Abstract
Pyrolysis process has been considered to be an efficient approach for valorization of lignocellulosic biomass into bio-oil and value-added chemicals. Bio-oil refers to biomass pyrolysis liquid, which contains alkanes, aromatic compounds, phenol derivatives, and small amounts of ketone, ester, ether, amine, and alcohol. Lignocellulosic biomass is a renewable and sustainable energy resource for carbon that is readily available in the environment. This review article provides an outline of the pyrolysis process including pretreatment of biomass, pyrolysis mechanism, and process products upgrading. The pretreatment processes for biomass are reviewed including physical and chemical processes. In addition, the gaps in research and recommendations for improving the pretreatment processes are highlighted. Furthermore, the effect of feedstock characterization, operating parameters, and types of biomass on the performance of the pyrolysis process are explained. Recent progress in the identification of the mechanism of the pyrolysis process is addressed with some recommendations for future work. In addition, the article critically provides insight into process upgrading via several approaches specifically using catalytic upgrading. In spite of the current catalytic achievements of catalytic pyrolysis for providing high-quality bio-oil, the production yield has simultaneously dropped. This article explains the current drawbacks of catalytic approaches while suggesting alternative methodologies that could possibly improve the deoxygenation of bio-oil while maintaining high production yield.
1. Introduction
The total world energy consumption is increasing at a steep rate due to global industrialization, and it is expected to reach 28% by 2040. Currently, fossil fuels are considered to be the main source of energy which release toxic and greenhouse gases, particulates, and pollutants leading to significant environmental impacts. Under the European Union (EU) 2030 energy framework and climate actions, a 27% increase in the share of renewable fuels and 40% reduction in greenhouse gases are targeted by 2030 [1]. Accordingly, to meet the rising energy demand while showing concern for the environmental aspects, alternative sustainable and environmentally benign fuels should be developed. In this regard, research on novel approaches for renewable engineered fuels with low emission and high heating value is crucial. Furthermore, it is essential to consider relevant ethical consideration by excluding any feedstocks and compounds used for the food industry, i.e., edible vegetable oils and fresh crops [2,3]. The source of carbon in biomass results from the photosynthesis process as part of the plant growing cycle where carbon dioxide is consumed. Biomass is considered to be the largest available carbon source that is renewable and sustainable for biofuels production. Biomass is abundant, renewable, and inexpensive [4], and it supplies about 14% of the world’s yearly energy consumption. Biomass refers to organic materials that are produced from plants, animals, and other living organisms, i.e., microorganisms [5].
Biomass valorization into biofuels and value-added chemicals has been achieved via different routes. On the one hand, for instance, vegetable oils are used to produce biodiesel, green diesel, and value-added chemicals through several reactions including transesterification [6], esterification [7], hydrogenation, hydrolysis, etc. Furthermore, sugary plants have been used to produce bioethanol via the fermentation process. On the other hand, biomass has been directly converted into biofuels via thermochemical processes including pyrolysis, gasification, liquefaction, etc. [8,9,10,11]. Generally, biomass is categorized based on the feedstock into three categories namely first, second, and third generations. First-generation biomass refers to the edible and virgin biomass that can be used in food industries such as vegetable oils and fresh crops. The competition between energy and the food industry for first-generation biomass has led to food insecurity concerns. Accordingly, several constraints have been developed to prevent using first-generation feedstock as an energy resource [12,13]. As a result, second-generation feedstock of biomass has been defined as non-edible plant resources and waste biomass including waste food, waste vegetable oils, lignocellulosic biomass, etc. Research on valorizing second-generation feedstock has been widely reported in the last few years to produce biodiesel, bioethanol, biogas, bio-oil, etc. Finally, third-generation feedstock has been recently reported as the algal and microorganism’s feedstock. The main advantage of the third-generation feedstock is the rapid growth rate, the requirement of a small area to grow, and the easily controlled growth conditions [14]. A simplified schematic for the conversion routes of biomass is presented in Figure 1.
Figure 1.
A simplified schematic illustration of two main biofuel production pathways (adapted from [15]).
Thermochemical conversion technology produces a wide range of products including gaseous, condensable vapours and solids. The condensable vapours of the process are mainly obtained as bio-oil, where they can be upgraded to biofuels and value-added chemicals. Unlike biological processes that can convert only limited components of the biomass, thermochemical processes are capable of converting all the carbon in the feedstock [16]. Open air combustion has been considered to be the oldest technology used for biomass valorization for heating benefits. This technology is still the dominant process for heating from biomass in numerous parts of the world. Since then, several thermochemical technologies have been developed to overcome the disadvantages and limitation of open-air combustion. The main development in thermochemical technology is the aim to produce different biofuels and value-added chemicals from biomass. Charcoal was the first reported biofuel produced from wood, which was considered to be the spark for the current progress in thermochemical technologies. As compared with petroleum coal, charcoal has higher oxygen content which reduces the required excess air for combustion. Furthermore, most of the carbons in the biomass are bounded to oxygen or hydrogen (organic carbon), which make them more volatile in relation to elementary carbon. Hence, the conversion of biomass volatile compounds can be achieved between 200 and 600 °C and above 800 °C for non-volatile compounds [17].
Recently, several technologies have been reported for thermochemical valorization of biomass including torrefaction, hydrothermal liquefaction, pyrolysis, and gasification which can readily convert biomass into bio-oil, syngas, heat, and charcoal. Torrefaction has been developed as a pretreatment process for biomass to improve its fuel and physicochemical properties. The process is carried out between 200 and 300 °C with a slow heating rate lower than 50 °C /min. The main advantages of the torrefaction process are that it reduces the moisture content, hydrophobicity, and volatile matter of biomass. During torrefaction, hydrophobicity is reduced due to the carboxylic groups’ degradation. It also improves the heating values and grindability of biomass [18]. Hydrothermal liquefaction is defined as the process of valorizing biomass into solid, liquid, and gaseous products in sub- and supercritical water, solvents, and catalysts. The process operates between 250 and 380 °C and between 4 and 230 bar. The main product produced from hydrothermal liquefaction is bio-oil which is similar to petroleum crude oil with a high mixture of oxygenated compounds. The quality of bio-oil is characterized by viscosity, H/C and O/C ratios, as well as density and heating values. Several biofuels and chemicals can be extracted from bio-oil based on the implemented downstream process. Furthermore, coliquefaction of different types of biomass has been recently reported to increase the yield of bio-oil [19].
Pyrolysis is the process of thermal decomposition of biomass in the absence of oxygen to produce bio-oil, char, and gaseous product. It is considered to be a promising approach for biomass valorization in a short period of time yielding up to 78 wt.% of bio-oil (based on dry biomass). The pyrolysis process operates between 400–650 °C. According to the product preferences, the process could be classified into slow and fast pyrolysis in terms of the heating rate. On the one hand, slow pyrolysis is the process that favors producing solid biochar and the process performs up to a few hours. On the other hand, fast pyrolysis is the process for enhancing the production of bio-oil (condensable vapours) and the process operates at a very high heating rate reaching the process temperature in a few seconds. Furthermore, fast pyrolysis uses a maximum particle size of feedstock of 2 mm [5]. Finally, gasification is a process where biomass is converted at a relatively high temperature (<700 °C) with incomplete combustion in a controlled oxygen/steam environment. The process results in syngas (main product), condensable vapours, and char. Syngas or synthesis gas, is a mixture that is comprised of carbon monoxide, carbon dioxide, and hydrogen. Compared with conventional incineration (combustion), gasification is a more efficient process for electricity generation because syngas can be easily utilized for electricity by using gas engines, gas turbines, or fuel cells. Moreover, the gasification process is also superior to biological methods as it can convert all types of biomass unlike fermentation. In summary, the main advantages of gasification are the conversion of the entire carbon content in the biomass, and production of valuable fuels, i.e., hydrogen, bio-oil, and lower CO2 emission [20].
This article presents a comprehensive review of the pyrolysis of lignocellulosic biomass with a specified focus on recent developments in the pretreatment processes and provides detailed information and procedures for up-to-date pretreatment processes. The article covers a detailed review of the product characterization and fractionation. Several techniques for bio-oil fractionation are reviewed in this article. The article provides an outline of bio-oil upgrading processes with a focus on recently reported catalytic upgrading procedures. Finally, the article describes the challenges and highlights the research gaps for future work in the field of pyrolysis of biomass.
2. Lignocellulosic Biomass
Almost all types of biomass can be used as raw material for pyrolysis to produce bio-oil [21]. Cellulose, hemicellulose, and lignin are the three main components of lignocellulosic biomass [22,23]. In addition to these three main components, lignocellulose biomass also contains extractives (tannins, resins, and fatty acids) and inorganic salts [24]. Lignocellulosic biomass can originate from agricultural crops, forests, and industrial waste materials [25], which are attractive mostly due to the low cost of these raw materials. Cellulose is the most important component of biomass because of its large percentage of biomass, and it contains long linear chains of β-(1, 4)-glycosidically linked D-glucose units [26]. Hemicellulose is a complex polysaccharide that takes place in association with cellulose in the cell wall and presents as a connecting element between cellulose and lignin [24]. Lignin is the third component of lignocellulose biomass, which occurs through the plant cell wall and is mainly accumulated in the middle lamella and the primary cell wall. It is a complex three-dimensional amorphous natural polymer and its degradation is different from the degradation of cellulose due to its complicated structure as it is composed of many benzene rings. However, all of these three main components of biomass are determined as the elements of carbon, hydrogen, and oxygen and high energy content can be relieved by the pyrolysis process [23,24,26]. Figure 2 illustrates a three-dimensional view of lignin in the plant cell.
Figure 2.
Graphical illustration of lignin, cellulose, and hemicellulose in the plant cell (adapted from [27]).
Lignin is considered to be the main waste stream from several biochemical processes which aim to specifically separate the cellulose and hemicellulose including bioethanol production and the pulp industry. Lignin is also considered to be a rich source of aromatic compounds, polymers, and chemical products [28]. The polymerization of p-coumaryl, coniferyl, and synapyl alcohols has led to the formation of lignin. Hence, the main units representing the lignin structure are p-hydroxyphenyl propane (p-H), guaiacyl (G), and syringyl (S), as presented in Figure 3. The vast majority of lignin bonds are represented by 4-O-β bonds. The lignin composition is different based on the feedstock, i.e., softwood is mainly composed of guaiacyl (G) units with very few units of p-hydroxyphenyl, whereas hardwood species are rich with guaiacyl (G) and syringyl (S).
Figure 3.
Monomeric phenols from the pyrolysis of lignin. (a) p-Hydroxyphenyl (H); (b) Guaiacyl (G); and (c) Syringyl (S) (adapted from [29]).
3. Biomass Pyrolysis
The pyrolysis products result from the primary decomposition of biomass followed by secondary reactions of condensable products into low molecular weight gases and char [30]. In general, large hydrocarbon molecules of biomass material are broken into smaller hydrocarbons. Bio-oil refers to biomass pyrolysis liquid, which contains alkanes, aromatic compounds, phenol derivatives, and small amounts of ketone, ester, ether, amine, and alcohol. The chemical compositions of bio-oil are defined by several factors including the type of biomass, process parameters (temperature, heating rate, and residence time), as well as condensation process (condensing technique and cooling rate). However, the pyrolysis process requires accurate control of temperature and short residence time (less than 3 s) to achieve a high yield of bio-oil [31]. Depending on the rate of applied heat, and the preferred types of the product (gas, solid, and liquid), pyrolysis can be classified into three different variations, i.e., fast, intermediate, and slow pyrolysis. The mode and the operating conditions of pyrolysis can affect the relative proportions of the gas, liquid, and solid products [32]. The fast pyrolysis process can be achieved at a high temperature in which biomass is fast heated in the absence of oxygen by introducing an inert gas to the reaction and at a high temperature of 400–600 °C; the feedstock reaches the peak temperature before the decomposition process takes place [33]. This process requires that the feedstock is prepared as small particle sizes for a rapid char removal design. Particle size is defined as the average diameter, in microns, of solid materials such as biomass. Slow pyrolysis produces some gas and solid charcoal and uses a low heating rate, with a long vapour residence time and typically a lower temperature than when fast pyrolysis is applied. The target product for slow pyrolysis is often char [32]. An intermediate pyrolysis process can be conducted at temperatures between 500 and 650 °C in a fixed bed pyrolysis reactor.
The fast pyrolysis of biomass is the commonly preferred method because of the fast rate of reaction and higher yields of liquid products. In the last ten years, numerous researches have studied the fast pyrolysis process focusing on reducing the water and oxygen contents, acidity, and viscosity of bio-oil, through different upgrading methods. In addition, further development was achieved by optimizing the reaction conditions, and the improvement of accurate models that correspond to the kinetics of biomass thermal degradation for the production of bio-oil. Many authors have investigated the composition and distribution of three main products (liquid, solid, and gas) of biomass pyrolysis produced from different types of biomass with different operating parameters and different reactor configurations. Temperature is the most important parameter to be considered in the pyrolysis process as it directly affects the production of bio-oil. At higher temperatures, the char yield decreases significantly. This happens because of the primary decomposition of biomass at high temperatures and the formation of char is by secondary thermal decomposition [33,34].
