Abstract
Knowledge of buprestid chemical ecology is sparse but the appearance of the invasive pest Agrilus planipennis Fairmaire in North America has provided the impetus to study in detail the semiochemistry and ecology of this important buprestid. The macrocyclic lactone (3Z)-12-dodecenolide [(3Z)-lactone] is identified as a key antennally-active compound that is produced by females and attracts males. Though a weak trap attractant alone, when combined with the host kairomone (3Z)-hexenol and the important visual cue of a green canopy trap, significant increases in male trap capture occur, thus defining (3Z)-lactone as both a sex pheromone of A. planipennis as well as the first and only known buprestid pheromone. The non-natural stereoisomer (3E)-12-dodecenolide and the saturated analog, 12-dodecanolide also exhibit mimetic activities towards male A. planipennis, suggesting a notable plasticity in this pheromonal structural motif. Efficient synthetic routes to these compounds have been developed. A series of fluoro-12-dodecanolides has also been synthesized containing CF2 groups as a strategy to bias the conformational space accessed by these macrolides and to assess if the analogs may act as mimetics for 12-dodecanolide pheromones associated in A. planipennis. These compounds also afford a unique opportunity to study the binding affinities of lactone surrogates with A. planipennis chemosensory proteins and olfactory receptors. Some progress has also been made in identifying the genes involved in the reception, processing and degradation of volatiles in this invasive insect. It is now evident that the behavior and ecology of A. planipennis involves a complex pattern of sensory modalities, including visual, tactile, olfactory and potentially acoustic components. Earlier reviews focused on studies of attractive host volatiles in development of a trapping system for early detection and visual and contact phenomena in A. planipennis mate finding. This review will update the semiochemistry and chemical ecology of A. planipennis and discuss studies on chemistry and behavior that have identified female-produced pheromone components and host kairomones.
1. Background
Agrilus planipennis Fairmaire (Coleoptera: Buprestidae) (EAB) is an invasive species originally from Asia that was first detected in North America in 2002 [1]. Though not a major pest in its native range of China, Japan and the Russian Far East, EAB has caused significant and widespread mortality within both planted and natural populations of Fraxinus sp. (ash) (Oleaceae) in both Canada and the United States. At the time of the discovery in North America, little was known about the host- and/or mate-finding behavior of EAB. Indeed, very little information regarding the chemical ecology of any buprestids existed. Some evidence demonstrating the importance of visual cues in mate finding was observed by Gwynne & Rentz [2], while the potential of female-derived pheromones was suggested by Dunn & Potter [3]. Unlike other large coleopteran families such as Cerambycidae and Scarabaeidae, an understanding of the mechanisms by which insects locate conspecifics and orient themselves within complex environments was lacking.
The early literature on the mating behavior of buprestids [2,4,5,6,7] described the involvement of visual and tactile cues for mate location. Host tree location has been described as being mediated first by olfactory processes and then mate location by visual or by vibratory, tactile cues or both [4]. Evidence of a pheromone-based mate location mechanism was suggested in experiments with the related two-lined chestnut borer A. bilineatus (Weber), where males were observed to significantly prefer cages containing females on host logs over cages containing logs alone [3]. Only recently has additional progress been made into elucidating the pheromone chemistry of buprestids in the form of the extensive research conducted on EAB. The presence of a contact pheromone was suggested [7], which was subsequently identified on the female as 9-methylpentacosane [8]. This compound appears only on the female cuticle of EAB at sexual maturity and stimulates full copulatory activity in males upon antennal contact. A volatile, antennally-active and predominantly female-produced, macrocyclic lactone, (3Z)-12-dodecenolide [(3Z)-lactone], was also described [9] and while identified as the first putative volatile pheromone structure ascribed for EAB, no behavioral activity was reported. It was also demonstrated in laboratory sensory deprivation experiments [10] that male EAB were able to locate and identify females at close range using olfaction pointing to an unidentified volatile cue.
It is now evident that the behavior and ecology of EAB involves a complex pattern of sensory modalities, including visual [11], olfactory [12,13,14], tactile [8,15] and possibly acoustic cues [16]. These host and conspecific interactions blend to influence a variety of host- and mate-location behaviors that are difficult to deconvolute or, indeed, observe independently. Knowledge of the chemical ecology of this species is important to aid in developing sensitive baited traps and other means for early detection at very low insect densities. This review builds on two previous articles [14,17] summarizing and updating the chemical ecology of EAB.
2. Visual Cues
Visual cues have long been thought to be critical to mate finding in the Buprestidae [2,18]. Several studies demonstrated that male EAB would land on, and attempt to mate with, dead EAB adults pinned to the foliage of host ash trees [7,8,19,20,21]. Though important in demonstrating the significance of visual cues within the mate location process, using dead (or dummy) females in any assay removes any possible role of the live female (e.g., movement, pheromone emission) from the behavioral equation, thus potentially biasing the results. Similar mate location behaviors that are mediated by visual cues have been reported for other Agrilus [22], including the native ash borer A. subcinctus Gory and A. cyanescens Ratzeburg. In addition to conspecifics, individual males of both species would land on other insect species that were approximate in size and color to their own [22]. Similarly, it was reported [23] that adult male two spotted oak borer A. biguttatus (Fabricius), the European oak borer A. sulcicollis Lacordaire and A. angustulus (Illiger) tend to land on both dead female models of their own as well as decoys of closely related species [24]. These results strongly indicate that visual cues are essential for mate location and subsequent attempted mating by adult male Agrilus beetles. The integration of these cues in detection strategies was subsequently investigated. Males were captured on sticky traps made from ash leaves with a dead EAB pinned to the leaves or on blue or yellow sticky cards, with dead EAB attached to them [25]. An interaction between color and presence of dummy beetles was evident in visual attraction by A. cyanescens [25]. More males were captured on blue (versus yellow) sticky card traps but only blue traps to which dead beetles had been affixed. No studies have attempted to determine the relative importance of these various visual cues versus other cues associated with mate location.
3. Host Kairomones
Considerable research has been conducted into identifying host volatiles that are attractive to EAB since its discovery in North America [26]. Crook & Mastro [17] recently reviewed the body of knowledge concerning the chemical ecology of this species, in which they discussed aspects of trap design, color and host volatiles that are utilized within an effective trapping system. Two main sources of host volatiles were recognized: bark sesquiterpenes [12,17,27,28] and foliar volatiles [13,14,17,27,29]
3.1. Bark Sesquiterpenes
Artificially stressing or girdling ash trees is a useful methodology to study attraction to hosts by adult beetles. For example, the two-lined chestnut borer A. bilineatus (Weber) landed on girdled host trees (white oak, Quercus alba Linnaeus (Fagaceae)) but not on girdled non-host tree genera [30], signaling the production of attractive volatile cues specific to Q. alba. Similarly, increased adult male EAB captures as well as significantly higher larval densities were observed on girdled Fraxinus sp. [31,32] versus untreated or wounded trees, those treated with herbicide and those exposed to methyl jasmonate [33]. Increased captures of adults following girdling of host trees is hypothesized to be due to changes in volatile emissions, signaling stress in the trees. Changes in ash host volatiles following girdling have been evaluated in several studies [6,12,17] showing increased captures of adults [31,32,33]. Analysis of the volatile blend generated by girdling identified several antennally-active sesquiterpenes, including—α-cubebene, α-copaene, 7-epi-sesquithujene (7-EST), trans-β-caryophyllene and α-humulene [12,28]; a sixth antennally-active compound was later identified [34] as the sesquiterpene, eremophilene. Sesquiterpenes are often difficult to synthesize; however, blends of these sesquiterpenes can be found in essential oil distillates, including Manuka oil (a steam distillate from Leptospernum scoparium Forst (Myrtaceae)) and Phoebe oil (an essential oil from Phoebe porosa (Nees and Martius) Mez (Lauraceae)) [12]. Given the availability of these distillates, field studies that investigated the applicability of sesquiterpene blends within suitable trapping systems utilized these oils as the primary olfactory stimuli [13,17,27,35,36]. Higher trap captures and detection rates on purple traps baited with Manuka or Phoebe oil have been reported [36]. Adults were also attracted to live trees versus girdled trees with sticky band traps baited with Manuka oil, whether visible or hidden from view, indicating the importance of other specific chemical cues being used in orientation to host ash trees in EAB [10]. Healthy host ash trees may emit an entirely different array of volatile compounds. Thus, additional research into volatile chemistry in apparently healthy ash trees and in those trees initially preferred by EAB for attack, may be necessary to fully identify specific compounds and blends that are used to elicit primary attraction and impart host specificity.
3.2. Foliar Volatiles
In addition to the analysis of bark sesquiterpenes, detailed research into the foliage volatiles of white and green ash trees (F. americana Linnaeus and F. pennsylvanica Marshall, respectively) has also been conducted [37], with (3Z)-hexenol and (3Z)-hexenyl acetate comprising > 80% of the foliar volatiles emitted by the two species. Male antennae are highly responsive electrophysiologically to (3Z)-hexenol, compared with any of the other seven green leaf volatile (GLV) compounds [37]. Attraction to (3Z)-hexenol was subsequently demonstrated when it was used as bait on light or dark green sticky traps [13,27,38] or on purple sticky traps [37]. Increased capture of males on traps baited with (3Z)-hexenol compared with unbaited traps or those baited with blends of GLVs were established [35]. Interestingly, the addition of (2E)-hexenol, (2E)-hexenal and hexanal, to traps baited with (3Z)-hexenol reduced trap captures of males compared with those baited with (3Z)-hexenol alone [27,35]. In other tests, (3Z)-hexenol increased captures but not always significantly, on dark green traps [29]. The addition of Manuka oil to traps baited with (3Z)-hexenol did not further enhance captures [27]. Increased capture of males in traps baited with (3Z)-hexenol, as opposed to sesquiterpenes (using Phoebe oil as surrogate) was clearly demonstrated [35] It is not clear, however, if this specific compound is eliciting primary attraction to the host ash trees. Age and reproductive maturity of the insect may influence attraction of EAB to different host volatiles. For example, females may be initially attracted to the foliar volatiles in order to feed and promote maturation [26] and then, given their requirement for ovipositing within crevices and cracks on the trunk of the host tree, be subsequently attracted to bark volatiles associated with this region of the tree. Females caught on traps baited with (3Z)-hexenol are significantly less mature with respect to stage of egg development than females caught on traps baited with bark sesquiterpenes [39]. This suggests that traps baited with (3Z)-hexenol or bark sesquiterpenes do not attract females when they first emerge because they are reproductively immature [40]. It is, therefore, not clear what compounds are attractive to immature newly emerged females presenting another gap in the knowledge of the chemical ecology of this species. Despite considerable research effort, it remains surprising that specific ash-host compounds eliciting primary attraction in adult EAB are still poorly described.
