-
Improving Targeted Liver Fibrosis Therapy: Evaluating Retinol-Modified Nanoparticles for Targeting Activated Hepatic Stellate Cells (aHSC) and Assessing Atorvastatin- and JQ1-Loaded Nanoparticles for Effective Deactivation of aHSC -
Integrative Analysis of Single-Cell and Spatial Transcriptomics Reveals Intratumor Heterogeneity Shaping the Tumor Microenvironment in Hepatocellular Carcinoma -
Gender Differences in Healthy Eating Index as Informed by the Awareness of Diagnosis of Metabolic Dysfunction-Associated Steatotic Liver Disease -
From “MAFLD” to “MASLD”: Was This Revolution Worth It? A Head-to-Head Comparison of MAFLD and MASLD Criteria in Estimating Liver Disease Progression and Cardiovascular Risk in Real Life -
Comparison of Liver Venous Deprivation Versus Portal Vein Embolization in Patients with Liver Malignancies: A Systematic Review
Journal Description
Livers
Livers
is an international, peer-reviewed, open access journal on liver science published bimonthly online by MDPI.
- Open Access— free for readers, with article processing charges (APC) paid by authors or their institutions.
- High Visibility: indexed within ESCI (Web of Science), Scopus, EBSCO, and other databases.
- Rapid Publication: manuscripts are peer-reviewed and a first decision is provided to authors approximately 27 days after submission; acceptance to publication is undertaken in 6.7 days (median values for papers published in this journal in the second half of 2025).
- Recognition of Reviewers: APC discount vouchers, optional signed peer review, and reviewer names published annually in the journal.
Impact Factor:
2.4 (2024);
5-Year Impact Factor:
2.3 (2024)
Latest Articles
Effect of Submaximal-Dose Semaglutide on MASLD Biopsy-Free Scoring Systems in Patients with Obesity
Livers 2026, 6(1), 3; https://doi.org/10.3390/livers6010003 - 5 Jan 2026
Abstract
►
Show Figures
Introduction: The prevalence of Metabolic Dysfunction-Associated Steatotic Liver Disease (MASLD) is rapidly increasing, possibly becoming the leading cause of chronic liver disease (CLD) in the coming years. Samaglutide (a long-acting glucagon-like peptide receptor agonist 1—GLP-1RA) therapy might be connected with an improved liver
[...] Read more.
Introduction: The prevalence of Metabolic Dysfunction-Associated Steatotic Liver Disease (MASLD) is rapidly increasing, possibly becoming the leading cause of chronic liver disease (CLD) in the coming years. Samaglutide (a long-acting glucagon-like peptide receptor agonist 1—GLP-1RA) therapy might be connected with an improved liver function. The aim of the presented study was to assess the impact of semaglutide administered at submaximal doses on biopsy-free scoring systems in patients with obesity and MASLD. Methods: We performed an observational, prospective, post-marketing study. The research included 30 patients (21 being women, mean age 47 ± 14 years) with obesity (Body mass index/BMI/39.7 ± 5.78 kg/m2) and known MASLD. All patients received semaglutide dosed initially 0.25 mg s.c. weekly, which was uptitrated (to a maximal dose of 1.5 mg) over 6 months. MASLD biopsy-free scoring systems (BFSS: SAFE, Fib-4, BARD, NAFLD Fibrosis Score, Fatty Liver Index—FLI, and Hepatic Steatosis Index—HSI) were assessed before and after 6 months of therapy. Results: In this study, a significant change (decrease) in FLI (92.4 ± 9.85 vs. 75.3 ± 21.0, p < 0.001), HSI (50.7 ± 6.78 vs. 45.0 ± 6.42, p < 0.001) and SAFE score (30.8 ± 80.7 vs. 11.2 ± 81.6, p < 0.033) was observed. The changes in the remaining BFSS (BARD, Fib-4 and NAFLD Fibrosis Score) were nonsignificant (p = 0.501; p = 0.303; p = 0.503). Conclusions: In our study, administration of sub-maximally dosed semaglutide was connected with improved FLI, HIS, and SAFE BFSS, suggesting the efficacy of submaximal semaglutide for improvement in MASLD.
Full article
Open AccessArticle
Early-Stage Australian HCC Patients Treated at Tertiary Centres Show Comparable Survival Across Metropolitan and Non-Metropolitan Residency
by
Jonathan Abdelmalak, Simone I. Strasser, Natalie L. Ngu, Claude Dennis, Marie Sinclair, Avik Majumdar, Kate Collins, Katherine Bateman, Anouk Dev, Joshua H. Abasszade, Zina Valaydon, Daniel Saitta, Kathryn Gazelakis, Susan Byers, Jacinta Holmes, Alexander J. Thompson, Jessica Howell, Dhivya Pandiaraja, Steven Bollipo, Suresh Sharma, Merlyn Joseph, Rohit Sawhney, Amanda Nicoll, Nicholas Batt, Myo J. Tang, Stephen Riordan, Nicholas Hannah, James Haridy, Siddharth Sood, Eileen Lam, Elysia Greenhill, Daniel Clayton-Chubb, John Lubel, William Kemp, Ammar Majeed, John Zalcberg and Stuart K. Robertsadd
Show full author list
remove
Hide full author list
Livers 2026, 6(1), 2; https://doi.org/10.3390/livers6010002 - 4 Jan 2026
Abstract
►▼
Show Figures
Background: Hepatocellular carcinoma (HCC) poses a significant public health challenge in Australia, with poorer survival observed in non-metropolitan populations. This study investigated whether survival disparities persist between non-metropolitan and metropolitan patients if only those with early-stage HCC treated at metropolitan tertiary referral centres
[...] Read more.
Background: Hepatocellular carcinoma (HCC) poses a significant public health challenge in Australia, with poorer survival observed in non-metropolitan populations. This study investigated whether survival disparities persist between non-metropolitan and metropolitan patients if only those with early-stage HCC treated at metropolitan tertiary referral centres are considered. Methods: We performed a retrospective cohort study across ten Australian tertiary centres involving patients with a new diagnosis of Barcelona Clinic Liver Cancer (BCLC) stage 0 or A, recorded from 1 January 2016 to 31 December 2020. Residential postcodes were entered using the Modified Monash (MM) model to define metropolitan versus non-metropolitan residence. The primary endpoint was adjusted for all-cause mortality. Results: Our study included 854 patients (metropolitan n = 612, and non-metropolitan n = 242) with a median follow-up of 42.6 months. We found no significant survival or mortality differences between the two groups with the unadjusted Kaplan–Meier survival analysis (log-rank test p = 0.612) and with the Cox proportional hazards regression analysis (adjusted HR 0.93, 95% CI 0.64–1.34, p = 0.690). As expected, tumour burden, Child–Pugh Score, and Charlson Comorbidity Index (CCI) were significant predictors of mortality. Conclusions: Our findings suggest that previously observed survival disparities may stem from delayed diagnosis and reduced access to tertiary care in non-metropolitan regions and highlight the need for improved HCC surveillance and referral pathways, particularly for rural and Indigenous communities, to mitigate geographic inequities.
Full article