4. Biomass Pretreatment
The pretreatment of biomass is the method that eases the pathways of the conversion of biomass into valuable products. It enhances the process selectivity for certain products as it makes the biomass polymers more accessible by opening up the polymer fibers to enhance the conversion of cellulose, hemicellulose, and lignin [35]. Figure 4 presents a simple schematic for the pretreatment process.
Figure 4.
Modification of the lignocellulosic structure during pretreatment (adapted from [36]).
4.1. Physical Pretreatment
Feedstock particle size is an important parameter during the bio-oil production process as it affects yield and properties of the produced bio-oil. Small particle sizes are preferred in the fast pyrolysis process due to uniform heat transfer within the particles, whereas poor heat transfer in larger particles leads to low average particle temperature and as a result an expected reduction in liquid yield [37,38]. The impact of woody biomass particle size on the pyrolysis process have been studied by many researchers in the literature [39,40]. Larger particle size increases the heat resistance distance from particle surface to its center which prevents the pyrolysis reaction from being completed by slowing down the heat transfer to the biomass [41]. Shen et al. [42] studied the effect of particle size on bio-oil yield in a fluidized bed reactor and observed an increase in bio-oil yield of 12–14 wt.% with a reduction of the particle size from 1.5 mm to 0.3 mm.
One of the major problems with biomass pyrolysis is the low density of the feedstock, which can influence the pyrolysis products’ yields and compositions. The low density of biomass can be improved through a densification technique to increase the density of the biomass for the pyrolysis process. The densification of wood has resulted in higher bio-oil yields [43]. Furthermore, it could be considered to be a valuable method that reduces the moisture content of biomass, and therefore improves the composition of the bio-oil [44]. The most common techniques for biomass densification include pelleting, briquetting, and the use of a screw extruder [45].
Dry torrefaction (DT) is a thermal biomass pretreatment process in which, depending on the applied temperature, the DT can be performed at three different modes including light, mild, and severe, depending on the applied temperature. Light torrefaction occurs at a temperature of ~200 °C, mild torrefaction occurs at a temperature of ~250 °C, and severe torrefaction occurs at a temperature of ~290 °C, mainly happens for degradation of hemicellulose, cellulose, and lignin, respectively [46]. Torrefaction improves the biomass structure, and therefore produces better quality bio-oil [47].
4.2. Chemical Pretreatment
Chemical pretreatment has been used to improve the properties of the pyrolysis products by removing the undesirable inorganic materials of biomass. Different chemical treatments have been developed which include acid and alkali pretreatment, hydrothermal pretreatment, ammonia fiber expansion, and steam explosion. Carbonates, phosphates, sulphates, and chlorides are the most common impurities that are found in the biomass [48], which influence the composition of the pyrolysis products. The presence of metals in the biomass, such as potassium, sodium, calcium, and magnesium can affect the production of bio-oil produced in the pyrolysis processes. Most studies have reported that the presence of metal enhances the ash production, as well as the destabilization of the bio-oil and corrosion of the pyrolysis reactor [49,50].
Acid pretreatments have been performed with mineral acids or organic acids and diluted acids, i.e., sulphuric or chloric acid [51]. It has been reported that an acid treatment removes the hemicellulosic sugars by producing hydroxyl acids. One of the drawbacks associated with acid pretreatment is the production of gypsum (CaSO4•2H2O) which is composed of calcium sulfate dihydrate. However, acid pretreatment results in lower ash content and improved bio-oil properties [48].
Alkaline solutions such as NaOH, Ca(OH)2, and NH4OH with high concentrations at low temperature have been used to improve the biomass structure and to partially remove hemicellulose and lignin from biomass. NaOH and KOH are the most widely used as alkaline solutions for the alkaline pretreatment method. Alkali pretreatment performed at a lower temperature has been reported to improve the biomass structure by breaking the ester and glycosidic linkages in the lignin structure [52].
Wet torrefaction (WT) pretreatment is defined as a biomass treatment with hot-compressed water or subcritical water at a mild temperature range of 180–260 °C and the pressure of 47 bar. During this process, high pressure water enters the biomass and hydrates cellulose, solubilizes, and removes the hemicellulose and a minor amount of lignin. Hence, it can be concluded that WT pretreatment improves the bio-oil quality by reducing the amount of water produced by hemicellulose in the pyrolysis process. The liquid from this processes is rich in phenolic compounds, furfurals, hexoses, and other sugars [53,54]. Steam explosion has been developed for wood pretreatment [55]. The process is described by feeding the wood chips into a vessel at 285 °C and 35 bar for 2 min, where the pressure increases up to 70 bar in 5 s. This process provides better accessible feedstock for the secondary conversion process. Figure 5 illustrates a comparison between non-treated and steam exploded biomass.
Figure 5.
Images of non-treated and steam exploded biomass (adapted from [56]).
Ammonia fiber expansion (AFE) has been reported to be an effective pretreatment technique to improve the biomass structure where the biomass is exposed to ammonia at a high temperature (80–150 °C) and pressure (200–400 psi) [57]. AFE is a physical (pressure and temperature) and chemical (NH3) process, which is performed in a specific reactor equipped with a high temperature and pressure controller and in flow of liquid ammonia. A ratio of 1:1 or 1:2 of ammonia to biomass is mixed together for 10–60 min in a closed reactor and heated to the required temperature and pressure [58].
Biological pretreatment is one of the most efficient pretreatment methods as it is performed under ambient temperature and pressure and no energy or chemicals are used. In this method, microorganisms and bacteria are used for the biomass pretreatments, which degrade the main linkages between lignin and cellulose or lignin and hemicellulose [59,60,61]. In Table 1, the advantages and disadvantages of different pretreatment methods of lignocellulosic biomass are presented. One of the advantages of mechanical pretreatment is that a large volume of biomass can be handled. However, higher energy consumption remains as one of the drawbacks of this method. In addition, high sugar yield can be obtained by acid treatment, however, the cost of the acid is one of the disadvantages of this method. Ammonia fiber expansion (AFE) is an efficient method for agro-biomass pretreatment for high sugar yield, however, recycling of ammonia is required.
Table 1.
Advantages and disadvantages of different pretreatment methods of lignocellulosic biomass (adapted from [63,64,65]).
Over the last few decades, ionic liquids (ILs) have emerged as promising nonconventional solvents for lignocellulosic biomass pretreatment by solubilizing, disorganizing or fractioning lignocellulose and increasing cellulose enzymatic digestibility. They are organic salts, liquid at temperatures below 100 °C, non-volatile, non-flammable, with high thermal and chemical stability. Imidazolium-based ILs are widely used for the pretreatment of various lignocellulosic biomasses. Common lignocellulose pretreatments with ILs are carried out at temperatures ranging from 80 °C to 160 °C and only a few studies have reported the use of ILs at lower temperature (below 80 °C) [10,13,62]. It is worth mentioning that there is a lack of information in the literature for pretreatment of biomass using ionic liquid prior to pyrolysis.
5. Pyrolysis Mechanism
Understanding the reaction mechanisms of the biomass pyrolysis process would enable the process development and reactor design to move from initial research towards the commercial stage. Biomass has a complicated compositional structure, which makes the mechanistic study of the pyrolysis process very challenging. Hence the pyrolysis behaviour is mostly studied based on three main components of biomass, i.e., cellulose, hemicellulose, and lignin [66]. Recently, developed analytical technologies, such as Py-GC–MS [67,68] have been employed for pyrolysis research. However, this method was not capable of providing detailed information on pyrolysis mechanisms. During the pyrolysis process, numerous reactions take place, i.e., dehydration, depolymerization, decarboxylation, and isomerization. The primary reactions include char formation, depolymerization, and fragmentation [69]. Char formation occurs by condensation of the benzene ring during the pyrolysis process, whereas the depolymerization reaction occurs by cracking bonds between the monomers [70]. Figure 6 presents the overall pathways in the mechanism of pyrolysis.
Figure 6.
The overall pathways involved in the mechanism of pyrolysis (adapted from [20]).
5.1. Composition of Lignocellulosic Biomass
The woody biomass is classified into two groups including hardwood and softwood. Softwood generally contains higher lignin content (26–34%) than hardwood (23–30%). Thus, the chemical structures are different, i.e., softwood lignin consists of guaiacyl unit, whereas the hardwood lignin is composed of guaiacyl and syringyl units. Typical lignocellulosic biomass contains around 40–50 wt.% cellulose, 20–40 wt.% hemicellulose, and 10–40 wt.% lignin and the content of each component varies with the type of biomass [71]. Figure 7 presents the percentage contents of main components of lignocellulosic biomass in softwood and hardwood. Table 2 demonstrates the main components of lignocellulosic biomass contents in different species.
Figure 7.
Percentage contents of main constitute of woody biomass in a wood cell. (a) Softwood; (b) Hardwood (adapted from [72]).
Table 2.
Typical component analysis of some plant biomass samples (adapted from [73,74]).
5.2. Cellulose Pyrolysis
Cellulose is the most abundant biopolymer, a linear macromolecular polysaccharide that is composed of a long chain of glucose units linked by β−1,4-glycosidic bonds (Figure 8), and contains several inter-molecular hydrogens. The glycosidic bonds linking the glucose units in cellulose are not strong and cleave under high temperature such as the pyrolysis process [4]. The main products of pyrolysis of cellulose are acids, alcohols, anhydrosugars, char, and gases. However, the cleavage of β−1, 4-glycosidic bonds contributes largely to the formation of furans and laevoglucose [75].
Figure 8.
Chemical structure of cellulose.
The pyrolytic decomposition of cellulose can be described in two routes, as presented in Figure 9. The first route, kA, is performed at a low temperature and heating rate, and involves dehydration of cellulose to yield an “anhydrocellulose” or (“active cellulose”); the second route, kB, is performed at a higher temperature and heating rate, and results in the depolymerization of cellulose to yield primarily laevoglucose, with minor amounts of other anhydromonosaccacharides [76]. It has been established that low temperature affects the initial process of decomposition and results in a reduction in the degree of polymerization and the formation of “anhydrocellulose” or “active cellulose” However, at a high temperature and high heating rates, decomposition of cellulose is expressed by two competitive degradation reactions, the first essentially to char and gas, and the second essentially to tars [77]. Thus, decomposition of cellulose at a high temperature and high heating rates has become the major decomposition route of cellulose [76].
Figure 9.
Schematic of cellulose pyrolysis (adapted from [76]).
5.3. Hemicellulose Pyrolysis
Hemicellulose is a random, amorphous structure rich with branches, which surround the cellulose fibers and link them together [78]. Hemicellulose is composed of various saccharides (glucose xylose, mannose, arabinose, and galactose). The contribution of hemicellulose to thermal pyrolysis is different from cellulose because the crystalline structure of cellulose has to be disrupted thermally to free the carboxyl groups at a certain temperature, whereas the hemicellulose chains are amorphous and disrupted at a lower temperature [16,79]. The degradation of hemicellulose mainly happens at a low temperature and the major weight loss occurs at 220–315 °C with higher CO2 and char yields [80,81,82]. However, the maximum weight loss has been observed at 310 °C [23]. A study on the mechanism of hemicellulose reported that the formation of main products occurs via decomposition of three types of structural units in hemicellulose [83]. Huang et al. [84] studied the monosaccharide xylan. They reported that a major weight loss of xylan occurred at 220–315 °C with a wide variety of products. The decomposition of hemicellulose during pyrolysis is presented in Figure 10.
Figure 10.
Reaction mechanism scheme of pyrolytic conversion of hemicellulose model compounds (adapted from [85]).
5.4. Lignin Pyrolysis
Lignin is a natural polymer that is composed of phenyl propane units connected through (C-C) bonds and it represents about 20–30 wt.% of wood content. It is considered to be a major by-product of the pulp and paper industry and the bioethanol production process, hence, it represents a potential aromatic hydrocarbon feedstock for biofuels production. As a result of the complexity of lignin polymer, several studies have been reported for pyrolysis of lignin model compounds as an initial step prior to lignin pyrolysis. The studies have reported string intermolecular bonds between lignin compounds that require harsh conditions to break [86]. A schematic of the predicted repeating unit of lignin is presented in Figure 11.
Figure 11.
Lignin proposed by Adler (1977) (adapted from [87]).
