Role of Interfacial Dzyaloshinskii–Moriya Interactions on Dipole-Exchange Spin Waves in Finite-Width Ferromagnetic Nanostripes
Abstract
1. Introduction
2. Materials and Methods
2.1. SW Formalism in the Exchange-Dominated Case
2.2. Inclusion of Dipole–Dipole Interactions
3. Results
3.1. Exchange-Dominated Case
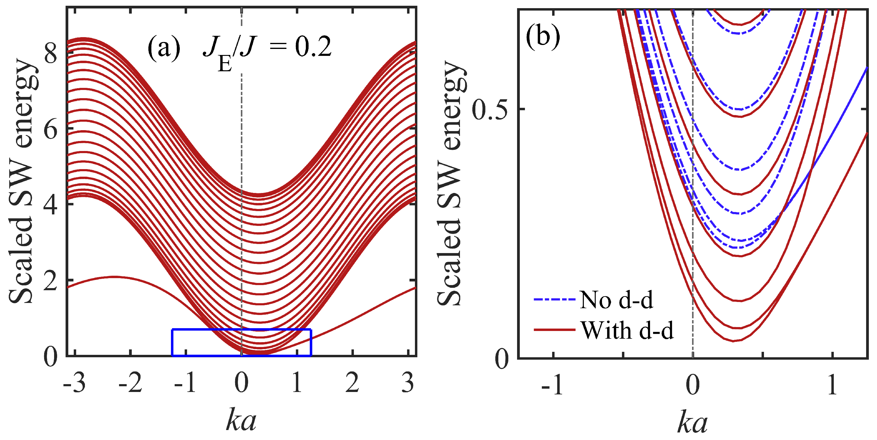
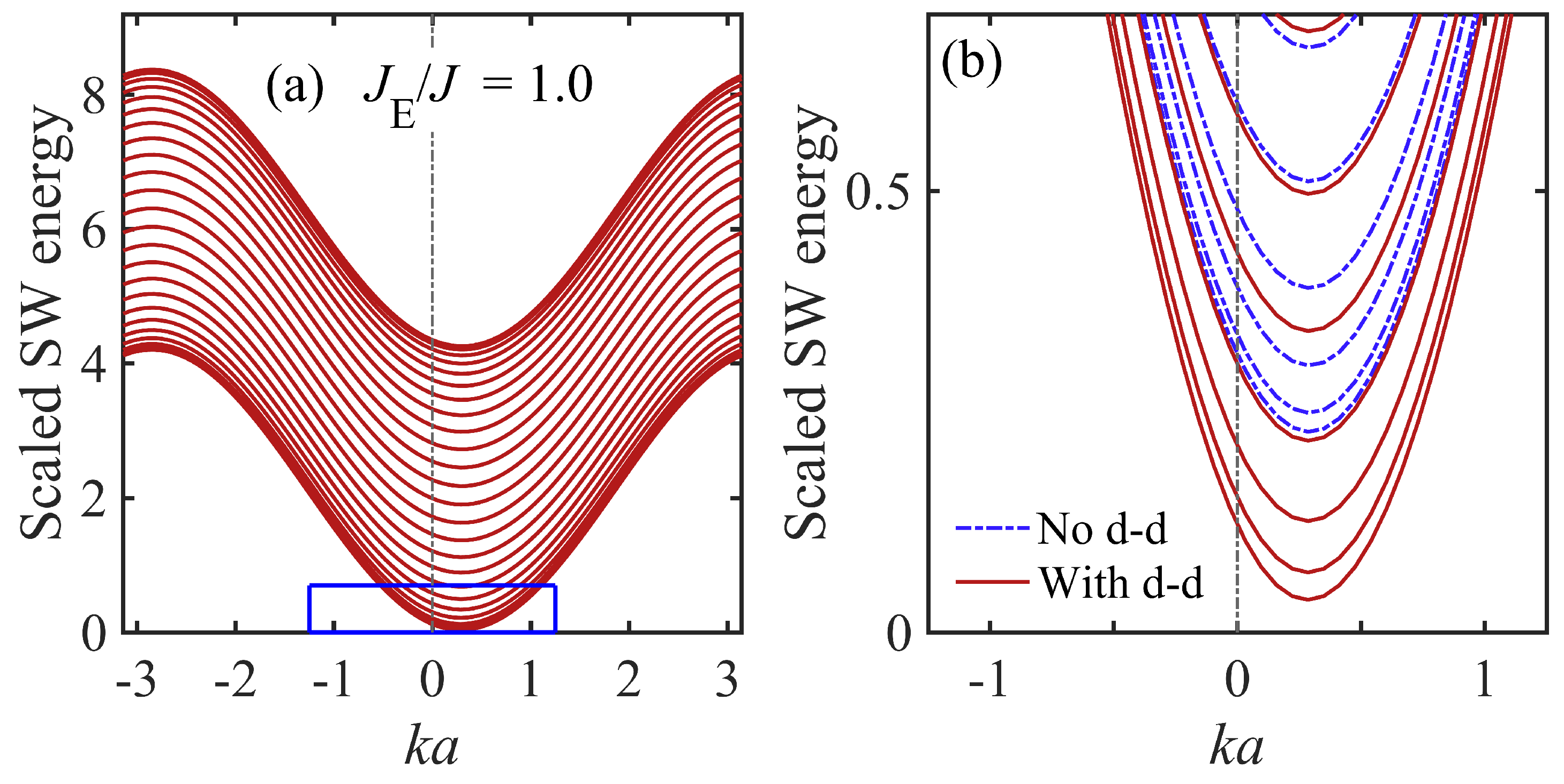
3.2. General Dipole-Exchange Case
4. Discussion
Author Contributions
Funding
Data Availability Statement
Acknowledgments
Conflicts of Interest
References
- Dzyaloshinskii, I.Y. Thermodynamic theory of weak ferromagnetism in antiferromagnetic substances. Sov. Phys. JETP 1957, 5, 1259. [Google Scholar]
- Dzyaloshinsky, I. A Thermodynamic theory of weak ferromagnetism of antiferromagnetics. J. Phys. Chem. Solids 1958, 4, 241. [Google Scholar] [CrossRef]
- Moriya, T. Anisotropic superexchange interaction and weak ferromagnetism. Phys. Rev. 1960, 120, 91. [Google Scholar] [CrossRef]
- Turov, E.A.; Guseinov, N.G. Magnetic resonance in rhombohedral weak ferromagnetics. Sov. Phys. JETP 1960, 11, 955. [Google Scholar]
- Melcher, R.L. Linear contribution to spatial dispersion in the spin-wave spectrum of ferromagnets. Phys. Rev. Lett. 1973, 30, 125. [Google Scholar] [CrossRef]
- Zakeri, K.; Zhang, Y.; Prokop, J.; Chuang, T.; Sakr, N.; Tang, W.X.; Kirschner, J. Asymmetric spin-wave dispersion on Fe(110): Direct evidence of the Dzyaloshinskii-Moriya interaction. Phys. Rev. Lett. 2010, 104, 137203. [Google Scholar] [CrossRef]
- Moon, J.H.; Seo, S.M.; Lee, K.J.; Kim, K.W.; Ryu, J.; Lee, H.W.; McMichael, R.D.; Stiles, M.D. Spin-wave propagation in the presence of interfacial Dzyaloshinskii-Moriya interaction. Phys. Rev. B 2013, 88, 184404. [Google Scholar] [CrossRef]
- Cortés-Ortuno, D.; Landeros, P. Influence of the Dzyaloshinskii-Moriya interaction on the spin-wave spectra of thin films. J. Phys. Condens. Matter 2013, 25, 156001. [Google Scholar] [CrossRef] [PubMed]
- Di, K.; Zhang, V.L.; Lim, H.S.; Ng, S.C.; Kuok, M.H.; Yu, J.; Yoon, J.; Qiu, X.; Yang, H. Direct observation of the Dzyaloshinskii-Moriya interaction in a Pt/Co/Ni film. Phys. Rev. Lett. 2015, 114, 047201. [Google Scholar] [CrossRef] [PubMed]
- Gallardo, R.A.; Corteś-Ortuno, D.; Troncoso, R.E.; Landeros, P. Spin waves in thin films and magnonic crystals with Dzyaloshinskii-Moriya interactions. In Three-Dimensional Magnonics; Gubbiotti, G., Ed.; Jenny Stanford: Singapore, 2019; p. 121. [Google Scholar]