Figure 1
Open AccessCommentary
Bridging the Bench-to-Bedside Gap with Multimodal Artificial Intelligence in Digestive Diseases
by
Ralf Weiskirchen
Livers 2026, 6(1), 1; https://doi.org/10.3390/livers6010001 - 2 Jan 2026
Abstract
This comment discusses a recent review by Wu and colleagues on multimodal artificial intelligence in gastroenterology and hepatology. The review outlined advancements in endoscopic, radiomics, pathologic, and multi-omics technologies. Additionally, it highlights persistent barriers, such as data heterogeneity, “black box” opacity, reimbursement uncertainty,
[...] Read more.
This comment discusses a recent review by Wu and colleagues on multimodal artificial intelligence in gastroenterology and hepatology. The review outlined advancements in endoscopic, radiomics, pathologic, and multi-omics technologies. Additionally, it highlights persistent barriers, such as data heterogeneity, “black box” opacity, reimbursement uncertainty, and third-party data security risks. The comment also discusses current payment models for autonomous algorithms and emphasizes the importance of robust governance frameworks. Beyond summarizing recent progress, this commentary proposes a pragmatic, five-point roadmap to facilitate the safe and fair deployment of multimodal artificial intelligence in digestive disease care in the future, including standardization, explainability, federated governance, equitable reimbursement, and sustainability metrics. By implementing these action items, stakeholders can transform promising algorithms into clinically validated, workflow-compatible, and economically viable tools.
Full article
Open AccessArticle
Examining Vaccination Coverage in Patients with Diagnosis of Chronic Liver Disease and Cirrhosis: A Cross-Sectional Study in Greece
by
Paschalina Dafnou, Ioannis Elefsiniotis, Theodoula Adamakidou, Nikoletta Margari, Stelios Parissopoulos, Lambrini Kourkouta, Konstantinos Giakoumidakis and Eleni Dokoutsidou
Livers 2025, 5(4), 68; https://doi.org/10.3390/livers5040068 - 16 Dec 2025
Abstract
►▼
Show Figures
Background/Objectives: Seasonal influenza, pneumococcal disease, and COVID-19 pose major public health challenges, particularly for individuals with chronic illnesses. This study examined vaccination coverage for influenza, pneumococcal disease, and SARS-CoV-2 among patients with chronic liver disease and cirrhosis and explored the sociodemographic and
[...] Read more.
Background/Objectives: Seasonal influenza, pneumococcal disease, and COVID-19 pose major public health challenges, particularly for individuals with chronic illnesses. This study examined vaccination coverage for influenza, pneumococcal disease, and SARS-CoV-2 among patients with chronic liver disease and cirrhosis and explored the sociodemographic and clinical factors influencing it. Methods: A cross-sectional study, conducted from March 2022 to July 2023 at two university hepatology outpatient clinics in Athens, Greece. The study population consisted of patients with a diagnosis of chronic liver disease (hepatocellular carcinoma and hepatitis) and liver cirrhosis. Results: A convenience sample size of 300 patients (age ≥ 30) participated. Regarding their vaccination, 88.3% were vaccinated against SAR-COVID-19, 44.8% against pneumococcus, and 54.7% against seasonal influenza this year. Patients’ belief that annual vaccination is the best method for influenza prevention was found to be significantly higher among older patients and those with comorbidities. Additionally, patients who had been vaccinated against seasonal influenza (this year or every year), against pneumococcus, or SARS-CoV-2 agreed significantly that annual vaccination is the best method for influenza prevention. In addition, patients who were informed about vaccination by their doctor/nurse agreed significantly more with that. Multiple logistic regression found that a four times greater probability of being fully vaccinated according to the national vaccination program was found in patients who were informed about vaccination by a doctor/nurse. Moreover, as patients’ age increased, so did the probability of being fully vaccinated. Conclusions: The study’s findings are significant and can be utilized within national public health initiatives and by healthcare professionals during patient interactions, ensuring that younger patients and those apprehensive about vaccine efficacy and safety receive focused attention to facilitate adherence to annual vaccinations and all vaccines included in national programs.
Full article

Figure 1
Open AccessArticle
Metabolic Syndrome and Methotrexate-Associated Liver Injury: Insights from Elastography and Liver Biopsy Study
by
Kaila Fennell, Maya Mahmoud and Kamran Qureshi
Livers 2025, 5(4), 67; https://doi.org/10.3390/livers5040067 - 15 Dec 2025
Abstract
►▼
Show Figures
Background: Methotrexate (MTX), a widely used therapeutic agent, is associated with hepatotoxicity. While cumulative MTX dosage has historically been linked to liver injury, recent evidence highlights the potential role of metabolic syndrome (MetS) as a key contributor. Objective: We evaluate the association between
[...] Read more.
Background: Methotrexate (MTX), a widely used therapeutic agent, is associated with hepatotoxicity. While cumulative MTX dosage has historically been linked to liver injury, recent evidence highlights the potential role of metabolic syndrome (MetS) as a key contributor. Objective: We evaluate the association between MetS and MTX-associated liver injury using vibration-controlled transient elastography (VCTE) and liver biopsy in patients suspected to have MTX-related liver injury. Design: This retrospective study analyzed 59 patients with chronic MTX use who underwent VCTE in hepatology clinics between 2016 and 2024. Patients with alternative causes of liver injury were excluded. MetS was defined per standard criteria as the presence of ≥3 criteria: diabetes, hypertension, BMI ≥ 30 kg/m2, hypertriglyceridemia, or low HDL levels. Measurements: Liver stiffness measurement (LSM) and steatosis (CAP) were measured via VCTE, and liver biopsy data were reviewed for steatohepatitis. ANCOVA was used to assess the effect of MetS on liver disease while controlling for cumulative MTX dosage. Results: Of the 59 patients (mean age: 62 years; mean BMI: 34.3 kg/m2), 36 (61%) met the criteria for MetS. CAP values were significantly higher in patients with MetS (p < 0.001) independent of cumulative MTX dosage. Transformed LSM values also showed a significant association with MetS (p = 0.028). Logistic regression identified MetS as a significant predictor of biopsy-confirmed steatosis and steatohepatitis (p < 0.001) and higher NAFLD activity score (p = 0.002), whereas cumulative MTX dosage was not (p = 0.47). Conclusions: MetS is strongly associated with liver injury in chronic MTX users, independent of cumulative MTX dosage. These findings suggest metabolic factors as key mediators of MTX-induced hepatotoxicity. Prospective, multicenter studies are needed to confirm these findings and improve non-invasive monitoring strategies.
Full article