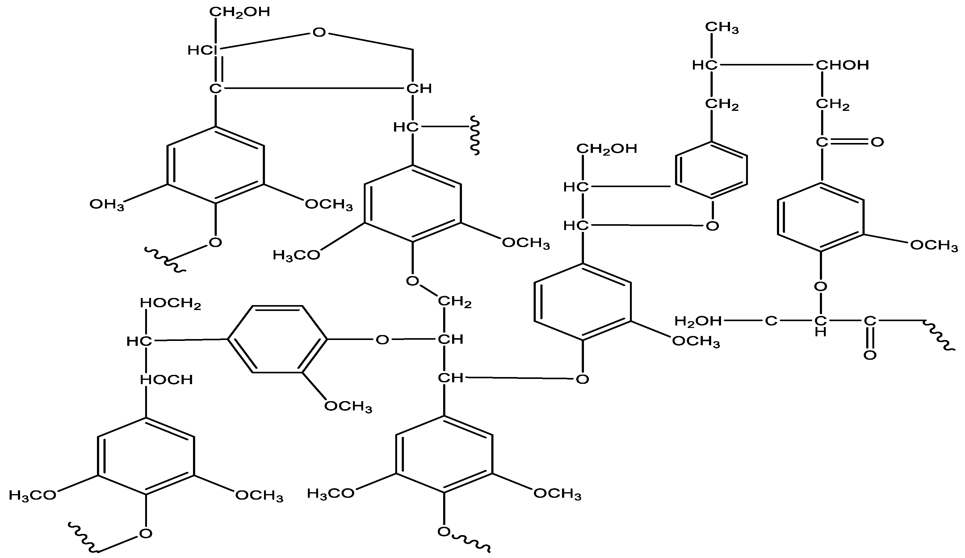
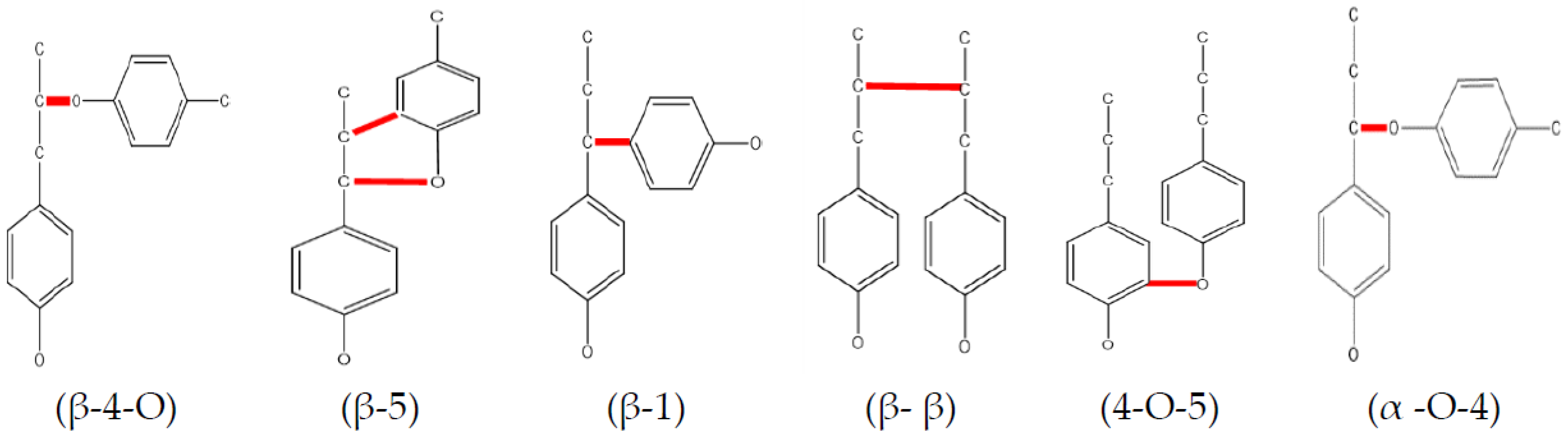
Various methods of lignin separation have been established and each method modified, to some degree, the chemical structure of naturally occurring lignin. According to the first complete lignin structure presented in Figure 11, lignin is known as a highly branched natural polymer, where its physical and chemical properties are affected by its structure and functional groups [88]. Thus, depending on the method of extraction and biomass species, the amount and the position of functional groups can vary on the aromatic rings in different lignin. Studies have indicate that almost all kinds of obtained structural units in lignin degradation are formed by oxidation of coniferyl alcohol, synapyl alcohol, and p-coumaryl alcohol. The bonds and links between phenyl propene units are presented in Figure 12. The structures of hardwood and softwood lignins are presented in Figure 13 and Figure 14, respectively.
Figure 12.
The most important intra-binding across the phenyl propane units (adapted from [89]).
Figure 13.
Hardwood lignin (adapted from [90]).
Figure 14.
Softwood lignin (adapted from [90]).
Lignin is conventionally named based on the method of its separation from lignocellulosic biomass. Due to strong chemical and physical bonds between lignin and other polysaccharides of the cell wall, separation of lignin without any damage to its structure is almost impossible [91]. Both kraft and organosolv lignin are produced via the pulping process [92]. Organosolv lignin is produced from the treatment of woody materials in organic solvents [93]. Some organosolv processes are commercially established, i.e., in the Alcell process, a mixture of ethanol and water is used as an organic solvent and must be able to dissolve the lignin completely. Organosolv lignin is produced when extracted wood is suspended in 60 vol.% ethanol with 5 wt.% sulphuric acid, and then reacted at 200 °C in a microwave reactor for 55 min [94]. Commercial lignin (TCI Europe) is produced by soda delignification followed by acidification with sulphuric acid using large amounts of sodium hydroxide and sodium sulphide [95]. Klason lignin is obtained by a two-step hydrolysis treatment of the extracted wood with concentrated (72%) and diluted (3%) sulphuric acid [96].
Unlike the commercial lignins, the laboratory lignins are those that have been produced in the laboratory for the purpose of lignin research studies. Milled wood lignin (MWL) is finely milled wood, which is isolated with dioxane from ball-milled wood after extensive extraction of extractive components. In this method of separation, only minor changes occur in the structure of lignin [97]. Acidolysis lignin is extracted from plant tissues by a mild acid hydrolysis. Cellulolytic enzyme lignin (CEL) is obtained from MWL after treatment with a commercially available cellulose-hemicellulose mixture to remove carbohydrate impurities. Enzymatic mild acidolysis lignin (EMAL) is obtained from refined CEL processes, cleaving lignin carbohydrate linkages using a mild acidolysis, while leaving ether bonds within the lignin structure intact [98]. Recent developments in modification of lignin use green solvents as activators for the fabrication of advanced materials such as active platforms for biosensors, biocomposite, and pro-ecological abrasive materials [99]. The use of lignin for the synthesis of new polymeric materials is the most promising alternative to the monomers derived from crude oil for synthesis of polymers. In Figure 15, the overall process diagram of lignin valorization on biopolymer production is presented.
Figure 15.
Schematic of overall lignin valorization process for biopolymer production (adapted from [100]).
6. Pyrolysis Products
The most valuable product of pyrolysis is the volatile product, which after the condensation process, is converted to a liquid fraction of the pyrolysis process, known as bio-oil. This bio-oil is a complex mix of hundreds of organic compounds, containing alcohols, ketones, aldehydes, phenols, and oligomers [101]. In addition, the pyrolysis process produces a solid by-product, which is called ash. Heavy metals can be present in the solid product of the pyrolysis process that was added to the biomass during collecting and processing of the raw materials. The characterization of bio-oil is essential for defining reactor design parameters, defining kinetic models, upgrading, and commercialization [101]. The distribution of the product of pyrolysis depends on the design of the pyrolysis reactor, as well as the physical and chemical characterization of the raw materials and operating parameters. In Figure 16, the reaction pathway of the pyrolysis process is presented.
Figure 16.
Reaction pathway of pyrolysis process.
6.1. Bio-Oil
The produced bio-oil from the pyrolysis process is yellowish to brownish liquid accompanied with a pungent odor. Bio-oil is considered to be a complex mixture of compounds with very limited application as crude bio-oil because of its poor properties. Crude bio-oil could only be used as a fuel for boilers, but not for engines due to its low heating value, water content, and acidity. The physicochemical properties of the crude bio-oil produced from woody biomass is summarized in Table 3.
Table 3.
Physicochemical properties of bio-oil produced from woody bio-mass [102].
The biomass type and the operating conditions of pyrolysis significantly affect the chemical composition of the produced bio-oil. Generally, water content represents 15–35% of the bio-oil weight. The existence of water is inevitable as per the moisture in the feedstock and specific reactions, i.e., dehydration, that occurs during the thermal decomposition of biomass [103]. Water content in bio-oil is considered to be a disadvantage as it lowers the heating value and enhances phase separation. It also contributes by lowering the pH of the bio-oil. Both water content and oxygen are the main reasons for the low heating value (LHV) of bio-oil [104,105].
Bio-oil characterization could not be applied for the crude product as it combines hundreds of different species and compounds. Hence, several downstream processes for crude bio-oil have been reported including distillation, emulsification, adsorption, and solvent extraction. From the separation processes, solvent extraction has been proven to be an efficient method for separation of chemical organic families from crude bio-oil [106]. Different types of solvents have been reported including methanol, butanone, dichloromethane, hexane, diethyl-ether, acetone, ethyl acetate, etc. Furthermore, a mixture of solvents has been reported as an efficient method for fractionation of various compounds from bio-oil which have been characterized using gas chromatography mass spectrometry (GC-MS) [107]. The basic principle applied in solvent extraction is the polarity of the solvents and the extracted compounds. The main advantage of solvent extraction is the separation of similar chemical compounds under the same chemical family together using a specific solvent [9]. The composition of bio-oil has been identified based on the grouping method of certain extracted chemical families. More than 10 chemical families have been fractionated from bio-oil including aromatics, ketones, phenolics, sugars, ethers, alcohols, esters, furans, etc. [9]. It has also been reported that most of the bio-oil extracted compounds are oxygenated with high polarity and high solubility in water [108]. Bio-oil composition depends on numerous variables including biomass type, heating rate, particle size of feedstock, and residence time. Particle size is a noteworthy parameter that affects the composition where small particle size enhances the uniform heat transfer within the particles, and hence results in high bio-oil yield [38].
Bio-oil yield increases as the pyrolysis temperature is increased up to a certain maximum temperature, after which the yield drops as the temperature is further increased [109]. However, it has been reported that higher cellulose content in the feedstock enhances the yields of bio-oil [110]. Thus, the bio-oil yield can be influenced by parameters such as type of biomass and operating conditions. The most common feedstock that have been found to produce bio-oil from pyrolysis and hydrothermal processes were rice husk [111], cotton stalk [112], oil palm, and palm kernel shell [77]. In Table 4, various types of biomass with their respective produced bio-oil yield are compared. As stated, the type of biomass has a significant effect in the pyrolysis process and bio-oil production. Different types of feedstocks have different moisture contents, ash contents, higher heating values (HHV), and elemental compositions (N, O, S, H, C). In Table 5, elemental compositions of different types of biomass are compared.
Table 4.
Various types of biomass with their respective produced bio-oil yield.
Table 5.
Elemental compositions (N, O, S, H, C) different types of biomass.
6.2. Biochar
The solid product of the pyrolysis process is biochar, which is the highly carbonaceous material and the carbon content is between 65–90% [127]. The characterization of biochar is defined by the type of biomass and the operating conditions of the pyrolysis process, which affect the carbon content of biochar. In recent years, there has been a great attraction to biochar in a number of environmental applications. One of the potential applications of biochar is its use as a C and N source in soil amendment [128,129] to improve the fertility of the soil and enhance the agricultural production. However, biochar has unique properties to remove pollutants from soil, water, and gas [130]. These unique properties include, for example, high adsorption capacity, high specific surface area, microporosity, and ion exchange capacity [130]. Biochar can be used as a contaminant remover (adsorbent) to remove the toxic pollutants from affected waters or soils. These abilities are based on a porous structure, oxygen functional groups, and a large surface area of biochar [131]. The presence of oxygen containing functional groups on the surface of the biochar helps in the reduction of heavy metal such as lead, nickel, cadmium, and copper in contaminated soils [132]. It has been reported that higher biochar yield was formed by pyrolysis of biomass with higher lignin content [133]. Furthermore, slow pyrolysis is more favored for biochar production. Biochar has high resistance to microbial decomposition. Hence it has high stability for long periods of time (1000 to 10,000 years), which helps in carbon sequestration [134,135]. Furthermore, a novel advanced application of biochar, attracting considerable interest in recent years, is the novel materials for supercapacitor electrodes [136]. Batteries and capacitors are known as energy storage systems. The unique features of supercapacitors which include high power, environment-friendly (organic electrodes), and long cycle life have attracted significant attention from researchers for improving the performance of supercapacitors over the last few years [137].