- Camley, R.; Livesey, K.L. Consequences of the Dzyaloshinskii-Moriya interaction. Surf. Sci. Rep. 2023, 78, 100605. [Google Scholar] [CrossRef]
- Kuanr, B.K.; Veerakumar, V.; Mishra, S.R.; Camley, R.E.; Celinski, Z. Nonreciprocal microwave devices based on magnetic nanowires. Appl. Phys. Lett. 2009, 94, 202505. [Google Scholar] [CrossRef]
- Barman, A.; Gubbiotti, G.; Ladak, S.; Adeyeye, A.O.; Krawczyk, M. The 2021 Magnonics Roadmap. J. Phys. Condens. Mater 2021, 33, 413001. [Google Scholar] [CrossRef] [PubMed]
- Tomasello, R.; Martinez, E.; Zivieri, R.; Torres, L.; Carpentieri, M.; Finocchio, G. A strategy for the design of skyrmion racetrack memories. Nat. Sci. Rep. 2014, 4, 6784. [Google Scholar] [CrossRef]
- Chen, J.; Yu, H.; Gubbiotti, G. Unidirectional spin-wave propagation and devices. J. Phys. D Appl. Phys. 2022, 55, 123001. [Google Scholar] [CrossRef]
- Luo, S.; Song, M.; Li, X.; Zhang, Y.; Hong, J.; Yang, X.; Zou, X.; Xu, N.; You, L. Reconfigurable skyrmion logic gates. Nano Lett. 2018, 18, 1180–1184. [Google Scholar] [CrossRef]
- Shen, L.; Zho, Y.; Shen, K. Programmable skyrmion-based logic gates in a single nanotrack. Phys. Rev. B 2023, 107, 054437. [Google Scholar] [CrossRef]
- Tretiakov, O.A.; Abanov, A. Current driven magnetization dynamics in ferromagnetic nanowires with a Dzyaloshinskii-Moriya interaction. Phys. Rev. Lett. 2010, 105, 157201. [Google Scholar] [CrossRef]
- Freimuth, F.; Blugel, S.; Mokrousov, Y. Relation of the Dzyaloshinskii-Moriya interaction to spin currents and to the spin-orbit field. Phys. Rev. B 2017, 96, 054403. [Google Scholar] [CrossRef]
- Chumak, A.V.; Schultheiss, H. Magnonics: Spin waves connecting charges, spins and photons. J. Phys. D Appl. Phys. 2017, 50, 300201. [Google Scholar] [CrossRef]
- Sharma, M.; Kumar, R.; Chauhan, A.; Kuanr, B.K. Magnetization dynamics of ferromagnetic nanostructures for spintronics and bio-medical applications. In Multifunctional Materials; Tripathy, D.B., Gupta, A., Jain, A.K., Eds.; Scrivener Publishing: Beverly, MA, USA, 2025. [Google Scholar] [CrossRef]
- Haze, M.; Yoshida, Y.; Hasegawa, Y. Experimental verification of the rotational sense and type of chiral spin spiral structure by spin-polarized scanning tunneling microscopy. Sci. Rep. 2016, 7, 13269. [Google Scholar] [CrossRef]
- Hrabec, A.; Luo, Z.; Heyderman, L.J.; Gambardella, P. Synthetic chiral magnets promoted by the Dzyaloshinskii–Moriya interaction. Appl. Phys. Lett. 2020, 117, 130503. [Google Scholar] [CrossRef]
- Gallardo, R.; Alvarado-Seguel, P.; Landeros, P. Unidirectional chiral magnonics in cylindrical synthetic antiferromagnets. Phys. Rev. Appl. 2022, 18, 054044. [Google Scholar] [CrossRef]