Figure 1
Open AccessProtocol
Secondary Perfusion to Model Viability of Livers Declined for Transplantation
by
Avery K. Fortier, Kimberly M. Feeney, Matthew L. Holzner, Joseph DiNorcia, Ron Shapiro, Leona Kim-Schluger, Sander S. Florman, L. Leonie van Leeuwen and M. Zeeshan Akhtar
Livers 2025, 5(4), 66; https://doi.org/10.3390/livers5040066 - 12 Dec 2025
Abstract
Background/Objectives: The donor liver shortage has created an urgent need to utilize higher-risk grafts for transplantation. Normothermic machine perfusion enables ex vivo graft assessment prior to transplantation, offering a route to expand access safely. However, proposed performance metrics often fail to differentiate dysfunctional
[...] Read more.
Background/Objectives: The donor liver shortage has created an urgent need to utilize higher-risk grafts for transplantation. Normothermic machine perfusion enables ex vivo graft assessment prior to transplantation, offering a route to expand access safely. However, proposed performance metrics often fail to differentiate dysfunctional grafts from functional grafts. Organs showing borderline results require careful deliberation as clinicians seek to balance recipient safety with waiting list access. The crucial question remains: are we discarding organs appropriately? Methods: To address this question, we describe a novel “secondary perfusion” model. We suggest that organs declined for transplantation after normothermic perfusion be subjected to an additional trial of cold ischemia and warm reanimation, mimicking reperfusion. Results: We present a protocol description and proof-of-concept case study using a marginal donor liver, showing how secondary perfusion enabled confirmation of predicted dysfunction. Conclusions: We share a protocol for modeling the performance of discarded organs in a recipient. We aim for this proof of concept to enable further investigation of existing viability criteria and better inform clinical decision-making.
Full article
(This article belongs to the Special Issue Transforming Liver Transplantation: Breakthroughs and Boundaries)
►▼
Show Figures

Figure 1
Open AccessReview
Implication of the Androgen Receptor in Muscle–Liver Crosstalk: An Overlooked Mechanistic Link in Lean-MASLD
by
Eleni Myrto Trifylli, Christiana Charalambous, Nikolaos Spiliotopoulos, Nikolaos Papadopoulos, Anastasia Oikonomou, Spilios Manolakopoulos and Melanie Deutsch
Livers 2025, 5(4), 65; https://doi.org/10.3390/livers5040065 - 8 Dec 2025
Abstract
►▼
Show Figures
Androgen receptor (AR) signaling has a pivotal role in hepatic lipid homeostasis, as well as in core metabolic functions such as lipogenesis, fatty acid oxidation, and insulin sensitivity. Dysregulation of AR function has been demonstrated in both animal and human studies to disrupt
[...] Read more.
Androgen receptor (AR) signaling has a pivotal role in hepatic lipid homeostasis, as well as in core metabolic functions such as lipogenesis, fatty acid oxidation, and insulin sensitivity. Dysregulation of AR function has been demonstrated in both animal and human studies to disrupt these crucial metabolic pathways, thereby promoting hepatic steatosis. Several causes can lead to AR dysregulation, including genetic mutations or polymorphisms, epigenetic and post-transcriptional modifications, as well as various endocrine disturbances. Prompted by a diagnostically challenging case of a lean 34-year-old male with persistent ALT-predominant transaminasemia, unexplained suboptimal dyslipidemia despite adherence to drug therapy and a healthy lifestyle, and chronically elevated creatine phosphokinase levels irrespective of statin use or exercise intensity, we highlight the overlooked mechanistic link between AR dysfunction and liver–muscle disruption in lean-MASLD patients. Considering the pivotal role of AR in liver–muscle crosstalk, we emphasize the importance of evaluating AR signaling pathways through targeted genetic testing in cases of lean-MASLD among the male population, as well as addressing other extrahepatic manifestations, such as neuromuscular diseases, closely related to AR dysfunction. This clinical strategy may ultimately optimize lean-MASLD management, particularly in view of the emerging utilization of AR-targeted therapeutic modalities, and may also facilitate the management of systemic manifestations associated with altered AR signaling pathways.
Full article