6.3. Pyrolytic Gas
The main gases produced in the pyrolysis of biomass are a mixture of H2, hydrocarbon gases (C1–C4), CO2, CO, and H2S [138]. The pyrolytic gases can be classified into three categories including incombustible gases (H2O and CO2), combustible gasses (CO and CH4), and N-containing gases (NH3 and HCN). A lower pyrolysis temperature results in lower yield of gases, whereas with an increase in temperature, the biomass undergoes further secondary reactions to form pyrolytic gases [66]. In addition, the use of zeolite catalyst for pyrolysis at 500 °C, increases the pyrolysis gas yield [139]. As revealed from the literature, the formation of CO2 mainly originates from decomposition reactions of carbonyl and carboxyl groups in biomass pyrolysis reaction, whereas the formation of CO mainly results from breaking of C-O-C and C=O bonds [140]. However, H2 mainly results from breaking of C-H groups and aromatics. However, CO and CO2 are dominant gaseous products at low temperatures and CH4 is a dominant product at high temperatures due to lignin depolarization reactions [141,142].
7. Upgrading
Water, acids, and aldehydes that exist in bio-oil are the main reasons for the poor quality of bio-oil resulting in low heating value, instability, and high corrosiveness of bio-oil [143]. The quality of the bio-oil can be improved by the elimination of water, acid, and unstable components [143]. Accordingly, several physical and chemical technologies have been developed for bio-oil upgrading. In general, the upgrading of the pyrolysis bio-oil can be achieved in three different methods including physical, chemical, and catalytic methods. Supercritical fluids (hot vapour filtration), solvent extraction, and emulsification are three forms of physical upgrading methods. Catalytic upgrading pathways include zeolite cracking, hydrodeoxygenation (HDO), and steam reforming, whereas the chemical upgrading mainly involves the esterification method. Figure 17 illustrates techniques for bio-oil upgradation [144].
Figure 17.
Different techniques for bio-oil upgradation.
Hot vapour filtration is one of the most common methods for bio-oil upgradation, where the vapour is treated with steam before condensation. As stated in the literature, a considerable amount of char can be removed by hot vapour filtration as compared with conventional cyclone separators [144]. Furthermore, solvent extraction is another method of physical upgradation, whereby bio-oil is treated with polar solvents such as methanol to alter the viscosity and improve the storage stability. Valuable chemicals can be extracted by this method and one of the advantages of this method is cost-effective separation [9].
One of the recent techniques to upgrade the bio-oil is to produce an emulsion with other fuel sources such as diesel or biodiesel with the aid of surfactants as emulsifying agents. As stated in the literature, the fuel properties of the emulsified fuels were improved and more stable emulsion was obtained [102,145]. Various properties such as viscosity, corrosively, and water content were improved as compared with original bio-oil [146]. Different studies have also found that the emulsification of bio-oil with diesel improved fuel properties such as reduced viscosity and increased heating value [147]. One of the disadvantages of this method was the cost of surfactants and the high energy consumption for this process [148].
The hydrodeoxygenation (HDO) technique removes oxygen to produce deoxygenated products under high pressure (35–170 bar) of hydrogen stream with a catalyst. It reduces the oxygen content of many kinds of oxygenated groups, such as acids, aldehydes, esters, ketones, and phenols. Many studies have conducted the HDO technique using different catalysts such as cobalt molybdate, Pt/SiO2/Al2O3, vanadium nitride, and Ru [149], and have investigated the mechanism and kinetics of HDO reactions based on model compounds that are found in bio-oil such as aromatics. Since the bio-oil contains about 30 wt.% aromatic compounds, the vast majority of the researches have focused on HDO of these compounds. Nevertheless, due to the complex composition of bio-oil, it was difficult to define the reaction pathway for this method. However, reactions such as dehydration, decarboxylation, hydrogenation, hydrogenolysis, and hydrocracking are considered to be possible reactions that occur during the HDO method. The high cost of operation including high pressure and hydrogen efficiency remain as the drawback of the HDO method [150,151].
Steam reforming is the process where the hydrocarbons of the bio-oil are converted into syngas in the presence of steam at high temperature. This method is considered to be a source of clean and renewable hydrogen production along with bio-oil upgrading [152]. The carbon and oxygen of the bio-oil are removed in the form of CO2 or CO [153]. Production of hydrogen is a significant advantage for steam reforming among various upgrading methods.
Organic acids of unprocessed bio-oil can be converted into their corresponding esters by catalytic esterification to improve the quality of the bio-oil. The conducted studies on bio-oil esterification reported char removal by this method of upgrading. In recent years, the use of solid acid catalysts to convert organic acids such as formic acid, propionic acid, and acetic acid into esters has increased dramatically. The resulted bio-oil after esterification leads to improved fuel properties of bio-oil [151]. However, separation of the alcohols used in the esterification is one of the problems associated with this method of upgrading.
Catalytic Upgrading
In recent years, catalytic pyrolysis has received significant interest for the advantages of operating at atmospheric pressure and without any hydrogen feed. In the catalytic pyrolysis, a catalyst can be used directly in the pyrolysis process to remove oxygen in forms of oxygenates compounds [154]. Figure 18 illustrates the general catalytic pyrolysis pathway.
Figure 18.
General catalytic pyrolysis pathway (adapted from [155]).
The use of a catalyst can be achieved by two different routes. The catalyst for pyrolysis process can be co-fed with feedstock in the rector and added to the pyrolysis system (in situ configuration). The other route is that the catalyst can be loaded in the outlet of the reactor before the condenser to upgrade the pyrolysis volatile gas (ex situ configuration), as presented in Figure 19. The aim of both methods is to convert the oxygenated compounds to stable products [156]. The resulted vapour of the pyrolysis process undergoes further cracking inside the available pores of the catalyst. A comparison between in situ and ex situ catalytic fast pyrolysis (CFP) indicates that the ex situ configuration is an effective way to avoid catalyst poisoning and the catalyst is located at the outlet of the reactor which can be easily separated [70]. On the one hand, in the ex situ configuration, the produced vapour, first, leaves the reactor, and then the catalytic reactions take place [157]. On the other hand, in the in situ configuration, the catalyst is mixed directly with feedstock and functions as a catalyst and heat transfer object. However, the in situ configuration is more flexible as compared with the ex situ configuration, which is more complex, and a higher operational cost such as the addition of reactor which is associated with this design. In general, the single reactor design of in situ pyrolysis results in lower operating and capital costs [158].
Figure 19.
Configuration of ex situ and in situ catalytic fast pyrolysis.
The residence time for the in situ configuration is about 1–2 s, whereas it is longer for the ex situ configuration which can lead to secondary cracking reactions and loss of condensable products [70]. However, the residence time defines the main difference between the two configurations. In the in situ configuration, the catalyst is in direct contact with the vapour, whereas in the ex situ configuration, the vapour thermally cracked before contacting the catalyst [159]. In addition, the direct contact of the catalyst with the vapour in the in situ configuration minimizes the re-polymerization of the primary products. One of the problems associated with the in situ design is the separation of the catalyst from biochar after completion of the pyrolysis process. Nevertheless, in both of the in situ and ex situ catalytic fast pyrolysis, the aim is to achieve a high-quality liquid with low oxygen content and both methods have presented promising results in terms of product quality, i.e., lower acidity, higher energy content, and product stability [160]. A comparative study for the effect of the in situ and ex situ processes on the amount of reduced oxygen in the bio-oil has resulted in the removal of more oxygen by the ex situ configuration [161].
To study the effect of the catalyst on product distribution, the reaction pathway of catalytic pyrolysis of woody biomass has been investigated. The mechanistic pathway for catalytic pyrolysis of cellulose has been studied in the literature and the results have shown that cellulose was mainly converted to anhydrosugars and other light compounds such as acetal, gas, char, and coke [162,163]. The CFP of lignin has shown low liquid and gas yields and a high char product. As stated, initially, lignin decomposed to oxygenate compounds such as phenol via the cleavage of β–O–4, α–O–4 linkage, and other C-C and C-O bonds, and then the re-polymerization of lignin occurred to form char. The production of aromatics occurred via a series of reactions which included dehydration, decarboxylation, decarbonylation, and oligomerization [164]. Many researchers have studied the hemicellulose catalytic pyrolysis pathway according to xylan decomposition because this compound is the most abundant compound in cellulose. The main compounds of catalytic pyrolysis of hemicellulose are furan compounds [165]. Figure 20 illustrates the generic reaction pathway of catalytic pyrolysis of three main components of woody biomass [165].
Figure 20.
Generic reaction mechanism of catalytic pyrolysis of biomass (adapted from [165).
The type of catalyst and its structure influence the product yield and composition. Product selectivity is another important feature of catalytic pyrolysis, which can be achieved by selection of an appropriate catalyst, pore size, and active sites [166]. Several catalysts have been researched and studied in the literature. Solid acid catalysts such as zeolites, silica-alumina, and silicalite have been studied in the literature extensively because of their ability to perform a wide variety of different reactions such as dehydration, decarboxylation, decarbonylation, isomerization, cracking, and aromatization reactions in the conversion of biomass to fuel and chemicals [167]. Zeolite solid acid catalysts have received considerable interest due to their acidity and ability to produce aromatic compounds [163,168,169]. Many researchers used zeolite, especially ZSM-5, to produce aromatics and, as stated in the literature, numerous studies modified the zeolite to improve the catalyst performance, and therefore increased the aromatic yield and reduced coke formation [165]. Some studies observed that the existence of a high number of acid active sites enhanced the secondary reactions which lead to the production of more coke and a lower yield of aromatics. In other words, the yield of aromatics increased at a lower ratio of Si/Al. Zeolite catalysts include ZSM-5, beta zeolite, Y zeolite, MCM-41, CM-22, SAPO-34, and mordenite [170]. Zeolite catalysts have a wide range of pore size, shape, and acidity. The effect of pore size of the zeolite catalyst has been studied and the results showed that larger pore sizes enhanced the coke formation. The highest aromatic yields were obtained from medium pore sizes, in the range of 0.52–0.59 nm [171]. Several studies investigated the modification of zeolite catalyst with metals such as Ga, Mo, Co, Ni, Fe, Zn, Pd, and Pt [28] to enhance the production of aromatics. A summary of the catalysts reported in the literature for catalytic pyrolysis are as follows: HZSM-5, Mo/HZSM-5 364, Mo-Cu/HZSM-5, Cu/HZSM-5 [172]; Ru/Al2O3 [173]; Co/HZSM-5, Ni-HZSM-5, Mo/HZSM-5, Pd/HZSM-5, Ga/HZSM-5, Fe/HZSM-5, Zn,Al/HZSM-5, Zn,La/HZSM-5, La/HZSM-5, CuO/HZSM-5, ZnO/HZSM-5, CuO/ZnO/ZSM-5, Ag/HZSM-5, Na/HZSM-5, Ce/HZSM-5 [174]; CuZ:NiZ-1 [175]; 0.5%Fe/ZSM-5, 1%Fe/ZSM-5, 2%Fe/ZSM-5, 4%Fe/ZSM-5, 8%Fe/ZSM-5 [176]; and Co–MoS2/Al2O3, Ni–MoS2/Al2O3, Pd/C, Ru/TiO2, GaHZSM-5, H–Y, MgAPO-36, SAPO-11, SAPO-5 [167].
8. Conclusions and Perspective
The valorization of lignocellulosic biomass via pyrolysis has been proven to be an efficient solution for the production of biofuels and value-added chemicals. Numerous studies have reported on experimental pyrolysis, kinetic studies, process simulation, and bio-oil characterization to realize the precise mechanism of pyrolysis. However, many challenges still need to be addressed including the difficulties in providing a systematic approach for biomass pretreatment. In spite of the achievements in studying the mechanisms for pyrolysis, defining an accurate mechanism for the pyrolysis process is still a challenge.
The physical pretreatment of lignocellulosic biomass has been comprehensively reviewed including particle size reduction, densification, and torrefaction. In addition, chemical pretreatment processes including acidic, alkaline, hydrothermal, steam explosion, and wet torrefaction have been highlighted. However, it should be noted that the literature lacks any application of ionic liquids pretreatment for biomass prior to pyrolysis, which might have favoured the impact of the efficiency of the process.
One of the main challenges of the pyrolysis process is the quality of the produced bio-oil, which generally has high oxygen and water content and could make crude bio-oil unsuitable for direct fueling in the existing engines. The development of a suitable upgrading method for oxygen and water removal would lead production of high-quality bio-oil to compete with the petroleum fuels. This article has reviewed several upgrading technologies for bio-oil including supercritical fluids, solvent extraction, emulsification, hydrodeoxygenation, steam reforming, and catalytic approaches. The main challenge in most of the upgrading technologies is the inconsistency of the bio-oil yield. Thus, the key is to economically optimize the process to produce high-quality bio-oil with an acceptable yield. The removal process of oxygen using the in situ catalytic approach has been considered to be an efficient technology for bio-oil upgradation via dehydration with zeolite catalyst, i.e., ZSM-5. In fact, dehydration enhances the coke formation and produces a lower yield of high-quality bio-oil. However, decarboxylation would be a promising upgradation approach that keeps the high yield of good quality bio-oil. The key for successful decarboxylation is the pre-upgrading of volatiles to inhibit the coke formation, and hence increase the bio-oil yield.