- Heide, M.; Bihlmayer, G.; Blügel, S. Dzyaloshinskii-Moriya interaction accounting for the orientation of magnetic domains in ultrathin films: Fe/W(110). Phys. Rev. B 2008, 78, 140403. [Google Scholar] [CrossRef]
- DeJong, M.D.; Livesey, K.L. Domain walls in finite-width nanowires with interfacial Dzyaloshinskii-Moriya interaction. Phys. Rev. B 2017, 95, 054424. [Google Scholar] [CrossRef]
- Muratov, C.; Slastikov, V.V.; Kolesnikov, A.G.; Tretiakov, O.A. Theory of the Dzyaloshinskii domain-wall tilt in ferromagnetic nanostrips. Phys. Rev. B 2017, 96, 134417. [Google Scholar] [CrossRef]
- Zakeri, K.; Zhang, Y.; Chuang, T.H.; Kirschner, J. Magnon lifetimes on the Fe(110) surface: The role of spin-orbit coupling. Phys. Rev. Lett. 2012, 108, 197205. [Google Scholar] [CrossRef] [PubMed]
- Cho, J.; Kim, N.H.; Lee, S.; Kim, J.S.; Lavrijsen, R.; Solignac, A.; Yin, Y.; Han, D.S.; van Hoof, N.J.J.; Swagten, H.J.M.; et al. Thickness dependence of the interfacial Dzyaloshinskii–Moriya interaction in inversion symmetry broken systems. Nat. Commun. 2015, 6, 7635. [Google Scholar] [CrossRef]
- Belmeguenai, M.; Adam, J.P.; Roussigné, Y.; Eimer, S.; Devolder, T.; Kim, J.V.; Cherif, S.M.; Stashkevich, A.; Thiaville, A. Interfacial Dzyaloshinskii-Moriya interaction in perpendicularly magnetized Pt/Co/AlOx ultrathin films measured by Brillouin light spectroscopy. Phys. Rev. B 2015, 91, 180405. [Google Scholar] [CrossRef]
- Stashkevich, A.A.; Belmeguenai, M.; Roussigné, Y.; Cherif, S.M.; Kostylev, M.; Gabor, M.; Lacour, D.; Tiusan, C.; Hehn, M. Experimental study of spin-wave dispersion in Py/Pt film structures in the presence of an interface Dzyaloshinskii-Moriya interaction. Phys. Rev. B 2015, 91, 214409. [Google Scholar] [CrossRef]
- Chaurasiya, A.K.; Banerjee, C.; Pan, S.; Sahoo, S.; Choudhury, S.; Sinha, J.; Barman, A. Direct observation of interfacial Dzyaloshinskii-Moriya interaction from asymmetric spin-wave propagation in W/CoFeB/SiO2 heterostructures down to sub-nanometer CoFeB thickness. Sci. Rep. 2016, 6, 32592. [Google Scholar] [CrossRef]
- Tacchi, S.; Troncoso, R.E.; Ahlberg, M.; Gubbiotti, G.; Madami, M.; Akerman, J.; Landeros, P. Interfacial Dzyaloshinskii-Moriya interaction in Pt/CoFeB films: Effect of the heavy-metal thickness. Phys. Rev. Lett. 2017, 118, 147201. [Google Scholar] [CrossRef] [PubMed]