Figure 1
Open AccessReview
Transplant vs. Resection for Non-HCC Malignancies of the Liver
by
Sibi Krishna Thiyagarajan, Arielle Jacover, Alfredo Verastegui, Katherine Poruk and John A. Stauffer
Livers 2025, 5(4), 64; https://doi.org/10.3390/livers5040064 - 5 Dec 2025
Abstract
Background: Surgical resection (SR) and liver transplantation (LT) are the main curative options for non-hepatocellular carcinoma (non-HCC) liver malignancies, including colorectal liver metastases (CRLMs), intrahepatic cholangiocarcinoma (iCCA), hilar cholangiocarcinoma (hCCA), and neuroendocrine tumor liver metastases (NETLMs). Resection aims for negative margins and adequate
[...] Read more.
Background: Surgical resection (SR) and liver transplantation (LT) are the main curative options for non-hepatocellular carcinoma (non-HCC) liver malignancies, including colorectal liver metastases (CRLMs), intrahepatic cholangiocarcinoma (iCCA), hilar cholangiocarcinoma (hCCA), and neuroendocrine tumor liver metastases (NETLMs). Resection aims for negative margins and adequate hepatic reserve, while LT offers treatment for unresectable disease but is limited by donor scarcity, immunosuppression, and ethical constraints. Methods: A targeted literature search (2005–2025) was conducted using PubMed and Google Scholar with predefined MeSH terms combining “liver resection,” “hepatectomy,” and “liver transplantation” across non-HCC malignancies. Relevant studies, reviews, and guidelines were included. Results: For CRLMs, SR remains standard with 5-year overall survival (OS) up to 58%, while LT offers 60–83% in highly selected unresectable cases. In iCCA, resection achieves median survival around 40 months, and LT yields OS up to 69% in very early or neoadjuvant-controlled disease. For hCCA, the Mayo protocol combining neoadjuvant therapy with LT provides 5-year OS of 65–80%. In NETLMs, LT achieves 63–97% OS under strict criteria. Conclusions: SR remains first-line for resectable non-HCC malignancies, while LT provides superior outcomes in unresectable yet biologically favorable disease, emphasizing careful selection and organ allocation.
Full article
(This article belongs to the Special Issue Transforming Liver Transplantation: Breakthroughs and Boundaries)
Open AccessArticle
Targeted Liver Fibrosis Therapy: Evaluating Retinol-Modified Nanoparticles and Atorvastatin/JQ1-Loaded Nanoparticles for Deactivation of Activated Hepatic Stellate Cells
by
Aya A. Ezzat, Salma N. Tammam, Ralf Weiskirchen, Sarah K. Schröder-Lange and Samar Mansour
Livers 2025, 5(4), 63; https://doi.org/10.3390/livers5040063 - 5 Dec 2025
Abstract
►▼
Show Figures
Background: Liver fibrosis is a progressive pathological condition characterized by excessive extracellular matrix deposition, driven by activated hepatic stellate cells (aHSCs). Effective therapeutic strategies require targeting aHSCs and agents capable of reversing their activated phenotype. Methods: In this study, we developed
[...] Read more.
Background: Liver fibrosis is a progressive pathological condition characterized by excessive extracellular matrix deposition, driven by activated hepatic stellate cells (aHSCs). Effective therapeutic strategies require targeting aHSCs and agents capable of reversing their activated phenotype. Methods: In this study, we developed chitosan nanoparticles loaded with atorvastatin (AS) and JQ1 and functionalized them with varying densities of retinol (Rt) to exploit aHSC targeting. Results: In vitro, Rt-NPs demonstrated enhanced uptake in GRX cells, with optimal performance observed at high Rt density (HRt-NPs). In vivo biodistribution in CCl4-induced fibrotic and healthy mice revealed that LRt-NPs achieved superior hepatic accumulation in fibrotic livers compared to unmodified and HRt-NPs, underscoring the importance of optimal ligand density for targeting. Western blot analysis showed that treatment of GRX cells with Rt-AS-NPs and Rt-JQ1-NPs either individually or combined significantly reduced the expression of fibronectin, vimentin, and PDGFR-β, key markers of HSC activation, with combination therapy providing more significant effects. Conclusions: This work highlights the potential of Rt-chitosan NPs loaded with AS and JQ1 as an effective dual-drug system for targeted antifibrotic therapy, offering enhanced hepatic selectivity, improved safety, and potent aHSC deactivation.
Full article

Graphical abstract
Open AccessArticle
Integrative Analysis of Single-Cell and Spatial Transcriptomics Reveals Intratumor Heterogeneity Shaping the Tumor Microenvironment in Hepatocellular Carcinoma
by
Yue Liu, Guoping Dong, Jie Yu and Ping Liang
Livers 2025, 5(4), 62; https://doi.org/10.3390/livers5040062 - 1 Dec 2025
Abstract
Background: Intratumour heterogeneity (ITH) is one of the key characteristics of cancer and is closely associated with patient prognosis, treatment resistance, and tumor metastasis. Nevertheless, the study of ITH in hepatocellular carcinoma (HCC) remains limited. Methods: The present study elucidated the
[...] Read more.
Background: Intratumour heterogeneity (ITH) is one of the key characteristics of cancer and is closely associated with patient prognosis, treatment resistance, and tumor metastasis. Nevertheless, the study of ITH in hepatocellular carcinoma (HCC) remains limited. Methods: The present study elucidated the influence of ITH on the tumor microenvironment (TME) in HCC. We applied Non-negative Matrix Factorization (NMF) analysis to a cohort of 78 single-cell RNA sequencing (scRNA-seq) HCC samples to systematically characterize ITH. Furthermore, by integrating spatial transcriptomics (ST) data from five HCC patients, we comprehensively analyzed the spatial organization and functional properties of distinct niches within HCC. We conducted a detailed analysis of the cell-type co-localization relationships within the TME and constructed a comprehensive atlas of HCC spatial organization. Results: We observed a co-localization relationship between hypoxia tumor cells, plasmalemma vesicle-associated protein (PLVAP+) endothelial cells (EC), and vascular endothelial growth factor A (VEGFA+) cancer-associated fibroblasts (CAF), suggesting a key role for hypoxia tumor cells in VEGFA+ CAF transformation and tumor angiogenesis. We identified a unique boundary region enriched with dendritic cells1 (DC1), interferon-expressing tumor cells, lymphatic EC, C–X–C Motif Chemokine Ligand 10 (CXCL10+) macrophages (Mac), and secreted phosphoprotein 1 (SPP1+) Mac located between the tumor-infiltrating immune cells and tumor regions. Furthermore, we found that CXCL10+ Mac and SPP1+ Mac, despite co-localizing in the boundary region, exhibit distinct functions, which may be attributed to their unique spatial locations, with the former being closer to the immune-infiltrated region and the latter more proximal to the tumor area. Conclusions: Our study highlights the critical role of spatial interactions between tumor cells and the microenvironment in HCC. The findings offer new insights into ITH and underscore the importance of spatial organization in understanding cancer biology and designing future precision therapies.
Full article
(This article belongs to the Special Issue Liver Cancer Heterogeneity in the Era of Single-Cell and Spatial Multiomics)
►▼
Show Figures