Research on upgrading the bio-oil product while maintaining high yield should be considered for future work. Alternative catalysts for zeolites including basic metal oxides, i.e., MgO and CaO should be extensively studied for deoxygenation of bio-oil. More efforts should address inorganic salt additives in the feedstock and carbon-based catalysts that could enhance the selectivity of the process and produce phenolic rich bio-oil. Catalytic co-pyrolysis could be considered to be an ideal solution that would enhance the deoxygenation reaction with a simultaneous high yield of bio-oil.
Finally, it is worth mentioning that the integration of pretreatment techniques with the catalytic pyrolysis would enhance the conversion of low-density oxygenated biomass into high-quality aliphatic and aromatic hydrocarbons. The process optimization techniques should be extensively applied in the pyrolysis process to minimize the process variables energy consumptions, i.e., temperature, pressure, catalyst loading, reactor configuration, particle size of biomass, while maintaining high-quality bio-oil and high yield of bio-oil.
Author Contributions
Writing—original draft preparation, Z.E.Z., A.A. and B.S.; writing—review and editing, A.A., B.S. and O.A.; supervision, A.A. and B.S.; project administration, B.S.; All authors have read and agreed to the final version of the manuscript.
Funding
This research received no external funding.
Acknowledgments
The authors are thankful to London South Bank University and the University of Tehran for funding and supporting this research. Some figures included in the article have been adapted from the given references.
Conflicts of Interest
The authors declare no conflict of interest.
References
- Chen, X.; Che, Q.; Li, S.; Liu, Z.; Yang, H.; Chen, Y.; Wang, X.; Shao, J.; Chen, H. Recent developments in lignocellulosic biomass catalytic fast pyrolysis: Strategies for the optimization of bio-oil quality and yield. Fuel Process. Technol. 2019, 196, 106180. [Google Scholar] [CrossRef]
- Aboelazayem, O.; Gadalla, M.; Saha, B. Design and simulation of an integrated process for biodiesel production from waste cooking oil using supercritical methanolysis. Energy 2018, 161, 299–307. [Google Scholar] [CrossRef]
- Aboelazayem, O.; Gadalla, M.; Saha, B. Valorisation of high acid value waste cooking oil into biodiesel using supercritical methanolysis: Experimental assessment and statistical optimisation on typical Egyptian feedstock. Energy 2018, 162, 408–420. [Google Scholar] [CrossRef]
- Dai, L.; Wang, Y.; Liu, Y.; Ruan, R.; He, C.; Yu, Z.; Jiang, L.; Zeng, Z.; Tian, X. Integrated process of lignocellulosic biomass torrefaction and pyrolysis for upgrading bio-oil production: A state-of-the-art review. Renew. Sustain. Energy Rev. 2019, 107, 20–36. [Google Scholar] [CrossRef]
- Fakayode, O.A.; Aboagarib, E.A.A.; Zhou, C.; Ma, H. Co-pyrolysis of lignocellulosic and macroalgae biomasses for the production of biochar—A review. Bioresour. Technol. 2020, 297, 122–408. [Google Scholar] [CrossRef]
- Aboelazayem, O.; Gadalla, M.; Saha, B. An experimental-based energy integrated process for Biodiesel production from waste cooking oil using supercritical methanol. Chem. Eng. Trans. 2017, 61, 1645–1650. [Google Scholar]
- Aboelazayem, O.; Gadalla, M.; Saha, B. Derivatisation-free characterisation and supercritical conversion of free fatty acids into biodiesel from high acid value waste cooking oil. Renew. Energy 2019, 143, 77–90. [Google Scholar] [CrossRef]
- Umar, Y.; Aboelazayem, O.; Echresh, Z.; Gadalla, M.; Saha, B. Waste cooking oil valorisation into biodiesel using supercritical methanolysis: Critical assessment on the effect of water content. In Proceedings of the EUBCE 2019—27th European Biomass Conference and Exhibition, Lisbon, Portugal, 26–31 May 2019; pp. 1495–1500. [Google Scholar]
- Ren, S.; Ye, X.P.; Borole, A.P. Separation of chemical groups from bio-oil water-extract via sequential organic solvent extraction. J. Anal. Appl. Pyrolysis 2017, 123, 30–39. [Google Scholar] [CrossRef]
- Mehmood, N.; Alayoubi, R.; Husson, E.; Jacquard, C.; Buchs, J.; Sarazin, C.; Gosselin, I. Kluyveromyces marxianus, an attractive yeast for ethanolic fermentation in presence of ionic liquids. Int. J. Mol. Sci. 2018, 19, 887. [Google Scholar] [CrossRef]
- Rodriguez Correa, C.; Kruse, A. Supercritical water gasification of biomass for hydrogen production—Review. J. Supercrit. Fluids 2018, 133, 573–590. [Google Scholar] [CrossRef]
- Lee, K.T.; Lim, S.; Pang, Y.L.; Ong, H.C.; Chong, W.T. Integration of reactive extraction with supercritical fluids for process intensification of biodiesel production: Prospects and recent advances. Prog. Energy Combust. Sci. 2014, 45, 54–78. [Google Scholar] [CrossRef]
- Alayoubi, R.; Mehmood, N.; Husson, E.; Kouzayha, A.; Tabcheh, M.; Chaveriat, L.; Sarazin, C.; Gosselin, I. Low temperature ionic liquid pretreatment of lignocellulosic biomass to enhance bioethanol yield. Renew. Energy 2020, 145, 1808–1816. [Google Scholar] [CrossRef]
- Alaswad, A.; Dassisti, M.; Prescott, T.; Olabi, A.G. Technologies and developments of third generation biofuel production. Renew. Sustain. Energy Rev. 2015, 51, 1446–1460. [Google Scholar] [CrossRef]
- Damartzis, T.; Zabaniotou, A. Thermochemical conversion of biomass to second generation biofuels through integrated process design-A review. Renew. Sustain. Energy Rev. 2011, 15, 366–378. [Google Scholar] [CrossRef]
- Wang, S.; Dai, G.; Yang, H.; Luo, Z. Lignocellulosic biomass pyrolysis mechanism: A state-of-the-art review. Prog. Energy Combust. Sci. 2017, 62, 33–86. [Google Scholar] [CrossRef]
- Yang, X.; Xie, H.; Du, H.; Zhang, X.; Zou, Z.; Zou, Y.; Liu, W.; Lan, H.; Zhang, X.; Si, C. Facile Extraction of Thermally Stable and Dispersible Cellulose Nanocrystals with High Yield via a Green and Recyclable FeCl3-Catalyzed Deep Eutectic Solvent System. ACS Sustain. Chem. Eng. 2019, 7, 7200–7208. [Google Scholar] [CrossRef]
- Zhou, X.; Li, W.; Mabon, R.; Broadbelt, L.J. A critical review on hemicellulose pyrolysis. Energy Technol. 2017, 5, 52–79. [Google Scholar] [CrossRef]
- Cahyanti, M.N.; Doddapaneni, T.R.K.C.; Kikas, T. Biomass torrefaction: An overview on process parameters, economic and environmental aspects and recent advancements. Bioresour. Technol. 2020, 301, 122737. [Google Scholar] [CrossRef]
- Yang, J.; He, Q.; Yang, L. A review on hydrothermal co-liquefaction of biomass. Appl. Energy 2019, 250, 926–945. [Google Scholar] [CrossRef]
- Mallick, D.; Mahanta, P.; Moholkar, V.S. Co-gasification of coal and biomass blends: Chemistry and engineering. Fuel 2017, 204, 106–128. [Google Scholar] [CrossRef]
- Meyer, P.A.; Snowden-Swan, L.J.; Jones, S.B.; Rappé, K.G.; Hartley, D.S. The effect of feedstock composition on fast pyrolysis and upgrading to transportation fuels: Techno-economic analysis and greenhouse gas life cycle analysis. Fuel 2020, 259, 116218. [Google Scholar] [CrossRef]
- Arni, S. Al Extraction and isolation methods for lignin separation from sugarcane bagasse: A review. Ind. Crops Prod. 2018, 115, 330–339. [Google Scholar] [CrossRef]
- Collard, F.X.; Blin, J. A review on pyrolysis of biomass constituents: Mechanisms and composition of the products obtained from the conversion of cellulose, hemicelluloses and lignin. Renew. Sustain. Energy Rev. 2014, 38, 594–608. [Google Scholar] [CrossRef]
- Yaman, S. Pyrolysis of biomass to produce fuels and chemical feedstocks. Energy Convers. Manag. 2004, 45, 651–671. [Google Scholar] [CrossRef]
- Khan, T.A.; Saud, A.S.; Jamari, S.S.; Rahim, M.H.A.; Park, J.W.; Kim, H.J. Hydrothermal carbonization of lignocellulosic biomass for carbon rich material preparation: A review. Biomass Bioenergy 2019, 130, 105384. [Google Scholar] [CrossRef]
- Undri, A.; Abou-Zaid, M.; Briens, C.; Berruti, F.; Rosi, L.; Bartoli, M.; Frediani, M.; Frediani, P. Bio-oil from pyrolysis of wood pellets using a microwave multimode oven and different microwave absorbers. Fuel 2015, 153, 464–482. [Google Scholar] [CrossRef]
- Geun Yoo, C.; Meng, X.; Pu, Y.; Ragauskas, A.J. The critical role of lignin in lignocellulosic biomass conversion and recent pretreatment strategies: A comprehensive review. Bioresour. Technol. 2020, 301, 122784. [Google Scholar]
- Jiang, G.; Nowakowski, D.J.; Bridgwater, A.V. Effect of the temperature on the composition of lignin pyrolysis products. Energy Fuels 2010, 24, 4470–4475. [Google Scholar] [CrossRef]
- Abdulkhani, A.; Karimi, A.; Mirshokraie, A.; Hamzeh, Y.; Marlin, N.; Mortha, G. Isolation and chemical structure characterization of enzymatic lignin from Populus deltoides wood. J. Appl. Polym. Sci. 2010, 118, 469–479. [Google Scholar] [CrossRef]
- Di Blasi, C. Modeling chemical and physical processes of wood and biomass pyrolysis. Prog. Energy Combust. Sci. 2008, 34, 47–90. [Google Scholar] [CrossRef]
- Lu, Q.; Li, W.Z.; Zhu, X.F. Overview of fuel properties of biomass fast pyrolysis oils. Energy Convers. Manag. 2009, 50, 1376–1383. [Google Scholar] [CrossRef]
- Doumer, M.E.; Arízaga, G.G.C.; Da Silva, D.A.; Yamamoto, C.I.; Novotny, E.H.; Santos, J.M.; Dos Santos, L.O.; Wisniewski, A.; De Andrade, J.B.; Mangrich, A.S. Slow pyrolysis of different Brazilian waste biomasses as sources of soil conditioners and energy, and for environmental protection. J. Anal. Appl. Pyrolysis 2015, 113, 434–443. [Google Scholar] [CrossRef]
- Jeong, Y.W.; Choi, S.K.; Choi, Y.S.; Kim, S.J. Production of biocrude-oil from swine manure by fast pyrolysis and analysis of its characteristics. Renew. Energy 2015, 79, 14–19. [Google Scholar] [CrossRef]
- Suttibak, S.; Sriprateep, K.; Pattiya, A. Production of bio-oil via fast pyrolysis of cassava rhizome in a fluidised-bed reactor. Energy Procedia 2012, 14, 668–673. [Google Scholar] [CrossRef]
- Das, O.; Sarmah, A.K. Mechanism of waste biomass pyrolysis: Effect of physical and chemical pre-treatments. Sci. Total Environ. 2015, 537, 323–334. [Google Scholar] [CrossRef]
- Mosier, N.; Wyman, C.; Dale, B.; Elander, R.; Lee, Y.Y.; Holtzapple, M.; Ladisch, M. Features of promising technologies for pretreatment of lignocellulosic biomass. Bioresour. Technol. 2005, 96, 673–686. [Google Scholar] [CrossRef] [PubMed]