4. The Natural Female-Produced Sex Pheromone
Analysis by gas chromatography/mass spectrometry (GC/MS) of volatiles from adult virgin female EAB confirmed [13] the emission of (3Z)-lactone (2) [(3Z)-12-dodecenolide] [9] from individual females in the low ng/d range; its geometric isomer, (3E)-lactone (3) [(3E)-12-dodecenolide] was not detected (Figure 1); (3Z)-lactone is not an unprecedented chemical structure, being previously reported as the major component of the male-produced pheromone of the cucujid flat grain beetle Cryptolestes pusillus (Schönherr) (Coleoptera: Cucujidae) [41].
Figure 1.
Green Leaf Alcohol and Macrolide EAB pheromones.
In field experiments with purple sticky prism traps, the addition of neither lactone isomer to traps containing ash foliar or cortical volatiles (green leaf volatiles or Phoebe oil, respectively) influenced catches. However, on green prism traps, the (3Z)-lactone significantly increased capture of male EAB when traps were deployed in the tree canopy. Captures of males on traps with both (3E)-lactone and (3Z)-hexenol (1) or with (3Z)-lactone and (3Z)-hexenol were increased by 45–100%, respectively, compared with traps baited with just (3Z)-hexenol [13]. In olfactometer bioassays, males were significantly attracted to (3E)-lactone but not the (3Z)-lactone or a 60:40 (3E):(3Z) blend. The combination of either (3E)- or (3Z)-lactone with Phoebe oil was not significantly attractive to males in trapping bioassays.
These results demonstrate that adult male EAB are highly attracted to (3Z)-hexenol and the (3Z)-lactone + (3Z)-hexenol combination, on green prism traps. Adding (3Z)-lactone to green sticky prism traps with (3Z)-hexenol on the south (sunshine side) aspect of the tree canopy consistently increase trap captures and detection rates at low insect densities compared with using (3Z)-hexenol alone [39]. Such detection of populations at low densities is the critical requirement for any effective detection protocol for monitoring invasive insect populations. This bait combination is more attractive than (3Z)-hexenol alone, especially when traps are in a competitive deployment (in close proximity to one another). These data were the first to demonstrate the pheromonal activity of (3Z)-12-dodecenolide by increased attraction with a combination of the pheromone and a green leaf volatile in a buprestid species [13,38,39,42].
5. Contact Chemoreception
Visual cues are important in orienting EAB males to potential mates [7,25,43]. Lelito et al. [7] coined the term “paratrooper copulation” for the behavior in which hovering EAB males would rapidly descend from heights of 0.3–1.0 m above the foliage directly onto the backs of dead pinned EAB females. Dead and pinned EAB adults of either sex, whether they had been washed in solvent or not, elicited the same number of approaches by feral male EAB; in addition, males spent comparatively more time investigating principally through antennal contact, unwashed females than males or washed females, suggesting the presence of a contact pheromone on the cuticle of female EAB [7].
Analyses by GC/MS of the elytral hydrocarbons from adult male and female EAB revealed a female-specific compound, 9-methylpentacosane (9-Me-C25), which appeared on the cuticle only in sexually mature (~10 days old) females. This hydrocarbon was readily synthesized by Wittig reaction of 2-decanone with (n-hexadecyl)-triphenylphosphonium bromide followed by catalytic reduction to yield (racemic) 9-Me-C25, which matched the natural compound by gas chromatography/mass spectrometry (retention time and EI mass spectrum). In field bioassays with freeze-killed sexually mature EAB females, feral males spent significantly more time in contact and attempting copulation with unwashed females than with females that had been washed in n-hexane to remove the cuticular lipids. Hexane-washed females to which 9-Me-C25 had been re-applied at female equivalent dosages, elicited similar contact time and percentage of time attempting copulation as unwashed females, indicating that 9-methylpentacosane is a contact sex pheromone component of EAB [8]; the potential chirality of this compound has not been investigated
6. Acoustics
While research into visual and chemosensory cues related to mate location has been underway for some time, the first evidence of the production of possible acoustic cues generated by adult males and females was reported relatively recently [16].
Simultaneous wing opening and head ‘pumping’ in both males and females produces specific and distinct sounds (Figure 2). Acoustic recordings demonstrate that these sounds consist of a phrase comprising a ‘click’ produced by wing opening, followed by two separate chirps corresponding to the outward and subsequent inward movement of the head with no significant differences in sound parameters between males and females. It was observed that the proportion of males and females exhibiting these specific behaviors were significantly greater under both halogen and incandescent light than in darkness, signifying the importance of the spectral characteristics of the light source on the production of acoustic signals. Although no evidence of these behaviors being related to the courtship sequence were found under these conditions, the results indicate a sound-generation behavior in EAB that is significantly influenced by light conditions. Scanning electron microscopy images indicate the presence of pars stridens and plectrum structures on the ventral surfaces of the pronotum and gula and in both males and females. The hearing apparatus and its function in EAB has not been explored but research into this and the total acoustic phenomena could yield enlightening results [44].
Figure 2.
Representation of a male A. planipennis undertaking sound-producing behavior (wing opening/head pumping). Arrows indicate direction of movement for both abdomens. (vertically) and head (horizontally) [16].
Observation and recordings of acoustic phenomena with EAB in natural surroundings have not been made so the possible role of this behavior in natural surroundings is unknown and further research is warranted.
7. Progress in Identifying Odor Processing Genes in EAB
The female-biased expression of candidate odorant reception genes will help us to understand the host- and courtship-cues deployed by female EAB. Homology modeling and molecular docking of the predicted odor reception proteins in combination with RNA interference (RNAi) experiments may also reveal critical molecular targets of compounds known to be active toward EAB (e.g., host green leaf volatile, (3Z)-hexenol or indeed the sex pheromone, (3Z)-lactone). Transcriptomic analysis of EAB antennae has revealed the expression of genes involved in volatile odorant perception and signal transduction, including odorant binding proteins (OBPs), chemosensory proteins (CSPs) and olfactory receptors (ORs), notably the obligatory olfactory co-receptor ORCO [45]. Current work is underway to obtain a more detailed picture of sex-specific differences in antennal gene expression, by using the sequencing-by-synthesis technology (i.e., Illumina sequencing). In vitro assays measuring the affinity of ash volatile odorants to recombinantly expressed EAB CSPs are also being performed (D. Doucet, pers. comm.).
Continued studies should include work on host compounds (e.g., (3Z)-hexenol and 7-epi-sesquithujene) but also the affinity of the female-produced sex pheromone (3Z)-12-dodecenolide [13,39], a range of structural analogs, including CF2 fluoro-analogs as pheromone mimetics [46] and the contact-active compounds [8,15].
8. Semiochemistry of EAB Parasitoids
Research into the potential application of both classical and augmentative biological control agents has been ongoing since shortly after the discovery of EAB in North America [47]. Surveys of natural enemies in China and Russia identified several natural enemies that regularly attack EAB. Of these, four species have been approved for use in the United States—Spathius agrili (Yang) (Hymenoptera: Braconidae), S. galinae Belokobylskij, S. floridanus Ashmead, Tetrastichus planipennisi (Yang) (Hymenoptera: Eulophidae) and Oobius agrili (Hymenoptera: Encyrtidae) [48]. After rigorous non-target host range testing, permits for release in the United States were granted in 2007 [47]. Since then, thousands of lab-reared parasitoids have been released in both Canada and the United States [48], with establishment of released natural enemies being regularly observed in subsequent seasons after release [49,50,51,52].
The native generalist S. floridanus Ashmead (Hymenoptera: Braconidae), has been proposed as a biological control agent of EAB. It is a native, larval idiobiont, ectoparasitoid and its host range includes beetles colonizing at least seven host tree genera. It also attacks A. anxius, A. bilineatus and EAB [53,54] in contrast with S. agrili, which has only been observed to parasitize Agrilus, almost exclusively EAB, even under no-choice conditions in the laboratory and is almost exclusively associated with Fraxinus in the field.
The development of suitable monitoring tools for measuring parasitoid populations following releases is a desirable component for evaluating the effectiveness of releases. While several methods for detecting parasitoids exist, in only one instance has a semiochemical-based detection system been examined. For S. agrili, seven male-specific volatile compounds have been identified and synthesized of which, three of these, dodecanal, (4R,11E)-4-tetradecenolide and (Z)-10-heptadecen-2-one, were the key behaviorally active components in flight tunnel bioassays [55]. Male specificity was demonstrated by GC analysis of male and female volatile emissions and whole body extracts. Both the racemic and chiral forms of the γ-lactone and both E- and Z-isomers, were synthesized. Flight tunnel tests showed positive male and female S. agrili responses to both natural pheromone and synthetic blends, with upwind flight and landing on the source. Field-cage studies with yellow sticky-card traps also indicated that both adult males and females were caught in significantly higher numbers on traps baited with the male pheromone than on unbaited traps. An effect of mating on female chemotaxis was also observed, with unmated females displaying upwind flight to the pheromone source, while mated females did not. A female pheromone blend was also identified but its behavioral role could not be determined. While this technology is now available, its possible use is secondary to the utilization of yellow pan traps to measure parasitoid establishment in releases sites [56].