Figure 1
Open AccessArticle
Gender Differences in Healthy Eating Index as Informed by the Awareness of Diagnosis of Metabolic Dysfunction-Associated Steatotic Liver Disease
by
Wei-Ting Lin, Madeline Novack, Suthat Liangpunsakul, Chiung-Kuei Huang, Hui-Yi Lin, Po-Hung Chen, Tung-Sung Tseng and Peng-Sheng Ting
Livers 2025, 5(4), 61; https://doi.org/10.3390/livers5040061 - 28 Nov 2025
Abstract
►▼
Show Figures
Background/Objectives: Dietary quality is a driver of metabolic dysfunction-associated steatotic liver disease (MASLD). Men and women often have different levels of adherence to medical advice, but the effect of gender on adherence to dietary advice as a function of awareness of MASLD is
[...] Read more.
Background/Objectives: Dietary quality is a driver of metabolic dysfunction-associated steatotic liver disease (MASLD). Men and women often have different levels of adherence to medical advice, but the effect of gender on adherence to dietary advice as a function of awareness of MASLD is understudied. We aim to investigate the differences in diet quality between men and women who are aware of their diagnosis of MASLD compared to their undiagnosed counterparts. Methods: We utilized the National Health and Nutrition Examination Survey 2017–2020 to identify a nationally representative sample of subjects with MASLD, 127 of whom reported a diagnosis of MASLD (diagnosed MASLD), and 1703 of whom did not report an existing diagnosis of MASLD but met criteria of the disease based on vibration-controlled transient elastography results and cardiometabolic criteria (undiagnosed MASLD). Results: In a gender-stratified analysis of diet quality as a function of reported MASLD diagnosis, women with diagnosed MASLD were more likely than women with undiagnosed MASLD to consume less added sugar and more total and whole fruits. Women with diagnosed MASLD had a 3.06 higher healthy eating index score than undiagnosed women, after adjusting for confounders such as demographics, comorbidities, lifestyle behaviors, and metabolic risk factors. In men, total diet quality did not differ based on awareness of MASLD diagnosis. Conclusions: Women with diagnosed MASLD have superior diets compared to their undiagnosed counterparts. Gender-specific approaches to counseling and prospective studies that investigate causes of gender-driven differences in dietary behavior in the context of MASLD are needed.
Full article

Figure 1
Open AccessEditorial
Special Issue “Mechanistic and Prognostic Biomarkers in Liver Diseases”
by
Hartmut Jaeschke and Mitchell R. McGill
Livers 2025, 5(4), 60; https://doi.org/10.3390/livers5040060 - 24 Nov 2025
Abstract
Basic science is critical for understanding fundamental biological processes and disease mechanisms [...]
Full article
(This article belongs to the Special Issue Mechanistic and Prognostic Biomarkers in Liver Diseases)
Open AccessSystematic Review
Socioeconomic Disparities Along the Cancer Continuum for Hepatocellular Carcinoma: A Systematic Review
by
Justin Ong, Vivian H. LeTran, Christopher Wong, Jonathan Tchan, Selena Zhou, Ariana Chen and Kali Zhou
Livers 2025, 5(4), 59; https://doi.org/10.3390/livers5040059 - 18 Nov 2025
Abstract
►▼
Show Figures
Background: Social determinants of health critically impact outcomes along the care continuum of patients with hepatocellular carcinoma (HCC). This systematic review summarizes the effect of socioeconomic status (SES) factors on HCC outcomes in the United States. Methods: Electronic databases were queried for the
[...] Read more.
Background: Social determinants of health critically impact outcomes along the care continuum of patients with hepatocellular carcinoma (HCC). This systematic review summarizes the effect of socioeconomic status (SES) factors on HCC outcomes in the United States. Methods: Electronic databases were queried for the concepts of “liver cancer”, “health disparities”, and “socioeconomic factors” on 1 March 2021. Eligible studies included an individual- or area-level SES measure such as income, education, employment, and insurance and one of the following outcomes across the clinical continuum of HCC care: incidence, screening/surveillance, diagnosis, treatment, survival, and end-of-life. Results: Of 3331 studies screened, a total of 63 studies encompassing 179 separate analyses were included in our narrative synthesis: 13 on incidence, 5 on surveillance, 19 on diagnosis, 79 on treatment, 61 on survival, and 2 on end-of-life. Insurance was the most frequent SES measure represented (50%), followed by mostly area-level income (39%), education (9%), and employment (2%). The included studies were heterogeneous regarding both SES definitions (e.g., individual vs. area-level measures) and outcome reporting. Trends of worse outcomes were generally observed with lower indicators across all SES domains and HCC outcomes, particularly in analyses using national cancer registry data (e.g., SEER and NCDB). Unadjusted racial and ethnic disparities in outcome were attenuated in six out of 23 analyses that adjusted for an SES measure. Conclusions: Our findings highlight the need for social risk screening and interventions early in the HCC care pathway. Future research should focus on HCC surveillance and end-of-life/survivorship, with greater emphasis on examination of modifiable individual-level social determinants.
Full article