- Lu, H.; Ip, E.; Scott, J.; Foster, P.; Vickers, M.; Baxter, L.L. Effects of particle shape and size on devolatilization of biomass particle. Fuel 2010, 89, 1156–1168. [Google Scholar] [CrossRef]
- Akhtar, J.; Saidina Amin, N. A review on operating parameters for optimum liquid oil yield in biomass pyrolysis. Renew. Sustain. Energy Rev. 2012, 16, 5101–5109. [Google Scholar] [CrossRef]
- Mlonka-Mędrala, A.; Magdziarz, A.; Dziok, T.; Sieradzka, M.; Nowak, W. Laboratory studies on the influence of biomass particle size on pyrolysis and combustion using TG GC/MS. Fuel 2019, 252, 635–645. [Google Scholar] [CrossRef]
- Chang, Q.; Gao, R.; Li, H.; Yu, G.; Liu, X.; Wang, F. Understanding of formation mechanisms of fine particles formed during rapid pyrolysis of biomass. Fuel 2018, 216, 538–547. [Google Scholar] [CrossRef]
- Choi, H.S.; Choi, Y.S.; Park, H.C. Fast pyrolysis characteristics of lignocellulosic biomass with varying reaction conditions. Renew. Energy 2012, 42, 131–135. [Google Scholar] [CrossRef]
- Shen, J.; Wang, X.S.; Garcia-Perez, M.; Mourant, D.; Rhodes, M.J.; Li, C.Z. Effects of particle size on the fast pyrolysis of oil mallee woody biomass. Fuel 2009, 88, 1810–1817. [Google Scholar] [CrossRef]
- Muazu, R.I.; Borrion, A.L.; Stegemann, J.A. Life cycle assessment of biomass densification systems. Biomass Bioenergy 2017, 107, 384–397. [Google Scholar] [CrossRef]
- Di Blasi, C.; Branca, C.; Lombardi, V.; Ciappa, P.; Di Giacomo, C. Effects of particle size and density on the packed-bed pyrolysis of wood. Energy Fuels 2013, 11, 6781–6791. [Google Scholar] [CrossRef]
- Gageanu, I.; Voicu, G.; Bunduchi, G.; Bracacescu, C. Experimental research on the process of pelleting Salix viminalis depending on humidity and granulation. In Proceedings of the 15th Internal Scientific Conference “Engineering for Rural Development”, Jelgava, Latvia, 25–27 May 2016; pp. 624–628. [Google Scholar]
- Mamvura, T.A.; Danha, G. Biomass torrefaction as an emerging technology to aid in energy production. Heliyon 2020, 6, e03531. [Google Scholar] [CrossRef] [PubMed]
- Neupane, S.; Adhikari, S.; Wang, Z.; Ragauskas, A.J.; Pu, Y. Effect of torrefaction on biomass structure and hydrocarbon production from fast pyrolysis. Green Chem. 2015, 122, 95–105. [Google Scholar] [CrossRef]
- Jönsson, L.J.; Martín, C. Pretreatment of lignocellulose: Formation of inhibitory by-products and strategies for minimizing their effects. Bioresour. Technol. 2016, 199, 103–112. [Google Scholar] [CrossRef]
- Giudicianni, P.; Gargiulo, V.; Grottola, C.M.; Alfè, M.; Ragucci, R. Effect of alkali metal ions presence on the products of xylan steam assisted slow pyrolysis. Fuel 2018, 216, 36–43. [Google Scholar] [CrossRef]
- Isahak, W.N.R.W.; Hisham, M.W.M.; Yarmo, M.A.; Yun Hin, T.Y. A review on bio-oil production from biomass by using pyrolysis method. Renew. Sustain. Energy Rev. 2012, 16, 5910–5923. [Google Scholar] [CrossRef]
- Cao, B.; Wang, S.; Hu, Y.; Abomohra, A.E.F.; Qian, L.; He, Z.; Wang, Q.; Uzoejinwa, B.B.; Esakkimuthu, S. Effect of washing with diluted acids on Enteromorpha clathrata pyrolysis products: Towards enhanced bio-oil from seaweeds. Renew. Energy 2019, 138, 29–38. [Google Scholar] [CrossRef]
- Kumar, R.; Strezov, V.; Weldekidan, H.; He, J.; Singh, S.; Kan, T.; Dastjerdi, B. Lignocellulose biomass pyrolysis for bio-oil production: A review of biomass pre-treatment methods for production of drop-in fuels. Renew. Sustain. Energy Rev. 2020, 123, 109763. [Google Scholar] [CrossRef]
- Stirling, R.; Snape, C.E.; Meredith, W. The impact of hydrothermal carbonisation on the char reactivity of biomass. Fuel Process. Technol. 2018, 177, 152–158. [Google Scholar] [CrossRef]
- Reza, M.T.; Lynam, J.G.; Uddin, M.H.; Coronella, C.J. Hydrothermal carbonization: Fate of inorganics. Biomass Bioenergy 2013, 49, 86–94. [Google Scholar] [CrossRef]
- Huzzey, J.M.; Duffield, T.F.; LeBlanc, S.J.; Veira, D.M.; Weary, D.M.; Von Keyserlingk, M.A.G. Short communication: Haptoglobin as an early indicator of metritis. J. Dairy Sci. 2009, 92, 621–625. [Google Scholar] [CrossRef]
- Tabil, L.; Adapa, P.; Kashaninej, M. Biomass Feedstock Pre-Processing—Part 1: Pre-Treatment. In Biofuel’s Engineering Process Technology; IntechOpen: London, UK, 2011. [Google Scholar]
- Sundaram, V.; Muthukumarappan, K.; Kamireddy, S.R. Effect of ammonia fiber expansion (AFEXTM) pretreatment on compression behavior of corn stover, prairie cord grass and switchgrass. Ind. Crops Prod. 2015, 74, 45–54. [Google Scholar] [CrossRef]
- Mathew, A.K.; Parameshwaran, B.; Sukumaran, R.K.; Pandey, A. An evaluation of dilute acid and ammonia fiber explosion pretreatment for cellulosic ethanol production. Bioresour. Technol. 2016, 199, 13–20. [Google Scholar] [CrossRef]
- Vasco-Correa, J.; Ge, X.; Li, Y. Biological Pretreatment of Lignocellulosic Biomass. In Biomass Fractionation Technologies for a Lignocellulosic Feedstock Based Biorefinery; Elsevier Science: Amsterdam, The Netherlands, 2016; ISBN 9780128025611. [Google Scholar]
- Yu, Y.; Zeng, Y.; Zuo, J.; Ma, F.; Yang, X.; Zhang, X.; Wang, Y. Improving the conversion of biomass in catalytic fast pyrolysis via white-rot fungal pretreatment. Bioresour. Technol. 2013, 134, 198–203. [Google Scholar] [CrossRef]
- You, T.; Li, X.; Wang, R.; Zhang, X.; Xu, F. Effects of synergistic fungal pretreatment on structure and thermal properties of lignin from corncob. Bioresour. Technol. 2019, 272, 123–129. [Google Scholar] [CrossRef]
- Huet, G.; Hadad, C.; Husson, E.; Laclef, S.; Lambertyn, V.; Araya Farias, M.; Jamali, A.; Courty, M.; Alayoubi, R.; Gosselin, I.; et al. Straightforward extraction and selective bioconversion of high purity chitin from Bombyx eri larva: Toward an integrated insect biorefinery. Carbohydr. Polym. 2020, 228, 115382. [Google Scholar] [CrossRef]
- Brodeur, G.; Yau, E.; Badal, K.; Collier, J.; Ramachandran, K.B.; Ramakrishnan, S. Chemical and physicochemical pretreatment of lignocellulosic biomass: A review. Enzyme Res. 2011, 787532. [Google Scholar] [CrossRef] [PubMed]
- Chen, J.; Adjallé, K.; Lai, T.T.; Barnabé, S.; Perrier, M.; Paris, J. Effect of Mechanical Pretreatment for Enzymatic Hydrolysis of Woody Residues, Corn Stover and Alfalfa. Waste Biomass Valorization 2019. [Google Scholar] [CrossRef]
- Putro, J.N.; Soetaredjo, F.E.; Lin, S.Y.; Ju, Y.H.; Ismadji, S. Pretreatment and conversion of lignocellulose biomass into valuable chemicals. RSC Adv. 2016, 6, 46834–46852. [Google Scholar] [CrossRef]
- Liu, Q.; Wang, S.; Zheng, Y.; Luo, Z.; Cen, K. Mechanism study of wood lignin pyrolysis by using TG–FTIR analysis. J. Anal. Appl. Pyrolysis 2008, 82, 170–177. [Google Scholar] [CrossRef]
- Mishra, R.K.; Mohanty, K.; Wang, X. Pyrolysis kinetic behavior and Py-GC–MS analysis of waste dahlia flowers into renewable fuel and value-added chemicals. Fuel 2020, 260, 116338. [Google Scholar] [CrossRef]
- Echresh, Z.; Abdulkhani, A.; Saha, B. Analytical pyrolysis study of different lignin biomass. In Proceedings of the 27th European Biomass Conference and Exhibition Proceedings, Lisbon, Portugal, 26 May 2019; pp. 1241–1245. [Google Scholar]
- Kissinger, H.E. Reaction Kinetics in Differential Thermal Analysis. Anal. Chem. 1957, 11, 1702–1706. [Google Scholar] [CrossRef]
- Hu, X.; Gholizadeh, M. Biomass pyrolysis: A review of the process development and challenges from initial researches up to the commercialisation stage. J. Energy Chem. 2019, 39, 109–143. [Google Scholar] [CrossRef]
- Stefanidis, S.D.; Kalogiannis, K.G.; Iliopoulou, E.F.; Michailof, C.M.; Pilavachi, P.A.; Lappas, A.A. A study of lignocellulosic biomass pyrolysis via the pyrolysis of cellulose, hemicellulose and lignin. J. Anal. Appl. Pyrolysis 2014, 105, 143–150. [Google Scholar] [CrossRef]
- Rocha-Meneses, L.; Raud, M.; Orupõld, K.; Kikas, T. Second-generation bioethanol production: A review of strategies for waste valorisation. Agron. Res. 2017, 3, 830–847. [Google Scholar]
- Anwar, Z.; Gulfraz, M.; Irshad, M. Agro-industrial lignocellulosic biomass a key to unlock the future bio-energy: A brief review. J. Radiat. Res. Appl. Sci. 2014, 7, 163–173. [Google Scholar] [CrossRef]
- Pippo, W.A.; Luengo, C.A.; Alberteris, L.A.M.; Garzone, P.; Cornacchia, G. Energy recovery from sugarcane-trash in the light of 2nd generation biofuels. Part 1: Current situation and environmental aspects. Waste Biomass Valorization 2011, 2, 1–16. [Google Scholar] [CrossRef]
- Abdulkhani, A.; Hojati Marvast, E.; Ashori, A.; Karimi, A.N. Effects of dissolution of some lignocellulosic materials with ionic liquids as green solvents on mechanical and physical properties of composite films. Carbohydr. Polym. 2013, 95, 57–63. [Google Scholar] [CrossRef] [PubMed]
- Greenhalf, C.E.; Nowakowski, D.J.; Harms, A.B.; Titiloye, J.O.; Bridgwater, A.V. Sequential pyrolysis of willow SRC at low and high heating rates—Implications for selective pyrolysis. Fuel 2012, 93, 692–702. [Google Scholar] [CrossRef]
- Ma, Z.; Chen, D.; Gu, J.; Bao, B.; Zhang, Q. Determination of pyrolysis characteristics and kinetics of palm kernel shell using TGA-FTIR and model-free integral methods. Energy Convers. Manag. 2015, 89, 251–259. [Google Scholar] [CrossRef]
- Huang, X.; Cheng, D.-G.; Chen, F.; Zhan, X. Reaction pathways of hemicellulose and mechanism of biomass pyrolysis in hydrogen plasma: A density functional theory study. Renew. Energy 2016, 96, 490–497. [Google Scholar] [CrossRef]
- Westmoreland, P.R. Pyrolysis kinetics for lignocellulosic biomass-to-oil from molecular modeling. Curr. Opin. Chem. Eng. 2019, 23, 123–129. [Google Scholar] [CrossRef]
- Yang, H.; Yan, R.; Chen, H.; Lee, D.H.; Zheng, C. Characteristics of hemicellulose, cellulose and lignin pyrolysis. Fuel 2007, 86, 1781–1788. [Google Scholar] [CrossRef]
- Lv, G.; Wu, S. Analytical pyrolysis studies of corn stalk and its three main components by TG-MS and Py-GC/MS. J. Anal. Appl. Pyrolysis 2012, 97, 11–18. [Google Scholar] [CrossRef]
- Couhert, C.; Commandre, J.M.; Salvador, S. Is it possible to predict gas yields of any biomass after rapid pyrolysis at high temperature from its composition in cellulose, hemicellulose and lignin? Fuel 2009, 88, 408–417. [Google Scholar] [CrossRef]