Investigations into the role of host-plant synomones in the host location has been undertaken for S. floridanus as well as for S. agrili. In laboratory assays, it has been demonstrated [54] that S. agrili are attracted to leaf tissue cues whereas S. floridanus is attracted only to EAB larvae in stem tissue. Knowledge of host-location behavior may improve biological control by these parasitoids, by supporting approaches for pre- and post-release strategies. Similar to the male-derived pheromones identified for S. agrili, these volatile semiochemicals may be useful in future monitoring tools for evaluating Spathius sp. populations after release.
In addition to natural enemy surveys in China, collections of natural enemies attacking EAB in North America were also undertaken. These yielded several potential candidates for augmentative biological control, including—Leluthia astigma Ashmead, several Atanycolus spp., Spathius floridanus Ashmead (Hymenoptera: Braconidae), Phasgonophora sulcata Westwood (Hymenoptera: Chalcididae) and Balcha indica Mani and Kaul (Hymenoptera: Eupelmidae) [57]. In only one species, P. sulcata, has evidence of a pheromone been observed. Roscoe et al. [58] described the mating sequence of this species and determined, using laboratory bioassays, that females produced a volatile pheromone that elicited upwind walking and distinct behaviors in conspecific adult males. While a pheromone has not yet been identified, the significant number of males attracted to upwind females suggests the potential of its utilization in detection traps for monitoring P. sulcata populations. Evidence of female attraction to volatile cues of both adult EAB and host tree volatiles was also observed. It was also observed that females preferentially chose (3Z)-12-dodecenolide over a control odor source [59], as well as a green-leaf volatile blend from infested Fraxinus sp. over clean air in laboratory bioassays. While this suggests the importance of these odor sources in a potential monitoring program, field evaluation of these semiochemicals in conjunction with a suitable trapping system has not yet occurred.
9. Development of EAB Detection Tools
9.1. Trap Development
The appearance of EAB in North America and its devastating ecological and economic impacts have created an opportunity to study the semiochemistry, biology and ecology of this buprestid in detail [14]. To reiterate, adding (3Z)-lactone to green sticky prism traps baited with (3Z)-hexenol, consistently shows highest captures and detection rates at low insect densities on the south aspect of the tree canopy [38,39]. This is the trap option that is recommended for early detection of EAB in Canada and elsewhere [60] together with branch sampling for delimitation surveys [61]. Multi-funnel green traps have also been developed with fluon® coating improving trap capture [62]. Further work should be carried out to estimate the required trap densities, including establishing the “active space” (sensu Cardé & Baker [63]) of the traps [64] in order to help refine this technique in particular with risk-based models.
9.2. Effective Range of the Trap
For modelling the range of attraction of the pheromone, (3Z)-lactone, some recent data has been collected [64] to improve the understanding of the effectiveness of green sticky prism traps baited with host kairomone and insect pheromone lures for EAB. Traps were deployed over a single flight season in urban locations of Ontario, Canada with relatively low densities of emerald ash borer (ca. 5 galleries/m2 of outer bark). Traps were placed in pairs of trees separated by not more than 25 m. All traps contained the host kairomone, (3Z)-hexenol, with the remaining half in each pairing additionally baited with (3Z)-lactone pheromone. Both lure types were highly effective in capturing EAB, with >90% detection rates overall at these insect densities. However, traps baited with the pheromone and host volatile lures doubled trap captures of EAB over distances of at least 25 m from the nearest traps baited with only host volatiles. Although the baseline detection rate of traps containing (3Z)-hexenol alone is not significantly reduced compared with traps containing (3Z)-lactone, the overall trap effectiveness is significantly increased when (3Z)-lactone is present. The implications for the use of (3Z)-lactone in an early-warning trapping system are discussed. Trap layout methods and risk-based analysis models can now be further refined by including these data about the attractive range of lures and their effectiveness in different plot environments.
9.3. Mechanism of Pheromonal Activity
Our previous studies have shown: Firstly, (3Z)-lactone is a weak attractant alone but augments trap capture combined with the host volatile (3Z)-hexenol [38] and secondly, it does not elicit (walking) anemotaxis to a (3Z)-lactone source in an olfactometer assay whereas, curiously, (3E)-lactone does [13]. Thirdly, (3Z)-lactone lures (×6) surrounding a (3Z)-lactone + (3Z)-hexenol baited trap do not shut down trap capture. Indeed, trap capture increases significantly and the more trap-disruptors that are placed around the center trap, the higher the trap capture (unpublished data).
Although the mechanisms involved are likely complex, we hypothesize that the mode of action of the natural lactone with EAB is in part, therefore, more as a “flight arrestant” and not just an elicitor of classical chemoanemotaxis. The kairomone, (3Z)-hexenol, for example, would bring males toward the host and the pheromone guides males to females in the tree by arresting flight activity and beginning their search behavior [10]. This may be guided by a combination of visual, acoustic and contact chemoreception as well as olfactory cues. This hypothesis remains to be fully tested. Trap capture per se is a very complex and perhaps poor proxy for understanding insect behavior, especially mate location and mechanistic arguments gleaned from this must be viewed with caution.
10. Attractants for Other Agrilus Species
The only other Agrilus species, to our knowledge, where putative kairomones have been examined, is the two-spotted oak buprestid, A. biguttatus (Fabricius) (Coleoptera: Buprestidae), a species native to Europe that attacks oak trees (Quercus spp.) and is a high invasive risk to North America. Biologically active compounds from oak foliage and bark were tested by GC/EAD and GC-MS and several synthetic blends, which evoked strong positive behavioral responses in olfactometer tests, were identified [65]. These comprised green leaf volatiles and terpenoids but have not yet been tested in trapping studies.
Girdling of host trees (Betula papyrifera Marsh) elicits significant attraction of adults of the bronze birch borer Agrilus anxius Gory (Coleoptera: Buprestidae) to purple prism traps and can be used as a preliminary detection tool for this species [66]. Trap color is also an important visual cue in host location by this species, with unbaited green prism traps showing higher trap capture rates than purple or white prism traps. Rutledge also reported [67] that green multi-funnel traps hung on girdled birch trees are effective in trapping A. anxius. The highly antennally-active spiroketal—conophthorin—produced by the birches Betula papyrifera [66] and B. pendula Roth. (Betula spp., Fagales: Betulaceae) [68], does not appear active in traps alone or combined with (3Z)-hexenol [66]. Further research is required to determine any pheromone component of a lure for A. anxius. This is especially important since many kairomones and indeed pheromones, may be inactive unless presented together in traps [69,70,71]. Antennally-active host volatiles or those of host-fungal origin may also be important kairomones for A. anxius. Due to the high susceptibility of European Betula spp. to A. anxius, concern has been raised about its possible introduction into Europe, the UK and Asia [72] where if established it could cause widespread birch mortality on a continental scale.
11. Pheromone Analogs
11.1. Macrocycle Isomers
The female-produced sex pheromone of EAB has been shown to comprise the macrocyclic lactone, (3Z)-12-dodecenolide 2. This compound and its geometrical isomer analog, (3E)-12-dodecenolide 3, have been demonstrated previously to stimulate electrophysiological responses and, in combination with a host-derived green leaf volatile, (3Z)-hexenol 1, to be attractive (effect trap capture) to male EAB in green prism traps deployed in the ash tree canopy. It has also been shown that the saturated analog, 12-dodecanolide 4, is similarly active, eliciting a significant antennal response and significant attraction of EAB in both olfactometer and trapping bioassays in green traps with (3Z)-hexenol [73].
Conformational modeling of these three lactones [73] reveals that their energies and shapes are very similar, suggesting they might share a common receptor in EAB antennae; activity of all three also suggests that the critical pharmacophores are the lactone entity and the conformation of the ring. These findings provide new insight into the pheromone ecology of this species, highlighting the apparent plasticity in response of adults to the pheromone and its saturated analog prompting further study. The saturated analog can be made cheaply, in high yield and on a large scale via Mitsunobu esterification of a saturated ω-hydroxy acid or, more simply, by Baeyer-Villiger oxidation of commercially available cyclododecanone. The analog can thus provide an inexpensive option as a lure for detection surveys as well as for possible mitigation purposes, such as mating disruption or push-pull strategies [60].
11.2. Macrocyclic Fluoro Analogs
Fluorine has advantages as a hydrogen mimetic for biologically-active molecules in that it is sterically compact and does not enter into strong intermolecular interactions [74]. It has been established that the CF2 group tends to occupy corner positions when it is incorporated into aliphatic rings; in particular, medium sized macrocyclic compounds [75]. The larger size of fluorine over hydrogen also avoids transannular interactions relative to hydrogen, while the electronegativity of fluorine changes the hybridization towards sp2 at the directly bound carbon widening the C-CF2-C angle [76]. Hence, five 12-dodecanolides (Figure 3) were synthesized containing CF2 groups at C5, C6, C7, C8 and in one case a double substitution at C5 & C8, as a strategy to bias the conformational space accessed by these macrocycles and to determine if the analogs act as mimetics for 12-dodecanolide pheromones associated with the EAB [46]. The CF2 group would place conformational constraints at different locations into these molecules, as an alternative strategy to introducing double bonds of defined geometry such as is found in 2 and 3. Thus, syntheses of 5,5-difluoro-5, 6,6-difluoro-6, 7,7-difluoro-7, 8,8-difluoro-8 and 5,5,8,8-tetrafluoro-9, 12-dodecanolides were carried out.
