Recent Advances in Epidemiology of Childhood Cancer
A special issue of Cancers (ISSN 2072-6694). This special issue belongs to the section "Cancer Epidemiology and Prevention".
Deadline for manuscript submissions: 30 June 2026 | Viewed by 623
Special Issue Editors
Interests: childhood cancer registries; childhood cancer epidemiology; survival of children with cancer
Interests: childhood cancer etiology
Special Issue Information
Dear Colleagues,
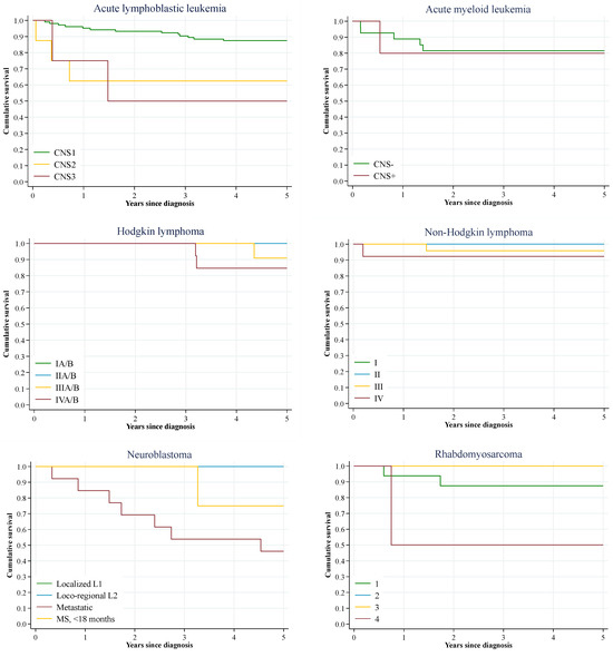
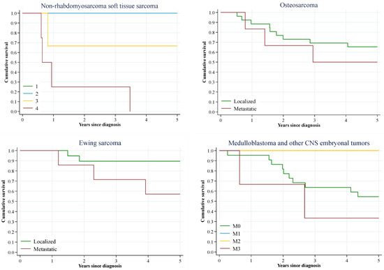
Childhood cancer remains a major cause of death in children, and, while survival is high in developed countries, there are serious inequalities between regions and countries worldwide. There are geographical and ethnic variations in the incidences of different cancer types that remain unresolved, since most causes of childhood cancer are still unknown. Moreover, an increasing number of survivors live with health problems caused by the malignancy or the necessary therapy, leading to lifelong healthcare requirements in many cases.
Childhood cancer registries are still needed in a number of countries. In others, the quality of childhood cancer registration should be further enhanced.
This Special Issue will address all aspects of childhood cancer epidemiology. Possible topics include (but are not limited to) the improvement of childhood cancer registries and their output, research on the environmental causes of cancer in children, and the genetic and molecular epidemiology of childhood cancer. We invite submissions sharing applications of epidemiology in the evaluation of population-based healthcare results and the quality of life of survivors of childhood cancer, considering, when possible, the impact of social determinants and inequalities in access to care. Papers exploring improvements in the application of biostatistics to the area of rare tumours, developments in ethically acceptable record linkage, and appropriate artificial intelligence tools are also welcome.
We look forward to receiving your contributions.
Prof. Dr. Rafael Peris-Bonet
Dr. Rebeca Ramis
Dr. Adela Cañete
Guest Editors
Manuscript Submission Information
Manuscripts should be submitted online at www.mdpi.com by registering and logging in to this website. Once you are registered, click here to go to the submission form. Manuscripts can be submitted until the deadline. All submissions that pass pre-check are peer-reviewed. Accepted papers will be published continuously in the journal (as soon as accepted) and will be listed together on the special issue website. Research articles, review articles as well as communications are invited. For planned papers, a title and short abstract (about 100 words) can be sent to the Editorial Office for announcement on this website.
Submitted manuscripts should not have been published previously, nor be under consideration for publication elsewhere (except conference proceedings papers). All manuscripts are thoroughly refereed through a single-blind peer-review process. A guide for authors and other relevant information for submission of manuscripts is available on the Instructions for Authors page. Cancers is an international peer-reviewed open access semimonthly journal published by MDPI.
Please visit the Instructions for Authors page before submitting a manuscript. The Article Processing Charge (APC) for publication in this open access journal is 2900 CHF (Swiss Francs). Submitted papers should be well formatted and use good English. Authors may use MDPI's English editing service prior to publication or during author revisions.
Keywords
- childhood cancer epidemiology
- childhood cancer registries
- environmental causes of childhood cancer
- genetic epidemiology
- molecular epidemiology
- survival of children with cancer
- quality of life
- social determinants and inequalities
- information technologies and statistical innovations
Benefits of Publishing in a Special Issue
- Ease of navigation: Grouping papers by topic helps scholars navigate broad scope journals more efficiently.
- Greater discoverability: Special Issues support the reach and impact of scientific research. Articles in Special Issues are more discoverable and cited more frequently.
- Expansion of research network: Special Issues facilitate connections among authors, fostering scientific collaborations.
- External promotion: Articles in Special Issues are often promoted through the journal's social media, increasing their visibility.
- Reprint: MDPI Books provides the opportunity to republish successful Special Issues in book format, both online and in print.
Further information on MDPI's Special Issue policies can be found here.