- Shen, D.K.; Gu, S.; Bridgwater, A.V. Study on the pyrolytic behaviour of xylan-based hemicellulose using TG-FTIR and Py-GC-FTIR. J. Anal. Appl. Pyrolysis 2010, 87, 199–206. [Google Scholar] [CrossRef]
- Wang, S.; Guo, X.; Liang, T.; Zhou, Y.; Luo, Z. Mechanism research on cellulose pyrolysis by Py-GC/MS and subsequent density functional theory studies. Bioresour. Technol. 2012, 104, 722–728. [Google Scholar] [CrossRef]
- Dussan, K.; Dooley, S.; Monaghan, R. Integrating compositional features in model compounds for a kinetic mechanism of hemicellulose pyrolysis. Chem. Eng. J. 2017, 328, 943–961. [Google Scholar] [CrossRef]
- Jiang, G.; Nowakowski, D.J.; Bridgwater, A.V. A systematic study of the kinetics of lignin pyrolysis. Thermochim. Acta 2010, 498, 61–66. [Google Scholar] [CrossRef]
- Tejado, A.; Peña, C.; Labidi, J.; Echeverria, J.M.; Mondragon, I. Physico-chemical characterization of lignins from different sources for use in phenol-formaldehyde resin synthesis. Bioresour. Technol. 2007, 98, 1655–1663. [Google Scholar] [CrossRef] [PubMed]
- Laurichesse, S.; Avérous, L. Chemical modification of lignins: Towards biobased polymers. Prog. Polym. Sci. 2014, 39, 1266–1290. [Google Scholar] [CrossRef]
- Gómez-Monedero, B.; Ruiz, M.P.; Bimbela, F.; Faria, J. Selective hydrogenolysis of A–O–4, Β–O–4, 4–O–5 C–O bonds of lignin-model compounds and lignin-containing stillage derived from cellulosic bioethanol processing. Appl. Catal. A Gen. 2017, 541, 60–76. [Google Scholar] [CrossRef]
- Zakzeski, J.; Bruijnincx, P.C.A.; Jongerius, A.L.; Weckhuysen, B.M. The catalytic valorization of lignin for the production of renewable chemicals. Chem. Rev. 2010, 110, 3552–3599. [Google Scholar] [CrossRef]
- Moghaddam, L.; Zhang, Z.; Wellard, R.M.; Bartley, J.P.; O’Hara, I.M.; Doherty, W.O.S. Characterisation of lignins isolated from sugarcane bagasse pretreated with acidified ethylene glycol and ionic liquids. Biomass Bioenergy 2014, 70, 498–512. [Google Scholar] [CrossRef]
- Meng, Y.; Lu, J.; Cheng, Y.; Li, Q.; Wang, H. Lignin-based hydrogels: A review of preparation, properties, and application. Int. J. Biol. Macromol. 2019, 135, 1006–1019. [Google Scholar] [CrossRef]
- Cao, Y.; Chen, S.S.; Zhang, S.; Ok, Y.S.; Matsagar, B.M.; Wu, K.C.W.; Tsang, D.C.W. Advances in lignin valorization towards bio-based chemicals and fuels: Lignin biorefinery. Bioresour. Technol. 2019, 291, 121878. [Google Scholar] [CrossRef]
- Custodis, V.B.F.; Bährle, C.; Vogel, F.; Van Bokhoven, J.A. Phenols and aromatics from fast pyrolysis of variously prepared lignins from hard- and softwoods. J. Anal. Appl. Pyrolysis 2015, 115, 214–223. [Google Scholar] [CrossRef]
- Shao, Y.; Sun, K.; Li, Q.; Zhang, L.; Wei, T.; Gao, G.; Zhang, S.; Wang, Y.; Liu, Q.; Hu, X. Dealkaline lignin—The waste from the pulp and paper industry as acid catalyst in biorefinery. Bioresour. Technol. Rep. 2019, 7, 100218. [Google Scholar] [CrossRef]
- Espinoza-Acosta, J.L.; Torres-Chávez, P.I.; Olmedo-Martínez, J.L.; Vega-Rios, A.; Flores-Gallardo, S.; Zaragoza-Contreras, E.A. Lignin in storage and renewable energy applications: A review. J. Energy Chem. 2018, 27, 1422–1438. [Google Scholar] [CrossRef]
- Abdulkhani, A.; Mirshokraie, A.; Karimi, A.; Hamzeh, Y. Chemical structure characterization of lignin from populus deltoides. In Proceedings of the 16th International Symposium on Wood, Fiber and Pulping Chemistry (ISWFPC), Tianjin, China, 8–10 June 2011; Volume 118, pp. 469–479. [Google Scholar]
- Hamzeh, Y.; Ashori, A.; Mirzaei, B.; Abdulkhani, A.; Molaei, M. Current and potential capabilities of biomass for green energy in Iran. Renew. Sustain. Energy Rev. 2011, 15, 4934–4938. [Google Scholar] [CrossRef]
- Szalaty, T.J.; Klapiszewski, Ł.; Jesionowski, T. Recent developments in modification of lignin using ionic liquids for the fabrication of advanced materials—A review. J. Mol. Liq. 2020, 301, 112417. [Google Scholar] [CrossRef]
- Rajesh Banu, J.; Kavitha, S.; Yukesh Kannah, R.; Poornima Devi, T.; Gunasekaran, M.; Kim, S.H.; Kumar, G. A review on biopolymer production via lignin valorization. Bioresour. Technol. 2019, 290, 121790. [Google Scholar] [CrossRef] [PubMed]
- Zhang, L.; Liu, R.; Yin, R.; Mei, Y. Upgrading of bio-oil from biomass fast pyrolysis in China: A review. Renew. Sustain. Energy Rev. 2013, 24, 66–72. [Google Scholar] [CrossRef]
- Bridgwater, A.V. Review of fast pyrolysis of biomass and product upgrading. Biomass Bioenergy 2012, 38, 68–94. [Google Scholar] [CrossRef]
- Bridgwater, A.V. Principles and practice of biomass fast pyrolysis processes for liquids. J. Anal. Appl. Pyrolysis 1999, 51, 3–22. [Google Scholar] [CrossRef]
- Khuenkaeo, N.; Tippayawong, N. Production and characterization of bio-oil and biochar from ablative pyrolysis of lignocellulosic biomass residues. Chem. Eng. Commun. 2019, 207, 153–160. [Google Scholar] [CrossRef]
- Bridgwater, A.V.; Peacocke, G.V.C. Fast pyrolysis processes for biomass. Renew. Sustain. Energy Rev. 2000, 4, 1–73. [Google Scholar] [CrossRef]
- Yang, X.; Lyu, H.; Chen, K.; Zhu, X.; Zhang, S.; Chen, J. Selective Extraction of Bio-oil from Hydrothermal Liquefaction of Salix psammophila by Organic Solvents with Different Polarities through Multistep Extraction Separation. BioResources 2014, 9, 5219–5233. [Google Scholar] [CrossRef]
- Zadeh, Z.E.; Abdulkhani, A.; Saha, B. Characterization of fast pyrolysis bio-oil from hardwood and softwood lignin. Energies 2020, 13, 1–14. [Google Scholar]
- Wang, S. High-Efficiency Separation of Bio-Oil. In Biomass Now—Sustainable Growth and Use; Books on Demand: Norderstedt, Germany, 2013. [Google Scholar]
- Rahman, A.A.; Sulaiman, F.; Abdullah, N. Effect of temperature on pyrolysis product of empty fruit bunches. AIP Conf. Proc. 2015, 1657, 4915150. [Google Scholar]
- Chang, S.H. Rice Husk and Its Pretreatments for Bio-oil Production via Fast Pyrolysis: A Review. Bioenergy Res. 2020, 13, 23–42. [Google Scholar] [CrossRef]
- Qian, Y.; Zhang, J.; Wang, J. Pressurized pyrolysis of rice husk in an inert gas sweeping fixed-bed reactor with a focus on bio-oil deoxygenation. Bioresour. Technol. 2014, 174, 95–102. [Google Scholar] [CrossRef] [PubMed]
- Chen, Y.; Yang, H.; Wang, X.; Zhang, S.; Chen, H. Biomass-based pyrolytic polygeneration system on cotton stalk pyrolysis: Influence of temperature. Bioresour. Technol. 2012, 107, 411–418. [Google Scholar] [CrossRef]
- Montoya, J.I.; Valdés, C.; Chejne, F.; Gómez, C.A.; Blanco, A.; Marrugo, G.; Osorio, J.; Castillo, E.; Aristóbulo, J.; Acero, J. Bio-oil production from Colombian bagasse by fast pyrolysis in a fluidized bed: An experimental study. J. Anal. Appl. Pyrolysis 2015, 112, 379–387. [Google Scholar] [CrossRef]
- Mutsengerere, S.; Chihobo, C.H.; Musademba, D.; Nhapi, I. A review of operating parameters affecting bio-oil yield in microwave pyrolysis of lignocellulosic biomass. Renew. Sustain. Energy Rev. 2019, 104, 328–336. [Google Scholar] [CrossRef]
- Kumagai, S.; Matsuno, R.; Grause, G.; Kameda, T.; Yoshioka, T. Enhancement of bio-oil production via pyrolysis of wood biomass by pretreatment with H2SO4. Bioresour. Technol. 2015, 178, 76–82. [Google Scholar] [CrossRef]
- Makibar, J.; Fernandez-Akarregi, A.R.; Amutio, M.; Lopez, G.; Olazar, M. Performance of a conical spouted bed pilot plant for bio-oil production by poplar flash pyrolysis. Fuel Process. Technol. 2015, 137, 283–289. [Google Scholar] [CrossRef]
- Alvarez, J.; Lopez, G.; Amutio, M.; Bilbao, J.; Olazar, M. Bio-oil production from rice husk fast pyrolysis in a conical spouted bed reactor. Fuel 2014, 128, 162–169. [Google Scholar] [CrossRef]
- Chan, Y.H.; Yusup, S.; Quitain, A.T.; Uemura, Y.; Sasaki, M. Bio-oil production from oil palm biomass via subcritical and supercritical hydrothermal liquefaction. J. Supercrit. Fluids 2014, 95, 407–412. [Google Scholar] [CrossRef]
- Yin, R.; Liu, R.; Mei, Y.; Fei, W.; Sun, X. Characterization of bio-oil and bio-char obtained from sweet sorghum bagasse fast pyrolysis with fractional condensers. Fuel 2013, 112, 96–104. [Google Scholar] [CrossRef]
- Hu, Z.; Zheng, Y.; Yan, F.; Xiao, B.; Liu, S. Bio-oil production through pyrolysis of blue-green algae blooms (BGAB): Product distribution and bio-oil characterization. Energy 2013, 52, 119–125. [Google Scholar] [CrossRef]
- Zhang, H.; Xiao, R.; Huang, H.; Xiao, G. Comparison of non-catalytic and catalytic fast pyrolysis of corncob in a fluidized bed reactor. Bioresour. Technol. 2009, 100, 1428–1434. [Google Scholar] [CrossRef] [PubMed]
- Sun, Z.; Jin, B.; Zhang, M.; Liu, R. Cotton stalk combustion in a circulating fluidized bed. Chem. Eng. Technol. 2008, 31, 1605–1614. [Google Scholar] [CrossRef]
- Channiwala, S.A.; Parikh, P.P. A unified correlation for estimating HHV of solid, liquid and gaseous fuels. Fuel 2002, 81, 1051–1063. [Google Scholar] [CrossRef]
- Munir, S.; Daood, S.S.; Nimmo, W.; Cunliffe, A.M.; Gibbs, B.M. Thermal analysis and devolatilization kinetics of cotton stalk, sugar cane bagasse and shea meal under nitrogen and air atmospheres. Bioresour. Technol. 2009, 100, 1413–1418. [Google Scholar] [CrossRef]
- Friedl, A.; Padouvas, E.; Rotter, H.; Varmuza, K. Prediction of heating values of biomass fuel from elemental composition. Anal. Chim. Acta 2005, 544, 191–198. [Google Scholar] [CrossRef]
- Demirbaş, A. Calculation of higher heating values of biomass fuels. Fuel 1997, 76, 431–434. [Google Scholar] [CrossRef]
- Qambrani, N.A.; Rahman, M.M.; Won, S.; Shim, S.; Ra, C. Biochar properties and eco-friendly applications for climate change mitigation, waste management, and wastewater treatment: A review. Renew. Sustain. Energy Rev. 2017, 79, 255–273. [Google Scholar] [CrossRef]
- Lee, Y.; Eum, P.R.B.; Ryu, C.; Park, Y.K.; Jung, J.H.; Hyun, S. Characteristics of biochar produced from slow pyrolysis of Geodae-Uksae 1. Bioresour. Technol. 2013, 130, 345–350. [Google Scholar] [CrossRef] [PubMed]
- Sánchez, M.E.; Lindao, E.; Margaleff, D.; Martínez, O.; Morán, A. Pyrolysis of agricultural residues from rape and sunflowers: Production and characterization of bio-fuels and biochar soil management. J. Anal. Appl. Pyrolysis 2009, 85, 142–144. [Google Scholar] [CrossRef]
- Oliveira, F.R.; Patel, A.K.; Jaisi, D.P.; Adhikari, S.; Lu, H.; Khanal, S.K. Environmental application of biochar: Current status and perspectives. Bioresour. Technol. 2017, 246, 110–122. [Google Scholar] [CrossRef] [PubMed]