Figure 3.
Fluorinated 12-dodecanolides.
X-ray structural data was obtained for three (5, 8 and 9) of these compounds [46]. The structures show that the CF2 groups indeed do occupy ‘corner’ positions in the macrocycle consistent with their ability to bias accessible conformations (Figure 4). The fluorine containing 12-dodecanolides all generated an electro-antennogram response in female beetles and ongoing work shows that several effect trap capture as (3Z)-lactone mimetics (unpublished data).
Figure 4.
Representations of the X-ray derived structure of 12-dodecanolides 5, 8 and 9 (left to right). In all cases the CF2 groups adopt corner locations in the solid state.
12. Synthetic Chemistry of EAB Macrolides
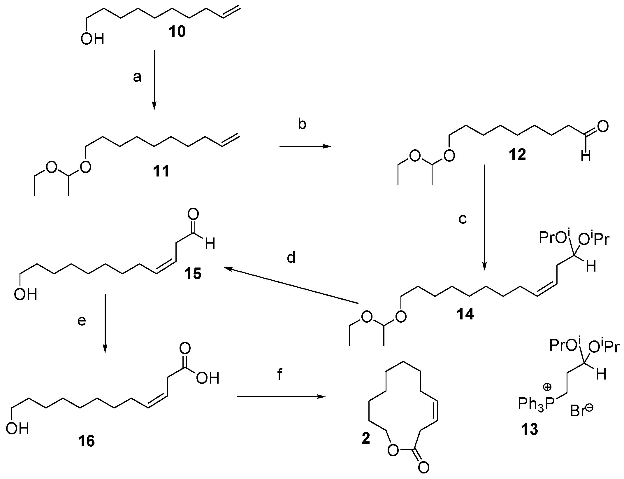
The syntheses employed for (3Z)-12-dodecenolide 2 (Section 12.1) and (3E)-12-dodecenolide 3 (Section 12.2) were very similar; a lithium salt-free Wittig reaction was used to install the Z-olefin in the twelve carbon chain of 2 and a Julia-Kocienski olefination was used to install the E-olefin in 3. In both of these olefinations, a 3-carbon fragment was added to the aldehyde 12 to increase the chain length from 9 to 12 carbons and the lactone functionality was installed in the same way for both 2 and 3. Both of these syntheses involved 6 steps and were adapted from the synthesis of 2 reported by Boden et al. [77] and used the same basic pathway; the only addition was of a protecting group (EVE, ethyl vinyl ether) on aldehyde 12. In an effort to shorten the synthetic pathway to 2, a 3-step procedure was devised; see Section 12.3. Also, a 1-step synthesis of the saturated lactone analog 4 was implemented (Section 12.4).
12.1. Synthesis of (3Z)-12-Dodecenolide 2
The macrocyclic lactone, (3Z)-12-dodecenolide 2 ((3Z)-lactone, Scheme 1), was synthesized according to the procedure described by Boden et al. [77] and used by Bartelt et al. [9] with the addition of an ethyl vinyl ether (EVE) protecting group introduced to 9-decen-1-ol 10 (which doubled the yield of the subsequent Wittig step) [13,78]. After EVE protection to give 11, the EVE-protected alkenol 11 was subjected to ozonolysis with reductive workup to give protected hydroxyaldehyde 12 and then Wittig reaction with a Wittig salt containing a protected aldehyde (13), gave alkene 14. Hydrolysis of both of the acetals in 14 to give a (3Z)-unsaturated hydroxyaldehyde 15, then Lindgren oxidation to a hydroxycarboxylic acid (16) and finally a Mitsunobu esterification to effect the macrolactonisation, gave Z-lactone 2 in 37% overall yield (6 steps). The synthesis of (3Z)-12-dodecenolide 2 was, therefore, successfully accomplished with the IR spectra, EI (70 eV) mass spectra and 1H and 13C NMR spectra closely matching those previously reported [77]. Formation of (3E)-12-dodecenolide 3 was found to be intrinsic to the synthesis at approximately 2%. 3 Could not be separated from 2. 1H NMR supported the presence of ca. 2% of (3E)-lactone 3 in the product.
Scheme 1.
Synthesis of (3Z)-12-dodecenolide 2.
Ethyl vinyl ether (EVE), pyridinium p-toluenesulfonate (PPTS), CH2Cl2, RT, 98%.
- 1. O3, CH2Cl2, −78 °C. 2. PPh3, −78 °C—RT, 93%.
- 13 + Sodium bis(trimethylsilyl)amide, tetrahydrofuran (THF) and toluene, 0 °C—RT, then 12, −99 °C—RT, 90% yield, 98% Z-selectivity.
- TsOH, wet THF, reflux.
- NaClO2, H2NSO3H, 1-methyl-1-cyclohexene, CH2Cl2, H2O, 0 °C—RT, 70% over 2 steps.
- diisopropylazodicarboxylate (DIAD) or diethylazodicarboxylate (DEAD), PPh3, toluene, RT, 64% with DIAD; overall yield = 37% over 6 steps.
12.2. Synthesis of (3E)-12-Dodecenolide 3
The (3E)-lactone [(3E)-12-dodecenolide] (3) (Scheme 2) synthesis was successfully accomplished by a Julia-Kocienski olefination according to the methodology previously described [79]. The Julia-Kocienski olefination of aldehyde 12 proceeded with 60% yield and ca. 97% E-stereochemistry to give olefin 21. The phenyltetrazole (PT) sulfone 20 was synthesized by deprotonating 1-phenyl-1H-tetrazole-5-thiol (PTSH) 17 with sodium hydride and coupling it with commercially available 18 to give thioether 19. Ammonium molybdate tetrahydrate/hydrogen peroxide oxidation of 19 furnished the PT sulfone 20. After the Julia-Kocienski olefination, double hydrolysis of the two acetals of 21 gave 22 and Lindgren oxidation of 22 gave the 3E-hydroxyacid 23. Finally, as reported by Reference [77], activation of the hydroxyl group using the modified Mitsunobu method [80] gave (3E)-12-dodecenolide 3 in an overall yield of 16% from 17. The detailed synthesis of (3E)-lactone 3 is described elsewhere [81].
Scheme 2.
Synthesis of (3E)-12-dodecenolide 3 in 97% yield.
Schlosser modification [82] of the Wittig reaction was initially employed in an attempt to make 21 starting from Wittig salt 13 and aldehyde 12, however, the E-selectivity of the reaction was very capricious, with 80% stereochemical purity being the best result out of a dozen attempts at the reaction. This was deemed to be unacceptable and the much better ~97% stereochemical purity with the Julia-Kocienski olefination which gave 21 was more satisfactory.
- 1. NaH, DMF, 0 °C–90 °C. 2. 3-chloropropionaldehyde diethylacetal 18, NaI, 90 °C, 76%.
- (NH4)6Mo7O24·4H2O, H2O2, EtOH, RT, 73%.
- 1. Potassium bis(trimethylsilyl)amide, dimethyoxyethane (DME), −56 °C, then 12, −56 °C—RT, 60% yield, 97% E-selectivity.
- TsOH, wet THF, reflux.
- NaClO2, H2NSO3H, 1-methyl-1-cyclohexene, CH2Cl2, H2O, 0 °C—RT, 60% over 2 steps.
- DIAD or DEAD, PPh3, toluene, RT, 82% with DIAD; overall yield = 16% over 6 steps.
12.3. Synthesis of (3Z)- and (3E)-12-Dodecenolide Mixture (2 and 3)
The focus of this synthesis was to use a Wittig reaction to give the 12-carbon chain of 2 with an olefin at position 3 but more concisely than the 6-step procedure shown in Scheme 1. To this end, a Wittig reaction of aldehydes 25a, 25b or 12, with yields of 70%, 67% or 61%, respectively, were obtained using 24 as the Wittig salt, THF as the solvent and 2 equivalents of sodium bis(trimethylsilyl)amide as the base, with a 2:1 Z/E stereoisomeric ratio in the product 26 for all 3 cases (Section 12.3, Scheme 3). A straightforward intramolecular SN2 of 26a using potassium carbonate (K2CO3) as base, potassium iodide (KI) as catalyst and refluxing acetone as solvent yielded a 2:1 mixture of 2:3 in good yield (82%); 26b cyclized in the same fashion as 26a, to a mixture of 2 and 3 in similar yield (72%) and Z:E selectivity (2:1) but without the KI catalyst. Of note in the synthesis of these lactones, either Z-, E- or Z-,E-mixture, is the formation of the dimer 28 (see Figure 5) during the last step (either Mitsunobu cyclization or SN2 ring closure) at a level of ~5–10% of the product mixture. The lactone dimer 28 can be separated from the monomer lactone product (either 2, 3 or the 2/3 mixture) by silica gel column chromatography.
Scheme 3.
Synthesis of a mixture of 2:1 Z-:E-lactone (2:3).
Figure 5.
Lactone dimer intrinsic to the synthesis of 2 and/or 3.
- 2 equiv. sodium bis(trimethylsilyl)amide, THF, 0 °C—RT, then 25a, 25b or 12, −78 °C—RT, 70%, 67% and 61% yields, respectively and 2:1 Z/E in all 3 cases.
- For 25a and 25b, K2CO3, KI (only for 25a), acetone, reflux, 82% and 72% yields, respectively, 2:1 2:3 (Z:E) for both 26a and 26b.
- 1. O3, CH2Cl2, −78 °C. 2. PPh3, −78 °C—RT, 100% yield for 25a and 93% for 25b.