- Gallardo, R.A.; Alvarado-Seguel, P.; Brevis, F.; Gonzalez-Fuentes, C.; Roldan-Molina, A.; Lenz, K.; Lindner, J.; Landeros, P. Spin-wave non-reciprocity in magnetization-graded ferromagnetic films. New J. Phys. 2019, 21, 033026. [Google Scholar] [CrossRef]
- Kostylev, M. Interface boundary conditions for dynamic magnetization and spin wave dynamics in a ferromagnetic layer with the interface Dzyaloshinskii-Moriya interaction. J. Appl. Phys. 2014, 115, 233902. [Google Scholar] [CrossRef]
- Mruczkiewicz, M.; Krawczyk, M. Influence of the Dzyaloshinskii-Moriya interaction on the FMR spectrum of magnonic crystals and confined structures. Phys. Rev. B 2016, 94, 024434. [Google Scholar] [CrossRef]
- Bouloussa, H.; Roussigné, Y.; Belmeguenai, M.; Stashkevich, A.; Chérif, S.M.; Pollard, S.D.; Yang, H. Dzyaloshinskii-Moriya interaction induced asymmetry in dispersion of magnonic Bloch modes. Phys. Rev. B 2020, 102, 014412. [Google Scholar] [CrossRef]
- Silvani, R.; Alumni, M.; Tacchi, S.; Carlotti, G. Effect of the interfacial Dzyaloshinskii–Moriya interaction on the spin wave eigenmodes of isolated stripes and dots magnetized in-plane: A micromagnetic study. Appl. Sci. 2021, 11, 2929. [Google Scholar] [CrossRef]
- Gallardo, R.; Alvarado-Seguel, P.; Landeros, P. Spin-wave channeling in magnetization-graded nanostrips. Nanomaterials 2022, 12, 2785. [Google Scholar] [CrossRef] [PubMed]
- Gallardo, R.A.; Alvarado-Seguel, P.; Brevis, F.; Gonzalez-Fuentes, C.; Gonzalez, J.W.; Lenz, K.; Lindner, J.; Roldan-Molina, A. Nonreciprocal spin wave channeling in ferromagnetic/heavy-metal nanostrips. Results Phys. 2024, 67, 108057. [Google Scholar] [CrossRef]
- Nguyen, H.T.; Nguyen, T.M.; Cottam, M.G. Dipole-exchange spin waves in ferromagnetic stripes with inhomogeneous magnetization. Phys. Rev. B 2007, 76, 134413. [Google Scholar] [CrossRef]
- Lupo, P.; Haghshenasfard, Z.; Cottam, M.G.; Adeyeye, A.O. Ferromagnetic resonance study of interface coupling for spin waves in narrow NiFe/Ru/NiFe multilayer nanowires. Phys. Rev. B 2016, 94, 214431. [Google Scholar] [CrossRef]
- Gubbiotti, G.; Tacchi, S.; Nguyen, H.T.; Madami, M.; Carlotti, G.; Nakono, K.; Ono, T.; Cottam, M.G. Coupled spin waves in trilayer films and nanostripes of permalloy separated by nonmagnetic spacers: Brillouin light scattering and theory. Phys. Rev. B 2013, 87, 094406. [Google Scholar] [CrossRef]
- Gubbiotti, G.; Zhou, X.; Haghshenasfard, Z.; Cottam, M.G.; Adeyeye, A.O.; Kostylev, M. Interplay between intra- and inter-nanowires dynamic dipolar interactions in the spin wave band structure of Py/Cu/Py nanowires. Nat. Sci. Rep. 2019, 9, 4617. [Google Scholar] [CrossRef] [PubMed]
