Advancements in GNSS Precise Point Positioning Technology and Applications
A special issue of Sensors (ISSN 1424-8220). This special issue belongs to the section "Navigation and Positioning".
Deadline for manuscript submissions: 30 June 2026 | Viewed by 5090
Special Issue Editors
Interests: multi-GNSS precise positioning; integer ambiguity resolution; estimation theory
Special Issues, Collections and Topics in MDPI journals
Interests: multi-GNSS precise positioning; integer ambiguity resolution; low-cost GNSS receiver
Special Issues, Collections and Topics in MDPI journals
Special Issue Information
Dear Colleagues,
Global Navigation Satellite Systems (GNSS) precise positioning with either real-time kinematic (RTK) or precise point positioning (PPP) has enabled the realization of a wide range of applications, including, amongst many others, precision agriculture, autonomous driving, structural monitoring, surveying, and inland waterway navigation. Due to the great flexibility offered by the individual corrections delivered in state-space-representation form, the ever-increasing adoption of the PPP technology has placed this technique at the center of attention in both the industrial and the scientific domains. What has been the game changer is its integer ambiguity resolution-enabled variant, namely PPP-RTK, which not only provides RTK-like positioning accuracy but can deliver it in a global sense, with lower correction transmission rates compared to RTK, and without the explicit dependence on nearby reference stations.
Despite the significant advances in PPP technology, it is not considered yet a one-size-fits-all approach for any application requiring cm-level positioning. For instance, the vulnerabilities of GNSS signals in adverse environments and the low measurement quality of mass-market devices pose significant difficulties in successfully resolving the carrier-phase ambiguities as integers. Although preliminary research has been conducted on using complementary sensing devices to augment GNSS-based PPP and PPP-RTK, further investigation is required. It is, therefore, evident that new problems and challenges will come to the fore, which will require the development of theoretical frameworks, models, operational systems, and algorithms to improve the performance achieved with this technology.
The goal of this Special Issue is to highlight such recent developments. The topics of interest include, but are not limited to, the following:
- Multi-GNSS multi-frequency PPP and PPP-RTK models and algorithms;
- Precise positioning with high-grade and low-cost receiver/antenna equipment;
- Integer carrier-phase ambiguity resolution;
- Observation-level integration of GNSS and other sensors (IMU, cameras, Lidar, etc.) for urban navigation;
- LEO-augmented PPP and PPP-RTK;
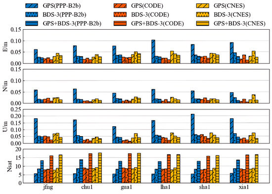
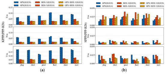
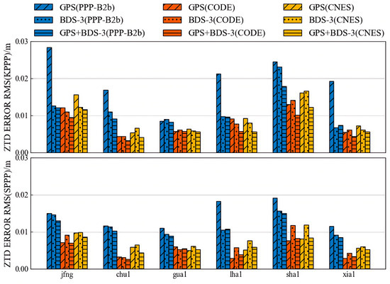
- Galileo HAS, BDS-3 PPP-B2b, QZSS CLAS.
Dr. Dimitrios Psychas
Dr. Robert Odolinski
Guest Editors
Manuscript Submission Information
Manuscripts should be submitted online at www.mdpi.com by registering and logging in to this website. Once you are registered, click here to go to the submission form. Manuscripts can be submitted until the deadline. All submissions that pass pre-check are peer-reviewed. Accepted papers will be published continuously in the journal (as soon as accepted) and will be listed together on the special issue website. Research articles, review articles as well as short communications are invited. For planned papers, a title and short abstract (about 100 words) can be sent to the Editorial Office for announcement on this website.
Submitted manuscripts should not have been published previously, nor be under consideration for publication elsewhere (except conference proceedings papers). All manuscripts are thoroughly refereed through a single-blind peer-review process. A guide for authors and other relevant information for submission of manuscripts is available on the Instructions for Authors page. Sensors is an international peer-reviewed open access semimonthly journal published by MDPI.
Please visit the Instructions for Authors page before submitting a manuscript. The Article Processing Charge (APC) for publication in this open access journal is 2600 CHF (Swiss Francs). Submitted papers should be well formatted and use good English. Authors may use MDPI's English editing service prior to publication or during author revisions.
Keywords
- global navigation satellite system (GNSS)
- precise point positioning (PPP)
- integer ambiguity resolution (IAR)
- low-cost receivers and antennas
- sensor fusion
- LEO
- smartphones
Benefits of Publishing in a Special Issue
- Ease of navigation: Grouping papers by topic helps scholars navigate broad scope journals more efficiently.
- Greater discoverability: Special Issues support the reach and impact of scientific research. Articles in Special Issues are more discoverable and cited more frequently.
- Expansion of research network: Special Issues facilitate connections among authors, fostering scientific collaborations.
- External promotion: Articles in Special Issues are often promoted through the journal's social media, increasing their visibility.
- Reprint: MDPI Books provides the opportunity to republish successful Special Issues in book format, both online and in print.
Further information on MDPI's Special Issue policies can be found here.