Carboxyacetal 26c could also be obtained in a Wittig reaction employing Wittig salt 24 and aldehyde 12 in similar yield (61%) and Z:E (2:1) selectivity to acids 26a and 26b (Scheme 3). The hydroxyl group of 26c can then be unmasked with hydrochloric acid in wet THF (quantitative yield) to give a 2:1 mixture of 16 and 23 and the Mitsunobu conditions as previously reported [77] readily formed the lactone as a mixture of Z- and E-isomers 2 and 3 (84% combined yield), as well as a small amount (~5%) of the dimer 28 (see Scheme 4).
Scheme 4.
Synthesis of 2:1 E:Z-lactone 2 and 3 via carboxyacetal 26c.
- HCl, H2O, THF, RT, 100%.
- DIAD, PPh3, toluene, RT, 84% combined yield of 2 and 3, ~5% 28. 2:3 = 2:1.
Alkenes 27a and 27b are readily prepared in 2 steps from 9-decen-1-ol 10 (see Scheme 5; both yields were quantitative). The commercial availability of 27a makes 25a obtainable in only 1 step.
Scheme 5.
Halogenation of 9-decen-1-ol 10.
- CBr4, PPh3, CH2Cl2, 0 °C, 100%.
- I2, PPh3, imidazole, 1:3 CH3CN/Et2O, RT, 100%.
12.4. Synthesis of Saturated Lactone Analog, 12-Dodecanolide 4
Baeyer-Villiger oxidation (BVO) of cyclododecanone 29 (Sigma-Aldrich, Saint Louis, MO, USA) would yield the saturated lactone analogue 4 in one step (Section 12.4, Scheme 6). Consequently, a straightforward BVO of 29 with meta-chloroperoxybenzoic acid (mCPBA) would provide a convenient method for the synthesis of 4. This reaction, however, proved to be sluggish; this was also reported by van der Mee et al. [83] who refluxed 29 and mCPBA in CH2Cl2 for 10 days and still reported incomplete consumption of 29 [73].
Scheme 6.
Baeyer-Villiger oxidation of cyclododecanone 29.
Toluenesulfonic acid monohydrate-(TsOH·H2O)-catalyzed mCPBA BVO [84] of 29 proceeds with 99.8% completion and 87% yield in 3.5 wks. The use of basic conditions (2 equiv. of NaHCO3 instead of a catalytic amount of TsOH·H2O) gave 98% completion and 59% yield after 2.5 months. Obviously, the latter conditions are somewhat impractical from a synthetic standpoint; however, a large-scale synthesis of 4 from 29 using mCPBA and a catalytic amount of TsOH·H2O was conducted and 4 was obtained in 87% yield.
The more reactive trifluoroperoxyacetic acid (prepared in situ from trifluoroacetic anhydride and hydrogen peroxide) [85] gave 4 from 29 in 11 d, 72% yield and with complete consumption of the starting material. Also, the reagent Oxone® (potassium peroxymonosulfate, 2KHSO5·KHSO4·K2SO4) was completely inert towards 29 when stirred at room temperature in dichloromethane over 2 d and magnesium monoperphthalate hexahydrate (MMPP)/NaHCO3 [86] only converted ~0.5% of starting material 29 to product 4 when stirred at room temperature in 1:1 MeOH:H2O over 1 d and further stirring at this temperature produced no further conversion.
The reagent permaleic acid (30, Scheme 6) is reported to convert 29 to 4 in 1 d [87] and 29 is cleanly converted to 4 by stirring with permaleic acid 30 in CH2Cl2 at RT for 5 d in 75% yield.
- 2.1 equiv. mCPBA, 0.04 equiv. TsOH·H2O, CH2Cl2, RT, 87%.
- 10 equiv. mCPBA, 2 equiv. NaHCO3, CH2Cl2, RT, 59%.
- 10 equiv. H2O2 (35 wt% aqueous), 31 equiv. (CF3CO)2, 1 equiv. Na2HPO4·7H2O, CH2Cl2, RT, 72%.
- Permaleic acid 30 (generated in situ from maleic anhydride, 35 wt% aqueous H2O2 and acetic anhydride), CH2Cl2, RT, 75%.
13. Future Directions
Buprestidae, known as jewel beetles or metallic wood-boring beetles, are among the largest of the beetle families, with ca. 15,500 species known in 775 genera [88]; in the subfamily Agrilina, ~3000 species of Agrilus are described. Little is known, however, about the semiochemistry of any buprestids with one notable exception: the emerald ash borer, Agrilus planipennis Fairmaire (Coleoptera: Buprestidae) which is detailed in this review.
Thus, (3Z)-12-dodecenolide, the sex pheromone of EAB, remains the only recorded pheromone structure in the Buprestidae at this time [9,13]. Whether or not this macrolide structural motif is conserved in this genus and translates into the chemical ecology of other Buprestidae, is unknown; the lactone motif in chemical communication, however, is a well-known “privileged structure” [89] with the lactone being better suited to serve as a volatile chemical than its hydroxy-fatty acid precursor; cyclisation is entropically favored and the ester can be easily deactivated by hydrolysis. The non-natural stereoisomer (3E)-12-dodecenolide and the saturated analog, 12-dodecanolide and several difluoromethylene-12-dodecanolide analogs exhibit remarkable mimetic activities towards male EAB pointing to noteworthy plasticity in this pheromonal structural motif. These compounds may be useful ligands, as may be host-related kairomones, to study binding to EAB antennal sensory neurons. Indeed, some progress has been made in identifying the genes involved in the reception, processing and degradation of volatiles in this invasive insect.
Successful location of ash trees, mates and oviposition sites by EAB requires the ability to detect chemical and physical cues indicating the presence of these resources within a highly complex environment of a variety of stimuli. The green leaf volatile, (3Z)-hexenol, for example, is ubiquitous in a forest environment, being emitted by almost all hardwood trees. Given its widespread emittance from a variety of angiosperm species in addition to Fraxinus, it is interesting that it remains the most effective of host kairomones identified thus far. However, given the lack of EAB recruitment on other angiosperms, it seems reasonable to assume that more additional kairomone components that facilitate orientation to Fraxinus, exist. It has been shown [90] that the number of eggs laid by female EAB was significantly lower on healthy trees or “over-infested” (crown class = 5) than on moderately-stressed trees (crown class = 3, 4). This observation seems to indicate variability in host kairomones produced by healthy or over-infested trees, perhaps mitigating female oviposition.
The antennally-active sesquiterpene compounds [12] are weak attractants at best and do not synergize the pheromone [38]. Thus, despite considerable research effort, it remains surprising that specific ash-host compounds eliciting primary attraction in adult EAB are still poorly described and further research is required. A more potent kairomonal “gestalt” blend, if indeed it exists, may have important consequences to the effectiveness of the pheromone at low insect density and its active range. A competitive binding approach using nonlinear responses of olfactory receptors to complex mixtures might be a useful approach [91]. Thus, in vitro binding data with these receptors would provide the opportunity to study the binding affinities of lactone surrogates and host kairomones with EAB antennal receptors (i.e., chemosensory proteins and olfactory receptors).
Insect derived macrolides are now a relatively common structural motif and many are likely biosynthetically derived from fatty acids which serve as starting materials modified by chain-shortening and oxidation processes [89]. Due to the minute amounts available from natural sources they are likely detectable only by mass spectrometry and some general rules for identification have been described [92]. (3Z)-12-Dodecenolide, however, remains the only known pheromone within Agrilus. Whether or not this macrolide structural motif is conserved in this genus and translates into the chemical ecology of other buprestidae, is unknown. Hopefully, lessons learned with EAB will aid into unravelling the semiochemistry of other buprestids since it seems certain that many will achieve pest status as world trade practices increase the risk of invasion of these exotic species.
Author Contributions
Conceptualization and project management P.S. & K.R.; funding P.S. & K.R.; compound identification, methodology P.S.; synthetic chemistry P.M.; acoustics L.R.; Field work, trapping and statistics K.R. & L.R.; writing, reviewing, editing P.S., K.R., L.R., P.M.
Funding
We thank Natural Resources Canada and the Atlantic Canada Opportunities Agency Atlantic Innovation Fund (197853) for funding support of this project.
Acknowledgments
I thank my research colleagues David O’Hagan, Brian Aukema, Jon Sweeney, Jeff Fidgen, David MaGee and Gaetan LeClair for stimulating and rewarding research collaborations over many years. Technical support from S. D. Abeysekera, Matt Brophy, Jessica Price, Matt Lemay & Gene Jones is acknowledged.
Conflicts of Interest
The authors indicate no conflicts of interest.