Figure 1
Open AccessArticle
From “MAFLD” to “MASLD”: Was This Revolution Worth It? A Head-to-Head Comparison of MAFLD and MASLD Criteria in Estimating Liver Disease Progression and Cardiovascular Risk in Real Life
by
Marcello Dallio, Mario Romeo, Fiammetta Di Nardo, Carmine Napolitano, Paolo Vaia, Claudio Basile, Annachiara Coppola, Alessia Silvestrin, Giusy Senese, Marco Niosi and Alessandro Federico
Livers 2025, 5(4), 58; https://doi.org/10.3390/livers5040058 - 12 Nov 2025
Abstract
►▼
Show Figures
Background/Objectives: In the present study, the Metabolic dysfunction-associated fatty liver disease (MAFLD) and Metabolic dysfunction-associated steatotic liver disease (MASLD) diagnostic criteria were applied to evaluate the relative performance in predicting short-term advanced fibrosis (AF) progression (AFpr) and hepatocellular carcinoma (HCC), as well
[...] Read more.
Background/Objectives: In the present study, the Metabolic dysfunction-associated fatty liver disease (MAFLD) and Metabolic dysfunction-associated steatotic liver disease (MASLD) diagnostic criteria were applied to evaluate the relative performance in predicting short-term advanced fibrosis (AF) progression (AFpr) and hepatocellular carcinoma (HCC), as well as an ancillary outcome, i.e., the occurrence of acute cardiovascular events (ACEs) in steatotic liver disease (SLD) patients. Methods: We retrospectively analyzed the data stored in the University Hospital (UH)’s Official Health Documents Digitization Archive of 931 SLD patients, with a follow-up of 3 years. Based on the Body Mass Index (BMI), patients were subdivided into lean “L” (BMI < 25 kg/m2) (n = 134) and not-lean “NL” (n = 797), and, subsequently, into NL-MASLD (n = 206), NL-MASLD/MAFLD (n = 481), NL-MAFLD (n = 110), L-MASLD (n = 39), L-MASLD/MAFLD (n = 68), and L-MAFLD (n = 27). All study outcomes (AFpr, HCC, and ACE) were primarily evaluated in NL-SLD and by conducting a sub-analysis of L-SLD individuals. Results: MASLD and MAFLD criteria similarly estimated [p = 0.076] the overall 3-year risk of AF progression in NL-SLD. In the L-SLD sub-analysis, MAFLD criteria better estimated the overall 3-year risk of AF progression [p = 0.006]. Multivariate competing risk analysis (adjusted for sex, age, diabetes, steatosis, and fibrosis severity) revealed diabetes [adjusted Hazard Ratio (aHR) = 2.113, p = 0.001], high-sensitivity C-reactive protein (aHR = 1.441; p = 0.02), and Homeostatic Model Assessment for Insulin Resistance (aHR = 1.228; p = 0.03) as being associated with AF progression in L-MAFLD. Compared to MAFLD, MASLD diagnostic criteria similarly estimated the 3-year risk of HCC occurrence both in NL [HR = 1.104, C.I. 95%: 0.824–1.593, p = 0.741] and L [HR = 1.260, C.I. 95%: 0.768–2.104, p = 0.701] patients. Finally, no significant differences were reported between the MAFLD or MASLD criteria for ACE risk occurrence in all study groups. Conclusions: The MAFLD criteria better estimate the AF progression risk, limited to L-SLD patients.
Full article

Graphical abstract
Open AccessArticle
Undiagnosed Liver Disease in Patients with Late-Stage Hepatocellular Carcinoma
by
Benjamin Ngoi, Hardeep Kaur, Annabel Lane, Darshan Nitchingham, Amirhossein Norozi, Olga Sukocheva, Kathy Pietris, Joanne Morgan, Joan Ericka Flores and Edmund Tse
Livers 2025, 5(4), 57; https://doi.org/10.3390/livers5040057 - 10 Nov 2025
Abstract
►▼
Show Figures
Background/Objectives: Late presentations of advanced hepatocellular carcinoma (HCC) indicate a lack of detection of underlying cirrhosis and a need to identify clinical and socioeconomic risk factors contributing to early-stage HCC recognition. This study tested associations between early diagnostics of HCC and demographic,
[...] Read more.
Background/Objectives: Late presentations of advanced hepatocellular carcinoma (HCC) indicate a lack of detection of underlying cirrhosis and a need to identify clinical and socioeconomic risk factors contributing to early-stage HCC recognition. This study tested associations between early diagnostics of HCC and demographic, socioeconomic, clinical, and healthcare-related indicators. Methods: A retrospective analysis of clinical data accumulated between February 2018 and February 2024 was completed at a quaternary care centre (South Australia). Results: We identified 388 cases of newly diagnosed HCC during a six-year period. There were 131 (33.7%) patients with early-stage (Barcelona clinic liver cancer (BCLC) stage 0–A) and 257 (66.3%) patients with late-stage (BCLC B–D) HCC. Late-stage HCC was found in 66.3% of patients, with half of the cohort not having a diagnosis of cirrhosis at the time of HCC detection. A retrospectively calculated Fibrosis Index (FIB-4) of >3.25 was present in nearly half of patients with newly diagnosed HCC with no prior diagnosis of cirrhosis. Engagement with healthcare (p < 0.05), a history of liver cirrhosis (p < 0.001), and gastroenterologist-led care with surveillance programmes (p < 0.001) was associated with early-stage presentation and curative treatment. Late-stage HCC was associated with male sex (p = 0.041), failing to attend appointments (p < 0.001), and liver function tests ordered by general physicians (p = 0.002) or non-gastroenterologist specialists (p = 0.023). Logistic regression analysis indicated that engaging in a surveillance programme, assessment by a gastroenterologist, and Model for End-Stage Liver Disease scores were important factors contributing to early detection of HCC; the area under the curve for this model on the ROC analysis was 0.892 (95% CI 0.855–0.929). Conclusions: Better cirrhosis detection is required, given that 60% of patients had a retrospectively calculated FIB-4 > 3.25. Routine use of non-invasive scores by all healthcare providers may increase engagement with surveillance and improve HCC screening.
Full article

Figure 1
Open AccessArticle
GH Replacement Therapy Is Associated with Ameliorations in Body Composition and Fatty Liver Index in Patients with Adult-Onset Isolated GH Deficiency
by
Elena Gangitano, Rebecca Rossetti, Giusy Simeone, Mariaignazia Curreli, Orietta Gandini, Stefania Mariani and Carla Lubrano
Livers 2025, 5(4), 56; https://doi.org/10.3390/livers5040056 - 6 Nov 2025
Abstract
►▼
Show Figures
Background/Objectives: Patients with isolated adult-onset growth hormone (GH) deficiency may present with hepatic steatosis and metabolic dysfunction. The effect of replacement therapy on metabolic phenotype has not been exhaustively studied yet. Methods: Patients with isolated adult-onset GH deficiency (GHD) were enrolled
[...] Read more.
Background/Objectives: Patients with isolated adult-onset growth hormone (GH) deficiency may present with hepatic steatosis and metabolic dysfunction. The effect of replacement therapy on metabolic phenotype has not been exhaustively studied yet. Methods: Patients with isolated adult-onset GH deficiency (GHD) were enrolled and prescribed GH-replacement therapy. DEXA scans for assessing body composition, anthropometric and biochemical parameters were evaluated at baseline and after 12 months of therapy. A fatty liver index, hepatic steatosis index and Fibrosis 4-test were calculated at baseline and after 12 months of therapy. Results and Conclusions: In our cohort, GH replacement therapy in adults with isolated adult-onset GHD is associated with weight loss and reduction of BMI (p < 0.001), amelioration in body composition with reduction in fat mass and trunk fat (respectively, p = 0.023 and p = 0.02), amelioration in lipid profile (significant reduction of total and LDL cholesterol and increase in HDL cholesterol) and reduction in fatty liver index (p = 0.021). Further long-term, randomized studies with bigger cohorts and advanced diagnostics are needed to confirm these results of our exploratory study.
Full article