- Cottam, M.G.; Haghshenasfard, Z.; Adeyeye, A.O.; Gubbiotti, G. Dipole-exchange theory of magnons in structured composite nanowires and magnonic crystal arrays. In Three-Dimensional Magnonics; Gubbiotti, G., Ed.; Jenny Stanford Publishing: Singapore, 2019; p. 1. [Google Scholar]
- Aharoni, A. Introduction to the Theory of Ferromagnetism; Clarendon Press: Oxford, UK, 1996. [Google Scholar]
- Gurevich, A.G.; Melkov, G.A. Magnetization Oscillations and Waves; CRC Press: Boca Raton, FL, USA, 1996. [Google Scholar] [CrossRef]
- Stancil, D.D.; Prabhakar, A. Spin Waves: Theory and Applications; Springer: Berlin/Heidelberg, Germany, 2009. [Google Scholar]
- Gubbiotti, G. (Ed.) Three-Dimensional Magnonics; Jenny Stanford Publishing: Singapore, 2019. [Google Scholar]
- Kronmüller, H. General Micromagnetic Theory and Applications; Wiley: New York, NY, USA, 2019. [Google Scholar]
- Coey, J.M.D. Magnetism and Magnetic Materials; Cambridge University Press: Cambridge, UK, 2010. [Google Scholar]
- White, R.M. Quantum Theory of Magnetism: Magnetic Properties of Materials, 3rd ed.; Springer: Berlin/Heidelberg, Germany, 2007. [Google Scholar]
- Hussain, B.; Cottam, M.G. Dipole-exchange spin waves in unsaturated ferromagnetic nanorings with interfacial Dzyaloshinski-Moriya interactions. J. Appl. Phys. 2022, 132, 193901. [Google Scholar] [CrossRef]
- Hussain, B.; Cottam, M.G. Spin waves in ferromagnetic nanorings with interfacial Dzyaloshinskii-Moriya interactions: II. Directional effects. Nanomaterials 2024, 14, 286. [Google Scholar] [CrossRef]
- Holstein, T.; Primakoff, H. Field dependence of the intrinsic domain magnetization of a ferromagnet. Phys. Rev. 1940, 58, 1098. [Google Scholar] [CrossRef]
- Rezende, S.M. Fundamentals of Magnonics; Springer: Berlin/Heidelberg, Germany, 2020. [Google Scholar]
- Wolfram, T.; Dewames, R.E. Surface dynamics of magnetic materials. Prog. Surf. Sci. 1972, 2, 233. [Google Scholar] [CrossRef]
- Nguyen, T.M.; Cottam, M.G. Microscopic theory of dipole-exchange spin wave excitations in ferromagnetic nanowires. Phys. Rev. B 2005, 71, 094406. [Google Scholar] [CrossRef]
- Clover, R.B.; Wolf, W.P. High frequency specific heat measurements and exchange constants of GdCl3. Solid State Commun. 1968, 5, 331. [Google Scholar] [CrossRef]
- Hrabec, A.; Porter, N.A.; Wells, A.; Benitez, M.J.; Burnell, G.; McVitie, S.; McGrouther, D.; Moore, T.A.; Marrows, C.H. Measuring and tailoring the Dzyaloshinskii-Moriya interaction in perpendicularly magnetized thin films. Phys. Rev. B 2014, 90, 020402(R). [Google Scholar] [CrossRef]