References
- Haack, R.A.; Jendek, E.; Liu, H.; Marchant, K.R.; Petrice, T.R.; Poland, T.M.; Ye, H. The emerald ash borer: A new exotic pest in North America. Newsl. Mich. Entomol. Soc. 2002, 47, 1–5. [Google Scholar]
- Gwynne, D.T.; Rentz, D.C.F. Beetles on the bottle: Male buprestids mistake stubbies for females (Coleoptera). Aust. J. Entomol. 1983, 22, 79–80. [Google Scholar] [CrossRef]
- Dunn, J.P.; Potter, D.A. Evidence for sexual attraction by the twolined chestnut borer, Agrilus bilineatus (Weber) (Coleoptera: Buprestidae). Can. Entomol. 1988, 120, 1037–1039. [Google Scholar] [CrossRef]
- Carlson, R.W.; Knight, F.B. Biology, taxonomy, and evolution of sympatric Agrilus beetles (Coleoptera: Buprestidae). Contr. Am. Entomol. Inst. 1969, 3, 100–105. [Google Scholar]
- Akers, R.C.; Nielsen, D.G. Mating behavior of the bronze birch borer (Coleoptera: Buprestidae). J. Entomol. Sci. 1992, 27, 44–49. [Google Scholar] [CrossRef]
- Rodriguez-Saona, C.; Poland, T.M.; Miller, J.R.; Stelinski, L.L.; Grant, G.G.; de Groot, P.; Buchan, L.; MacDonald, L. Behavioral and electrophysiological responses of the emerald ash borer, Agrilus planipennis, to induced volatiles of Manchurian ash, Fraxinus mandshurica. Chemoecology 2006, 16, 75–86. [Google Scholar] [CrossRef]
- Lelito, J.P.; Fraser, I.; Mastro, V.C.; Tumlinson, J.H.; Böröczky, K.; Baker, T.C. Visually mediated ‘paratrooper copulations’ in the mating behavior of Agrilus planipennis (Coleoptera: Buprestidae), a highly destructive invasive pest of North American ash trees. J. Insect Behav. 2007, 20, 537–552. [Google Scholar] [CrossRef]
- Silk, P.J.; Ryall, K.; Lyons, B.; Sweeney, J.D.; Wu, J. A contact sex pheromone component of the emerald ash borer Agrilus planipennis Fairmaire (Coleoptera: Buprestidae). Naturwissenschaften 2009, 96, 601–608. [Google Scholar] [CrossRef] [PubMed]
- Bartelt, R.; Cossé, A.A.; Zilkowski, B.W.; Fraser, I. Antennally active macrolide from the emerald ash borer Agrilus planipennis emitted predominantly by females. J. Chem. Ecol. 2007, 33, 1299–1302. [Google Scholar] [CrossRef] [PubMed]
- Pureswaran, D.S.; Poland, T.M. The role of olfactory cues in short-range mate finding by the emerald ash borer, Agrilus planipennis, Fairmaire (Coleoptera: Cerambycidae). J. Insect Behav. 2009, 22, 205–216. [Google Scholar] [CrossRef]
- Francese, J.A.; Crook, D.J.; Fraser, I.; Lance, D.R.; Sawyer, A.J.; Mastro, V.C. Optimization of trap color for the emerald ash borer, Agrilus planipennis (Coleoptera: Buprestidae). J. Econ. Entomol. 2010, 103, 1235–1241. [Google Scholar] [CrossRef]
- Crook, D.J.; Khrimian, A.; Francese, J.A.; Fraser, I.; Poland, T.M.; Sawyer, A.J.; Mastro, V.C. Development of a host-based semiochemical 12lure for trapping emerald ash borer Agrilus planipennis (Coleoptera: Buprestidae). Environ. Entomol. 2008, 37, 356–365. [Google Scholar] [CrossRef] [PubMed]
- Silk, P.J.; Ryall, K.; Mayo, P.; Lemay, M.; Grant, G.; Crook, D.; Cossé, A.; Fraser, I.; Sweeney, J.D.; Lyons, D.B.; et al. Evidence for a volatile pheromone in Agrilus planipennis Fairmaire (Coleoptera: Buprestidae) that increases attraction to a host foliar volatile. Environ. Entomol. 2011, 40, 904–916. [Google Scholar] [CrossRef] [PubMed]
- Silk, P.J.; Ryall, K.L. Semiochemistry and chemical ecology of the emerald ash borer Agrilus planipennis (Coleoptera: Buprestidae). Can. Entomol. 2015, 147, 277–289. [Google Scholar] [CrossRef]
- Lelito, J.P.; Böröczky, K.; Jones, T.H.; Frazer, I.; Mastro, V.C.; Tumlinson, J.H.; Baker, T.C. Behavioral evidence for a contact pheromone component of the emerald ash borer, Agrilus planipennis Fairmaire. J. Chem. Ecol. 2009, 35, 104–110. [Google Scholar] [CrossRef]
- Silk, P.J.; Price, J.; Brophy, M.; Roscoe, L.; Ryall, K.L. Influence of light on sound production behaviors in the Emerald Ash Borer, Agrilus planipennis Fairmaire. Entomol. Exp. Appl. 2018, 166, 844–853. [Google Scholar] [CrossRef]
- Crook, D.J.; Mastro, V.C. Chemical ecology of the emerald ash borer, Agrilus planipennis. J. Chem. Ecol. 2010, 36, 101–112. [Google Scholar] [CrossRef]
- Domingue, M.J.; Baker, T.C. A multidisciplinary approach for developing tools to monitor invasive buprestid beetle species. In Invasive Species: Threats, Ecological Impact and Control Methods; Blanco, J.J., Fernandes, A.T., Eds.; Nova Science Publishers, Inc.: New York, NY, USA, 2012; pp. 77–100. [Google Scholar]
- Rodriguez-Saona, C.R.; Miller, J.R.; Poland, T.M.; Kuhn, T.M.; Otis, G.W.; Turk, T.; Ward, D.L. Behaviors of adult Agrilus planipennis (Coleoptera: Buprestidae). Great Lakes Entomol. 2007, 40, 1–16. [Google Scholar]
- Domingue, M.J.; Lelito, J.P.; Fraser, I.; Mastro, V.C.; Tumlinson, J.H.; Baker, T.C. Visual and chemical cues affecting the detection rate of the emerald ash borer in sticky traps. J. Appl. Entomol. 2011, 137, 77–87. [Google Scholar] [CrossRef]
- Domingue, M.; Andreadis, S.S.; Silk, P.J.; Ryall, K.; Baker, T.C. Interaction of visual and chemical cues in promoting attraction of Agrilus planipennis (Coleoptera:Buprestidae). J. Chem. Ecol. 2016, 42, 490–496. [Google Scholar] [CrossRef]
- Lelito, J.P.; Domingue, M.J.; Fraser, I.; Mastro, V.C.; Tumlinson, J.H.; Baker, T.C. Field investigation of mating behaviour of Agrilus cyanescens and Agrilus subcinctus. Can. Entomol. 2011, 143, 370–379. [Google Scholar] [CrossRef]
- Domingue, M.J.; Csóka, G.; Tóth, M.; Vétek, G.; Pénzes, B.; Mastro, V.C.; Baker, T.C. Field observations of visual attraction of three European oak buprestid beetles towards conspecific and heterospecific models. Entomol. Exp. Appl. 2011, 140, 112–121. [Google Scholar] [CrossRef]
- Domingue, M.J.; Imrei, Z.; Lelito, J.P.; József, M.; Janik, G.; Csóka, G.; Mastro, V.C.; Baker, T. Trapping of European buprestid beetles in oak forests using visual and olfactory cues. Entomol. Exp. Appl. 2013, 148, 116–129. [Google Scholar] [CrossRef]
- Lelito, J.P.; Fraser, I.; Mastro, V.C.; Tumlinson, J.H.; Baker, T.C. Novel visual-cue-based sticky traps for monitoring of emerald ash borers, Agrilus planipennis (Col., Buprestidae). J. Appl. Entomol. 2008, 132, 668–674. [Google Scholar] [CrossRef]
- Herms, D.A.; McCullough, D.G. Emerald ash borer invasion of North America: History, biology, ecology, impacts and management. Ann. Rev. Entomol. 2014, 59, 13–30. [Google Scholar] [CrossRef] [PubMed]
- Grant, G.G.; Ryall, K.L.; Lyons, D.B.; Abou-Zaid, M.M. Differential response of male and female emerald ash borers (Col., Buprestidae) to (Z)-3-hexenol and Manuka oil. J. Appl. Entomol. 2010, 134, 26–33. [Google Scholar] [CrossRef]
- Krimian, A.; Cossé, A.A.; Crook, D.J. Absolute configuration of 7-epi-sesquithujene. J. Nat. Prod. 2011, 74, 1414–1420. [Google Scholar] [CrossRef] [PubMed]
- Crook, D.J.; Khrimian, A.; Cossé, A.; Fraser, I.; Mastro, V.C. Influence of trap color and host volatiles on capture of the emerald ash borer (Coleoptera: Buprestidae). J. Econ. Entomol. 2012, 105, 429–437. [Google Scholar] [CrossRef]
- Dunn, J.P.; Kimmerer, T.W.; Nordin, G.L. The role of host tree condition in attack of white oaks by the twolined chestnut borer, Agrilus bilineatus (Weber) (Coleoptera: Buprestidae). Oecologia 1986, 70, 596–600. [Google Scholar] [CrossRef]
- McCullough, D.G.; Poland, T.M.; Anulewicz, A.C.; Cappaert, D. Emerald ash borer (Coleoptera: Buprestidae) attraction to stressed or baited ash trees. Environ. Entomol. 2009, 38, 1668–1679. [Google Scholar] [CrossRef]
- McCullough, D.G.; Poland, T.M.; Cappaert, D. Attraction of the emerald ash borer to ash trees stressed by girdling, herbicide treatment or wounding. Can. J. For. Res. 2009, 38, 1331–1345. [Google Scholar] [CrossRef]
- Tluczek, A.R.; McCullough, D.G.; Poland, T.M. Influence of host stress on emerald ash borer (Coleoptera: Buprestidae) adult density, development, and distribution in Fraxinus pennsylvanica trees. Environ. Entomol. 2011, 40, 357–366. [Google Scholar] [CrossRef]