- Uchimiya, M.; Wartelle, L.H.; Klasson, K.T.; Fortier, C.A.; Lima, I.M. Influence of pyrolysis temperature on biochar property and function as a heavy metal sorbent in soil. J. Agric. Food Chem. 2011, 59, 2501–2510. [Google Scholar] [CrossRef] [PubMed]
- Uchimiya, M.; Lima, I.M.; Thomas Klasson, K.; Chang, S.; Wartelle, L.H.; Rodgers, J.E. Immobilization of heavy metal ions (CuII, CdII, NiII, and PbII) by broiler litter-derived biochars in water and soil. J. Agric. Food Chem. 2010, 58, 5538–5544. [Google Scholar] [CrossRef] [PubMed]
- Demirbas, A. Production and characterization of bio-chars from biomass via pyrolysis. Energy Sources Part A Recover. Util. Environ. Eff. 2006, 28, 413–422. [Google Scholar] [CrossRef]
- Lehmann, J. Biological carbon sequestration must and can be a win-win approach. Clim. Change 2009, 97, 459–463. [Google Scholar] [CrossRef]
- Ghani, W.A.W.A.K.; Mohd, A.; da Silva, G.; Bachmann, R.T.; Taufiq-Yap, Y.H.; Rashid, U.; Al-Muhtaseb, A.H. Biochar production from waste rubber-wood-sawdust and its potential use in C sequestration: Chemical and physical characterization. Ind. Crops Prod. 2013, 44, 18–24. [Google Scholar] [CrossRef]
- Najib, S.; Erdem, E. Current progress achieved in novel materials for supercapacitor electrodes: Mini review. Nanoscale Adv. 2019, 1, 2817–2827. [Google Scholar] [CrossRef]
- González, A.; Goikolea, E.; Barrena, J.A.; Mysyk, R. Review on supercapacitors: Technologies and materials. Renew. Sustain. Energy Rev. 2016, 58, 1189–1206. [Google Scholar] [CrossRef]
- Lewandowski, W.M.; Januszewicz, K.; Kosakowski, W. Efficiency and proportions of waste tyre pyrolysis products depending on the reactor type—A review. J. Anal. Appl. Pyrolysis 2019, 140, 25–53. [Google Scholar] [CrossRef]
- Lee, J.; Kwon, E.E.; Park, Y.K. Recent advances in the catalytic pyrolysis of microalgae. Catal. Today 2019, 126, 8–18. [Google Scholar] [CrossRef]
- Zhan, H.; Zhuang, X.; Song, Y.; Liu, J.; Li, S.; Chang, G.; Yin, X.; Wu, C.; Wang, X. A review on evolution of nitrogen-containing species during selective pyrolysis of waste wood-based panels. Fuel 2019, 253, 1214–1228. [Google Scholar] [CrossRef]
- Moreno, A.I.; Font, R. Pyrolysis of furniture wood waste: Decomposition and gases evolved. J. Anal. Appl. Pyrolysis 2015, 113, 464–473. [Google Scholar] [CrossRef]
- Fateh, T.; Rogaume, T.; Luche, J.; Richard, F.; Jabouille, F. Modeling of the thermal decomposition of a treated plywood from thermo-gravimetry and Fourier-transformed infrared spectroscopy experimental analysis. J. Anal. Appl. Pyrolysis 2013, 101, 35–44. [Google Scholar] [CrossRef]
- Zhang, X.; Zhang, Q.; Wang, T.; Li, B.; Xu, Y.; Ma, L. Efficient upgrading process for production of low quality fuel from bio-oil. Fuel 2016, 179, 312–321. [Google Scholar] [CrossRef]
- Gollakota, A.R.K.; Reddy, M.; Subramanyam, M.D.; Kishore, N. A review on the upgradation techniques of pyrolysis oil. Renew. Sustain. Energy Rev. 2016, 58, 1543–1568. [Google Scholar] [CrossRef]
- Ikura, M.; Stanciulescu, M.; Hogan, E. Emulsification of pyrolysis derived bio-oil in diesel fuel. Biomass Bioenergy 2003, 24, 221–232. [Google Scholar] [CrossRef]
- Jiang, X.; Ellis, N. Upgrading bio-oil through emulsification with biodiesel: Thermal stability. Energy Fuels 2010, 24, 2699–2706. [Google Scholar] [CrossRef]
- Qi, G.; Dong, P.; Wang, H.; Tan, H. Study on biomass pyrolysis and emulsions from biomass pyrolysis oils and diesel. In Proceedings of the 2nd International Conference on Bioinformatics and Biomedical Engineering (iCBBE 2008), Shanghai, China, 16–18 May 2008; pp. 4735–4737. [Google Scholar]
- Xiaoxiang, J.; Ellis, N. Upgrading bio-oil through emulsification with biodiesel: Mixture production. Energy Fuels 2010, 24, 1358–1364. [Google Scholar]
- Kummer, J.T. Use of noble metals in automobile exhaust catalysts. J. Phys. Chem. 1986, 90, 4747–4752. [Google Scholar] [CrossRef]
- Saidi, M.; Samimi, F.; Karimipourfard, D.; Nimmanwudipong, T.; Gates, B.C.; Rahimpour, M.R. Upgrading of lignin-derived bio-oils by catalytic hydrodeoxygenation. Energy Environ. Sci. 2014, 7, 103–129. [Google Scholar] [CrossRef]
- Si, Z.; Zhang, X.; Wang, C.; Ma, L.; Dong, R. An overview on catalytic hydrodeoxygenation of pyrolysis oil and its model compounds. Catalysts 2017, 7, 169. [Google Scholar] [CrossRef]
- Rennard, D.; French, R.; Czernik, S.; Josephson, T.; Schmidt, L. Production of synthesis gas by partial oxidation and steam reforming of biomass pyrolysis oils. Int. J. Hydrog. Energy 2010, 35, 4048–4059. [Google Scholar] [CrossRef]
- Rioche, C.; Kulkarni, S.; Meunier, F.C.; Breen, J.P.; Burch, R. Steam reforming of model compounds and fast pyrolysis bio-oil on supported noble metal catalysts. Appl. Catal. B Environ. 2005, 61, 130–139. [Google Scholar] [CrossRef]
- Xiu, S.; Shahbazi, A. Bio-oil production and upgrading research: A review. Renew. Sustain. Energy Rev. 2012, 16, 4406–4414. [Google Scholar] [CrossRef]
- Kabir, G.; Hameed, B.H. Recent progress on catalytic pyrolysis of lignocellulosic biomass to high-grade bio-oil and bio-chemicals. Renew. Sustain. Energy Rev. 2017, 70, 945–967. [Google Scholar] [CrossRef]
- Hu, X.; Gunawan, R.; Mourant, D.; Hasan, M.D.M.; Wu, L.; Song, Y.; Lievens, C.; Li, C.Z. Upgrading of bio-oil via acid-catalyzed reactions in alcohols—A mini review. Fuel Process. Technol. 2017, 55, 2–19. [Google Scholar] [CrossRef]
- Fan, L.; Chen, P.; Zhou, N.; Liu, S.; Zhang, Y.; Liu, Y.; Wang, Y.; Omar, M.M.; Peng, P.; Addy, M.; et al. In-situ and ex-situ catalytic upgrading of vapors from microwave-assisted pyrolysis of lignin. Bioresour. Technol. 2018, 247, 851–858. [Google Scholar] [CrossRef]
- Kalogiannis, K.G.; Stefanidis, S.D.; Lappas, A.A. Catalyst deactivation, ash accumulation and bio-oil deoxygenation during ex situ catalytic fast pyrolysis of biomass in a cascade thermal-catalytic reactor system. Fuel Process. Technol. 2019, 186, 99–109. [Google Scholar] [CrossRef]
- Iisa, K.; French, R.J.; Orton, K.A.; Yung, M.M.; Johnson, D.K.; Ten Dam, J.; Watson, M.J.; Nimlos, M.R. In Situ and ex Situ Catalytic Pyrolysis of Pine in a Bench-Scale Fluidized Bed Reactor System. Energy Fuels 2016, 30, 2144–2157. [Google Scholar] [CrossRef]
- Huo, X.; Xiao, J.; Song, M.; Zhu, L. Comparison between in-situ and ex-situ catalytic pyrolysis of sawdust for gas production. J. Anal. Appl. Pyrolysis 2018, 135, 189–198. [Google Scholar] [CrossRef]
- Saraeian, A.; Nolte, M.W.; Shanks, B.H. Deoxygenation of biomass pyrolysis vapors: Improving clarity on the fate of carbon. Renew. Sustain. Energy Rev. 2019, 262, 262–280. [Google Scholar] [CrossRef]
- Stephanidis, S.; Nitsos, C.; Kalogiannis, K.; Iliopoulou, E.F.; Lappas, A.A.; Triantafyllidis, K.S. Catalytic upgrading of lignocellulosic biomass pyrolysis vapours: Effect of hydrothermal pre-treatment of biomass. Catal. Today 2011, 167, 37–45. [Google Scholar] [CrossRef]
- Nguyen, T.S.; Zabeti, M.; Lefferts, L.; Brem, G.; Seshan, K. Catalytic upgrading of biomass pyrolysis vapours using faujasite zeolite catalysts. Biomass Bioenergy 2013, 48, 100–110. [Google Scholar] [CrossRef]
- Carlson, T.R.; Cheng, Y.T.; Jae, J.; Huber, G.W. Production of green aromatics and olefins by catalytic fast pyrolysis of wood sawdust. Energy Environ. Sci. 2011, 4, 145–161. [Google Scholar] [CrossRef]
- Tan, S.; Zhang, Z.; Sun, J.; Wang, Q. Recent progress of catalytic pyrolysis of biomass by HZSM-5. Cuihua Xuebao Chin. J. Catal. 2013, 34, 641–650. [Google Scholar] [CrossRef]
- Liu, C.; Wang, H.; Karim, A.M.; Sun, J.; Wang, Y. Catalytic fast pyrolysis of lignocellulosic biomass. Chem. Soc. Rev. 2014, 43, 7594–7623. [Google Scholar] [CrossRef]
- Baloch, H.A.; Nizamuddin, S.; Siddiqui, M.T.H.; Riaz, S.; Jatoi, A.S.; Dumbre, D.K.; Mubarak, N.M.; Srinivasan, M.P.; Griffin, G.J. Recent advances in production and upgrading of bio-oil from biomass: A critical overview. J. Environ. Chem. Eng. 2018, 6, 5101–5118. [Google Scholar] [CrossRef]
- Dorado, C.; Mullen, C.A.; Boateng, A.A. H-ZSM5 catalyzed co-pyrolysis of biomass and plastics. ACS Sustain. Chem. Eng. 2014, 2, 301–311. [Google Scholar] [CrossRef]
- Song, M.; Zhong, Z.; Dai, J. Different solid acid catalysts influence on properties and chemical composition change of upgrading bio-oil. J. Anal. Appl. Pyrolysis 2010, 89, 166–170. [Google Scholar] [CrossRef]
- Kim, J.Y.; Lee, J.H.; Park, J.; Kim, J.K.; An, D.; Song, I.K.; Choi, J.W. Catalytic pyrolysis of lignin over HZSM-5 catalysts: Effect of various parameters on the production of aromatic hydrocarbon. J. Anal. Appl. Pyrolysis 2015, 114, 273–280. [Google Scholar] [CrossRef]
- Castello, D.; He, S.; Ruiz, M.P.; Westerhof, R.J.M.; Heeres, H.J.; Seshan, K.; Kersten, S.R.A. Is it possible to increase the oil yield of catalytic pyrolysis of biomass? A study using commercially-available acid and basic catalysts in ex-situ and in-situ modus. J. Anal. Appl. Pyrolysis 2019, 137, 77–85. [Google Scholar] [CrossRef]
- Xu, Y.; Wang, T.; Ma, L.; Chen, G. Upgrading of fast pyrolysis liquid fuel from biomass over Ru/γ-Al2O3 catalyst. Energy Convers. Manag. 2012, 55, 172–177. [Google Scholar]
- Zheng, Y.; Wang, F.; Yang, X.; Huang, Y.; Liu, C.; Zheng, Z.; Gu, J. Study on aromatics production via the catalytic pyrolysis vapor upgrading of biomass using metal-loaded modified H-ZSM-5. J. Anal. Appl. Pyrolysis 2017, 126, 169–179. [Google Scholar] [CrossRef]
- Kumar, R.; Strezov, V.; Lovell, E.; Kan, T.; Weldekidan, H.; He, J.; Dastjerdi, B.; Scott, J. Bio-oil upgrading with catalytic pyrolysis of biomass using Copper/zeolite-Nickel/zeolite and Copper-Nickel/zeolite catalysts. Bioresour. Technol. 2019, 279, 404–409. [Google Scholar] [CrossRef]
- Zhang, S.; Zhang, H.; Liu, X.; Zhu, S.; Hu, L.; Zhang, Q. Upgrading of bio-oil from catalytic pyrolysis of pretreated rice husk over Fe-modified ZSM-5 zeolite catalyst. Fuel Process. Technol. 2018, 8, 322–343. [Google Scholar] [CrossRef]
© 2020 by the authors. Licensee MDPI, Basel, Switzerland. This article is an open access article distributed under the terms and conditions of the Creative Commons Attribution (CC BY) license (http://creativecommons.org/licenses/by/4.0/).



