Figure 1
Open AccessReview
Herb-Induced Liver Injury
by
Krzysztof Łupina, Adrian Nowak, Aleksandra Jabłońska, Anna Potaczek, Julia Salacha, Łucja Ilkiewicz, Aleksandra Kalisz and Jakub Janczura
Livers 2025, 5(4), 55; https://doi.org/10.3390/livers5040055 - 5 Nov 2025
Abstract
►▼
Show Figures
Herb-induced liver injury (HILI) is an increasingly recognized cause of liver damage, associated with the widespread global use of herbal products. Despite its rising incidence, HILI remains underrecognized and underreported due to the absence of specific biomarkers, limited regulatory oversight, and the complexity
[...] Read more.
Herb-induced liver injury (HILI) is an increasingly recognized cause of liver damage, associated with the widespread global use of herbal products. Despite its rising incidence, HILI remains underrecognized and underreported due to the absence of specific biomarkers, limited regulatory oversight, and the complexity of multi-ingredient formulations. Diagnostic efforts rely heavily on the Roussel Uclaf Causality Assessment Method (RUCAM), with clinical presentations often nonspecific and dominated by hepatocellular patterns of injury. Epidemiological data demonstrate regional variation, with notably higher case numbers in Asia and the Americas. Mechanistically, HILI may result from either intrinsic (predictable, dose-dependent) or idiosyncratic (unpredictable, immune-mediated) reactions. Genetic predispositions, including certain HLA alleles, have been identified as risk factors. Hepatotoxicity is often linked to specific phytochemicals such as pyrrolizidine alkaloids, catechins, anthraquinones, and diterpenoids, which may contribute to oxidative stress, mitochondrial damage, or immune activation. Additionally, product inconsistencies and contamination complicate risk assessment and safety evaluation. Current management focuses on immediate discontinuation of the suspected product and supportive care, though severe cases may require liver transplantation. Future directions include the development of specific diagnostic tools, implementation of globally harmonized regulatory standards, improved pharmacovigilance systems, and enhanced public and professional education. Addressing these priorities is crucial for reducing HILI-related morbidity while supporting the safe use of herbal therapies.
Full article

Figure 1
Open AccessReview
Standardizing the 13C-Methacetin Breath Test: A Call for Clinical Integration in Liver Function Testing
by
Jasmin Weninger, Michael Pohl, Mustafa Özçürümez, Oliver Götze and Ali Canbay
Livers 2025, 5(4), 54; https://doi.org/10.3390/livers5040054 - 3 Nov 2025
Abstract
►▼
Show Figures
Background/Objectives: The 13C-Methacetin Breath Test (MBT) is a non-invasive tool to evaluate hepatic microsomal function via exhaled 13CO2, reflecting cytochrome P450 1A2 (CYP1A2)-mediated metabolism. Despite decades of evidence demonstrating its utility in diagnosing cirrhosis, stratifying liver disease severity, and
[...] Read more.
Background/Objectives: The 13C-Methacetin Breath Test (MBT) is a non-invasive tool to evaluate hepatic microsomal function via exhaled 13CO2, reflecting cytochrome P450 1A2 (CYP1A2)-mediated metabolism. Despite decades of evidence demonstrating its utility in diagnosing cirrhosis, stratifying liver disease severity, and predicting outcomes, MBT adoption remains limited due to methodological inconsistencies and variable diagnostic thresholds. This review aimed to summarize MBT data in adults and assess its diagnostic and prognostic performance. Methods: A literature review was conducted using PubMed, Web of Science, and Scopus. Eligible studies included those applying oral or intravenous methacetin with defined reference values or diagnostic cutoffs. Outcomes of interest were percent dose recovery (PDR), cumulative PDR (cPDR), and LiMAx® values. Due to heterogeneity in protocols, units, and endpoints, results were synthesized narratively. Results: Healthy individuals typically demonstrated rapid metabolism (e.g., cPDR30 10–15%), whereas cirrhotic patients showed significantly reduced values (e.g., cPDR30 ≈ 1%). Diagnostic cutoffs varied widely (<0.35% to <8%), reflecting methodological and population differences. MBT reliably identified advanced liver disease but showed inconsistent sensitivity for early-stage fibrosis and metabolic dysfunction-associated steatotic liver disease. Variability in dosing, timing, measurement duration, and analytic technique limited cross-study comparability. Conclusions: MBT is a validated, dynamic marker of liver function with both diagnostic and prognostic relevance. However, inconsistent protocols and thresholds hinder its clinical implementation. Standardization of MBT procedures, reference ranges, and reporting metrics is essential. A harmonized protocol (“MBT-60”), supported by multicenter validation, demographic stratification, and direct comparison with structural and serologic liver tests, is recommended to facilitate MBT integration into routine hepatology practice.
Full article