- Cossé, A.A.; Bartelt, R.J.; Zikowski, B.W.; Fraser, I. Identification and antennal electrophysiology of ash bark volatiles for emerald ash borer. In Proceedings of the Emerald Ash Borer and Asian Longhorned Beetle Research and Technology Development Meeting, Pittsburgh, Pennsylvania, 23–24 October 2007; Mastro, V., Lance, D., Reardon, R., Parra, G., Eds.; United States Department of Agriculture Forest Service Forest Health Technology Enterprise Team: Morgantown, WV, USA, 2018; pp. 81–82. [Google Scholar]
- Grant, G.G.; Poland, T.M.; Ciaramitaro, T.; Lyons, D.B.; Jones, G.C. Comparison of male and female emerald ash borer (Coleoptera: Buprestidae) responses to Phoebe oil and (Z)-3-hexenol lures in light green prism traps. J. Econ. Entomol. 2011, 104, 173–179. [Google Scholar] [CrossRef] [PubMed]
- Marshall, J.M.; Storer, A.J.; Fraser, I.; Mastro, V.C. Efficacy of trap and lure types for detection of Agrilus planipennis (Col, Buprestidae) at low density. J. Appl. Entomol. 2010, 134, 296–302. [Google Scholar] [CrossRef]
- DeGroot, P.; Grant, G.G.; Poland, T.M.; Scharbach, R.; Buchan, L.; Nott, R.W.; Macdonald, L.; Pitt, D. Electrophysiological response and attraction of emerald ash borer to green leaf volatiles (GLVs) emitted by host foliage. J. Chem. Ecol. 2008, 34, 1170–1179. [Google Scholar] [CrossRef]
- Ryall, K.; Silk, P.J.; Mayo, P.; Crook, D.; Khrimian, A.; Cossé, A.A.; Sweeney, J.; Scarr, T. Attraction of Agrilus planipennis Fairmaire (Coleoptera: Buprestidae) to a volatile pheromone: Effects of release rate, host volatile and trap placement. Environ. Entomol. 2012, 41, 648–656. [Google Scholar] [CrossRef] [PubMed]
- Ryall, K.; Fidgen, J.G.; Silk, P.J.; Scarr, T. Efficacy of (3Z)-lactone and/or (3Z)-hexenol at detecting early infestation of Agrilus planipennis (Col., Buprestidae). Entomol. Exp. Appl. 2013, 147, 126–131. [Google Scholar] [CrossRef]
- Ryall, K.L.; Dutkiewicz, D.; Silk, P.J.; Antunes, P.M.; Ochoa, I. Ovarian development of Agrilus planipennis: Effects of age and mating status and influence on attraction to host volatiles. Entomol. Exp. Appl. 2013, 149, 77–84. [Google Scholar] [CrossRef]
- Millar, J.G.; Pierce, H.D.; Pierce, A.M.; Oehlschlager, A.C.; Borden, J.H.; Barak, A.V. Aggregation pheromones of the flat grain beetle Cryptolestes pusillus (Coleoptera: Cucujidae). J. Chem. Ecol. 1985, 11, 1053–1070. [Google Scholar] [CrossRef]
- Ryall, K.; Silk, P.J.; Fidgen, J.; Mayo, P.; Lavallee, R.; Guertin, C.; Scarr, T. Effects of pheromone release rate and trap placement on trapping of Agrilus planipennis Fairmaire (Coleoptera: Buprestidae) in Canada. Environ. Entomol. 2015, 44, 734–745. [Google Scholar] [CrossRef]
- Otis, G.W.; Young, M.E.; Umphrey, G. Effects of colored objects and purple background on emerald ash borer trapping. In Emerald Ash Borer Research and Technology Development Meeting; Mastro, V., Reardon, R., Eds.; FHTET-2004–15; United States Department of Agriculture Forest Service Forest: Morgantown, WV, USA, 2005; pp. 31–32. [Google Scholar]
- Göpfert, M.C.; Hennig, R.M. Hearing in Insects. Ann. Rev. Entomol. 2016, 61, 257–276. [Google Scholar] [CrossRef] [PubMed]
- Mamidala, P.; Wijeratne, A.J.; Wijeratne, S.; Poland, T.; Qazi, S.S.; Doucet, D.; Cusson, M.; Beliveau, C.; Mittapalli, O. Identification of Odor-Processing Genes in the Emerald Ash Borer, Agrilus planipennis. PLoS ONE 2013, 8, e56555. [Google Scholar] [CrossRef] [PubMed]
- Zhang, Q.; Teschers, C.; Cellejo, R.; Yang, M.; Wang, M.; Silk, P.J.; Ryall, K.; Roscoe, L.; Cordes, D.; Slawin, A.M.Z.; et al. Synthesis of fluorinated 12-dodecanolides as Emerald Ash Borer pheromone mimetics. Tetrahedron 2019. [Google Scholar] [CrossRef]
- Bauer, L.S.; Liu, H.; Miller, D.; Gould, J. Developing a classical biological control program for Agrilus planipennis (Coleoptera: Buprestidae), an invasive ash pest in North America. Newsl. Mich. Entomol. Soc. 2008, 53, 38–39. [Google Scholar]
- Duan, J.; Bauer, L.; van Driesche, R.; Gould, J. Progress and challenges of protecting North American ash trees from the emerald ash borer using biological control. Forests 2018, 9, 142. [Google Scholar] [CrossRef]
- Abell, K.J.; Bauer, L.S.; Duan, J.J.; Van Driesche, R. Long-term monitoring of the introduced emerald ash borer (Coleoptera: Buprestidae) egg parasitoid, Oobius agrili (Hymenoptera: Encyrtidae), in Michigan, USA and evaluation of a newly developed monitoring technique. Biol. Control 2014, 79, 36–42. [Google Scholar] [CrossRef]
- Duan, J.J.; Bauer, L.S.; Abell, K.J.; Lelito, J.P.; Van Driesche, R. Establishment and abundance of Tetrastichus planipennisi (Hymenoptera: Eulophidae) in Michigan: Potential for success in classical biocontrol of the invasive emerald ash borer (Coleoptera: Buprestidae). J. Econ. Entomol. 2013, 106, 1145–1154. [Google Scholar] [CrossRef]
- Duan, J.J.; Bauer, L.S.; Abell, K.J.; Ulyshen, M.D.; Van Driesche, R.G. Population dynamics of an invasive forest insect and associated natural enemies in the aftermath of invasion: Implications for biological control. J. Appl. Ecol. 2015, 52, 1246–1254. [Google Scholar] [CrossRef]
- Davidson, W.; Rieske, L.K. Establishment of classical biological control targeting emerald ash borer is facilitated by use of insecticides, with little effect on native arthropod communities. Biol. Control 2016, 101, 78–86. [Google Scholar] [CrossRef]
- Duan, J.; Bauer, L.; Abell, K.; van Driesche, R. Population responses of hymenopteran parasitoids to the emerald ash borer (Coleoptera: Buprestidae) in recently invaded areas in north central United States. Biocontrol 2012, 57, 199–209. [Google Scholar] [CrossRef]
- Johnson, T.D.; Lelito, J.P.; Raffa, K.F. Responses of two parasitoids, the exotic Spathius agrili Yang and the native Spathius floridanus Ashmead, to volatile cues associated with the emerald ash borer, Agrilus planipennis Fairmaire. Biol. Control 2014, 79, 110–117. [Google Scholar] [CrossRef]
- Cossé, A.A.; Petroski, R.J.; Zilkowski, B.W.; Vermillion, K.; Lelito, J.P.; Cooperband, M.F.; Gould, J.R. Male-produced pheromone of Spathius agrili, a parasitoid introduced for the biological control of the invasive emerald ash borer, Agrilus planipennis. J. Chem. Ecol. 2012, 38, 389–399. [Google Scholar] [CrossRef] [PubMed]
- Gould, J.R.; Bauer, L.S.; Duan, J.J.; Petrice, T. Emerald ash borer, Agrilus planipennis (Fairmaire), biological control release and recovery guidelines. GAO-06-353 Riverdale USDA-APHIS-ARS-FS; 2019. Available online: https://www.aphis.usda.gov/plant_health/plant_pest_info/emerald_ash_b/downloads/EAB-FieldRelease-Guidelines.pdf (accessed on 14 September 2019).
- Bauer, L.S.; Liu, H.; Gao, R.; Zhao, T. Egg and larval parasitoids of emerald ash borer from China: Potential for biocontrol in North America. In Proceedings of the 2005 Emerald Ash Borer Research and Technology Development Meeting, Pittsburgh, PA, USA, 26–27 September 2005; FHTET-2005-16; Mastro, V., Reardon, R., Parra, G., Eds.; U.S. Department of Agriculture, Forest Service, Forest Health Technology Enterprise Team: Morgantown, WV, USA, 2016; pp. 48–49. [Google Scholar]
- Roscoe, L.E.; Lyons, D.B.; Ryall, K.L.; Smith, S.M. Courtship sequence and evidence of volatile pheromones in Phasgonophora sulcata (Hymenoptera: Chalcididae), a North American parasitoid of the invasive Agrilus planipennis (Coleoptera: Buprestidae). Can. Entomol. 2016, 48, 151–162. [Google Scholar] [CrossRef]
- Roscoe, L.E. Phasgonophora sulcata Westwood (Hymenoptera: Chalcididae): A Potential Augmentative Biological Control Agent for the Invasive Agrilus planipennis Fairmaire (Coleoptera: Buprestidae) in Canada. Ph.D. Thesis, University of Toronto, Toronto, ON, Canada, 2014. [Google Scholar]
- Silk, P.J.; Ryall, K.; Roscoe, L. Emerald ash borer, Agrilus planipennis (Coleoptera: Buprestidae), detection and monitoring in Canada. For. Int. J. For. Res. 2019. [Google Scholar] [CrossRef]
- Ryall, K.L.; Fidgen, J.G.; Turgeon, J.J. Detection of Emerald Ash Borer in Urban Environments Using Branch Sampling; Frontline Technical Note 111; Natural Resources Canada, Canadian Forest Service, Great Lakes Forestry Centre: Sault Ste. Marie, ON, Canada, 2011; 3p.