- Akanda, M.R.K.; Park, J.; Lake, R.K. Interfacial Dzyaloshinskii-Moriya interaction of antiferromagnetic materials. Phys. Rev. B 2020, 102, 224414. [Google Scholar] [CrossRef]
- Fedel, S.; Villa, M.; Damerio, S.; Demiroglu, E.; Deger, C.; Gazquez, J.; Avci, C.O. Evidence of long-range Dzyaloshinskii-Moriya interaction at ferrimagnetic insulator/nonmagnetic metal interfaces. Adv. Funct. Mater. 2025, 35, 2418653. [Google Scholar] [CrossRef]
- Arora, M.; Shaw, J.M.; Nembach, H.T. Variation of sign and magnitude of the Dzyaloshinskii-Moriya interaction of a ferromagnet with an oxide interface. Phys. Rev. B 2020, 101, 054421. [Google Scholar] [CrossRef]
- Zhang, B.H.; Hou, Y.S.; Wang, Z.; Wu, R.Q. Tuning Dzyaloshinskii-Moriya interactions in magnetic bilayers with a ferroelectric substrate. Phys Rev. B 2021, 103, 0514417. [Google Scholar] [CrossRef]







Disclaimer/Publisher’s Note: The statements, opinions and data contained in all publications are solely those of the individual author(s) and contributor(s) and not of MDPI and/or the editor(s). MDPI and/or the editor(s) disclaim responsibility for any injury to people or property resulting from any ideas, methods, instructions or products referred to in the content. |
© 2025 by the authors. Licensee MDPI, Basel, Switzerland. This article is an open access article distributed under the terms and conditions of the Creative Commons Attribution (CC BY) license (https://creativecommons.org/licenses/by/4.0/).
Share and Cite
Hussain, S.; Hussain, B.; Cottam, M. Role of Interfacial Dzyaloshinskii–Moriya Interactions on Dipole-Exchange Spin Waves in Finite-Width Ferromagnetic Nanostripes. AppliedPhys 2025, 1, 6. https://doi.org/10.3390/appliedphys1020006
Hussain S, Hussain B, Cottam M. Role of Interfacial Dzyaloshinskii–Moriya Interactions on Dipole-Exchange Spin Waves in Finite-Width Ferromagnetic Nanostripes. AppliedPhys. 2025; 1(2):6. https://doi.org/10.3390/appliedphys1020006
Chicago/Turabian StyleHussain, Syed, Bushra Hussain, and Michael Cottam. 2025. "Role of Interfacial Dzyaloshinskii–Moriya Interactions on Dipole-Exchange Spin Waves in Finite-Width Ferromagnetic Nanostripes" AppliedPhys 1, no. 2: 6. https://doi.org/10.3390/appliedphys1020006
APA StyleHussain, S., Hussain, B., & Cottam, M. (2025). Role of Interfacial Dzyaloshinskii–Moriya Interactions on Dipole-Exchange Spin Waves in Finite-Width Ferromagnetic Nanostripes. AppliedPhys, 1(2), 6. https://doi.org/10.3390/appliedphys1020006