Figure 1
Open AccessArticle
Defining Gene Signature of Tumor-Associated Macrophages in Intrahepatic Cholangiocarcinoma as Target for Immunotherapy Using Single Cell and Bulk RNA Sequencing
by
Joshua S. Badshah, Ryan M. Lee, Andrea Reitsma, Marc L. Melcher, Olivia M. Martinez, Sheri M. Krams, Daniel J. Delitto and Varvara A. Kirchner
Livers 2025, 5(4), 53; https://doi.org/10.3390/livers5040053 - 29 Oct 2025
Abstract
Background: Intrahepatic cholangiocarcinoma (ICC) has a poor prognosis due to late-stage presentation and ineffective systemic therapies. Targeting the tumor microenvironment (TME) in ICC offers new therapeutic possibilities, particularly through tumor-associated macrophages (TAM), which can both promote and inhibit tumor progression. The current study
[...] Read more.
Background: Intrahepatic cholangiocarcinoma (ICC) has a poor prognosis due to late-stage presentation and ineffective systemic therapies. Targeting the tumor microenvironment (TME) in ICC offers new therapeutic possibilities, particularly through tumor-associated macrophages (TAM), which can both promote and inhibit tumor progression. The current study utilized multi-omics analysis to characterize the gene signature of TAM and explore its therapeutic potential in ICC. Methods: Public GEO datasets provided the basis for analysis. Single-cell RNA sequencing (scRNA-seq) data from five ICCs, three adjacent non-tumorous tissues (ANTs), and four healthy liver samples were examined with Python. To validate scRNA-seq findings, bulk RNA-seq data from 27 ICC and 27 matched ANT samples were assessed using R. Differentially expressed genes were identified with adjusted p-values <0.01 and log2-fold changes >1 or <−1. CIBERSORT pipeline analyzed 22 immune cell subtypes in bulk RNA-seq data. STRING database analyzed the contribution of unique TAM-related genes to networks of protein–protein interactions. Results: TAM population demonstrated phenotypic heterogeneity exhibiting partial gene signatures of inflammatory (MS1) and anti-inflammatory (MS2) macrophages. Unique TAM-associated markers, TREM2, CD9, and PRMT10, showed variable expression within the TAM subpopulation. Bulk RNAseq analysis confirmed the scRNA-seq results, highlighting overexpression of TREM2 and CD9 in most ICC samples versus ANT. Immune cell deconvolution revealed decreased MS1 and MS2 macrophages in ICC, and alterations in adaptive immune profile, suggesting immunotolerant TME. STRING database defined TREM2-LGALS3 axis as a potential target for anti-tumor therapies. Conclusions: TAM represents a unique heterogenous population which is primarily found in ICC TME versus ANT or healthy liver tissue The non-uniform expression of unique gene signature demonstrates additional heterogeneity in the TAM subpopulation and suggests that TREM2+ TAM may be desirable targets for anti-TREM2-LGALS3 immunotherapy.
Full article
(This article belongs to the Special Issue Liver Cancer Heterogeneity in the Era of Single-Cell and Spatial Multiomics)
►▼
Show Figures

Figure 1
Open AccessArticle
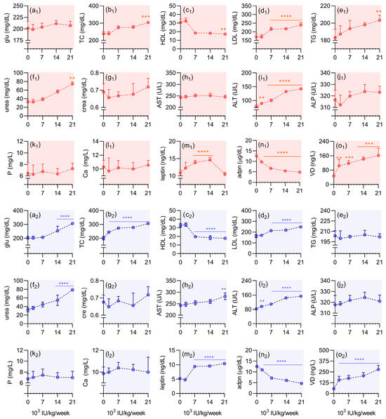
Effect of Oral Vitamin D Overdose in Male and Female Wistar Rats with Induced MASLD
by
Silvia Muller de Moura Sarmento, Gênifer Erminda Schreiner, Laura Smolski dos Santos, Camila Berny Pereira, Elizandra Gomes Schmitt, Vinicius Tejada Nunes, Rafael Tamborena Malheiros, Clóvis Klock, Chaline Casanova Petry, Itamar Luís Gonçalves and Vanusa Manfredini
Livers 2025, 5(4), 52; https://doi.org/10.3390/livers5040052 - 23 Oct 2025
Abstract
►▼
Show Figures
Background/Objectives: Vitamin D is recognized as a key modulator of metabolic diseases, including metabolic-dysfunction-associated steatotic liver disease (MASLD), in which its deficiency contributes to both disease onset and progression. Despite the widespread and often prolonged use of vitamin D supplementation, optimal serum levels
[...] Read more.
Background/Objectives: Vitamin D is recognized as a key modulator of metabolic diseases, including metabolic-dysfunction-associated steatotic liver disease (MASLD), in which its deficiency contributes to both disease onset and progression. Despite the widespread and often prolonged use of vitamin D supplementation, optimal serum levels in individuals with MASLD remain unclear and warrant further investigation. Methods: In this study, hepatic steatosis was induced in male and female Wistar rats over a 45-day period. The animals were then divided into five groups (control, 2500, 7000, 14,000, and 21,000 IU/kg/week of cholecalciferol). After four weeks of treatment, the animals were euthanized, and blood samples were collected for biochemical, hormonal, inflammatory, oxidative stress analyses and liver architecture evaluation. Results: High-dose vitamin D supplementation in rats with MASLD induced dose-dependent metabolic, inflammatory, and oxidative changes, with some sex-specific differences. Urea and alanine aminotransferase levels increased at higher doses in both sexes, suggesting potential nephrotoxic and hepatotoxic effects, while creatinine and aspartate aminotransferase remained stable. Adiponectin levels decreased consistently, and leptin levels rose across all doses, indicating a shift toward a pro-adipogenic profile. Pro-inflammatory molecules (IL-1β, IL-6, IL-8, TNF, C-reactive protein) increased progressively with dose, while IL-10 followed a U-shaped curve. Oxidative stress markers showed elevated protein carbonylation only at the highest dose, a slight reduction in TBARS, and a peak in total antioxidant status at 7000 IU/kg/week. Conclusions: High-dose vitamin D triggers antioxidant responses but drives harmful inflammatory and metabolic shifts in MASLD.
Full article

Figure 1
Highly Accessed Articles
Latest Books
E-Mail Alert
News
Topics
Topic in
Biomolecules, Cancers, Cells, JMP, Livers
Signaling Pathways in Liver Disease 2nd Edition
Topic Editors: Ralf Weiskirchen, Amedeo AmedeiDeadline: 20 March 2026
Topic in
Biomedicines, Current Oncology, Diagnostics, JCM, Livers, Transplantology, Gastrointestinal Disorders
Advances in Gastrointestinal and Liver Disease: From Physiological Mechanisms to Clinical Practice, 2nd Edition
Topic Editors: Davide Giuseppe Ribaldone, Gian Paolo CavigliaDeadline: 20 December 2026
Conferences
Special Issues
Special Issue in
Livers
From Population to Precision: Nutritional Approaches in Metabolic Dysfunction-Associated Steatotic Liver Disease
Guest Editors: Marijana Vujkovic, Kate Townsend CreasyDeadline: 15 January 2026
Special Issue in
Livers
Liver Cancer: Molecular Genetics, Biomarkers, and Emerging Therapeutic Frontiers
Guest Editors: Yuting Huang, Dilhana S. Badurdeen, Yan YanDeadline: 31 January 2026
Special Issue in
Livers
The Transformative Role of Contrast-Enhanced Ultrasound (CEUS) in Chronic Liver Disease
Guest Editor: Francesco GiangregorioDeadline: 20 February 2026
Special Issue in
Livers
Personalizing Hepatocellular Carcinoma: The Emerging Era of Precision Management
Guest Editors: Mario Capasso, Valentina Cossiga, Fabrizio RomanoDeadline: 28 February 2026