- Francese, J.A.; Rietz, M.L.; Mastro, V.C. Optimization of Multifunnel Traps for Emerald Ash Borer (Coleoptera: Buprestidae): Influence of Size, Trap Coating, and Color. J. Econ. Entomol. 2013, 106, 2415–2423. [Google Scholar] [CrossRef] [PubMed]
- Cardé, R.T.; Baker, T.C. Sexual communication with pheromones. In Chemical Ecology of Insects; Bell, W.J., Cardé, R.T., Eds.; Springer: Boston, MA, USA, 1984. [Google Scholar] [CrossRef]
- Blain, K. (Forestry Commission England—Tree Health, Bristol, UK); Ryall, K. (Natural Resources Canada, Canadian Forest Service—Great Lakes Forestry Center, Sault Ste. Marie, ON, Canada); Aukema, B.H. (University of Minnesota, St. Paul, MN, USA); Silk, P.J. (Natural Resources Canada, Canadian Forest Service—Atlantic Forestry Center, Fredericton, NB, Canada). Personal communication, 2019.
- Vuts, J.; Woodcock, C.M.; Sumner, M.E.; Caulfield, J.C.; Reed, K.; Inward, D.J.; Leather, S.R.; Pickett, J.A.; Birkett, M.A.; Denman, S. Responses of the two-spotted oak buprestid, Agrilus biguttatus (Coleoptera: Buprestidae), to host tree volatiles. Pest Manag. Sci. 2016, 72, 845–851. [Google Scholar] [CrossRef] [PubMed]
- Silk, P.J.; Ryall, K.; Grant, G.G.; Roscoe, L.E.; Mayo, P.; Williams, M.; LeClair, G.; Kimoto, T.; Williams, D.; Rutledge, C. Tree girdling and host tree volatiles provides a useful trap for bronze birch borer Agrilus anxius Gory (Coleoptera: Buprestidae). For. Int. J. For. Res. 2019. [Google Scholar] [CrossRef]
- Rutledge, C.E. Preliminary studies on using emerald ash borer (Coleoptera: Buprestidae) monitoring tools for bronze birch borer (Coleoptera: Buprestidae) detection and management. For. Int. J. For. Res. 2019. [CrossRef]
- Byers, J.A.; Zhang, Q.-H.; Schlyter, F. Volatiles from Nonhost Birch Trees Inhibit Pheromone Response in Spruce Bark Beetles. Naturwissenschaften 1998, 85, 557–561. [Google Scholar] [CrossRef]
- Zou, Y.; Rutledge, C.E.; Nakamuta, K.; Maier, C.T.; Hanks, L.M.; Richards, A.B.; Lacey, E.S.; Millar, J.G. Identification of a pheromone component and a critical synergist for the invasive beetle Callidiellum rufipenne (Coleoptera: Cerambycidae). Environ. Entomol. 2015, 45, 216–222. [Google Scholar] [CrossRef]
- Silk, P.J.; Sweeney, J.D.; Wu, J.; Price, J.; Gutowski, J.; Kettela, E.G. Evidence for a male-produced pheromone in Tetropium fuscum (F.) and Tetropium cinnamopterum (Kirby) (Coleoptera: Cerambycidae). Naturwissenschaften 2007, 94, 697–701. [Google Scholar] [CrossRef] [PubMed]
- Sweeney, J.D.; Silk, P.J.; Gutowski, J.M.; Wu, J.; Lemay, M.A.; Mayo, P.D.; Magee, D.I. Effect of chirality, release rate, and host volatiles on response of Tetropium fuscum (F.), Tetropium cinnamopterum Kirby, and Tetropium castaneum (L.) to the aggregation pheromone, fuscumol. J. Chem. Ecol. 2010, 36, 1309–1321. [Google Scholar] [CrossRef] [PubMed]
- Muilenburg, V.L.; Herms, D.A. A review of bronze Birch Borer (Coleoptera: Buprestidae) life history, ecology and management. Environ. Entomol. 2013, 41, 1372–1385. [Google Scholar] [CrossRef] [PubMed]
- Silk, P.J.; Ryall, K.; Mayo, P.; MaGee, D.I.; Leclair, G.; Fidgen, J.; Lavallee, R.; Price, J.; McConaghy, J. A biologically active analog of the sex pheromone of the emerald ash borer, Agrilus planipennis Fairmaire. J. Chem. Ecol. 2015, 41, 294–302. [Google Scholar] [CrossRef] [PubMed]
- O’Hagan, D. Understanding organofluorine chemistry. An introduction to the C–F bond. Chem. Soc. Rev. 2008, 37, 308. [Google Scholar] [CrossRef] [PubMed]
- Skibinski, M.; Wang, Y.; Slawin, A.M.Z.; Lebl, T.; Kirsch, P.; O’Hagan, D. Alicyclic Ring Structure: Conformational Influence of the CF2 Group in Cyclododecanes. Angew. Chem. Int. Ed. 2011, 50, 10581–10584. [Google Scholar] [CrossRef]
- O’Hagan, D.; Yi Wang, Y.; Skibinski, M.; Slawin, A.M.Z. Influence of the difluoromethylene group (CF2) on the conformation and properties of selected organic compounds. Pure Appl. Chem. 2012, 84, 1587–1595. [Google Scholar] [CrossRef]
- Boden, C.D.J.; Chambers, J.; Stevens, I.D.R. A concise, efficient and flexible strategy for the synthesis of the pheromones of Oryzaephilus and Cryptolestes grain beetles. Synthesis 1993, 411–420. [Google Scholar] [CrossRef]
- Mayo, P.D.; Silk, P.J.; MaGee, D.I.; McConaghy, J. Concise synthesis of (3Z)-dodecen-12-olide, pheromone component of the emerald ash borer. Synth. Commun. 2014, 44, 1957–1969. [Google Scholar] [CrossRef]
- Blakemore, P.R.; Cole, W.J.; Kocienski, P.J.; Morley, A. A stereoselective synthesis of trans-1,2-disubstituted alkenes based on the condensation of aldehydes with metallated 1-phenyl-1H-tetrazol-5-yl sulfones. Synlett 1998, 26–28. [Google Scholar] [CrossRef]
- Justus, K.; Steglich, W. First synthesis of a strained 14-membered biaryl ether lactone by macrolactonization. Tetrahedron Lett. 1991, 32, 5781–5784. [Google Scholar] [CrossRef]
- MaGee, D.I.; Mayo, P.D.; Silk, P.J.; Beattie, B. Synthesis of (3E)-dodecen-12-olide, a potential pheromone component of the Emerald Ash Borer. Synth. Commun. 2013, 43, 1368–1377. [Google Scholar] [CrossRef]
- Schlosser, M.; Christmann, K.F. Trans-selective olefin syntheses. Angew. Chem. Int. Ed. 1966, 5, 126. [Google Scholar] [CrossRef]
- Van der Mee, L.; Helmich, F.; de Bruijn, R.; Vekemans, J.A.J.M.; Palmans, A.R.A.; Meijer, E.W. Investigation of lipase-catalyzed ring-opening polymerizations of lactones with various ring sizes: Kinetic evaluation. Macromolecules 2006, 39, 5021–5027. [Google Scholar] [CrossRef]
- Suginome, H.; Yamada, S. Photoinduced transformations. 77. A four-step substitution of a carbonyl group of steroidal ketones by an oxygen atom. A new method for the synthesis of cyclic ethers. J. Org. Chem. 1985, 50, 2489–2494. [Google Scholar] [CrossRef]
- Fãrcasiu, D.; Jähme, J.; Rüchardt, C. Relative reactivity of bridgehead adamantyl and homoadamantyl substrates from solvolysis with heptafluorobutyrate as a highly reactive carboxylate leaving group. Absence of SN2 character of solvolysis of tert-butyl derivatives. J. Am. Chem. Soc. 1985, 107, 5717–5722. [Google Scholar] [CrossRef]
- Mino, T.; Masuda, S.; Nishio, M.; Yamashita, M. Synthesis of lactones by Baeyer-Villiger oxidation with magnesiuim monoperphthalate hexahydrate. J. Org. Chem. 1997, 62, 2633–2635. [Google Scholar] [CrossRef]
- Taber, D.F.; Qiu, J. Permaleic acid: Baeyer-Villiger oxidation of cyclododecanone. J. Chem. Ed. 2013, 90, 1103–1104. [Google Scholar] [CrossRef]
- Bellamy, C.L.; Nelson, G.H. Buprestidae Leach 1815. In American Beetles. Vol. 2: Polyphaga: Scarabaeoidea through Curculionoidea; Arnett, R.H., Thomas, M.C., Skelley, P.E., Frank, J.H., Eds.; CRC Press: Boca Raton, FL, USA, 2002; pp. 98–112. [Google Scholar]
- Schulz, S.; Hötling, S. The use of the lactone motif in chemical communication. Nat. Prod. Rep. 2015, 32, 1042–1066. [Google Scholar] [CrossRef]
- Jennings, D.E.; Taylor, P.B.; Duan, J.J. The mating and oviposition behavior of the invasive emerald ash borer, with references to influences of host tree condition. J. Pest Sci. 2014, 87, 71–78. [Google Scholar] [CrossRef]
- Singh, V.; Murphy, N.R.; Vijay Balasubramanian, V.; Mainland, J.D. Competitive binding predicts nonlinear responses of olfactory receptors to complex mixtures. Proc. Natl. Acad. Sci. USA 2019, 116, 9598–9603. [Google Scholar] [CrossRef] [PubMed]
- Schulz, S.; Reram, P.S.; Menke, M.; Hotling, S.; Ropke, R.; Melnik, K.; Poth, D.; Mann, F.; Henrichsen, S.; Dreyer, K. Mass Spectrometry of Aliphatic Macrolides, Important Semiochemicals or Pheromones. J. Nat. Prod. 2017, 80, 2572–2582. [Google Scholar] [CrossRef] [PubMed]
© 2019 by the authors. Licensee MDPI, Basel, Switzerland. This article is an open access article distributed under the terms and conditions of the Creative Commons Attribution (CC BY) license (http://creativecommons.org/licenses/by/4.0/).










