applicability to various pollutants, along with notable operational stability and robust resistance to common environmental interferents. Persulfate activation was primarily attributed to boron-active sites, while the hierarchical mesoporous structure facilitated both pollutant enrichment and catalytic efficiency. Full article
(This article belongs to the Special Issue Feature Papers in Compounds (2025))
Show Figures

Figure 1

22 pages, 604 KB  
Review
A Review of Steel Slag Carbonation: Mechanisms, Applications, and Sustainability Assessment
by Xinyue Liu, Xianbin Ai, Zhigang Que, Xiaoming Liu and Zengqi Zhang
Materials 2026, 19(2), 286; https://doi.org/10.3390/ma19020286 - 9 Jan 2026
Viewed by 299
Abstract
Steel slag (SS), as a major solid waste of the steel industry, has CO2 sequestration potential due to its rich calcium and magnesium alkaline components. SS carbonation is a promising strategy gaining industrial traction to simultaneously treat industrial solid waste and greenhouse [...] Read more.
Steel slag (SS), as a major solid waste of the steel industry, has CO2 sequestration potential due to its rich calcium and magnesium alkaline components. SS carbonation is a promising strategy gaining industrial traction to simultaneously treat industrial solid waste and greenhouse gases. This article firstly describes the properties of SS and summarizes the research progress of SS carbonation. The classification of mineral carbonation technology is introduced, and the advantages and disadvantages are analyzed. The key factors affecting the SS carbonation are discussed. Then, the current industrial application status and life cycle assessment results are summarized. Finally, the conclusions are summarized, and the future research direction is proposed. Carbonation of SS can effectively fix CO2 and produce high-value-added products, realizing a win–win situation of environmental and economic benefits, which is of great significance to the green transformation of the steel industry and the realization of the “double carbon” goal. Full article
Show Figures

Graphical abstract

33 pages, 12059 KB  
Article
Determination of Mechanical Properties of Single and Double-Layer Intraply Hybrid Composites Manufactured by Hand Lay-Up Method
by Mohsen Shams and Ferit Cakir
Polymers 2026, 18(2), 188; https://doi.org/10.3390/polym18020188 - 9 Jan 2026
Viewed by 267
Abstract
This study experimentally evaluates the mechanical and microstructural performance of single- and double-layer intraply hybrid composite (IRC) laminates produced using the hand lay-up method, focusing on Glass–Aramid (GA), Aramid–Carbon (AC), and Carbon–Glass (CG) configurations. Tensile, flexural, compressive, and density tests were conducted in [...] Read more.
This study experimentally evaluates the mechanical and microstructural performance of single- and double-layer intraply hybrid composite (IRC) laminates produced using the hand lay-up method, focusing on Glass–Aramid (GA), Aramid–Carbon (AC), and Carbon–Glass (CG) configurations. Tensile, flexural, compressive, and density tests were conducted in accordance with relevant ASTM standards to assess the influence of hybrid type and layer number under field-representative manufacturing conditions. Microstructural investigations were performed using optical microscopy and scanning electron microscopy (SEM) to identify fabrication-induced imperfections and their relationship to mechanical behavior. The results demonstrate that increasing the laminate configuration from single to double layer significantly enhances mechanical performance across all hybrid types. Double-layer AC laminates exhibited the highest tensile strength (330.4 MPa) and Young’s modulus (11.93 GPa), corresponding to improvements of approximately 85% and 59%, respectively, compared to single-layer counterparts. In flexural loading, the highest strength was observed in double-layer CG laminates (97.14 MPa), while compressive strength was maximized in double-layer AC laminates (34.01 MPa), indicating improved stability and resistance to compression-driven failure. Statistical analysis confirmed that layer number is the dominant parameter governing mechanical response, exceeding the influence of hybrid configuration alone. Microstructural observations revealed fiber misorientation, incomplete resin impregnation, and localized voids inherent to manual fabrication. However, these imperfections were consistently distributed across all specimens and did not obscure comparative mechanical trends. Coefficients of variation generally remained below 10%, indicating acceptable repeatability despite non-ideal manufacturing conditions. Full article
(This article belongs to the Special Issue Fiber-Reinforced Polymer Composites: Progress and Prospects)
Show Figures

Graphical abstract

21 pages, 2996 KB  
Article
Sustainable Energy Transitions in Smart Campuses: An AI-Driven Framework Integrating Microgrid Optimization, Disaster Resilience, and Educational Empowerment for Sustainable Development
by Zhanyi Li, Zhanhong Liu, Chengping Zhou, Qing Su and Guobo Xie
Sustainability 2026, 18(2), 627; https://doi.org/10.3390/su18020627 - 7 Jan 2026
Viewed by 232
Abstract
Amid global sustainability transitions, campus energy systems confront growing pressure to balance operational efficiency, resilience to extreme weather events, and sustainable development education. This study proposes an artificial intelligence-driven framework for smart campus microgrids that synergistically advances environmental sustainability and disaster resilience, while [...] Read more.
Amid global sustainability transitions, campus energy systems confront growing pressure to balance operational efficiency, resilience to extreme weather events, and sustainable development education. This study proposes an artificial intelligence-driven framework for smart campus microgrids that synergistically advances environmental sustainability and disaster resilience, while deepening students’ understanding of sustainable development. The framework integrates an enhanced multi-scale gated temporal attention network (MS-GTAN+) to realize end-to-end meteorological hazard-state recognition for adaptive dispatch mode selection. Compared with Transformer and Informer baselines, MS-GTAN+ reduces prediction RMSE by approximately 48.5% for wind speed and 46.0% for precipitation while maintaining a single-sample inference time of only 1.82 ms. For daily operations, a multi-intelligence co-optimization algorithm dynamically balances economic efficiency with carbon reduction objectives. During disaster scenarios, an improved PageRank algorithm incorporating functional necessity and temporal sensitivity enables precise identification of critical loads and adaptive power redistribution, achieving an average critical-load assurance rate of approximately 75%, nearly doubling the performance of the traditional topology-based method. Furthermore, the framework bridges the divide between theoretical knowledge and educational practice via an educational digital twin platform. Simulation results demonstrate that the framework substantially improves carbon footprint reduction, resilience to power disruptions, and student sustainability competency development. By unifying technical innovation with pedagogical advancement, this study offers a holistic model for educational institutions seeking to advance sustainability transitions while preparing the next generation of sustainability leaders. Full article
Show Figures

Figure 1

Back to TopTop